Sign in to use this feature.

Years

Between: -

Subjects

remove_circle_outline
remove_circle_outline
remove_circle_outline
remove_circle_outline
remove_circle_outline
remove_circle_outline
remove_circle_outline
remove_circle_outline
remove_circle_outline

Journals

remove_circle_outline
remove_circle_outline
remove_circle_outline
remove_circle_outline
remove_circle_outline
remove_circle_outline
remove_circle_outline
remove_circle_outline
remove_circle_outline
remove_circle_outline
remove_circle_outline
remove_circle_outline
remove_circle_outline
remove_circle_outline
remove_circle_outline
remove_circle_outline

Article Types

Countries / Regions

remove_circle_outline
remove_circle_outline
remove_circle_outline
remove_circle_outline
remove_circle_outline
remove_circle_outline
remove_circle_outline
remove_circle_outline

Search Results (1,346)

Search Parameters:
Keywords = synchronous technology

Order results
Result details
Results per page
Select all
Export citation of selected articles as:
21 pages, 6012 KB  
Article
Refined Fuzzy-Control-Based VSG Control Strategy for Flexible Interconnection Devices in Distribution Grid
by Xiaochun Mou, Wu Chen and Xin Li
Electronics 2025, 14(21), 4310; https://doi.org/10.3390/electronics14214310 (registering DOI) - 1 Nov 2025
Abstract
In this paper, virtual synchronous generator (VSG) technology is innovatively introduced into the distributor-unified power flow controller (D-UPFC) control to simulate the power generation characteristics of the synchronous generator. Concepts such as inertia and damping in the synchronous generator are introduced into power [...] Read more.
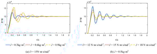
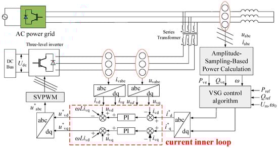
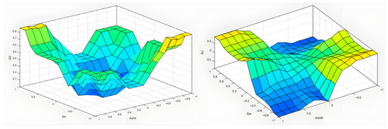
In this paper, virtual synchronous generator (VSG) technology is innovatively introduced into the distributor-unified power flow controller (D-UPFC) control to simulate the power generation characteristics of the synchronous generator. Concepts such as inertia and damping in the synchronous generator are introduced into power electronic equipment to provide voltage and frequency support for the system. The VSG control system, which specifically includes the virtual governor, the virtual excitation regulator, and the construction of the VSG model, is designed first. Then, the overall control combining the VSG and the series converter in D-UPFC is discussed. Finally, based on the influence of moment of inertia and damping coefficient on the response parameters, a VSG parameter adaptive control strategy based on refined fuzzy control was proposed. The simulation shows that this strategy can effectively reduce the active overshot and frequency deviation in the dynamic process of the system, eliminate secondary oscillations, and improve the dynamic response capability. Full article
Show Figures

Figure 1

26 pages, 3169 KB  
Article
Overcoming Barriers to Circular Economy in Plastic Packaging: Enablers and Integrated Strategies in Multinational Companies
by Daniela Bustamante, Abraham Londoño-Pineda, Jose Alejandro Cano and Stephan Weyers
Sustainability 2025, 17(21), 9757; https://doi.org/10.3390/su17219757 (registering DOI) - 1 Nov 2025
Abstract
The transition to a circular economy (CE) in plastic packaging faces persistent barriers, including regulatory fragmentation, technological limitations, and supply chain disconnection. This study examines how multinational companies address these challenges by leveraging enablers such as advanced policies, technological innovation, and cross-sectoral collaboration. [...] Read more.
The transition to a circular economy (CE) in plastic packaging faces persistent barriers, including regulatory fragmentation, technological limitations, and supply chain disconnection. This study examines how multinational companies address these challenges by leveraging enablers such as advanced policies, technological innovation, and cross-sectoral collaboration. Based on a PRISMA-guided systematic review and a descriptive–explanatory case study, semi-structured interviews with senior managers were analyzed through thematic coding and data triangulation. Findings reveal that regulatory measures like virgin plastic taxation and post-consumer recycled material (PCR) incentives are effective only when synchronized with technical capacities. Investments in recycling infrastructure and circular design, such as resin standardization, enhance the quality of secondary materials, while local supply contracts and digital traceability platforms reduce volatility. Nevertheless, negative consumer perceptions and inconsistent PCR quality remain major obstacles. Unlike prior studies that examine barriers and enablers separately, this research develops an integrative framework where their interaction is conceptualized as a systemic and non-linear process. The study contributes to CE theory by reframing barriers as potential drivers of innovation and provides practical strategies, combining policy instruments, Industry 4.0 technologies, and collaborative governance to guide multinational firms in accelerating circular transitions across diverse regulatory contexts. Full article
Show Figures

Figure 1

15 pages, 1787 KB  
Article
A Feasibility Study to Determine Whether Neuromuscular Adaptations to Equine Water Treadmill Exercise Can Be Detected Using Synchronous Surface Electromyography and Kinematic Data
by Lindsay St. George, Kathryn Nankervis, Victoria Walker, Christy Maddock, Amy Robinson, Jonathan Sinclair and Sarah Jane Hobbs
Animals 2025, 15(21), 3189; https://doi.org/10.3390/ani15213189 (registering DOI) - 1 Nov 2025
Abstract
Despite growing evidence on the adaptive movement patterns that horses adopt during water treadmill (WT) exercise, underlying adaptations in muscle activity remain uninvestigated. This feasibility study aimed to develop a method for the synchronous measurement of muscle activity and movement of horses during [...] Read more.
Despite growing evidence on the adaptive movement patterns that horses adopt during water treadmill (WT) exercise, underlying adaptations in muscle activity remain uninvestigated. This feasibility study aimed to develop a method for the synchronous measurement of muscle activity and movement of horses during WT exercise. Combined surface electromyography (sEMG) (2000 Hz) from selected hindlimb (biceps femoris, gluteus medius, tensor fascia latae) and epaxial (longissimus dorsi) muscles, and three-dimensional kinematic (200 Hz) data from the back and pelvis of one (n = 1) horse were collected during overground (OG), dry treadmill (TM), and WT walking conditions. Statistical parametric mapping evaluated differences in time- and amplitude-normalised sEMG and thoracolumbar and pelvis kinematic waveforms between conditions. Distinct, significant (p < 0.05) adaptations in hindlimb and epaxial muscle activation patterns and axial and pelvic kinematics, were observed in this horse across exercise conditions. Adaptive muscle activity was most pronounced in this horse during WT, compared to OG walking. These findings demonstrate the feasibility of this method, which combines sEMG and motion capture technologies to synchronously quantify equine movement and muscle activation patterns during WT exercise. This justifies the replication of this work in a larger sample of horses to inform evidence-based training and rehabilitation programmes. Full article
(This article belongs to the Section Equids)
Show Figures

Figure 1

25 pages, 6312 KB  
Review
Early Insights into AI and Machine Learning Applications in Hydrogel Microneedles: A Short Review
by Jannah Urifa and Kwok Wei Shah
Micro 2025, 5(4), 48; https://doi.org/10.3390/micro5040048 (registering DOI) - 31 Oct 2025
Abstract
Hydrogel microneedles (HMNs) act as non-invasive devices that can effortlessly merge with the human body for drug delivery and diagnostic purposes. Nonetheless, their improvement is limited by intricate and repetitive issues related to material composition, structural geometry, manufacturing accuracy, and performance enhancement. At [...] Read more.
Hydrogel microneedles (HMNs) act as non-invasive devices that can effortlessly merge with the human body for drug delivery and diagnostic purposes. Nonetheless, their improvement is limited by intricate and repetitive issues related to material composition, structural geometry, manufacturing accuracy, and performance enhancement. At present, there are only a limited number of studies accessible since artificial intelligence and machine learning (AI/ML) for HMN are just starting to emerge and are in the initial phase. Data is distributed across separate research efforts, spanning different fields. This review aims to tackle the disjointed and narrowly concentrated aspects of current research on AI/ML applications in HMN technologies by offering a cohesive, comprehensive synthesis of interdisciplinary insights, categorized into five thematic areas: (1) material and microneedle design, (2) diagnostics and therapy, (3) drug delivery, (4) drug development, and (5) health and agricultural sensing. For each domain, we detail typical AI methods, integration approaches, proven advantages, and ongoing difficulties. We suggest a systematic five-stage developmental pathway covering material discovery, structural design, manufacturing, biomedical performance, and advanced AI integration, intended to expedite the transition of HMNs from research ideas to clinically and commercially practical systems. The findings of this review indicate that AI/ML can significantly enhance HMN development by addressing design and fabrication constraints via predictive modeling, adaptive control, and process optimization. By synchronizing these abilities with clinical and commercial translation requirements, AI/ML can act as key facilitators in converting HMNs from research ideas into scalable, practical biomedical solutions. Full article
Show Figures

Figure 1

16 pages, 2525 KB  
Article
Study on Multi-Parameter Physical Processes and Flashover Threshold of Silicone Rubber Plate During AC Discharge in Salt Fog
by Xiaoxiang Wu, Yanpeng Hao, Haixin Wu, Jikai Bi, Zijian Wu and Lei Huang
Micromachines 2025, 16(11), 1241; https://doi.org/10.3390/mi16111241 - 31 Oct 2025
Abstract
External insulation of coastal power grids transmitting offshore wind power faces significant threats from salt fog flashovers. Current arc monitoring and early warning technologies for flashover are severely inadequate. Research on salt fog discharge processes and determining the threshold at the flashover brink [...] Read more.
External insulation of coastal power grids transmitting offshore wind power faces significant threats from salt fog flashovers. Current arc monitoring and early warning technologies for flashover are severely inadequate. Research on salt fog discharge processes and determining the threshold at the flashover brink for transmission equipment external insulation is crucial for ensuring the safe operation of coastal grids delivering offshore wind power. Fiber Bragg Grating (FBG), with its advantages of compact size, excellent insulation, and fast response, enables effective discharge monitoring and identification of the critical flashover state on external insulation surfaces. In this study, FBGs were embedded at the interfaces of typical external insulation specimens, including silicone rubber plates and epoxy resin plates, to conduct contaminated AC salt fog discharge tests. Synchronized measurements of visible light images, infrared thermal images, and FBG interface temperature were conducted to investigate the discharge physical processes on silicone rubber insulating surfaces and the flashover threshold based on FBG temperature rise rate. The results indicate that discharge process can be divided into three phases: arc initiation, extension, and flashover based on the characteristics of arc visible light images. By comparing arc locations in infrared and visible light images with the corresponding FBG interface temperature rise, the arc phase criterion of FBG interface temperature rise rate and position were proposed. Furthermore, through multiple experiments, it has been found that flashover occurs when both interface temperatures reached above 4.6 × 10−2 °C/s. This study provides a novel research methodology for physical process of external insulation discharge and flashover warning in coastal salt fog environments. Full article
Show Figures

Figure 1

18 pages, 2340 KB  
Article
The Potential of Using Birotor Machines in Modern Transport Means
by Oleksij Fomin, Mikhaylo Chubykalo, Oleksandr Lohvinenko, Václav Píštěk and Pavel Kučera
Machines 2025, 13(11), 994; https://doi.org/10.3390/machines13110994 - 29 Oct 2025
Viewed by 84
Abstract
The transport sector requires compact, reliable, and energy-efficient power units for modernization of road, rail, maritime, and aerial systems. Conventional piston and rotary machines often face limitations related to vibration, sealing losses, and manufacturing complexity. This study investigates birotor machines (BM), a class [...] Read more.
The transport sector requires compact, reliable, and energy-efficient power units for modernization of road, rail, maritime, and aerial systems. Conventional piston and rotary machines often face limitations related to vibration, sealing losses, and manufacturing complexity. This study investigates birotor machines (BM), a class of positive-displacement devices combining synchronized rotation of the rotor and housing. This configuration ensures smooth kinematics, near-complete dynamic balance, and simplified design. The working principle enables continuous volumetric transformation with reduced friction and leakage, enhancing efficiency and durability. Using generalized mathematical models (GMM) developed through statistical experimental design, optimal geometric parameters were determined with a root-mean-square error below 3%. A prototype birotor compressor (BC) designed for subway rolling stock achieved equivalent output performance (0.43 m3/min at 0.8 MPa) with 82% efficiency and a mass reduction from 130 kg to 32 kg. Comparative simulations and preliminary testing of BM-based internal combustion engines (BRICE) demonstrated 3–4 times smaller and lighter units with improved reliability and environmental characteristics. The results confirm that BM technology provides a feasible and manufacturable alternative to conventional designs, suitable for integration into next-generation transport and unmanned vehicle systems. Full article
(This article belongs to the Section Machine Design and Theory)
Show Figures

Figure 1

22 pages, 4714 KB  
Article
Dynamic Characterization of Civil Engineering Structures with Wireless MEMS Accelerometers
by Fabrizio Gara, Alessandra Corneli, Rocco Davide D’Aparo, Francesco Spegni and Gianluca Ranzi
Buildings 2025, 15(21), 3896; https://doi.org/10.3390/buildings15213896 - 28 Oct 2025
Viewed by 203
Abstract
Over the last couple of decades, significant efforts have been made to develop structural health monitoring solutions. The growing need for the dynamic characterization of structures supports the implementation of condition assessments, maintenance, and monitoring strategies for existing and new civil engineering structures, [...] Read more.
Over the last couple of decades, significant efforts have been made to develop structural health monitoring solutions. The growing need for the dynamic characterization of structures supports the implementation of condition assessments, maintenance, and monitoring strategies for existing and new civil engineering structures, and to provide increased safety for the public. Wireless monitoring systems are still being improved as the technology is finding a wider use for the monitoring of civil engineering structures, thanks to their easier installation and reduced costs when compared to the wired counterparts. In this context, this paper presents a new wireless network system for the dynamic characterization of civil engineering structures, whose distinguishing features comprise combining cutting-edge accelerometers, excellent signal synchronization, low battery consumption nodes, and a cloud-based framework to support the monitoring operations. The performance characteristics are validated through laboratory tests and are demonstrated on a newly constructed 211 m tall building. Full article
(This article belongs to the Section Building Structures)
Show Figures

Figure 1

24 pages, 1962 KB  
Systematic Review
Autonomous Hazardous Gas Detection Systems: A Systematic Review
by Boon-Keat Chew, Azwan Mahmud and Harjit Singh
Sensors 2025, 25(21), 6618; https://doi.org/10.3390/s25216618 - 28 Oct 2025
Viewed by 290
Abstract
Gas Detection Systems (GDSs) are critical safety technologies deployed in semiconductor wafer fabrication facilities to monitor the presence of hazardous gases. A GDS receives input from gas detectors equipped with consumable gas sensors, such as electrochemical (EC) and metal oxide semiconductor (MOS) types, [...] Read more.
Gas Detection Systems (GDSs) are critical safety technologies deployed in semiconductor wafer fabrication facilities to monitor the presence of hazardous gases. A GDS receives input from gas detectors equipped with consumable gas sensors, such as electrochemical (EC) and metal oxide semiconductor (MOS) types, which are used to detect toxic, flammable, or reactive gases. However, over time, sensors degradations, accuracy drift, and cross-sensitivity to interference gases compromise their intended performance. To maintain sensor accuracy and reliability, routine manual calibration is required—an approach that is resource-intensive, time-consuming, and prone to human error, especially in facilities with extensive networks of gas detectors. This systematic review (PROSPERO on 11th October 2025 Registration number: 1166004) explored minimizing or eliminating the dependency on manual calibration. Findings indicate that using properly calibrated gas sensor data can support advanced data analytics and machine learning algorithms to correct accuracy drift and improve gas selectivity. Techniques such as Principal Component Analysis (PCA), Support Vector Machines (SVMs), multivariate regression, and calibration transfer have been effectively applied to differentiate target gases from interferences and compensate for sensor aging and environmental variability. The paper also explores the emerging potential for integrating calibration-free or self-correcting gas sensor systems into existing GDS infrastructures. Despite significant progress, key research challenges persist. These include understanding the dynamics of sensor response drift due to prolonged gas exposure, synchronizing multi-sensor data collection to minimize time-related drift, and aligning ambient sensor signals with gas analytical references. Future research should prioritize the development of application-specific datasets, adaptive environmental compensation models, and hybrid validation frameworks. These advancements will contribute to the realization of intelligent, autonomous, and data-driven gas detection solutions that are robust, scalable, and well-suited to the operational complexities of modern industrial environments. Full article
(This article belongs to the Section Physical Sensors)
Show Figures

Figure 1

22 pages, 4657 KB  
Article
Navigating Intercultural Virtual Collaboration for Global Citizenship Education: Synchronous and Asynchronous Modalities
by Ingrid Van Rompay-Bartels, Luana Ferreira-Lopes and Clinton Watkins
Trends High. Educ. 2025, 4(4), 66; https://doi.org/10.3390/higheredu4040066 - 27 Oct 2025
Viewed by 236
Abstract
This paper investigates the advantages and challenges associated with synchronous and asynchronous activities in intercultural virtual collaboration (IVC) projects, particularly in relation to student satisfaction and learning outcomes. This study draws parallels between two distinct IVC projects. The first facilitated real-time interaction among [...] Read more.
This paper investigates the advantages and challenges associated with synchronous and asynchronous activities in intercultural virtual collaboration (IVC) projects, particularly in relation to student satisfaction and learning outcomes. This study draws parallels between two distinct IVC projects. The first facilitated real-time interaction among students, lecturers, and peers from partner universities in the Netherlands and Japan. In contrast, the second project involved separate live classes led by local instructors in the Netherlands and Spain and featured asynchronous interactions among peers. This latter arrangement required students to exercise a greater degree of autonomy in their collaborative efforts. In both IVC projects, students developed a business case study that explored the influence of cultural factors on international marketing strategies. They participated in discussions and reflective exercises concerning the issue of greenwashing within the selected company. Our research employs data derived from students’ final business case reports and satisfaction surveys. The surveys include both closed and open-ended questions to assess the effectiveness of the distinct IVC formats. Our research provides insights into the impact of the IVC formats on the student experience and learning. Findings indicate no substantial differences in the quality of work produced between the two formats; however, student satisfaction was notably higher in the synchronous model, highlighting that the way interactions are structured impacts the collaborative experience, even when final outputs are similar. This study offers important insights for educators navigating the challenges of virtual teaching and for policymakers looking to use digital technologies to foster a globally aware and responsible generation in an increasingly digital world. Full article
Show Figures

Figure 1

18 pages, 5109 KB  
Article
LEO-Enhanced Multi-GNSS Real-Time PPP Time Transfer
by Wei Xie, Kan Wang, Wen Lai, Mengjun Wu, Mengyuan Li and Xuhai Yang
Remote Sens. 2025, 17(21), 3549; https://doi.org/10.3390/rs17213549 - 27 Oct 2025
Viewed by 284
Abstract
GNSS Precise Point Positioning (PPP) technology has been applied to the time transfer for a long time, enabling time synchronization between two arbitrary stations on a global scale. Over the past decade, Low Earth Orbit (LEO) satellite constellations have been developed to enhance [...] Read more.
GNSS Precise Point Positioning (PPP) technology has been applied to the time transfer for a long time, enabling time synchronization between two arbitrary stations on a global scale. Over the past decade, Low Earth Orbit (LEO) satellite constellations have been developed to enhance GNSS, offering rapid geometry configuration variations that can accelerate PPP convergence and enhance the time link performance. In this contribution, LEO observations are integrated into GNSS to enhance the real-time PPP time transfer. Simulated LEO constellations with varying numbers of satellites are used to assess their impact on real-time PPP time transfer performance. One week of observation data from 11 globally distributed stations is used to generate 10 time links, and five experimental schemes are designed: (1) GPS/BDS-3/Galileo solution (GCE), (2) GCE with 120 LEO satellites (GCE+120L), (3) GCE with 180 LEO satellites (GCE+180L), (4) GCE with 240 LEO satellites (GCE+240L), and (5) GCE with 300 LEO satellites (GCE+300L). Results showed that compared to the GCE solution, integrating 120, 180, 240, and 300 LEO satellites increases the average number of observed satellites from 23.4 to 30.6, 34.1, 37.7, and 41.3, respectively, while reducing Time Dilution of Precision (TDOP) values from 0.547 to 0.424, 0.391, 0.363, and 0.342, respectively. Using 30 s observations, the average convergence time to STD of time link errors better than 0.1 ns is reduced from 7.95 to 5.94, 4.83, 4.46, and 4.45 min in static mode, with improvements of 25.3%, 39.2%, 43.9%, and 44.0%, respectively, and from 8.75 to 6.18, 5.17, 4.89, and 4.72 min in kinematic mode, with improvements of 29.3%, 40.8%, 44.1%, and 46.0%, respectively. Using 1 s observations, Scenarios GCE+120L, GCE+180L, GCE+240L, and GCE+300L can achieve 1 ns convergence within 1 min. The time link precision was also found to be significantly improved, i.e., from 0.337 to 0.243 ns in static mode with improvements of 27.9%, and from 0.377 to 0.253 ns in kinematic mode with improvements of 32.9%. The time link stability is significantly enhanced for averaging times between 60 and 20,000 s in both static and kinematic modes, with a maximum improvement of nearly 50%. These results have demonstrated that integrating LEO satellites can significantly enhance real-time PPP time transfer performance. Full article
(This article belongs to the Special Issue Advances in Multi-GNSS Technology and Applications)
Show Figures

Graphical abstract

16 pages, 2575 KB  
Article
Extending the ICESAT-2 ATLAS Lidar Capabilities to Other Planets Within Our Solar System
by John J. Degnan
Photonics 2025, 12(11), 1048; https://doi.org/10.3390/photonics12111048 - 23 Oct 2025
Viewed by 264
Abstract
The ATLAS lidar on NASA’s Earth-orbiting ICESat-2 satellite has operated continuously since its launch in September 2018, with no sign of degradation. Compared to previous international single-beam spaceborne lidars, which operated at a few tens of Hz, the single-photon-sensitive, six-beam ATLAS pushbroom lidar [...] Read more.
The ATLAS lidar on NASA’s Earth-orbiting ICESat-2 satellite has operated continuously since its launch in September 2018, with no sign of degradation. Compared to previous international single-beam spaceborne lidars, which operated at a few tens of Hz, the single-photon-sensitive, six-beam ATLAS pushbroom lidar provides 60,000 surface measurements per second and has accumulated almost 3 trillion surface measurements during its six years of operation. It also features a 0.5 m2 telescope aperture and a single, 5 Watt, frequency-doubled Nd:YAG laser generating a 10 KHz train of 1.5-nanosecond pulses at a green wavelength of 532 nm. The current paper investigates how, with minor modifications to the ATLAS lidar, this capability might be extended to other planets within our solar system. Crucial to this capability is the need to minimize the solar background seen by the lidar while simultaneously providing, for long time intervals (multiple months), an uninterrupted, modestly powered, multimegabit per second interplanetary laser communications link to a terminal in Earth orbit. The proposed solution is a pair of Earth and planetary satellites in high, parallel, quasi-synchronized orbits perpendicular to their host planet’s orbital planes about the Sun. High orbits significantly reduce the time intervals over which the interplanetary communications link is blocked by their host planets. Initial establishment of the interplanetary communications link is simplified during two specific time intervals per orbit when the sunlit image of the two planets are not displaced from their actual positions (“zero point ahead angle”). In this instance, sunlit planetary images and the orbiting satellite laser beacon can be displayed on the same pixelated detector array, thereby accelerating the coalignment of the two communication terminals. Various tables in the text provide insight for each of the eight planets regarding the impact of solar distance on the worst-case Signal-to-Noise Ratio (SNR), the effect of satellite orbital height on the duration of the unblocked interplanetary communications link, and the resulting planetary surface continuity and resolution in both the along-track and cross-track directions. For planets beyond Saturn, the laser power and/or transmit/receive telescope apertures required to transmit multimegabit-per-second lidar data back to Earth are major challenges given current technology. Full article
(This article belongs to the Special Issue Advances in Solid-State Laser Technology and Applications)
Show Figures

Figure 1

21 pages, 3559 KB  
Article
Forest Fire Monitoring and Energy Optimization Based on LoRa-Mesh Wireless Communication Technology
by Ziyi Li, Xiaowu Li and Jinxia Shang
Electronics 2025, 14(21), 4135; https://doi.org/10.3390/electronics14214135 - 22 Oct 2025
Viewed by 345
Abstract
Forest fire monitoring is of great significance for ecological protection and public safety. This study proposes a monitoring technology based on LoRa-Mesh (Long Range-Mesh) wireless communication, integrating temperature and humidity sensing, image acquisition, fire identification, data transmission, and energy-saving optimization. To address the [...] Read more.
Forest fire monitoring is of great significance for ecological protection and public safety. This study proposes a monitoring technology based on LoRa-Mesh (Long Range-Mesh) wireless communication, integrating temperature and humidity sensing, image acquisition, fire identification, data transmission, and energy-saving optimization. To address the limitations of traditional LoRa networks in flexibility and energy consumption, a Layered Dynamic Synchronization Energy-saving (LDSE) protocol is designed. By constructing a hierarchical network, employing implicit route exploration, multi-channel and multi-path communication, and time synchronization optimization, the protocol significantly reduces packet loss rate and system energy consumption. Experimental results demonstrate that the LDSE protocol outperforms the traditional Ad hoc On-Demand Distance Vector Routing Protocol (AODV) in terms of packet loss rate, energy consumption, and latency. Additionally, the proposed energy-saving algorithm significantly reduces system power consumption, with the node sleep-relay mode exhibiting optimal energy efficiency. Experimental verification confirms that the system achieves high reliability, low power consumption, and efficient data transmission, providing an effective IoT solution for forest fire prevention. Full article
Show Figures

Figure 1

17 pages, 3323 KB  
Article
Enhancing Torque Output for a Magnetic Actuation System for Robotic Spinal Distraction
by Yumei Li, Zikang Li, Ding Lu, Tairan Peng, Yunzhi Chen, Gang Fu, Zhenguo Nie and Fangyuan Wei
Sensors 2025, 25(20), 6497; https://doi.org/10.3390/s25206497 - 21 Oct 2025
Viewed by 439
Abstract
Magnetically controlled spinal growing rods, used for treating early-onset scoliosis (EOS), face a critical clinical limitation: insufficient distraction force. Compounding this issue is the inherent inability to directly monitor the mechanical output of such implants in vivo, which challenges their safety and efficacy. [...] Read more.
Magnetically controlled spinal growing rods, used for treating early-onset scoliosis (EOS), face a critical clinical limitation: insufficient distraction force. Compounding this issue is the inherent inability to directly monitor the mechanical output of such implants in vivo, which challenges their safety and efficacy. To overcome these limitations, optimizing the rotor’s maximum torque is essential. Furthermore, defining the “continuous rotation domain” establishes a vital safety boundary for stable operation, preventing loss of synchronization and loss of control, thus safeguarding the efficacy of future clinical control strategies. In this study, a transient finite element magnetic field simulation model of a circumferentially distributed permanent magnet–rotor system was established using ANSYS Maxwell (2024). The effects of the clamp angle between the driving magnets and the rotor, the number of pole pairs, the rotor’s outer diameter, and the rotational speed of the driving magnets on the rotor’s maximum torque were systematically analyzed, and the optimized continuous rotation domain of the rotor was determined. The results indicated that when the clamp angle was set at 120°, the number of pole pairs was one, the rotor outer diameter was 8 mm, the rotor achieved its maximum torque and exhibited the largest continuous rotation domain, while the rotational speed of the driving magnets had no effect on maximum torque. Following optimization, the maximum torque of the simulation increased by 201% compared with the pre-optimization condition, and the continuous rotation domain was significantly enlarged. To validate the simulation, a rotor torque measurement setup incorporating a torque sensor was constructed. Experimental results showed that the maximum torque improved from 30 N·mm before optimization to 90 N·mm after optimization, while the driving magnets maintained stable rotation throughout the process. Furthermore, a spinal growing rod test platform equipped with a pressure sensor was developed to evaluate actuator performance and measure the maximum distraction force. The optimized growing rod achieved a peak distraction force of 413 N, nearly double that of the commercial MAGEC system, which reached only 208 N. The simulation and experimental methodologies established in this study not only optimizes the device’s performance but also provides a viable pathway for in vivo performance prediction and monitoring, addressing a critical need in smart implantable technology. Full article
(This article belongs to the Special Issue Recent Advances in Medical Robots: Design and Applications)
Show Figures

Figure 1

28 pages, 2507 KB  
Systematic Review
Slow-Release Urea Technologies: Effects on Nitrogen Utilization and Small Ruminant Performance
by Leilson R. Bezerra, Pedro H. S. Mazza, Kevily H. de O. S. de Lucena, Maria Andrea F. Amorim, José Fabio P. de Moura, Juliana Paula F. de Oliveira, Ronaldo L. Oliveira, Analívia M. Barbosa, Mozart A. Fonseca and José Morais Pereira Filho
Ruminants 2025, 5(4), 50; https://doi.org/10.3390/ruminants5040050 - 21 Oct 2025
Viewed by 437
Abstract
Urea is one of the most widely used sources of non-protein nitrogen (NPN) in ruminant diets due to its low cost and high availability. However, its rapid solubilization in the rumen can result in abrupt ammonia release, leading to toxicity risks and low [...] Read more.
Urea is one of the most widely used sources of non-protein nitrogen (NPN) in ruminant diets due to its low cost and high availability. However, its rapid solubilization in the rumen can result in abrupt ammonia release, leading to toxicity risks and low nitrogen utilization efficiency. In this context, slow-release technologies, particularly microencapsulation, have been developed to synchronize NPN release with fermentable carbohydrate availability, thereby enhancing microbial protein synthesis, improving animal performance, and reducing environmental impacts. This review compiles recent advances in urea microencapsulation, emphasizing different wall materials such as waxes, lipids, polysaccharides, and fatty acids, as well as drying techniques and formulation strategies. Slow-release urea (SRU) addition in small ruminants’ diet may increase nutrient intake and digestibility, improve N balance, and reduce urinary excretion losses. Regarding performance, positive responses are observed when nitrogen release is properly synchronized with energy availability, although the results may vary depending on the encapsulant type, forage-to-concentrate ratio, and ruminal passage rate. Additionally, effects on meat quality and environmental parameters indicate that this technology holds not only zootechnical but also socio-environmental potential. It is concluded that urea microencapsulation can represent a promising alternative to optimize NPN use efficiency in ruminant production systems, though greater methodological standardization, long-term evaluations, and comparative economic analyses are required to encourage its broader adoption. Full article
(This article belongs to the Special Issue Feature Papers of Ruminants 2024–2025)
Show Figures

Figure 1

19 pages, 3339 KB  
Article
Sensorless Control of Permanent Magnet Synchronous Motor in Low-Speed Range Based on Improved ESO Phase-Locked Loop
by Minghao Lv, Bo Wang, Xia Zhang and Pengwei Li
Processes 2025, 13(10), 3366; https://doi.org/10.3390/pr13103366 - 21 Oct 2025
Viewed by 384
Abstract
Aiming at the speed chattering problem caused by high-frequency square wave injection in permanent magnet synchronous motors (PMSMs) during low-speed operation (200–500 r/min), this study intends to improve the rotor position estimation accuracy of sensorless control systems as well as the system’s ability [...] Read more.
Aiming at the speed chattering problem caused by high-frequency square wave injection in permanent magnet synchronous motors (PMSMs) during low-speed operation (200–500 r/min), this study intends to improve the rotor position estimation accuracy of sensorless control systems as well as the system’s ability to resist harmonic interference and sudden load changes. The goal is to enhance the control performance of traditional control schemes in this scenario and meet the requirement of stable low-speed operation of the motor. First, the study analyzes the harmonic error propagation mechanism of high-frequency square wave injection and finds that the traditional PI phase-locked loop (PI-PLL) is susceptible to high-order harmonic interference during demodulation, which in turn leads to position estimation errors and periodic speed fluctuations. Therefore, the extended state observer phase-locked loop (ESO-PLL) is adopted to replace the traditional PI-PLL. A third-order extended state observer (ESO) is used to uniformly regard the system’s unmodeled dynamics, external load disturbances, and harmonic interference as “total disturbances”, realizing real-time estimation and compensation of disturbances, and quickly suppressing the impacts of harmonic errors and sudden load changes. Meanwhile, a dynamic pole placement strategy for the speed loop is designed to adaptively adjust the controller’s damping ratio and bandwidth parameters according to the motor’s operating states (loaded/unloaded, steady-state/transient): large poles are used in the start-up phase to accelerate response, small poles are switched in the steady-state phase to reduce errors, and a smooth attenuation function is used in the transition phase to achieve stable parameter transition, balancing the system’s dynamic response and steady-state accuracy. In addition, high-frequency square wave voltage signals are injected into the dq axes of the rotating coordinate system, and effective rotor position information is extracted by combining signal demodulation with ESO-PLL to realize decoupling of high-frequency response currents. Verification through MATLAB/Simulink simulation experiments shows that the improved strategy exhibits significant advantages in the low-speed range of 200–300 r/min: in the scenario where the speed transitions from 200 r/min to 300 r/min with sudden load changes, the position estimation curve of ESO-PLL basically overlaps with the actual curve, while the PI-PLL shows obvious deviations; in the start-up and speed switching phases, dynamic pole placement enables the motor to respond quickly without overshoot and no obvious speed fluctuations, whereas the traditional fixed-pole PI control has problems of response lag or overshoot. In conclusion, the “ESO-PLL + dynamic pole placement” cooperative control strategy proposed in this study effectively solves the problems of harmonic interference and load disturbance caused by high-frequency square wave injection in the low-speed range and significantly improves the accuracy and robustness of PMSM sensorless control. This strategy requires no additional hardware cost and achieves performance improvement only through algorithm optimization. It can be directly applied to PMSM control systems that require stable low-speed operation, providing a reliable solution for the promotion of sensorless control technology in low-speed precision fields. Full article
Show Figures

Figure 1

Back to TopTop