Sign in to use this feature.

Years

Between: -

Subjects

remove_circle_outline
remove_circle_outline
remove_circle_outline
remove_circle_outline
remove_circle_outline
remove_circle_outline
remove_circle_outline
remove_circle_outline
remove_circle_outline

Journals

remove_circle_outline
remove_circle_outline
remove_circle_outline
remove_circle_outline
remove_circle_outline
remove_circle_outline
remove_circle_outline
remove_circle_outline
remove_circle_outline
remove_circle_outline

Article Types

Countries / Regions

remove_circle_outline
remove_circle_outline
remove_circle_outline
remove_circle_outline

Search Results (525)

Search Parameters:
Keywords = surface-adsorbed oxygen

Order results
Result details
Results per page
Select all
Export citation of selected articles as:
23 pages, 7879 KB  
Article
Modelling the Behaviour of Pollutant Indicators in Activated Carbon Adsorption of Oil and Textile Effluents
by Samia Rabet, Rachida Chemini, Gerhard Schäfer and Farid Aiouache
Processes 2026, 14(1), 63; https://doi.org/10.3390/pr14010063 - 24 Dec 2025
Abstract
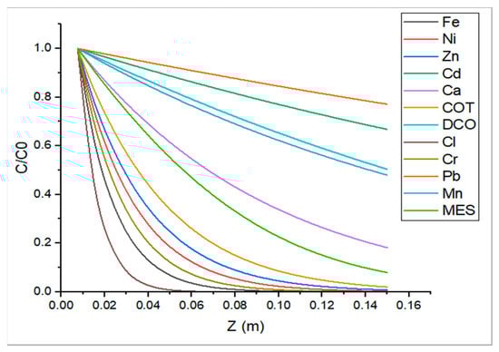
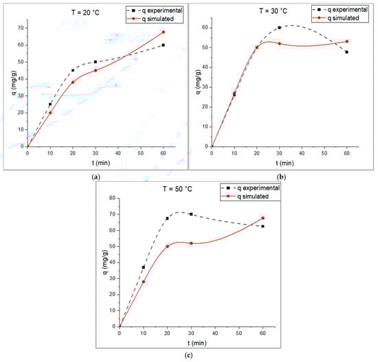
Simulation studies of adsorption in complex effluents are challenging due to nonlinear interactions between sorbents, adsorbates and carrying flows. This study investigates effluents from oil and textile industries, characterised by their heavy metal content and chemical oxygen demand. It examines the process in [...] Read more.
Simulation studies of adsorption in complex effluents are challenging due to nonlinear interactions between sorbents, adsorbates and carrying flows. This study investigates effluents from oil and textile industries, characterised by their heavy metal content and chemical oxygen demand. It examines the process in a continuous-flow laboratory-scale adsorption system. Results were validated using process modelling based on mass and energy conservation, applied to an industrial adsorber. The model described surface sorption mechanisms on bioactivated carbon at the molecular level and predicted breakthrough curve profiles, integrated with Aspen Plus ® adsorption simulation under industrially relevant conditions. Experimental data and model predictions showed good agreement, with relative deviations ranging from 0.2% to 24.6%. Differences in adsorption capacities between oily and textile effluents highlighted the influence of coexisting constituents. At the same time, the varied behaviour of identical components supported the hypothesis of multifactorial effects in complex mixtures. The optimisation study, using Response Surface Methodology with a Central Composite design, evaluated factors such as bed height, feed rate, and adsorption cycle time, achieving enhanced removal efficiencies of 62% for chemical oxygen demand and 25% for suspended solids. Full article
(This article belongs to the Section Environmental and Green Processes)
Show Figures

Figure 1

13 pages, 3682 KB  
Article
Stabilization and Steam Activation of Petroleum-Based Pitch-Derived Activated Carbons for Siloxane and H2S Gas Removal
by Geon-Hee Lee, Jin Kyun Kang, Byong Chol Bai and Yong-Wan Park
Materials 2025, 18(24), 5563; https://doi.org/10.3390/ma18245563 - 11 Dec 2025
Viewed by 200
Abstract
Activated carbons were synthesized from petroleum-based pitch and evaluated for the removal of trace siloxanes and hydrogen sulfide (H2S) from gas streams. Oxidative stabilization followed by steam activation produced high specific surface area with enlarged mesoporosity (BET up to 1620.9 m [...] Read more.
Activated carbons were synthesized from petroleum-based pitch and evaluated for the removal of trace siloxanes and hydrogen sulfide (H2S) from gas streams. Oxidative stabilization followed by steam activation produced high specific surface area with enlarged mesoporosity (BET up to 1620.9 m2 g−1), as confirmed by N2 sorption (BET/PSD), SEM, and elemental analysis. A GC/MS-based fixed-bed assay using 5 g of adsorbent, a 100 mL min−1 challenge flow, and a 30 min readout was employed to quantify performance under consistent conditions. Under these tests, siloxanes were not detected at 30 min, and H2S decreased to 0.38 ppm. Samples with greater mesopore volume while retaining high surface area showed higher 30 min removal. Surface-chemistry analysis indicated that oxygen functionalities introduced during stabilization facilitated pore development during subsequent steam activation without substantial loss of area. Taken together, the textural and adsorption results present a coherent picture in which a micro/mesopore architecture supports siloxane and H2S control under the stated test conditions. The study records the key testing parameters and performance values to enable practical comparison of petroleum-pitch-derived activated carbons for gas purification. Full article
(This article belongs to the Special Issue Obtaining and Characterization of New Materials (5th Edition))
Show Figures

Graphical abstract

15 pages, 3776 KB  
Article
Toxicity of 6:2 Chlorinated Polyfluorinated Ether Sulfonate (F-53B) to Escherichia coli: Growth Inhibition, Morphological Disruption, Oxidative Stress, and DNA Damage
by Jun Di, Zinian Li, Lixia Yuan, Jinxian Liu and Baofeng Chai
Microorganisms 2025, 13(12), 2819; https://doi.org/10.3390/microorganisms13122819 - 11 Dec 2025
Viewed by 319
Abstract
6:2 chlorinated polyfluoroalkyl ether sulfonic acid (F-53B), a substitute for perfluorooctane sulfonate (PFOS), is widely used as a mist suppressant in the electroplating industry. With the implementation of PFOS regulations, the use of F-53B has correspondingly increased, and it is now detected in [...] Read more.
6:2 chlorinated polyfluoroalkyl ether sulfonic acid (F-53B), a substitute for perfluorooctane sulfonate (PFOS), is widely used as a mist suppressant in the electroplating industry. With the implementation of PFOS regulations, the use of F-53B has correspondingly increased, and it is now detected in various environmental matrices. However, toxicological information on F-53B remains incomplete and insufficient for environmental risk assessment. In this study, we systematically investigated, for the first time, the toxicity and underlying mechanisms of action of F-53B to Escherichia coli. The results showed that the 24 h half-maximal growth inhibition concentration (IC50) of F-53B was 23.56 mg/L, suggesting that F-53B may exhibit higher toxicity to E. coli than PFOS. Analyses of cell surface hydrophobicity, membrane permeability, membrane composition, and scanning electron microscopy (SEM) images showed that F-53B adsorbed onto the cell surface, altered membrane properties, and ultimately disrupted cell morphology. Increased intracellular levels of reactive oxygen species (ROS) and malondialdehyde (MDA), along with decreased activities of superoxide dismutase (SOD) and catalase (CAT), indicated enhanced oxidative stress induced by F-53B in E. coli. Furthermore, the alkaline comet assay demonstrated that F-53B exposure caused DNA damage. Taken together, the toxicity of F-53B to E. coli can be attributed to cell morphological disruption, oxidative stress, and DNA damage, ultimately leading to cellular inactivation or death. These findings advance our understanding of the cytotoxicity of F-53B in microorganisms. Full article
(This article belongs to the Section Environmental Microbiology)
Show Figures

Graphical abstract

22 pages, 12956 KB  
Article
Synthesis by Sol-Gel and Coprecipitation of Zn1−xFexO Nanoparticles for the Adsorption of Congo Red Dye
by Carla Yamila Potiliski, Gustavo Raúl Kramer, Florencia Alejandra Bruera, Pedro Darío Zapata and Alicia Esther Ares
Processes 2025, 13(12), 3954; https://doi.org/10.3390/pr13123954 - 7 Dec 2025
Viewed by 343
Abstract
The influence of synthesis method on the properties of Zn1−xFexO nanoparticles with different Fe doping levels (x = 0, 0.01, 0.03, and 0.05) for Congo Red (CR) adsorption was investigated. Nanoparticles were prepared by sol–gel and coprecipitation and characterized [...] Read more.
The influence of synthesis method on the properties of Zn1−xFexO nanoparticles with different Fe doping levels (x = 0, 0.01, 0.03, and 0.05) for Congo Red (CR) adsorption was investigated. Nanoparticles were prepared by sol–gel and coprecipitation and characterized by XRD, SEM-EDS, FTIR, and BET analyses. Sol–gel synthesis produced smaller particles (~13 nm) than coprecipitation (~35 nm), and both the method and calcination temperature strongly affected crystallite size. Sol–gel nanoparticles showed significantly higher adsorption efficiency (~90%) due to their larger BET surface area, greater BJH pore volume, and smaller particle size, which increased the number of accessible active sites. In contrast, coprecipitation nanoparticles exhibited a much lower adsorption capacity (~24%). Fe incorporation further enhanced performance by introducing lattice distortions and oxygen vacancies, as evidenced by XRD peak broadening and increased lattice strain. SEM images displayed particle growth and compaction after adsorption, particularly in doped samples. Temperature-dependent experiments indicated that undoped ZnO lost efficiency at 60 °C due to weak physical interactions, whereas Fe-doped nanoparticles maintained high adsorption, due to improved stability of the adsorbent-adsorbate bond. The combination of Fe doping and sol–gel synthesis significantly improved the properties of ZnO, yielding highly efficient adsorbents suitable for environmental remediation. Full article
(This article belongs to the Section Materials Processes)
Show Figures

Graphical abstract

19 pages, 3359 KB  
Article
Mn-MOFs with Different Morphologies Derived MnOx Catalysts for Efficient CO Catalytic Oxidation
by Fukun Bi, Yanxuan Wang, Jingyi He, Haoyu Qu, Hongxin Li, Baolin Liu, Yuxin Wang and Xiaodong Zhang
Catalysts 2025, 15(12), 1145; https://doi.org/10.3390/catal15121145 - 5 Dec 2025
Viewed by 506
Abstract
The design of efficient catalysts is vital for the application of catalytic oxidation technology in the removal of gaseous pollutants. Herein, a series of MnOx catalysts with the typical Mn2O3 crystal structure was synthesized via the high-temperature pyrolysis method [...] Read more.
The design of efficient catalysts is vital for the application of catalytic oxidation technology in the removal of gaseous pollutants. Herein, a series of MnOx catalysts with the typical Mn2O3 crystal structure was synthesized via the high-temperature pyrolysis method by using Mn-based metal–organic frameworks (Mn-MOFs) with various morphologies as the precursors. The physicochemical properties of these Mn-MOF-derived MnOx samples were investigated by various characterization techniques, including X-ray diffraction (XRD), thermogravimetry (TG), N2 adsorption–desorption, scanning electron microscope (SEM), and H2 temperature-programmed reduction (H2-TPR), and their catalytic activity was evaluated for catalytic CO degradation. The results showed that the Mn-MOF with leaf-like morphology, derived MnOx-Leaf, presented the optimal catalytic CO oxidation performance (T98 = 214 °C), stability, and reusability. Characterization results showed that the different Mn-MOF-derived MnOx catalysts possessed different physical–chemical properties. The superior catalytic activity of MnOx-Leaf for CO degradation was ascribed to its large surface area and pore size, better low-temperature redox properties, and high H2 consumption, which promoted the adsorption and activation of the CO and gaseous oxygen molecules, improving CO oxidation. Finally, the possible CO degradation pathway was evaluated by in situ diffuse reflectance Fourier transform infrared spectroscopy (DRIFTS), which showed that gaseous CO and O2 were adsorbed on the surface of the catalyst and oxidized to form surface carbon-related species (bicarbonate and carbonate), and finally converted to CO2. Full article
(This article belongs to the Special Issue Porous Catalytic Materials for Environmental Purification)
Show Figures

Figure 1

16 pages, 2866 KB  
Article
Bifunctionalized Polyethyleneimine-Based Sponge for Adsorption of Ibuprofen from Aqueous Solution
by Xiaoyi Gou, Zia Ahmad, Zaijin You and Zhou Ren
Polymers 2025, 17(23), 3221; https://doi.org/10.3390/polym17233221 - 3 Dec 2025
Viewed by 366
Abstract
A quaternized and phenyl-functionalized hyperbranched PEI-based sponge (SHPEI-QP) was successfully prepared, and its adsorption performance was investigated to evaluate its potential for removing the anionic non-steroidal anti-inflammatory drug (ibuprofen (IBU)). We reported that the synthesis of polyethyleneimine-based sponges was achieved through [...] Read more.
A quaternized and phenyl-functionalized hyperbranched PEI-based sponge (SHPEI-QP) was successfully prepared, and its adsorption performance was investigated to evaluate its potential for removing the anionic non-steroidal anti-inflammatory drug (ibuprofen (IBU)). We reported that the synthesis of polyethyleneimine-based sponges was achieved through cryo-polymerization using 1,4-butanediol diglycidyl ether (BDDE) as the crosslinking agent. Subsequent functionalization with resorcinol diglycidyl ether (RDGE) and trimethylamine introduced quaternary ammonium cations, imparting strong basicity and hydrophilicity, as well as phenyl groups, conferring hydrophobic characteristics, respectively. The aforementioned sponge material, SHPE-QPI, primarily facilitates the efficient adsorption of IBU in aqueous solutions through the anion exchange properties of quaternary ammonium groups and the π-π interactions associated with oxygen-activated benzene rings. Various characterizations, such as scanning electron microscopy (SEM), Fourier transform infrared spectroscopy (FT-IR), X-ray photoelectron spectroscopy (XPS), and specific surface area determination method (BET), confirmed the successful synthesis of the bifunctionalized SHPEI-QP adsorbent. This adsorbent features a porous structure (specific surface area of 77.2 m2 g−1 and pore size distribution of 25–100 nm) and an isoelectric point (pHpzc) of 9.38. The adsorption kinetics of the adsorbent for IBU were extremely rapid and conformed to a pseudo-second-order kinetic model, and the adsorption isotherm aligned with the Langmuir isotherm model. Noteworthily, SHPEI-QP demonstrated an exceptionally high adsorption capacity for IBU, achieving a maximum uptake of 905.73 mg g−1 at pH 7.0, which surpassed that of most of the previous reported adsorbents. Moreover, the sponge material can be chemically regenerated. After eight cycles of use, the adsorption efficiency decreased by only 4%. These findings suggest that the synthesized dendritic anion exchange adsorbent represents a promising candidate for the removal of IBU from contaminated water sources. Full article
(This article belongs to the Section Polymer Applications)
Show Figures

Graphical abstract

18 pages, 2487 KB  
Article
Enhanced Adsorption of Bisphenol a on Lignin-Derived Biochars: Role of Thermal and Phosphoric Acid Activation in Surface Functionalization and Mechanism
by Francisco Flores-Céspedes, Iván González-Fernández, Manuel Fernández-Pérez and Luis García-Fuentes
Polymers 2025, 17(23), 3159; https://doi.org/10.3390/polym17233159 - 27 Nov 2025
Viewed by 387
Abstract
This study investigated the adsorption behavior of bisphenol A (BPA) onto a series of thermally and acid-activated biochars to elucidate the relationship between the surface properties and adsorption performance. Characterization analyses (FTIR, SEM, BET, elemental composition, and PZC) revealed that phosphoric acid activation [...] Read more.
This study investigated the adsorption behavior of bisphenol A (BPA) onto a series of thermally and acid-activated biochars to elucidate the relationship between the surface properties and adsorption performance. Characterization analyses (FTIR, SEM, BET, elemental composition, and PZC) revealed that phosphoric acid activation significantly increased the surface area, pore development, and oxygen/phosphate functionalization, lowering the point of zero charge (PZC = 1.3) and enhancing the surface acidity. The kinetic data fitted well to the pseudo-second-order model, indicating a chemisorption-controlled process, while the equilibrium data were best described by the Langmuir model, with a maximum adsorption capacity (qm = 262.28 ± 14.3 mg·g−1) for the acid-activated biochar (LB450-H3PO4). Thermodynamic analysis confirmed that the adsorption process is spontaneous and endothermic (ΔH° > 0), with a highly favorable entropy contribution. The effects of solution pH, adsorbent dosage, initial BPA concentration, and temperature demonstrated optimal removal under acidic to neutral conditions and moderate dosage (0.2 g·L−1). Overall, the findings highlight that phosphoric acid activation effectively enhances surface functionality and charge properties, transforming biochar into a highly efficient and sustainable adsorbent for the removal of phenolic contaminants from aqueous solutions. Full article
(This article belongs to the Section Biobased and Biodegradable Polymers)
Show Figures

Figure 1

21 pages, 7198 KB  
Article
Linking Defect-Controlled Grain Growth and Band-Edge Optical Response in Chymosin-Assisted Pechini-Derived CeO2−δ Nanoparticles
by Maria Suêd M. Assis, Jorge A. V. Gonçalves, Robert S. Matos and Nilson S. Ferreira
Materials 2025, 18(23), 5282; https://doi.org/10.3390/ma18235282 - 23 Nov 2025
Viewed by 448
Abstract
We investigate how grain growth, strain relaxation, and vacancy chemistry shape the near-edge optical response of nanocrystalline CeO2δ prepared by a chymosin-assisted Pechini route from nitrate–citrate precursors. Rietveld line-profile analysis shows that phase-pure CeO2δ forms [...] Read more.
We investigate how grain growth, strain relaxation, and vacancy chemistry shape the near-edge optical response of nanocrystalline CeO2δ prepared by a chymosin-assisted Pechini route from nitrate–citrate precursors. Rietveld line-profile analysis shows that phase-pure CeO2δ forms after calcination between 400 and 1000 °C. Over this range, the average crystallite size increases from ≈3.4 to ≈57 nm, while the microstrain decreases from 0.79% to 0.05%, with size–strain scaling consistent with interface-controlled grain growth that follows a normal growth law with exponent m=2 and activation energy Q155 kJ mol1. Raman spectroscopy tracks the sharpening of the F2g mode and the fading of defect-related bands, X-ray photoelectron spectroscopy reveals a nonmonotonic evolution of the surface Ce3+ fraction and separates lattice from adsorbed oxygen species, and electron paramagnetic resonance detects vacancy-bound Ce3+ polarons that weaken at high temperature. Diffuse-reflectance UV–Vis spectra show a modest blue shift of the apparent band gap from Eg2.78 to 2.95 eV as crystallites coarsen, while the Urbach energy Eu follows the Ce3+ content and sub-gap tailing. The structural, spectroscopic, and optical results together map out a quantitative connection between grain growth, vacancy populations, and near-edge optical properties in CeO2δ nanoparticles. Full article
Show Figures

Figure 1

23 pages, 6924 KB  
Article
Adsorption Ability of Soft Magnetic FeCo Alloys for Microplastics
by Shenghao Zhang, Lan Zhang, Xingfu Wang, Pinhua Xia, Zhenming Zhang, Xianfei Huang and Xuetao Guo
Water 2025, 17(22), 3305; https://doi.org/10.3390/w17223305 - 19 Nov 2025
Viewed by 434
Abstract
Microplastics pose significant threats to human health and the environment, and environmentally friendly, efficient, and reliable technologies are needed to remove them from the environment. To explore the potential for metal nanoadsorbents to remove microplastics (MPs) from water, soft magnetic FeCo alloys were [...] Read more.
Microplastics pose significant threats to human health and the environment, and environmentally friendly, efficient, and reliable technologies are needed to remove them from the environment. To explore the potential for metal nanoadsorbents to remove microplastics (MPs) from water, soft magnetic FeCo alloys were successfully synthesized and loaded onto carboxymethyl cellulose. The adsorption performance and mechanisms of soft magnetic FeCo alloys on typical microplastic pollutants, specifically polyethylene microplastics, were systematically studied. Characterization work performed through scanning electron microscopy, an X-ray diffraction analysis and Brunner−Emmett−Teller measurements (SEM, XRD and BET, respectively) confirmed that soft magnetic FeCo alloys possess a typical solid solution structure, abundant hydroxyl functional groups, and a high BET surface area of 142.8302 m2/g, providing sufficient active sites for MP adsorption. At 35 °C, the equilibrium adsorption capacity reached 120.92 mg/g, with a removal rate of 89.33% at a sufficient adsorbent concentration (0.5 g/L); the adsorption kinetics followed a pseudo-second-order kinetic model (R2 > 0.99). Additionally, the adsorption isotherm conformed to the Freundlich model (R2 = 0.969), demonstrating multilayer adsorption characteristics. Furthermore, X-ray photoelectron spectroscopy and Fourier-transform infrared spectroscopy (XPS and FTIR analyses, respectively) indicated that the surface of FeCo is hydrophilic because of catalytic oxidation reactions, resulting in the exposure of polar groups (such as carboxyl and hydroxyl groups) on the microplastic surface, which form hydrogen bonds with oxygen or water molecules on the FeCo surface. The resulting redox vacancies provide ample active sites for the adsorption of microplastics. This study confirms the high microplastic adsorption capacity of soft magnetic FeCo alloys in aquatic environments. Full article
(This article belongs to the Section Wastewater Treatment and Reuse)
Show Figures

Figure 1

21 pages, 6864 KB  
Article
Synergistic Impact of Copper Nanoparticles Functionalized with Magnetic Chitosan on the Enhanced Adsorptive Sequestration of Metformin Diabetic Drug from Environmental Samples
by Khairia M. Al-Ahmary, Abeer H. Aljadaani and Amr A. Yakout
Polymers 2025, 17(22), 3046; https://doi.org/10.3390/polym17223046 - 17 Nov 2025
Viewed by 596
Abstract
Pharmaceutical residues, including a wide range of therapeutic drugs, have been increasingly reported in drinking water sources worldwide, raising environmental concerns due to their potential impact on aquatic ecosystems. Among the available treatment approaches, adsorption has emerged as one of the most reliable [...] Read more.
Pharmaceutical residues, including a wide range of therapeutic drugs, have been increasingly reported in drinking water sources worldwide, raising environmental concerns due to their potential impact on aquatic ecosystems. Among the available treatment approaches, adsorption has emerged as one of the most reliable methods for eliminating these pollutants. In the present study, metformin was effectively removed from water using a nanocomposite adsorbent consisting of copper nanoparticles anchored onto magnetic chitosan (Cu@MCS). The removal of metformin by Cu@MCS was governed by several mechanisms: surface complexation with copper species, electrostatic interactions, hydrophobic associations between the drug’s methyl groups and magnetite, and hydrogen bonding between metformin’s amino groups and oxygenated functional groups of chitosan. The structural and surface properties of the nanocomposite were characterized through FTIR, XPS, XRD, SEM, and HRTEM analyses. Key experimental factors, such as initial drug concentration, contact time, pH, and ionic strength, were systematically optimized to maximize adsorption efficiency. Adsorption data closely followed the Langmuir isotherm model, with a maximum capacity (qm;) of 52.91 mg·g−1 at 298 K. Regeneration tests demonstrated excellent reusability, showing only a 3.7% decline in performance after six adsorption–desorption cycles. The Cu@MCS material also proved effective in removing metformin from diverse real water samples, including river water, wastewater, bottled water, and tap water. A notable advantage of this nanosorbent is its magnetic separability, which enables straightforward recovery from solution, even at low contaminant levels and with large sample volumes. These results underline the potential of magnetic chitosan-based nanocomposites as fast, efficient, and reusable adsorbents for the removal of pharmaceutical contaminants from aquatic systems. Full article
Show Figures

Figure 1

18 pages, 4561 KB  
Article
Screening and Evaluation of Sorbents for the Detection of Oil Field VOC Microseepage
by Vera Solovyeva, Maxim Orlov, Vyacheslav Grokhovsky, Roman Borisov, Anastasiya Kanateva, Galina Petukhova, Ivan Pytskii, Ibrahim Atwah and Mohammed Abu Alreesh
Processes 2025, 13(11), 3703; https://doi.org/10.3390/pr13113703 - 17 Nov 2025
Viewed by 398
Abstract
Geochemical exploration offers a cost-effective means of identifying subsurface oil and gas accumulations through the detection of volatile organic compounds (VOCs), which serve as markers of underlying hydrocarbon systems. These indicators may appear as visible macroseeps or as subtle microseepage, detectable only through [...] Read more.
Geochemical exploration offers a cost-effective means of identifying subsurface oil and gas accumulations through the detection of volatile organic compounds (VOCs), which serve as markers of underlying hydrocarbon systems. These indicators may appear as visible macroseeps or as subtle microseepage, detectable only through advanced analytical methods. A widely used approach involves deploying specialized sorbent materials a few meters below the surface to capture VOCs, followed by gas chromatography–mass spectrometry (GC-MS) for analysis. Given the range of available adsorbents, selecting materials with optimal performance is critical. We developed a laboratory method to evaluate the adsorption affinity of various commercial and custom-made sorbents toward hydrocarbon mixtures, including nitrogen-, oxygen-, and sulfur-containing derivatives. Using natural crude oil in a simulated microseepage setup, we screened a library of sorbents to identify those most effective for capturing oil-related markers. The complexity of the VOC mixtures required advanced separation, for which we employed two-dimensional high-resolution gas chromatography with time-of-flight mass spectrometry (HR-GCxGC-TOF-MS). The screening revealed clear differences in sorbent performance based on analyte diversity and concentration, assessed through thermal desorption/HR-GCxGC-MS and BET surface area analysis. Two custom sorbents, composed of carbon nanomaterials, outperformed a commercial benchmark in both adsorption capacity and analyte diversity, making them strong candidates for future field deployment in surface geochemical exploration. Full article
Show Figures

Figure 1

16 pages, 2076 KB  
Article
Adsorption Kinetics and Pollutant Capture in Aqueous Media Using Biochar from Pyrolyzed Fique Pellets
by Adriana M. Quinchia-Figueroa, Nevis A. Ruiz Márquez, Mariana Bustamante-Durango, Mario A. Sánchez, Juan C. Maya, Roger Solano and Farid Chejne
Reactions 2025, 6(4), 61; https://doi.org/10.3390/reactions6040061 - 13 Nov 2025
Viewed by 604
Abstract
Biochar has emerged as a promising adsorbent for removing organic pollutants from aqueous media, with its efficiency strongly influenced by the feedstock and pyrolysis conditions. In this study, biochar produced from fique pellets under controlled pyrolysis was evaluated using methylene blue (MB) as [...] Read more.
Biochar has emerged as a promising adsorbent for removing organic pollutants from aqueous media, with its efficiency strongly influenced by the feedstock and pyrolysis conditions. In this study, biochar produced from fique pellets under controlled pyrolysis was evaluated using methylene blue (MB) as a model contaminant. The cation exchange capacity reached up to 17 meq g−1 for biochar obtained at lower temperatures, while those produced at 700 °C showed values below the detection limit, consistent with the depletion of oxygenated functional groups observed in FTIR spectra. Batch adsorption experiments revealed removal efficiencies above 99% for biochar produced at 550 °C and 700 °C (45 min). The 700 °C biochar exhibited faster initial adsorption due to its larger surface area, whereas the 550 °C biochar achieved higher and more stable overall removal over prolonged contact times, attributed to the preservation of surface functional groups and measurable CEC. Kinetic modeling demonstrated that the adsorption process followed the Özer model, indicating heterogeneous surface interactions and diffusion-controlled steps. These results highlight the influence of pyrolysis temperature on adsorption kinetics and support the potential of biochar obtained from fique pellets as a sustainable, low-cost material for water purification and agro-industrial residue valorization. Full article
Show Figures

Figure 1

26 pages, 7300 KB  
Review
Recent Advances in the Design and Structure–Activity Relationships of Oxygen Evolution Catalysts for Alkaline Water Electrolysis
by Limin Wang, Xinyue Liu, Cunxiao Lai, Jiabao Liu, Wenqi Wang, Xiaomei Wang, Xin Bo, Tao Cheng, Jianfeng Li, Zenglin Wang and Xubin Lu
Molecules 2025, 30(22), 4350; https://doi.org/10.3390/molecules30224350 - 10 Nov 2025
Viewed by 1305
Abstract
Electrocatalytic water splitting offers a promising route to sustainable H2, but the oxygen evolution reaction (OER) in alkaline media remains the principal bottleneck for activity and durability. This review focuses on alkaline OER and integrates mechanism, kinetics, materials design, and cell-level [...] Read more.
Electrocatalytic water splitting offers a promising route to sustainable H2, but the oxygen evolution reaction (OER) in alkaline media remains the principal bottleneck for activity and durability. This review focuses on alkaline OER and integrates mechanism, kinetics, materials design, and cell-level considerations. Reaction mechanisms are outlined, including the adsorbate evolution mechanism (AEM) and the lattice oxygen mediated mechanism (LOM), together with universal scaling constraints and operando reconstruction of precatalysts into active oxyhydroxides. Strategies for electronic tuning, defect creation, and heterointerface design are linked to measurable kinetics, including iR-corrected overpotential, Tafel slope, charge transfer resistance, and electrochemically active surface area (ECSA). Representative catalyst families are critically evaluated, covering Ir and Ru oxides, Ni-, Fe-, and Co-based compounds, carbon-based materials, and heterostructure systems. Electrolyte engineering is discussed, including control of Fe impurities and cation and anion effects, and gas management at current densities of 100–500 mA·cm−2 and higher. Finally, we outline challenges and directions that include operando discrimination between mechanisms and possible crossover between AEM and LOM, strategies to relax scaling relations using dual sites and interfacial water control, and constant potential modeling with explicit solvation and electric fields to enable efficient, scalable alkaline electrolyzers. Full article
(This article belongs to the Topic Electrocatalytic Advances for Sustainable Energy)
Show Figures

Figure 1

16 pages, 2882 KB  
Article
Water–Gas Shift Activity over Supported Ni and Co Catalysts
by Weerayut Srichaisiriwech and Pannipa Nachai
J. Compos. Sci. 2025, 9(11), 609; https://doi.org/10.3390/jcs9110609 - 5 Nov 2025
Viewed by 1305
Abstract
The activity of Co- and Ni-containing ceria-based catalysts for water–gas shift (WGS) reaction were examined in this work. The catalysts were prepared by the urea co-precipitation method. Sm and Pr dopant (5 wt.%) was used as a structural stabilizer of CeO2, [...] Read more.
The activity of Co- and Ni-containing ceria-based catalysts for water–gas shift (WGS) reaction were examined in this work. The catalysts were prepared by the urea co-precipitation method. Sm and Pr dopant (5 wt.%) was used as a structural stabilizer of CeO2, while Co or Ni was used in a small amount (1 wt.%). H2-TPR experiments indicate that both Sm and Pr addition increased the reducibility of CeO2. Among the studies’ catalysts, 1%Ni/Ce5%SmO exhibited the highest WGS activity. In addition, WGS rate was measured in the temperature range of 200–400 °C for Ni supported on CeO2, Ce5%SmO, and Ce5%PrO. The activation energy of the reaction over 1%Ni/Ce5%SmO was 57 kJ/mol, while it was 61 and 66 kJ/mol, respectively, over 1%Ni/Ce5%PrO and 1%Ni/CeO2 catalysts. A WGS reaction mechanism, CO adsorbed on the metal cluster is oxidized by oxygen supplied from the CeO2 support at the metal–ceria interface. This oxygen is then re-oxidized by H2O, which caps the oxygen vacancy on the ceria surface, and thereby oxygen vacancies serve as active sites for the WGS reaction. Raman experiments indicate that the presence of Sm in 1%Ni/Ce5%SmO catalyst promoted the formation of oxygen vacancies, leading to enhanced WGS performance. Full article
(This article belongs to the Section Composites Applications)
Show Figures

Figure 1

19 pages, 3064 KB  
Article
Time-Dependent Hydrothermal Synthesis of TiO2 in the Presence of Zn2+: Effects on Photoconductivity
by Tilemachos Georgakopoulos, Georgios Samourgkanidis, Nadia Todorova, Christos Trapalis and Katerina Pomoni
Nanomanufacturing 2025, 5(4), 17; https://doi.org/10.3390/nanomanufacturing5040017 - 3 Nov 2025
Viewed by 553
Abstract
Titanium dioxide nanoparticles were synthesized via hydrothermal treatment of tetrabutyl titanate in sulfuric acid, with controlled reaction times (10 h and 24 h) and zinc sulfate as a modifier. XRD confirmed exclusive formation of the anatase phase, with longer reaction times promoting crystallite [...] Read more.
Titanium dioxide nanoparticles were synthesized via hydrothermal treatment of tetrabutyl titanate in sulfuric acid, with controlled reaction times (10 h and 24 h) and zinc sulfate as a modifier. XRD confirmed exclusive formation of the anatase phase, with longer reaction times promoting crystallite growth. SEM and BET analyses showed that introducing Zn during synthesis suppressed agglomeration, decreased the particle size, and modified porosity while maintaining the mesoporous nature of all samples. UV–Vis diffuse reflectance spectroscopy showed a band gap near 3.2 eV, which was unaffected by Zn content or morphology. Photoconductivity studies showed a several-orders-of-magnitude increase in conductivity under vacuum conditions, especially in samples heat-treated for 24 h, due to the generation of oxygen vacancies and Ti3+ states that prolong the carrier lifetime. In particular, the TS24Z8 sample exhibited a photoconductivity enhancement of five orders of magnitude relative to its dark conductivity and nearly 30 times higher than that of the commercial P25 benchmark. In contrast, in air, photoconductivity remained low because of strong surface recombination with adsorbed oxygen. These results emphasize the critical influence of hydrothermal duration and zinc incorporation on the defect structure and electronic response of TiO2, offering insights for improved photocatalytic and optoelectronic applications. Full article
Show Figures

Figure 1

Back to TopTop