Sign in to use this feature.

Years

Between: -

Subjects

remove_circle_outline
remove_circle_outline
remove_circle_outline
remove_circle_outline
remove_circle_outline
remove_circle_outline
remove_circle_outline
remove_circle_outline
remove_circle_outline

Journals

remove_circle_outline
remove_circle_outline
remove_circle_outline
remove_circle_outline
remove_circle_outline
remove_circle_outline
remove_circle_outline
remove_circle_outline

Article Types

Countries / Regions

remove_circle_outline
remove_circle_outline
remove_circle_outline
remove_circle_outline
remove_circle_outline

Search Results (538)

Search Parameters:
Keywords = supply chain robustness

Order results
Result details
Results per page
Select all
Export citation of selected articles as:
20 pages, 523 KB  
Article
Cultivating Risk-Response Capability: The Impact of Partner Compatibility and Supply Chain Collaboration
by Su Kyong Cho, Pyoungsoo Lee and Dawoon Jung
Systems 2025, 13(12), 1130; https://doi.org/10.3390/systems13121130 - 18 Dec 2025
Viewed by 135
Abstract
Supply chains operate in increasingly volatile environments, making it essential to understand the mechanisms through which partner characteristics shape risk-response capability. This study examines how compatibility between supply chain partners promotes collaboration and, in turn, strengthens robustness and resilience. Using survey data from [...] Read more.
Supply chains operate in increasingly volatile environments, making it essential to understand the mechanisms through which partner characteristics shape risk-response capability. This study examines how compatibility between supply chain partners promotes collaboration and, in turn, strengthens robustness and resilience. Using survey data from 219 managers in South Korea, the study develops a conceptual model grounded in congruence theory and the dynamic capability view, and tests it through partial least squares path modeling. The results show that compatibility enhances collaboration, which subsequently improves risk-response capability and mediates the effect of compatibility on robustness and resilience. These findings provide empirical support for a capability-building mechanism in which inter-organizational compatibility enables more effective collaborative practices that enhance a supply chain’s ability to withstand and recover from disruptions. The study extends prior research by shifting the discussion of compatibility from interpersonal or person–organization settings to the inter-organizational domain and by demonstrating its critical role in cultivating dynamic capabilities in supply chain risk management. Full article
Show Figures

Figure 1

28 pages, 5033 KB  
Article
Simulation Method for Hydraulic Tensioning Systems in Tracked Vehicles Using Simulink–AMESim–RecurDyn
by Zian Ding, Shufa Sun, Hongxing Zhu, Zhiyong Yan and Yuan Zhou
Actuators 2025, 14(12), 615; https://doi.org/10.3390/act14120615 - 17 Dec 2025
Viewed by 238
Abstract
We developed a robust tri-platform co-simulation framework that integrates Simulink, AMESim, and RecurDyn to address the dynamic inconsistencies observed in traditional tensioning models for tracked vehicles. The proposed framework synchronizes nonlinear hydraulic dynamics, closed-loop control, and track–ground interactions within a unified time step, [...] Read more.
We developed a robust tri-platform co-simulation framework that integrates Simulink, AMESim, and RecurDyn to address the dynamic inconsistencies observed in traditional tensioning models for tracked vehicles. The proposed framework synchronizes nonlinear hydraulic dynamics, closed-loop control, and track–ground interactions within a unified time step, thereby ensuring causal consistency along the pressure–flow–force–displacement power chain. Five representative operating conditions—including steady tension tracking, random road excitation, steering/braking pulses, supply-pressure drops, and parameter perturbations—were analyzed. The results show that the tri-platform model reduces tracking error by up to 60%, shortens recovery time by 35%, and decreases energy consumption by 12–17% compared with dual-platform models. Both simulations and full-scale experiments confirm that strong cross-domain coupling enhances system stability, robustness, and energy consistency under variable supply pressure and parameter uncertainties. The framework provides a high-fidelity validation tool and a transferable modeling paradigm for electro-hydraulic actuation systems in tracked vehicles and other multi-domain machinery. Full article
(This article belongs to the Section Actuators for Surface Vehicles)
Show Figures

Figure 1

31 pages, 742 KB  
Article
The Impact of Sustainability “Big Data” Analytics on “Sustainability Product Innovation” in Jordanian Pharmaceuticals: The Mediating Role of “Agile Supply Chain” and “Knowledge Management Capabilities”
by Sami Mohammad, Ammar Salah, Ayse Arslan, Serdal Işıktaş, Khled Saad Mansur Abubakr, Ayşem Çelebi and Ahmet Melih Karavelioglu
Sustainability 2025, 17(24), 11295; https://doi.org/10.3390/su172411295 - 17 Dec 2025
Viewed by 200
Abstract
This study examines the impact of sustainability “big data” analytics on “product innovation” in Jordanian pharmaceutical companies, focusing on the mediating roles of “knowledge management capabilities” and “agile supply chain” management. Using structural equation modelling with data from 381 pharmaceutical managers, we tested [...] Read more.
This study examines the impact of sustainability “big data” analytics on “product innovation” in Jordanian pharmaceutical companies, focusing on the mediating roles of “knowledge management capabilities” and “agile supply chain” management. Using structural equation modelling with data from 381 pharmaceutical managers, we tested eight hypotheses relating to direct and indirect relationships between these constructs. The findings revealed that big data has a significant positive direct effect on “sustainability product innovation” (β = 0.28, p < 0.001), accounting for 46.3% of the total effect. “Knowledge management” and “agile supply” chain were found to mediate this relationship, contributing (31.3% and 22.4%) of the total effect, respectively. Our supplementary analysis demonstrated that big data has a notably stronger impact on radical innovation compared to incremental innovation (36.3% stronger effect). The model demonstrated robust explanatory power, accounting for (43.5%) of the variance in product innovation, (37.2%) in knowledge management, and (45.1%) in agile supply chain. All measurement scales showed strong psychometric properties with factor loadings exceeding 0.75 and composite reliability values ranging from 0.889 to 0.932. These findings expand our understanding of how “sustainability big data” fosters pharmaceutical innovation and offer pragmatic insights for managers seeking to leverage data capabilities for a competitive advantage in the pharmaceutical industry of Jordan. Full article
Show Figures

Figure 1

21 pages, 1372 KB  
Article
Product Demand Forecasting Method Based on Spatiotemporal Hypergraph Attention Network
by Bin Huang, Songhang Chen and Hao Chen
Appl. Sci. 2025, 15(24), 13196; https://doi.org/10.3390/app152413196 - 16 Dec 2025
Viewed by 117
Abstract
Traditional product demand forecasting has typically been modeled as a single time series problem relying exclusively on temporal information. However, temporal features alone are insufficient to capture complex demand dynamics in modern, interconnected markets. To address this limitation, we propose a product demand [...] Read more.
Traditional product demand forecasting has typically been modeled as a single time series problem relying exclusively on temporal information. However, temporal features alone are insufficient to capture complex demand dynamics in modern, interconnected markets. To address this limitation, we propose a product demand forecasting method based on a Spatiotemporal Hypergraph Attention Network (STHA), which jointly models temporal dependencies and higher-order spatial interactions among multiple market entities to enhance forecasting accuracy and robustness. STHA integrates a Long Short-Term Memory (LSTM) network with a Hawkes attention mechanism to capture temporal patterns and constructs a hypergraph to represent multi-entity relationships. It further incorporates hypergraph convolution and a hypergraph attention mechanism to dynamically aggregate higher-order spatial information and weight relational importance. Experiments on the Corporación Favorita sales dataset demonstrate that STHA substantially outperforms single time series benchmarks (ARIMA, LSTM, TCN, Transformer, and PatchTST), achieving notable reductions in MAE, RMSE, and MAPE—with improvements in MAPE exceeding 15 percentage points for certain stores. Compared with the graph-based STGCN model, STHA also exhibits superior robustness. These results demonstrate the effectiveness of STHA for complex multi-market-entity demand forecasting and highlight its potential as a reliable framework for improving inventory management and supply chain decision-making. Full article
(This article belongs to the Section Computing and Artificial Intelligence)
Show Figures

Figure 1

24 pages, 858 KB  
Article
The Spillover Effect of National Auditing on the ESG Performance of Supply Chains: Empirical Evidence from the Quasi-Natural Experiment of China’s NAO Auditing SOEs
by Hui Wu, Xiaoyu Zhao, Yixuan Li and Xuming Shangguan
Sustainability 2025, 17(24), 11190; https://doi.org/10.3390/su172411190 - 14 Dec 2025
Viewed by 355
Abstract
Supply chains play a crucial role in achieving the Sustainable Development Goals (SDGs) through the improvement of ESG performance. From the perspective of synergy between national auditing and corporate governance, this study integrates the SDGs into the supply chain ESG strategy and evaluates [...] Read more.
Supply chains play a crucial role in achieving the Sustainable Development Goals (SDGs) through the improvement of ESG performance. From the perspective of synergy between national auditing and corporate governance, this study integrates the SDGs into the supply chain ESG strategy and evaluates the spillover effects of national auditing on supply chain ESG performance, drawing on the quasi-natural experiment of China’s National Audit Office (NAO) auditing state-owned enterprises (SOEs). The findings illustrate that national auditing has a significant positive spillover effect on the ESG performance of supply chains. These findings remain robust after addressing potential endogeneity via placebo tests, PSM-DID, and Heckman two-step method. Heterogeneity analysis highlights that supply chains with strong cooperation stability, high concentration, and presence in the same industry have more pronounced ESG spillover effects. Mechanism analysis further demonstrates that national auditing enhances the ESG performance of supply chains by exerting imitative, mandatory, and normative pressures. Moreover, audit regulatory agencies should establish a mechanism for sharing audit results to exert mandatory institutional pressure, thereby ensuring this mechanism enables audits to fully fulfill their role in improving supply chain ESG performance. Full article
Show Figures

Figure 1

40 pages, 4126 KB  
Article
Collaborative Operation of Rural Integrated Energy Systems and Agri-Product Supply Chains
by Shicheng Wang, Xiaoqing Yang and Shuang Bai
Energies 2025, 18(24), 6534; https://doi.org/10.3390/en18246534 - 13 Dec 2025
Viewed by 148
Abstract
The high energy consumption characteristics across all segments of the agricultural supply chain, coupled with rural areas’ excessive reliance on traditional power grids and fossil fuel-based energy supply models, not only result in persistently high energy utilization costs and low efficiency but also [...] Read more.
The high energy consumption characteristics across all segments of the agricultural supply chain, coupled with rural areas’ excessive reliance on traditional power grids and fossil fuel-based energy supply models, not only result in persistently high energy utilization costs and low efficiency but also inflict ongoing negative environmental impacts. This undermines sustainable development and the achievement of energy security. In response, this paper proposes a multi-timescale robust operation scheme for the coordinated operation of rural integrated energy systems and agricultural supply chains. Its core components are as follows: (1) Establish a collaborative operation framework integrating renewable energy-based rural integrated energy systems with agricultural supply chains; (2) Holistically consider energy consumption characteristics across supply chain segments, leveraging sensor-based environmental parameters for crop yield forecasting and hourly energy consumption assessment. This effectively addresses misalignments between crop growth and energy optimization scheduling, as well as inconsistent energy measurement scales across supply chain segments, thereby advancing agricultural sustainability; (3) Introducing a two-stage robust optimization model to quantify the impact of environmental uncertainty on the collaborative framework and integrated energy system, ensuring optimal operation of supply chain equipment under worst-case conditions; (4) Identifying critical energy consumption nodes in the supply chain through system performance analysis and revealing optimization potential in the collaborative mechanism, enabling flexible load shifting and cross-temporal energy allocation. Simulation results demonstrate that this coordinated operation scheme enables dynamic estimation and optimization of crop growth and energy consumption, reducing system operating costs while enhancing supply chain reliability and renewable energy integration capacity. The two-stage robust optimization mechanism effectively strengthens system robustness and adaptability, mitigates the impact of renewable energy output fluctuations, and achieves spatiotemporal optimization of energy allocation. Full article
Show Figures

Figure 1

33 pages, 1750 KB  
Systematic Review
Quantum and Quantum-Inspired Optimisation in Transport and Logistics: A Systematic Review
by Paloma Liu, Simon Parkinson and Kay Best
Smart Cities 2025, 8(6), 206; https://doi.org/10.3390/smartcities8060206 - 11 Dec 2025
Viewed by 348
Abstract
Quantum computing offers transformative potential to solve complex optimisation problems in transportation and logistics, particularly those that involve large combinatorial decision spaces such as vehicle routing, traffic control, and supply chain design. Despite theoretical promise and growing empirical interest, its adoption remains limited. [...] Read more.
Quantum computing offers transformative potential to solve complex optimisation problems in transportation and logistics, particularly those that involve large combinatorial decision spaces such as vehicle routing, traffic control, and supply chain design. Despite theoretical promise and growing empirical interest, its adoption remains limited. This systematic literature review synthesises fifteen peer-reviewed studies published between 2015 and 2025, examining the application of quantum and quantum-inspired methods to transport optimisation. The review identifies five key problem domains (vehicle routing, factory scheduling, network design, traffic operations, and energy management) and categorises the quantum techniques used, including quantum annealing, variational circuits, and digital annealers. Although several studies demonstrate performance gains over classical heuristics, most rely on synthetic datasets, lack statistical robustness, and omit critical operational metrics such as energy consumption and queue latency. Four cross-cutting barriers are identified: hardware limitations, data availability, energy inefficiency, and organisational readiness. The review identifies limited real-world deployment, a lack of standardised benchmarks, and scarce cost–benefit evaluations, highlighting key areas where further empirical work is needed. It concludes with a structured research agenda aimed at bridging the gap between laboratory demonstrations and practical implementation, emphasising the need for pilot trials, open datasets, robust experimental protocols, and interdisciplinary collaboration. Full article
Show Figures

Figure 1

35 pages, 872 KB  
Article
Green Supply Chain Management and Sustainable Performance: The Mediating Roles of Corporate Social Responsibility and Intellectual Capital in Saudi Arabia’s Drilling Sector—A Resource-Based View and Stakeholder Theory Perspective
by Ibrahim Alkandi
Sustainability 2025, 17(24), 11015; https://doi.org/10.3390/su172411015 - 9 Dec 2025
Viewed by 386
Abstract
Both governments and businesses globally are realizing the importance of treating environmental management and protection programs as ongoing efforts that go beyond their immediate operations. However, past initiatives to improve the impact of these programs have faced setbacks due to growing environmental challenges. [...] Read more.
Both governments and businesses globally are realizing the importance of treating environmental management and protection programs as ongoing efforts that go beyond their immediate operations. However, past initiatives to improve the impact of these programs have faced setbacks due to growing environmental challenges. In this direction, the current study aims to develop a research model that examines the interplay between green supply chain management (GSCM), intellectual capital (IC), corporate social responsibility (CSR), and sustainable performance (SP) within Saudi Arabia’s drilling sector. Additionally, it examines the mediating roles of IC and CSR. Contextualized within the Saudi Vision 2030 framework, which emphasizes sustainability and industrial advancement, this study utilized a quantitative approach by applying structural equation modeling (SEM) to analyze survey data from 334 employees in the Eastern Region’s drilling industry. The findings indicate that GSCM significantly enhanced SP, IC, and CSR. Furthermore, CSR demonstrated a positive impact on both SP and IC and, crucially, significantly mediated the positive relationship between GSCM and SP. Conversely, IC, while positively influenced by GSCM and CSR, did not show a significant direct impact on SP, nor did it act as a significant mediator in the GSCM-SP linkage in this context. This research highlights the prominent role of CSR in translating GSCM practices into holistic performance improvements within this industrial setting. It suggests that firms seeking to maximize the benefits of GSCM should strategically embed these initiatives within a robust and visible CSR strategy to effectively meet stakeholder expectations and drive sustainable performance aligned with national goals. Full article
Show Figures

Figure 1

15 pages, 1963 KB  
Article
The Impact of and Cut-Off Criteria for Auxiliary Consumables in Quantifying the CFP of Hard Coal: A Case Study of Typical Coal Mines in China
by Erxue Gu, Xiao Liu, Weijing Yu, Xiangfeng Tian, Maosheng Duan, Enjun Wang, Tianfeng Feng, Bo Chen and Yuna Zhang
Sustainability 2025, 17(24), 10982; https://doi.org/10.3390/su172410982 - 8 Dec 2025
Viewed by 152
Abstract
Accurate carbon footprint quantification for hard coal products is essential for the development of low-carbon and sustainable supply chain emissions management. A significant challenge lies in handling the numerous auxiliary consumables used in mining, whose contributions to upstream emissions are often unclear. This [...] Read more.
Accurate carbon footprint quantification for hard coal products is essential for the development of low-carbon and sustainable supply chain emissions management. A significant challenge lies in handling the numerous auxiliary consumables used in mining, whose contributions to upstream emissions are often unclear. This study addresses this gap by calculating the cradle-to-gate carbon footprint of hard coal from typical surface and underground mines in China using a life cycle assessment. Confronted with the challenge of accounting for thousands of consumable types, this study demonstrates that economic cost is an ineffective criterion for identifying high-impact items. In contrast, consumable weight shows a strong correlation with emissions and provides a robust basis for cut-off decisions. CFP quantification results obtained using this method show that upstream emissions from other auxiliary consumables (OACs), except for fuel and explosives, account for a significant proportion of the total CFP: 1.64 ± 0.50% (1.02 ± 0.31 kg CO2e/t) in a surface mine and 11.63 ± 3.17% (2.91 ± 0.87 kg CO2e/t) in an underground mine. Based on three years of requisition data and an emission analysis, a reference list of the OACs that need to be included is provided, which can serve as a reference for determining the cut-off criteria for and system boundary of the carbon footprint of hard coal products and thus promote the better development of sustainable supply chains. Full article
Show Figures

Figure 1

28 pages, 551 KB  
Article
Study on the Impact Mechanism of Enterprise Digital Transformation on Supply Chain Resilience
by Xufang Li, Zhuoxuan Li and Yujiao Cao
Sustainability 2025, 17(24), 10945; https://doi.org/10.3390/su172410945 - 7 Dec 2025
Viewed by 451
Abstract
This study examines how digital transformation enhances supply chain resilience among Chinese firms, with a focus on the underlying mechanisms and contextual conditions. Grounded in dynamic capabilities theory, we conceptualize supply chain resilience along two dimensions: proactive capability and reactive capability. Using data [...] Read more.
This study examines how digital transformation enhances supply chain resilience among Chinese firms, with a focus on the underlying mechanisms and contextual conditions. Grounded in dynamic capabilities theory, we conceptualize supply chain resilience along two dimensions: proactive capability and reactive capability. Using data from A-share listed companies between 2007 and 2022, we construct firm-level resilience measures through entropy weighting. Digital transformation is measured by textual analysis of corporate annual reports, supplemented with policy documents and academic literature to enrich the keyword dictionary. Empirical results, validated through instrumental variable estimation, Heckman two-stage models, and multiple robustness checks, show that digital transformation significantly improves overall supply chain resilience, with a stronger effect on reactive capability. Further analysis identifies three mediating channels: improved information sharing across the supply chain, enhanced firm-level innovation, and reduced exposure to environmental uncertainty. Heterogeneity tests reveal that the positive impact of digital transformation is more pronounced in non-state-owned enterprises, high-tech firms, and firms in technology-intensive or labor-intensive industries. The effect is also stronger for firms operating under high environmental uncertainty or located in regions with lower levels of marketization. These findings offer practical guidance for managers and policymakers aiming to strengthen supply chains through digitalization, particularly in an era marked by growing global disruptions and sustainability challenges. Full article
Show Figures

Figure 1

21 pages, 3163 KB  
Article
Cross-Temporal Egg Variety and Storage Period Classifications via Multi-Task Deep Learning with Near-Infrared Hyperspectral Imaging
by Chaoxian Liu, Zhenyan Xia, Hao Li, Fan Fan, Yong Ma, Huanjun Hu and Can Zhang
Foods 2025, 14(23), 4140; https://doi.org/10.3390/foods14234140 - 2 Dec 2025
Viewed by 280
Abstract
Egg variety and storage duration are key determinants of nutritional value, market pricing, and food safety. The similar external appearance of different varieties increases the risk of mislabeling, while inevitable quality deterioration during storage further complicates reliable assessment. These factors underscore the need [...] Read more.
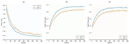
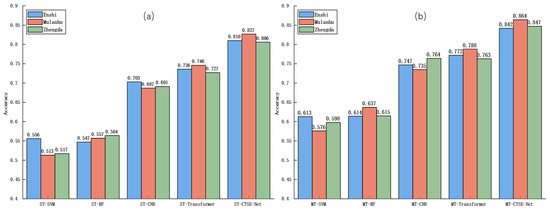
Egg variety and storage duration are key determinants of nutritional value, market pricing, and food safety. The similar external appearance of different varieties increases the risk of mislabeling, while inevitable quality deterioration during storage further complicates reliable assessment. These factors underscore the need for non-destructive, cross-temporal detection. However, prolonged storage induces pronounced spectral drift that degrades conventional models, limiting their effectiveness in real-world quality monitoring. To address this issue, we propose the Multi-Task Cross-Temporal Squeeze-and-Excitation Network (MT-CTSE-Net), a deep learning framework that integrates Convolutional Neural Networks (CNN), Squeeze-and-Excitation (SE) channel attention, and Transformer encoders to jointly perform egg variety identification across storage durations and storage period classification. The model extracts local spectral details, enhances channel-wise feature relevance, and captures long-range dependencies, while inter-task feature sharing improves generalization under temporal variation. Evaluated on near-infrared (1000–2500 nm) spectra from three commercial egg varieties (Enshi selenium-enriched, Mulanhu multigrain, Zhengda lutein), MT-CTSE-Net achieved approximately 86% accuracy (F1-score: 86.1%) in cross-temporal variety classification and about 84.2–86.4% in storage-period prediction—surpassing single-task and benchmark multi-task models. These results demonstrate that MT-CTSE-Net effectively mitigates storage-induced spectral drift and provides a robust pathway for non-destructive quality assessment and temporal monitoring in agri-food supply chains. Full article
(This article belongs to the Section Food Analytical Methods)
Show Figures

Figure 1

21 pages, 6322 KB  
Article
Hybrid Drone and Truck Delivery Optimization in Remote Areas Using Geospatial Analytics
by Md Abdul Quddus, Md Fashiar Rahman and Mahathir Mohammad Bappy
Sustainability 2025, 17(23), 10775; https://doi.org/10.3390/su172310775 - 1 Dec 2025
Viewed by 306
Abstract
This study introduces a novel strategy for optimizing hybrid drone-and-truck delivery systems in remote areas by leveraging geospatial analytics. Geospatial methods are employed to identify optimal depot and drone nest locations, which serve as critical nodes for efficient delivery operations. After determining these [...] Read more.
This study introduces a novel strategy for optimizing hybrid drone-and-truck delivery systems in remote areas by leveraging geospatial analytics. Geospatial methods are employed to identify optimal depot and drone nest locations, which serve as critical nodes for efficient delivery operations. After determining these locations, a customized Vehicle Routing Problem (VRP) model is applied to solve the routing problem. We use Network Analyst (NA) from ArcGIS Pro to solve the VRP problem and improve the solution by customizing the algorithm so that all delivery orders for a vehicle are geographically clustered within the service area. Comparative analysis between truck-only and hybrid truck-and-drone scenarios reveals significant efficiency gains, including reductions in delivery routes, on-road minutes, and total miles traveled. A case study conducted in parts of Wyoming, Idaho, Nevada, Utah, and Colorado validates these findings. The results demonstrate a 10.5% reduction in delivery routes, a 15% reduction in on-road minutes, and a 28% decrease in total miles. Further improvements were achieved through spatial clustering, optimizing delivery routes by grouping orders geographically. These findings emphasize the potential of hybrid delivery systems to improve logistics in remote areas, providing actionable insights for supply chain decision-makers, highlighting the robustness of the proposed method. Full article
Show Figures

Figure 1

19 pages, 1076 KB  
Review
Multifunctional Metal–Organic Frameworks for Enhancing Food Safety and Quality: A Comprehensive Review
by Weina Jiang, Xue Zhou, Xuezhi Yuan, Liang Zhang, Xue Xiao, Jiangyu Zhu and Weiwei Cheng
Foods 2025, 14(23), 4111; https://doi.org/10.3390/foods14234111 - 30 Nov 2025
Cited by 1 | Viewed by 781
Abstract
Food safety and quality are paramount global concerns, with the complexities of the modern supply chain demanding advanced technologies for monitoring, preservation, and decontamination. Conventional methods often fall short due to limitations in speed, sensitivity, cost, and functionality. Metal–organic frameworks (MOFs), a class [...] Read more.
Food safety and quality are paramount global concerns, with the complexities of the modern supply chain demanding advanced technologies for monitoring, preservation, and decontamination. Conventional methods often fall short due to limitations in speed, sensitivity, cost, and functionality. Metal–organic frameworks (MOFs), a class of crystalline porous materials, have emerged as a highly universal platform to address these challenges, owing to their unprecedented structural tunability, ultrahigh surface areas, and tailorable chemical functionalities. This comprehensive review details the state-of-the-art applications of multifunctional MOFs across the entire spectrum of food safety and quality enhancement. First, the review details the application of MOFs in advanced food analysis, covering their transformative roles as sorbents in sample preparation (e.g., solid-phase extraction and microextraction), as novel stationary phases in chromatography, and as the core components of highly sensitive sensing platforms, including luminescent, colorimetric, electrochemical, and SERS-based sensors for contaminant detection. Subsequently, the role of MOFs in food preservation and packaging is explored, highlighting their use in active packaging systems for ethylene scavenging and controlled antimicrobial release, in intelligent packaging for visual spoilage indication, and as functional fillers for enhancing the barrier properties of packaging materials. Furthermore, the review examines the direct application of MOFs in food processing for the selective adsorptive removal of contaminants from complex food matrices (such as oils and beverages) and as robust, recyclable heterogeneous catalysts. Finally, a critical discussion is presented on the significant challenges that impede widespread adoption. These include concerns regarding biocompatibility and toxicology, issues of long-term stability in complex food matrices, and the hurdles of achieving cost-effective, scalable synthesis. This review not only summarizes recent progress but also provides a forward-looking perspective on the interdisciplinary efforts required to translate these promising nanomaterials from laboratory research into practical, real-world solutions for a safer and higher-quality global food supply. Full article
(This article belongs to the Special Issue Micro and Nanomaterials in Sustainable Food Encapsulation)
Show Figures

Figure 1

11 pages, 1294 KB  
Brief Report
Serratia nevei in Nigeria: First Report and Global Distribution
by Ayodele Timilehin Adesoji, Emmanuel Dayo Alabi, Vittoria Mattioni Marchetti and Roberta Migliavacca
Microorganisms 2025, 13(12), 2732; https://doi.org/10.3390/microorganisms13122732 - 29 Nov 2025
Viewed by 589
Abstract
Serratia species are opportunistic human pathogens found in diverse environmental habitats. Here, we report the first isolation of Serratia nevei from food samples in Nigeria. During a two-month epidemiological surveillance at a local food market in Dutsin-Ma, Katsina State, Nigeria, a total of [...] Read more.
Serratia species are opportunistic human pathogens found in diverse environmental habitats. Here, we report the first isolation of Serratia nevei from food samples in Nigeria. During a two-month epidemiological surveillance at a local food market in Dutsin-Ma, Katsina State, Nigeria, a total of 180 food samples were collected, and isolation and species identification were performed using chromogenic agar and MicroScan autoSCAN-4, respectively. Antimicrobial susceptibility and minimum inhibitory concentrations (MICs) were determined using the MicroScan autoSCAN-4 system. Strain F129B, recovered from a fresh, unprocessed beef sample, was initially identified as Klebsiella pneumoniae by chromogenic agar and MicroScan autoSCAN-4, and subsequently as Serratia marcescens by MALDI-TOF MS. Only Whole Genome Sequencing (WGS) and bioinformatics analyses confirmed its identity as S. nevei. The strain was then selected for further characterization by Whole Genome Sequencing (WGS) and bioinformatics analyses to confirm its identity. The strain was phenotypically resistant to amoxicillin/clavulanic acid and colistin, with elevated MICs for aztreonam (4 mg/L) and cefuroxime (16 mg/L). In silico analyses of its genome confirmed the isolate as S. nevei, harboring genes conferring resistance to β-lactams (blaSTR-2), aminoglycosides (aac (6′)-Ic), fosfomycin (fosA), streptomycin (satA), and tetracycline (tet (41)). Its virulence repertoire comprises genes associated with adhesion (yidE, yidR, yidQ), colicin tolerance (creA and creD), and heavy metal resistance (czcD, chrBACF operon). These findings underscore the need for genomic characterization for accurate species identification within the Serratia genus. Our findings revealed the emergence of S. nevei in the food supply chain and highlighted its potential for zoonotic transmission. Robust surveillance of the local food supply chain is urgently needed in north-western Nigeria. Full article
(This article belongs to the Special Issue Food Microorganisms and Genomics, 2nd Edition)
Show Figures

Figure 1

24 pages, 1323 KB  
Article
Reverse Supply Chain Optimization in Kazakhstan’s Mining Industry: Unlocking Value from Waste
by Mariya Li, Antonio Maffei, Gulmira Mukhanova, Erzhan Kuldeyev, Bakytzhan Amralinova and Zhazira Tymbayeva
Sustainability 2025, 17(23), 10589; https://doi.org/10.3390/su172310589 - 26 Nov 2025
Viewed by 340
Abstract
Kazakhstan’s mining sector, a vital pillar of the national economy, generates significant volumes of waste. This waste has been found to hold considerable residual value, presenting a substantial opportunity for resource recovery and economic benefit. To unlock this value, establishing efficient reverse logistics [...] Read more.
Kazakhstan’s mining sector, a vital pillar of the national economy, generates significant volumes of waste. This waste has been found to hold considerable residual value, presenting a substantial opportunity for resource recovery and economic benefit. To unlock this value, establishing efficient reverse logistics operations is fundamental, as it enables the recovery, recycling, and reuse of materials in a cost-effective and sustainable manner. This paper introduces a conceptual optimization framework tailored to Kazakhstan’s mining industry to explore the feasibility of reverse supply chain processes. The implementation of strategies informed by this model can improve resource utilization, reduce environmental impact, and deliver long-term economic benefits. The study also identifies potential challenges to adoption and suggests pathways for further refinement of the model to adapt to the evolving needs of Kazakhstan’s mining sector. The model provides a robust analytical foundation to support discussions on developing a holistic strategy for waste management in the sector. It offers key insights into optimizing waste handling, advancing material recovery technologies, and promoting collaboration between public and private stakeholders. By aligning these insights with the regulatory and economic landscape of Kazakhstan, the model serves as a reference point to shape a broader national framework. The outcomes of this study contribute to the achievement of Sustainable Development Goals (SDGs) 9 and 12 by promoting industrial innovation, resource efficiency, and responsible production practices within Kazakhstan’s mining sector. Full article
Show Figures

Figure 1

Back to TopTop