Sign in to use this feature.

Years

Between: -

Subjects

remove_circle_outline
remove_circle_outline
remove_circle_outline
remove_circle_outline
remove_circle_outline
remove_circle_outline
remove_circle_outline
remove_circle_outline
remove_circle_outline

Journals

remove_circle_outline
remove_circle_outline
remove_circle_outline
remove_circle_outline
remove_circle_outline
remove_circle_outline
remove_circle_outline
remove_circle_outline

Article Types

Countries / Regions

remove_circle_outline
remove_circle_outline
remove_circle_outline
remove_circle_outline

Search Results (454)

Search Parameters:
Keywords = strain field evolution

Order results
Result details
Results per page
Select all
Export citation of selected articles as:
21 pages, 7735 KB  
Article
Preliminary Results on Mechanical Degradation and Strain Evolution of Carrara Marble Under Freeze–Thaw Cycles and Acid Weathering
by Azemeraw Wubalem, Chiara Caselle, Anna Maria Ferrero and Gessica Umili
Geotechnics 2025, 5(4), 85; https://doi.org/10.3390/geotechnics5040085 - 11 Dec 2025
Abstract
Environmental stressors, such as freeze–thaw (F–T) cycling and acid rain, affect the durability of carbonate rocks used in engineering and cultural heritage structures. This study investigates the mechanical degradation and strain evolution of Carrara marble subjected to 10 F–T cycles and immersion in [...] Read more.
Environmental stressors, such as freeze–thaw (F–T) cycling and acid rain, affect the durability of carbonate rocks used in engineering and cultural heritage structures. This study investigates the mechanical degradation and strain evolution of Carrara marble subjected to 10 F–T cycles and immersion in a simulated sulfuric acid solution (pH 5) for 3, 7, and 28 days. The mechanical strength of the samples was tested under uniaxial compression using a displacement-controlled loading rate, while full-field deformation and fracture evolution were analyzed with Digital Image Correlation (DIC). Results show that F–T cycling led to a substantial reduction in uniaxial compressive strength (UCS) and a very large decrease in tangent Young’s modulus. Acid exposure also caused progressive degradation, with both UCS and stiffness continuing to decline as exposure time increased, reaching their greatest reduction at the longest treatment duration. Additionally, DIC strain maps revealed a change in deformation response as a function of the treatment. The findings provide the integrated assessment of Carrara marble mechanical response under both F–T and acid weathering, linking bulk strength loss with changes in strain localization behavior, highlighting the vulnerability of marble to environmental stressors, and providing mechanical insights relevant to infrastructure resilience and heritage conservation. Full article
Show Figures

Figure 1

21 pages, 12324 KB  
Article
Research on the Stress Response Mechanism and Evolution Law During the Mining Process of Coal Series Normal Faults
by Zhiguo Xia, Junbo Wang, Wenyu Dong, Chenglong Ma and Lihua Luan
Processes 2025, 13(12), 3988; https://doi.org/10.3390/pr13123988 - 10 Dec 2025
Viewed by 20
Abstract
To study the mechanical properties and displacement evolution of rock masses near coal-seam normal faults under mining disturbances; this paper utilizes fiber optic monitoring and distributed strain measurement techniques to achieve the fine monitoring of the entire process of stress–displacement–strain during mining. The [...] Read more.
To study the mechanical properties and displacement evolution of rock masses near coal-seam normal faults under mining disturbances; this paper utilizes fiber optic monitoring and distributed strain measurement techniques to achieve the fine monitoring of the entire process of stress–displacement–strain during mining. The experimental design adopts a stepwise mining approach to systematically reproduce the evolution of fault formation; slip; and instability. The results show that the formation of normal faults can be divided into five stages: compressive deformation; initiation; propagation; slip; and stabilization. The strength of the fault plane is significantly influenced by the dip angle. As the dip angle increases from 30° to 70°, the peak strength decreases by 23%, and the failure mode transitions from tensile failure to shear failure. Under mining disturbances, the stress field in the overlying rock shifts from concentration to dispersion, with a stress mutation zone appearing in the fault-adjacent area. During unloading, vertical stress decreases by 45%, followed by a rebound of 10% as mining progresses. The rock layers above the goaf show significant subsidence, with the maximum vertical displacement reaching 150 mm. The displacement between the hanging wall and footwall differs, with the maximum horizontal displacement reaching 78 mm. The force chain distribution evolves from being dominated by compressive stress to a compressive–tensile stress coupling state. The fault zone eventually enters a stress polarization state and tends toward instability. A large non-uniform high-speed zone forms at the fault cutting point in the velocity field, revealing the mechanisms of fault instability and the initiation of dynamic disasters. These experimental results provide a quantitative understanding of the multi-physics coupling evolution characteristics of coal-seam normal faults under mining disturbances. The findings offer theoretical insights into the instability of coal-seam normal faults and the mechanisms behind the initiation of dynamic disasters. Full article
Show Figures

Figure 1

19 pages, 1937 KB  
Review
Advances in Infectious Bursal Disease Virus Vaccines—A Review
by Weiwei Wang, Jiafeng Wu, Nansong Jiang, Qizhang Liang, Rongchang Liu, Qiuling Fu, Guanghua Fu, Tianchao Wei, Chunhe Wan, Longfei Cheng, Yu Huang, Xiumiao He, Ping Wei and Hongmei Chen
Microorganisms 2025, 13(12), 2801; https://doi.org/10.3390/microorganisms13122801 - 9 Dec 2025
Viewed by 172
Abstract
Infectious Bursal Disease (IBD) is an immunosuppressive viral disease caused by the Infectious Bursal Disease Virus (IBDV). It primarily affects young chickens, targeting the bursa of Fabricius, and poses significant economic threats to the poultry industry. To date, in addition to strict biosecurity [...] Read more.
Infectious Bursal Disease (IBD) is an immunosuppressive viral disease caused by the Infectious Bursal Disease Virus (IBDV). It primarily affects young chickens, targeting the bursa of Fabricius, and poses significant economic threats to the poultry industry. To date, in addition to strict biosecurity measures, large-scale immunization is the optimal strategy and effective method to prevent and control IBDV infection. The emergence of new variant strains has made it more urgent to develop new vaccination strategies against IBD. Over the past few decades, many high-quality vaccines have been available on the market for the control of IBD, which can provide solid protection against the infections and diseases caused by classic IBDV to very virulent IBDV that had been continuously evolving and were endemic worldwide. However, viruses are not static. As they continue to circulate and evolve in the fields, novel antigenic variant viruses have been emerged in the last few years, and vaccines need to keep up with their pace. Collectively, this review summarizes the strategic evolution of IBDV vaccines from traditional methods to cutting-edge molecular platforms, providing promising strategies for developing the next-generation vaccines with higher safety, efficacy, and the ability to keep pace with the antigenic drift in IBDV. Full article
(This article belongs to the Special Issue Avian Pathogens: Importance in Animal Health and Zoonotic Risks)
Show Figures

Figure 1

20 pages, 1600 KB  
Article
Chlorantraniliprole Resistance and Associated Fitness Costs in Fall Armyworm (Spodoptera frugiperda): Implications for Resistance Management
by Arzlan Abbas, Faisal Hafeez, Ali Hasnain, Ayesha Iftikhar, Muhammad Hassan Khan, Farman Ullah, Ahmed M. M. Elkady, Chen Ri Zhao and Xiaohe Sun
Insects 2025, 16(12), 1232; https://doi.org/10.3390/insects16121232 - 6 Dec 2025
Viewed by 247
Abstract
Spodoptera frugiperda J.E. Smith (Lepidoptera: Noctuidae) represents a major threat to maize production across Pakistan, with chemical control serving as the predominant management approach. The intensive application of insecticides, particularly diamide compounds such as chlorantraniliprole, has escalated concerns regarding resistance evolution in field [...] Read more.
Spodoptera frugiperda J.E. Smith (Lepidoptera: Noctuidae) represents a major threat to maize production across Pakistan, with chemical control serving as the predominant management approach. The intensive application of insecticides, particularly diamide compounds such as chlorantraniliprole, has escalated concerns regarding resistance evolution in field populations. This study evaluated the insecticidal efficacy of seven commonly used compounds against geographically diverse field-collected populations of S. frugiperda from major maize-growing regions of Pakistan, revealing significant inter-population variability in susceptibility profiles. Chlorantraniliprole was selected for comprehensive transgenerational screening based on moderate baseline LC50 values and optimal laboratory colony establishment parameters. A representative field strain underwent six consecutive generations of selection pressure at LC70 concentrations, resulting in a 4.48-fold increase in resistance levels with a realized heritability (h2) of 0.198. Predictive modeling using established quantitative genetic frameworks demonstrated that resistance evolution rates are critically dependent on both selection intensity and genetic parameters. Under constant h2 = 0.198, increasing selection intensity substantially accelerated resistance development, with 10-fold resistance achievable in approximately 18 generations at 80% selection intensity (slope = 2.696) compared to 36 generations at lower intensities (slope = 4.696). Sensitivity analysis revealed that heritability variations from 0.148 to 0.248 could reduce generation requirements from >40 to ~25 generations when slope was maintained at 3.696. Life table analyses of the chlorantraniliprole-selected strain demonstrated significant fitness costs manifested as extended developmental periods, reduced reproductive output, and decreased intrinsic rate of population increase (r), indicating evolutionary trade-offs associated with resistance acquisition. These findings provide crucial insights for developing sustainable management strategies, highlighting the importance of integrating resistance monitoring, refuge-based approaches, and rotation with insecticides of different modes of action to delay resistance buildup in field populations. Such data-driven management frameworks are vital for maintaining the long-term efficacy of diamides in Pakistan’s maize production systems. Full article
Show Figures

Figure 1

34 pages, 13566 KB  
Article
A Unified Three-Dimensional Micromechanical Framework for Coupled Inelasticity and Damage Evolution in Diverse Composite Materials
by Suhib Abu-Qbeitah, Jacob Aboudi and Rami Haj-Ali
J. Compos. Sci. 2025, 9(12), 677; https://doi.org/10.3390/jcs9120677 - 5 Dec 2025
Viewed by 158
Abstract
This study introduces a comprehensive three-dimensional micromechanical framework to capture the nonlinear mechanical behavior of diverse composite materials, including coupled elastic degradation, inelastic strain evolution, and phenomenological failure in their constituents. The primary objective is to integrate a generalized elastic degradation–inelasticity (EDI) model [...] Read more.
This study introduces a comprehensive three-dimensional micromechanical framework to capture the nonlinear mechanical behavior of diverse composite materials, including coupled elastic degradation, inelastic strain evolution, and phenomenological failure in their constituents. The primary objective is to integrate a generalized elastic degradation–inelasticity (EDI) model into the parametric high-fidelity generalized method of cells (PHFGMC) micromechanical approach, enabling accurate prediction of nonlinear responses and failure mechanisms in multi-phase composites. To achieve this, a unified three-dimensional orthotropic EDI modeling formulation is developed and implemented in the PHFGMC. Grounded in continuum mechanics, the EDI employs scalar field variables to quantify material damage and defines an energy potential function. Thermodynamic forces are specified along three principal directions, decomposed into tensile and compressive components, with shear failure accounted for across the respective planes. Inelastic strain evolution is modeled using incremental anisotropic plasticity theory, coupling damage and inelasticity to maintain generality and flexibility for diverse phase behaviors. The proposed model offers a general, unified framework for modeling damage and inelasticity, which can be calibrated to operate in either coupled or decoupled modes. The PHFGMC micromechanics framework then derives the overall (macroscopic) nonlinear and damage responses of the multi-phase composite. A failure criterion can be applied for ultimate strength evaluation, and a crack-band type theory can be used for post-ultimate degradation. The method is applicable to different types of composites, including polymer matrix composites (PMCs) and ceramic matrix composites (CMCs). Applications demonstrate predictions of monotonic and cyclic loading responses for PMCs and CMCs, incorporating inelasticity and coupled damage mechanisms (such as crack closure and tension–compression asymmetry). The proposed framework is validated through comparisons with experimental and numerical results from the literature. Full article
(This article belongs to the Topic Numerical Simulation of Composite Material Performance)
Show Figures

Figure 1

26 pages, 2563 KB  
Review
Advances in Strategies for In Vivo Directed Evolution of Targeted Functional Genes
by Hantong Wu, Lang Yin, Jingwen Chen, Xin Wang and Kequan Chen
Catalysts 2025, 15(12), 1127; https://doi.org/10.3390/catal15121127 - 2 Dec 2025
Viewed by 526
Abstract
Enzymes are indispensable in fields such as biotechnology, medicine, and industrial manufacturing due to their high catalytic specificity and efficiency under mild conditions. However, their natural versions often suffer from limitations, including low activity toward non-natural substrates, poor stability under extreme conditions, and [...] Read more.
Enzymes are indispensable in fields such as biotechnology, medicine, and industrial manufacturing due to their high catalytic specificity and efficiency under mild conditions. However, their natural versions often suffer from limitations, including low activity toward non-natural substrates, poor stability under extreme conditions, and narrow substrate spectra. Directed evolution, a key protein engineering strategy that optimizes protein function via genetic diversity introduction and directed selection, has become the primary solution to these limitations. Among its mature methodological systems, in vivo evolution platforms (advanced by synthetic biology) are particularly efficient, as they integrate in-cell mutation, translation, selection, and replication into an automated process, significantly improving experimental efficiency. This review will focus on two core strategies that enhance these platforms: in vivo targeted gene hypermutation and heterologous polymerase-mediated targeted hypermutation. These techniques enable the rapid optimization of enzymes to acquire novel functions, as well as the comprehensive engineering of microbial strains to enhance their performance and stress tolerance. Analyzing these strategies provides a robust technical framework for enzyme engineering and promises to drive future innovations across multiple fields. Full article
Show Figures

Figure 1

21 pages, 7800 KB  
Article
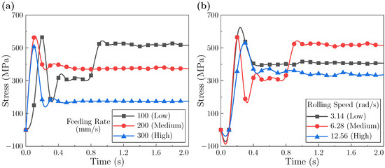
Effects of Rolling Parameters on Stress–Strain Fields and Texture Evolution in Al–Cu–Sc Alloy Sheets
by Guoge Zhang, Lijie Liu, Tuo Li, Shan Tang and Bo Gao
Materials 2025, 18(23), 5414; https://doi.org/10.3390/ma18235414 - 1 Dec 2025
Viewed by 290
Abstract
This work examines how rolling speed, feeding rate, and pass schedule—with a constant total reduction—affect the stress–strain fields, rolling force, and texture evolution of Al–Cu–Sc alloy sheets. A coupled finite element (FEM) and viscoplastic self-consistent (VPSC) framework is employed and compared with EBSD [...] Read more.
This work examines how rolling speed, feeding rate, and pass schedule—with a constant total reduction—affect the stress–strain fields, rolling force, and texture evolution of Al–Cu–Sc alloy sheets. A coupled finite element (FEM) and viscoplastic self-consistent (VPSC) framework is employed and compared with EBSD measurements to connect macroscopic fields with microscale texture changes. Results indicate that increasing rolling speed raises the effective strain rate and deformation heating, which lowers peak rolling force and improves in-plane stress homogenization on the RD–ND plane, while enhancing surface–core incompatibility and residual-stress gradients along the ND–TD direction. A higher feeding rate mainly intensifies work hardening, slightly elevates rolling force, and promotes near-surface stress/strain localization; in contrast, multi-pass schedules redistribute deformation between passes and reduce macroscopic stress concentration. Texture analyses show a speed-induced rotation from 001 toward 111 orientations, strengthening shear-related components; KAM maps suggest increased local orientation gradients consistent with higher stored energy. The simulations capture the principal experimental trends across conditions, supporting the use of the combined framework for trend-level process guidance. Overall, the findings clarify parameter–microstructure relationships and provide a basis for designing rolling routes that balance force reduction, stress uniformity, and texture control in Al–Cu–Sc sheets. Full article
Show Figures

Figure 1

34 pages, 17271 KB  
Review
Advances in Microstructural Evolution and Mechanical Properties of Magnesium Alloys Under Shear Deformation
by Yaqing Liu, Yong Xue and Zhaoming Yan
Metals 2025, 15(12), 1304; https://doi.org/10.3390/met15121304 - 27 Nov 2025
Viewed by 377
Abstract
Magnesium (Mg) alloys are the lightest metals used in engineering structures, making them highly valuable for lightweight designs in aerospace, automotives, and related industries. Their low density offers clear advantages for reducing product weight and improving energy efficiency–key priorities in modern manufacturing. However, [...] Read more.
Magnesium (Mg) alloys are the lightest metals used in engineering structures, making them highly valuable for lightweight designs in aerospace, automotives, and related industries. Their low density offers clear advantages for reducing product weight and improving energy efficiency–key priorities in modern manufacturing. However, their unique crystal structure leads to notable drawbacks: low plasticity at room temperature, uneven performance across different directions, and inconsistent strength under tension versus compression. These issues have severely limited their broader application beyond specialized use cases. Shear deformation methods address this challenge by creating high strain variations and complex stress conditions. This approach provides an effective way to regulate the internal structure of Mg alloys and enhance their overall performance, overcoming the inherent limitations of their crystal structure. This paper systematically summarizes current research on using shear deformation to process Mg alloys. It focuses on analyzing key structural changes induced by shear, including the formation and evolution of shear–related features, real–time grain reorganization, crystal twinning processes, the distribution of additional material phases, and reduced directional performance bias. The review also clarifies how these structural changes improve critical mechanical traits: strength, plasticity, formability, and the balance between tensile and compressive strength. Additionally, the paper introduces advanced shear–based processes and their derivative technologies, such as equal–channel angular extrusion, continuous shear extrusion, and ultrasonic vibration–assisted shearing. It also discusses strategies for constructing materials with gradient or mixed internal structures, which further expand the performance potential of Mg alloys. Finally, the review outlines future development directions to advance this field: developing shear processes that combine multiple physical fields, conducting real–time studies of microscale mechanisms, designing tailored shear paths for high–performance Mg alloys, and evaluating long–term service performance. These efforts aim to promote both theoretical innovation and industrial application of shear deformation technology for Mg alloys. Full article
(This article belongs to the Special Issue Novel Insights into Wrought Magnesium Alloys)
Show Figures

Figure 1

24 pages, 3431 KB  
Article
An Elastoplastic Theory-Based Load-Transfer Model for Axially Loaded Pile in Soft Soils
by Yijun Xiu, Haoyu Liu, Denghong Zhang, Xingbo Han and Lin Li
Buildings 2025, 15(23), 4300; https://doi.org/10.3390/buildings15234300 - 27 Nov 2025
Viewed by 248
Abstract
This study proposes the insufficient prediction accuracy of load–displacement behavior for pile foundations in soft soil regions by proposing an elastoplastic load-transfer model applicable to axially loaded piles in soft clay, aiming to enhance the prediction capability of shaft resistance mobilization. The model [...] Read more.
This study proposes the insufficient prediction accuracy of load–displacement behavior for pile foundations in soft soil regions by proposing an elastoplastic load-transfer model applicable to axially loaded piles in soft clay, aiming to enhance the prediction capability of shaft resistance mobilization. The model systematically incorporates the elastoplastic shear deformation of the soil within the plastic zone adjacent to the pile shaft and the small-strain stiffness degradation of the soil in the elastic zone. The elastoplastic constitutive relationship in the plastic zone is formulated using critical state theory, plastic potential theory, and the associated flow rule, whereas the nonlinear elastic shear deformation in the elastic zone is described based on Hooke’s law combined with a small-strain stiffness degradation model. The developed load-transfer function is embedded into an iterative computational framework to obtain the load–displacement response of piles in multilayered soft soils. The model is validated using field pile test data from Louisiana and Shanghai. The results show that the proposed model can reasonably reproduce the elastoplastic τz evolution along the pile shaft and provides a theoretically robust and practically applicable method for predicting the settlement behavior of piles in clayey soils. This approach offers significant engineering value for optimizing pile design, evaluating bearing capacity, and developing cost-efficient foundation solutions in soft soil regions. Nevertheless, the current applicability of the model is primarily limited to short and medium-length piles in saturated normally consolidated clay. Future work will focus on incorporating strain-softening mechanisms and extending the model to a wider range of soil types. Full article
Show Figures

Figure 1

28 pages, 2460 KB  
Article
Interpretation of Copper Rolling Texture Components Development Based on Computer Modeling
by Wiesław Łatas, Mirosław Wróbel, Krzysztof Wierzbanowski and Dorota Byrska-Wójcik
Crystals 2025, 15(12), 1011; https://doi.org/10.3390/cryst15121011 - 24 Nov 2025
Viewed by 304
Abstract
Plastic deformation processes are widely used in metal forming. At the same time, they produce crystallographic textures that determine a material’s anisotropy—for example, its elastic, plastic, or magnetic anisotropy. Because these properties have significant practical implications and require precise control, understanding the mechanisms [...] Read more.
Plastic deformation processes are widely used in metal forming. At the same time, they produce crystallographic textures that determine a material’s anisotropy—for example, its elastic, plastic, or magnetic anisotropy. Because these properties have significant practical implications and require precise control, understanding the mechanisms of texture formation is essential. Consequently, the evolution of texture during plastic forming remains an important topic for both scientific and engineering communities. The most important models describing crystallographic texture development during plastic deformation were briefly reviewed. Based on a comparison of experimental results with numerical simulations obtained using the authors’ original fluctuating stress state (FSS) model, the main texture components were identified. It was shown that their volume fractions are primarily related to deformation fields in grains of polycrystalline material constrained by extreme boundary conditions, as well as to anisotropy in slip system hardening (A). The influence of both parameters and rolling true strain (1.5 and 2) on the copper rolling texture was evaluated by quantifying the fractions of the texture components, including the strong ones (B, S, Cu) and the weaker ones (G, W, rW). This constitutes the main novelty of the present work. Full article
(This article belongs to the Section Crystalline Metals and Alloys)
Show Figures

Figure 1

50 pages, 27805 KB  
Review
Evolution of Porcine Virus Isolation: Guidelines for Practical Laboratory Application
by Danila Moiseenko, Roman Chernyshev, Natalya Kamalova, Vera Gavrilova and Alexey Igolkin
Microorganisms 2025, 13(12), 2658; https://doi.org/10.3390/microorganisms13122658 - 22 Nov 2025
Viewed by 578
Abstract
Cell cultures are an essential tool for laboratory diagnosis of porcine viral infections. However, interpreting the results requires considering the species and tissue origin of cell lines as well as the specific virus replication characteristics (cytopathic effect). This guide discusses the development of [...] Read more.
Cell cultures are an essential tool for laboratory diagnosis of porcine viral infections. However, interpreting the results requires considering the species and tissue origin of cell lines as well as the specific virus replication characteristics (cytopathic effect). This guide discusses the development of techniques for the primary isolation of viruses from biological material and provides recommendations for culturing viruses in different cell types. According to the World Organization for Animal Health, laboratory diagnosis should aim to isolate the virus in cell culture. We have studied the evolution of virus isolation methods for various diseases affecting pigs, including African swine fever virus (ASFV), classical swine fever virus (CSFV), porcine reproductive and respiratory syndrome virus (PRRSV), pseudorabies virus (Aujeszky’s disease, PRV), rotaviruses (RV), teschoviruses (PTVs), swine pox virus (SwPV), swine influenza A virus (IAVs), parvovirus (PPV), coronaviruses, circoviruses (PCVs), diseases with vesicular syndrome, and others. During our analysis of the literature and our own experience, we found that the porcine kidney (PK-15) cell line is the most suitable for isolating most viral porcine pathogens. For ASFV and PRRSV, the porcine alveolar macrophages (PAMs) continue to remain the primary model for isolation. These findings can serve as a starting point for virological reference laboratories to select optimal conditions for cultivating, obtaining field isolates, and strain adaptation. Full article
(This article belongs to the Section Virology)
Show Figures

Figure 1

33 pages, 8186 KB  
Article
Calculation of Surrounding Rock Pressure Design Value and the Stability of Support Structure for High-Stress Soft Rock Tunnel
by Mingyi Wang, Yongqiang Zhou, Yongliang Cheng, Xiaodong Fu, Chen Xu and Jiaming Wu
Buildings 2025, 15(22), 4187; https://doi.org/10.3390/buildings15224187 - 19 Nov 2025
Viewed by 276
Abstract
With the comprehensive implementation of the “Belt and Road” initiative and the Western Development Strategy, the scale of tunnel construction has been continuously expanding, with many tunnels being built in high ground stress and fractured soft rock strata. The design, construction, and operation [...] Read more.
With the comprehensive implementation of the “Belt and Road” initiative and the Western Development Strategy, the scale of tunnel construction has been continuously expanding, with many tunnels being built in high ground stress and fractured soft rock strata. The design, construction, and operation of tunnels all rely on the surrounding rock pressure as a fundamental basis. Therefore, determining the surrounding rock pressure is essential for ensuring the safe construction of tunnels. However, due to the complexity of geological conditions, differences in construction methods, variations in support parameters, and time–space effects, it is challenging to accurately determine the surrounding rock pressure. This paper proposes a design approach using the surrounding rock pressure design value as the “support force” for the tunnel, starting with the reserved deformation of soft rock tunnels. Based on the calculation principle of the surrounding rock pressure design value, a relationship curve between the support force and the maximum deformation of surrounding rock in high ground stress soft rock tunnels is developed. By combining the surrounding rock deformation grade with the tunnel’s reserved deformation index, a calculation method for the surrounding rock pressure design value for high ground stress soft rock tunnels is proposed. The method is verified by the measured surrounding rock pressure data from the Mao County Tunnel of the Chengdu–Lanzhou Railway. Furthermore, the study integrates the creep characteristics and strain softening properties of soft rock to implement a secondary development of the viscoelastic–plastic strain softening mechanical model. Based on a custom-developed creep model and the calculation method for the surrounding rock pressure design value, the relationship among time, support force, and surrounding rock deformation is comprehensively considered. A calculation method for the surrounding rock pressure design value, accounting for time effects, is proposed. Based on this method, a time-history curve of the surrounding rock pressure design value is obtained and used as the input load. The safety factor time evolution of the rock-anchor bearing arch, spray layer, and secondary lining is derived using the load-structure method, and the overall safety factor time evolution of the tunnel support structure is evaluated. The overall stability of the support structure is assessed, and numerical simulations are compared with field measurements based on the mechanical behavior evolution law of the secondary lining of the Chengdu–Lanzhou Railway Mao County Tunnel. The results indicate that the monitoring data of the internal forces of the field support structure is in good agreement with the numerical calculation results, validating the rationality of the proposed calculation method. Full article
Show Figures

Figure 1

29 pages, 10688 KB  
Article
Multiscale Modeling of Thermo–Electro–Mechanical Coupling of BGA Solder Joints in Microelectronic Systems of Ruggedized Computers for Signal Integrity Analysis
by Pan Li, Jin Huang, Jie Zhang, Hongxiao Gong, Jianjun Wang, Daijiang Zuo, Mengyang Su and Jiwei Shi
Micromachines 2025, 16(11), 1292; https://doi.org/10.3390/mi16111292 - 18 Nov 2025
Viewed by 600
Abstract
Ruggedized computers are the core of modern communication, guidance, control, and data-processing systems, and typically operate under extreme environmental conditions. However, under extreme service conditions such as temperature cycling, vibration, and mechanical shock, thermo–electro–mechanical (TME) multi-physics coupling in ball grid array (BGA) solder [...] Read more.
Ruggedized computers are the core of modern communication, guidance, control, and data-processing systems, and typically operate under extreme environmental conditions. However, under extreme service conditions such as temperature cycling, vibration, and mechanical shock, thermo–electro–mechanical (TME) multi-physics coupling in ball grid array (BGA) solder joints is particularly significant, severely affecting system reliability and signal integrity. To comprehensively elucidate the effects of thermal, electrical, and mechanical fields on solder joints and signal transmission, this study proposes a multiscale multi-physics modeling and analysis framework for BGA solder joints in microelectronic systems of ruggedized computers, covering the computer system level, motherboard level, solder joint level, and solder interconnect level. A model correlation study under ten thermal cycling conditions demonstrated an accuracy of 88.89%, confirming the validity and applicability of the proposed model. Based on this validated framework and model, the temperature distribution, stress–strain response, and signal integrity characteristics were further analyzed under combined conditions of thermal cycling, random vibration, and mechanical shock. The results indicate that a rise in temperature in solder joints induces thermal stresses and deformations, while variations in electrical conductivity under thermal loading trigger electromigration and concentration evolution, which further couple with stress gradients to form TME multi-physics interactions. Under such coupling, critical solder balls exhibit stress concentration at the metallurgical interfaces, with a maximum von Mises stress of 191.51 MPa accompanied by plastic strain accumulation. In addition, the PCIe high-speed interconnect experienced a maximum deformation of 16.104 μm and a voltage amplitude reduction of approximately 18.51% after 928 thermal cycles, exceeding the normal operating range. This research provides a theoretical basis and engineering reference for reliability assessment and optimization design of microelectronic systems in ruggedized computers in complex service environments. Full article
(This article belongs to the Section E:Engineering and Technology)
Show Figures

Figure 1

24 pages, 15785 KB  
Article
Mining-Induced Permeability Evolution of Inclined Floor Strata and In Situ Protection of Confined Aquifers
by Zhanglei Fan, Gangwei Fan, Dongsheng Zhang, Tao Luo, Congxin Yang, Xinyao Gao and Zihan Kong
Sustainability 2025, 17(22), 10273; https://doi.org/10.3390/su172210273 - 17 Nov 2025
Viewed by 323
Abstract
Mining above confined aquifers fundamentally depends on understanding the evolution of floor permeability for water hazard control and water conservation mining. A mechanical model was developed to characterize the coordinated deformation of floor aquiclude strata, accounting for non-uniform distributions of stress and water [...] Read more.
Mining above confined aquifers fundamentally depends on understanding the evolution of floor permeability for water hazard control and water conservation mining. A mechanical model was developed to characterize the coordinated deformation of floor aquiclude strata, accounting for non-uniform distributions of stress and water pressure. The competing mechanisms whereby neutral plane strain and flexural deflection dominantly control permeability at different dip angles were elucidated, and the influence of dip angle on the stability of the water-resistant key strata was quantified. On this basis, a quantitative method for assessing the feasibility of in situ water conservation mining above confined aquifers was developed and its effectiveness was verified through field application. The main findings are as follows: The deflection of the floor aquiclude increases with water pressure, advance distance, and panel length. Larger coal seam dip angles correspond to smaller aquiclude deflection, with a strong dependence on the water pressure treatment method. The equivalent permeability of the floor increases with water pressure, panel length, and advance distance, and its variation is most pronounced with water pressure. As the dip angle increases, the equivalent permeability exhibits a trend of first rising and then decreasing; the transition between deflection-dominated and neutral plane strain-dominated control occurs at a dip angle of 35°. Lithological assemblage is found to govern the position of the neutral plane and the bending stiffness matrix, while a soft–hard interbedded floor is effective in suppressing deformation and mitigating the increase in the equivalent permeability. For inclined aquiclude key strata, the ranking of zones most prone to failure and water inrush is as follows: lower end > upper end > coal wall position > behind the goaf. A quadratic multi-parameter response model for the mining-induced equivalent permeability at the Fenyuan Coal Mine is established, yielding the sensitivity ranking under single factor and interaction effects as follows: water pressure > panel length > advance distance > water pressure (quadratic) > water pressure × panel length interaction. The higher the water pressure, the stronger the influence of dip angle on the equivalent permeability. Groundwater ion evolution is dominated by dissolution/leaching, with sulfate (SO42−) serving as a diagnostic ion for source identification. The stepwise criteria and grouting-reinforcement parameters for in situ protection of confined aquifers are proposed. Using water quality and quantity as evaluation metrics, Working Face 5-103 at the Fenyuan Coal Mine, which is a large-inclination-angle and high-pressure working face, has achieved in situ protection of the floor water. Full article
Show Figures

Figure 1

13 pages, 1639 KB  
Article
Codon Usage Bias Analysis of Citrus Leaf Blotch Virus
by Xin Ren, Lifang Xu, Yuqian Yan, Ying Wang and Aijun Huang
Viruses 2025, 17(11), 1497; https://doi.org/10.3390/v17111497 - 12 Nov 2025
Viewed by 433
Abstract
Citrus leaf blotch virus (CLBV) is a positive-sense single-stranded RNA virus belonging to the genus Citrivirus within the family Betaflexiviridae. It infects a broad range of economically significant fruit crops, including citrus, kiwifruit, and apple. Surveys conducted in the field have documented [...] Read more.
Citrus leaf blotch virus (CLBV) is a positive-sense single-stranded RNA virus belonging to the genus Citrivirus within the family Betaflexiviridae. It infects a broad range of economically significant fruit crops, including citrus, kiwifruit, and apple. Surveys conducted in the field have documented appreciable incidence rates in several hosts, thereby emphasizing its emerging threat to global pomiculture. Comprehensive surveillance of CLBV genetic diversity is indispensable for predicting strain-specific epidemics and designing durable, broadly protective control strategies. Current surveys of CLBV diversity are still gene-fragment-centric, with whole-genome resolution remaining largely untapped. In this study, an analysis of codon usage bias analysis was performed using all available CLBV full-length genomes. The findings revealed that CLBV exhibits low codon usage bias, with natural selection, rather than mutational drift, being the primary driver. Phylogenetic analysis has been demonstrated to categorize isolates according to their host of origin rather than their geographical location. This observation suggests that host adaptation may supersede spatial structure in CLBV evolution and reinforce natural selection as the dominant force shaping its codon usage landscape. From the perspective of the codon adaptation index, Prunus avium is the host that exerts the greatest influence on the formation of its codon usage bias. The present study provides the first genome-wide portrait of CLBV codon usage bias, offering a robust framework for future investigations into its origin and evolutionary dynamics. Full article
(This article belongs to the Section Viruses of Plants, Fungi and Protozoa)
Show Figures

Figure 1

Back to TopTop