Sign in to use this feature.

Years

Between: -

Subjects

remove_circle_outline
remove_circle_outline
remove_circle_outline
remove_circle_outline
remove_circle_outline
remove_circle_outline
remove_circle_outline
remove_circle_outline
remove_circle_outline

Journals

Article Types

Countries / Regions

remove_circle_outline
remove_circle_outline
remove_circle_outline
remove_circle_outline
remove_circle_outline

Search Results (1,065)

Search Parameters:
Keywords = standardized drought index

Order results
Result details
Results per page
Select all
Export citation of selected articles as:
26 pages, 2991 KB  
Article
Hydro-Meteorological Drought Dynamics in the Lower Mekong River Basin and Their Downstream Impacts on the Vietnamese Mekong Delta (1992–2021)
by Dang Thi Hong Ngoc, Nguyen Van Toan, Nguyen Phuoc Cong, Bui Thi Bich Lien, Nguyen Thanh Tam, Nigel K. Downes, Pankaj Kumar and Huynh Vuong Thu Minh
Resources 2026, 15(1), 3; https://doi.org/10.3390/resources15010003 - 23 Dec 2025
Abstract
Climate change and river flow alterations in the Mekong River have significantly exacerbated drought conditions in the Vietnamese Mekong Delta (VMD). Understanding the temporal dynamics and propagation mechanisms of drought, coupled with the compounded impacts of human activities, is crucial. This study analyzed [...] Read more.
Climate change and river flow alterations in the Mekong River have significantly exacerbated drought conditions in the Vietnamese Mekong Delta (VMD). Understanding the temporal dynamics and propagation mechanisms of drought, coupled with the compounded impacts of human activities, is crucial. This study analyzed meteorological (1992–2021) and hydrological (2000–2021) drought trends in the Lower Mekong River Basin (LMB) using the Standardized Precipitation Index (SPI) and the Streamflow Drought Index (SDI), respectively, complemented by Mann–Kendall (MK) trend analysis. The results show an increasing trend of meteorological drought in Cambodia and Lao PDR, with mid-Mekong stations exhibiting a strong positive correlation with downstream discharge, particularly Tan Chau (Pearson r ranging from 0.60 to 0.70). A key finding highlights the complexity of flow regulation by the Tonle Sap system, evidenced by a very strong correlation (r = 0.71) between Phnom Penh and the 12-month SDI lagged by one year. Crucially, the comparison revealed a shift in drought severity since 2010: hydrological drought has exhibited greater severity (reaching severe levels in 2020–2021) compared to meteorological drought, which remained moderate. This escalation is substantiated by a statistically significant discharge reduction (95% confidence level) at the Chau Doc station during the wet season, indicating a decline in peak flow due to upstream dam operations. These findings provide a robust database on the altered hydrological regime, underlining the increasing vulnerability of the VMD and motivating the urgent need for comprehensive, adaptive water resource management strategies. Full article
Show Figures

Figure 1

25 pages, 6352 KB  
Article
Integrated Stochastic Framework for Drought Assessment and Forecasting Using Climate Indices, Remote Sensing, and ARIMA Modelling
by Majed Alsubih, Javed Mallick, Hoang Thi Hang, Mansour S. Almatawa and Vijay P. Singh
Water 2025, 17(24), 3582; https://doi.org/10.3390/w17243582 - 17 Dec 2025
Viewed by 157
Abstract
This study presents an integrated stochastic framework for assessing and forecasting drought dynamics in the western Bhagirathi–Hooghly River Basin, encompassing the districts of Bankura, Birbhum, Burdwan, Medinipur, and Purulia. Employing multiple probabilistic and statistical techniques, including the gamma-based standardized precipitation index (SPI), effective [...] Read more.
This study presents an integrated stochastic framework for assessing and forecasting drought dynamics in the western Bhagirathi–Hooghly River Basin, encompassing the districts of Bankura, Birbhum, Burdwan, Medinipur, and Purulia. Employing multiple probabilistic and statistical techniques, including the gamma-based standardized precipitation index (SPI), effective drought index (EDI), rainfall anomaly index (RAI), and the auto-regressive integrated moving average (ARIMA) model, the research quantifies spatio-temporal variability and projects drought risk under non-stationary climatic conditions. The analysis of century-long rainfall records (1905–2023), coupled with LANDSAT-derived vegetation and moisture indices, reveals escalating drought frequency and severity, particularly in Purulia, where recurrent droughts occur at roughly four-year intervals. Stochastic evaluation of rainfall anomalies and SPI distributions indicates significant inter-annual variability and complex temporal dependencies across all districts. ARIMA-based forecasts (2025–2045) suggest persistent negative SPI trends, with Bankura and Purulia exhibiting heightened drought probability and reduced predictability at longer timescales. The integration of remote sensing and time-series modelling enhances the robustness of drought prediction by combining climatic stochasticity with land-surface responses. The findings demonstrate that a hybrid stochastic modelling approach effectively captures uncertainty in drought evolution and supports climate-resilient water resource management. This research contributes a novel, region-specific stochastic framework that advances risk-based drought assessment, aligning with the broader goal of developing adaptive and probabilistic environmental management strategies under changing climatic regimes. Full article
(This article belongs to the Special Issue Drought Evaluation Under Climate Change Condition)
Show Figures

Figure 1

25 pages, 6475 KB  
Article
Fine-Resolution Multivariate Drought Analysis for Southwestern Türkiye Under SSP3-7.0 Scenario
by Cemre Yürük Sonuç, Nisa Yaylacı, Burkay Keske, Nur Kapan, Levent Başayiğit and Yurdanur Ünal
Agriculture 2025, 15(24), 2605; https://doi.org/10.3390/agriculture15242605 - 17 Dec 2025
Viewed by 262
Abstract
The ramifications of climate change, which are projected to lead to increased drought, desertification, and water scarcity, are expected to have a significant impact on the agricultural sector of Türkiye, particularly in the Mediterranean coastal regions. This study presents an extensive evaluation of [...] Read more.
The ramifications of climate change, which are projected to lead to increased drought, desertification, and water scarcity, are expected to have a significant impact on the agricultural sector of Türkiye, particularly in the Mediterranean coastal regions. This study presents an extensive evaluation of potential agricultural drought conditions in southwestern Türkiye, using a high-resolution, convection-permitting (0.025°) modeling approach. We employ a single, physically consistent model chain, dynamically downscaling the CMIP6 MPI-ESM-HR Earth System Model with the COSMO-CLM regional climate model at a convection-permitting (CP) resolution (0.025°) under IPCC Shared Socioeconomic Pathways SSP3-7.0, reflecting a high-emission scenario with regional socioeconomic challenges. Southwestern Türkiye, situated at the intersection of the Mediterranean and continental climates, hosts rare climatic and ecological conditions that sustain a highly productive and diverse agricultural system. This region forms the backbone of Türkiye’s agricultural economy but is increasingly vulnerable to climate variability and fluctuations that threaten its agricultural stability and resilience. Our study employs a novel approach that utilizes multivariate assessment of agricultural drought in the Mediterranean Region by integrating precipitation, soil moisture, and temperature variables from 2.5 km resolution climate simulations. Agricultural drought conditions were evaluated using the Standardized Precipitation Index (SPI), the Standardized Soil Moisture Index (SSI), and the Standardized Temperature Index (STI), derived by normalizing respective climate variables from climate simulations spanning from 1995 to 2014 for the historical period, from 2040 to 2049 and from 2070 to 2079 for future projections. CP climate simulations (CPCSs) exhibit a modest warm and dry bias during all seasons but slightly wetter conditions during summer when compared with station observations. Correlations between indices indicate that soil moisture variations in the future will become more sensitive to changes in temperature rather than precipitation. Results from this specific model chain reveal that the probability of compound events where precipitation and soil moisture deficits coincide with anomalously high temperatures will rise for all threshold levels under the SSP3-7.0 scenario towards the end of the century. For the most severe conditions (|Z| > 1.2), the compound likelihood increases to about 3%, highlighting the enhanced occurrence of rare events in a changing climate. These findings, conditional on the model and scenario used, provide a high-resolution, physically grounded perspective on the potential intensification of agricultural drought regimes. Full article
(This article belongs to the Section Artificial Intelligence and Digital Agriculture)
Show Figures

Figure 1

24 pages, 30028 KB  
Article
Temporal and Spatial Changes in Soil Drought and Identification of Remote Correlation Effects
by Weiran Luo, Jianzhong Guo, Ziwei Li, Ning Li, Fei Wang, Hexin Lai, Ruyi Men, Rong Li, Mengting Du, Kai Feng, Yanbin Li, Shengzhi Huang and Qingqing Tian
Agriculture 2025, 15(24), 2603; https://doi.org/10.3390/agriculture15242603 - 16 Dec 2025
Viewed by 159
Abstract
Under the extensive influence of the monsoon climate, droughts in the Yangtze River Basin (YRB) occur frequently and pose a serious threat to grain security. To better understand the evolution and drivers of soil drought, this study employed remote sensing-based soil moisture and [...] Read more.
Under the extensive influence of the monsoon climate, droughts in the Yangtze River Basin (YRB) occur frequently and pose a serious threat to grain security. To better understand the evolution and drivers of soil drought, this study employed remote sensing-based soil moisture and atmospheric circulation data from 2000 to 2022. It assessed the spatiotemporal characteristics of soil drought across the YRB and its sub-basins, identified the main mutation points and types, and quantified the relative contributions of climatic and circulation factors. The results show that: (1) the most severe soil drought month occurred in August 2022 (Standardized Soil Moisture Index SSMI = –1.69), with two major mutation points in May 2011 (“decrease to increase”) and June 2019 (“increase to decrease”); (2) drought mutations were mainly categorized as “interrupted decrease” (9 sub-basins) and “increase to decrease” (1 sub-basin), most occurring after 2010; (3) the year 2022 experienced the most severe annual drought (SSMI = –0.94), with extreme drought covering 39.36% of the basin in August; (4) precipitation (PC) was the dominant climatic factor influencing drought (percentage area of significant coherence PASC = 15.48%), while the Interannual Pacific Oscillation (IPO), Pacific Decadal Oscillation (PDO), and Dipole Mode Index (DMI) all showed significant remote-correlation effects, with mean Shapley additive explanations (SHAP) values of 0.138, 0.111, and 0.090, respectively. This study clarifies the spatiotemporal patterns and drivers of soil drought in the YRB, providing a scientific basis for improved drought monitoring and agricultural risk management. Full article
(This article belongs to the Section Ecosystem, Environment and Climate Change in Agriculture)
Show Figures

Figure 1

24 pages, 4712 KB  
Article
A Century of Data: Machine Learning Approaches to Drought Prediction and Trend Analysis in Arid Regions
by Moncef Bouaziz, Mohamed Amine Abid, Emna Medhioub and André John
Water 2025, 17(24), 3567; https://doi.org/10.3390/w17243567 - 16 Dec 2025
Viewed by 295
Abstract
Droughts are among the most critical natural hazards affecting agricultural productivity, water resources, and food security worldwide, with climate change intensifying their frequency and severity. Accurate monitoring and forecasting of drought events are therefore essential for effective risk management and sustainable resource planning. [...] Read more.
Droughts are among the most critical natural hazards affecting agricultural productivity, water resources, and food security worldwide, with climate change intensifying their frequency and severity. Accurate monitoring and forecasting of drought events are therefore essential for effective risk management and sustainable resource planning. In this study, we systematically evaluated the performance of four machine learning approaches—Support Vector Regression (SVR), Random Forest (RF), K-Nearest Neighbor (kNN), and Linear Regression (LR)—for tracking and predicting the Standardized Precipitation Index (SPI) at multiple temporal scales (1, 3, 6, 9, 12, 18, and 24 months). We utilized a century-long precipitation dataset from a meteorological station in south-eastern Tunisia to compute SPI values and forecast drought occurrences. The Mann–Kendall trend test was applied to assess the presence of significant trends in the monthly SPI series. The results revealed upward trends in SPI 12, SPI 18, and SPI 24, indicating decreasing drought severity over longer time scales, while SPI 1, SPI 3, SPI 6, and SPI 9 did not exhibit statistically significant trends. Model efficacy was assessed using a suite of statistical metrics: mean square error (MSE), root mean square error (RMSE), mean absolute error (MAE), and the correlation coefficient (R). While all models exhibited robust predictive performance, Support Vector Regression (SVR) proved superior, achieving the highest accuracy across both short- and long-term time horizons. These findings highlight the effectiveness of machine learning approaches in drought forecasting and provide critical insights for regional water resource management, agricultural planning, and ecological sustainability. Full article
(This article belongs to the Special Issue Rainfall Variability, Drought, and Land Degradation)
Show Figures

Figure 1

30 pages, 12789 KB  
Article
Enhancing Drought Identification and Characterization in the Tensift River Basin (Morocco): A Comparative Analysis of Data and Tools
by Mohamed Naim, Brunella Bonaccorso and Shewandagn Tekle
Hydrology 2025, 12(12), 334; https://doi.org/10.3390/hydrology12120334 - 16 Dec 2025
Viewed by 276
Abstract
The Tensift River Basin, part of the Mediterranean region, faces significant agricultural losses due to increasing drought frequency and severity, impacting up to 15% of the national GDP. The increasing climate crisis demands our immediate attention and proactive adaptation measures, including the enhancement [...] Read more.
The Tensift River Basin, part of the Mediterranean region, faces significant agricultural losses due to increasing drought frequency and severity, impacting up to 15% of the national GDP. The increasing climate crisis demands our immediate attention and proactive adaptation measures, including the enhancement of early-warning tools to support timely and informed responses. To this end, our study aims to achieve the following goals: (1) evaluate satellite and reanalysis products against in situ observations using statistical metrics; (2) identify the best probability distribution for calculating drought indices using goodness-of-fit testing; (3) compare the performances of the Standardized Precipitation Index (SPI) and the Standardized Precipitation and Evapotranspiration Index (SPEI) at different aggregation timescales by comparing index-based and reported (i.e., impact-based) drought events using receiver operating characteristic (ROC) analysis. Our findings indicate that CHIRPS and ERA5-Land datasets perform well compared to in situ measurements for drought monitoring in the Tensift River Basin. Pearson Type 3 was identified as the optimal distribution for SPI calculation, while log-logistic was confirmed for SPEI. We also explored the effect of using the Thornthwaite method and the Hargreaves method when computing the SPEI. These results can serve as a basis for drought monitoring, modeling, and forecasting, to support decision-makers in the sustainable management of water resources. Full article
Show Figures

Graphical abstract

21 pages, 10132 KB  
Article
Assessing the Use of the Standardized GRACE Satellite Groundwater Storage Change Index for Quantifying Groundwater Drought in the Mu Us Sandy Land
by Yonghua Zhu, Longfei Zhou, Qi Zhang, Zhiming Han, Jiamin Li, Yan Chao, Xiaohan Wang, Hui Yuan, Jie Zhang and Bisheng Xia
Remote Sens. 2025, 17(24), 4015; https://doi.org/10.3390/rs17244015 - 12 Dec 2025
Viewed by 232
Abstract
The increasingly severe phenomenon of groundwater drought poses a dual threat to the development and construction of a region, as well as its ecological environment. Traditional groundwater drought monitoring methods rely on observation wells, which makes it difficult to obtain dynamic drought information [...] Read more.
The increasingly severe phenomenon of groundwater drought poses a dual threat to the development and construction of a region, as well as its ecological environment. Traditional groundwater drought monitoring methods rely on observation wells, which makes it difficult to obtain dynamic drought information in areas with limited measurement data. Based on Gravity Recovery and Climate Experiment (GRACE) satellite technology and data, the suitability of the standardized groundwater index (GRACE_SGI) was explored for drought characterization in the Mu Us Sandy Land. Multiscale and seasonal trend changes in groundwater drought in the study area from 2002 to 2021 were comprehensively identified. Subsequently, the characteristics of hysteresis time between the GRACE_SGI and the standardized precipitation index (SPI) were clarified. The results show that (1) different fitting functions impact the parameterized GRACE_SGI fitting results. The Anderson–Darling method was used to find the best-fitting function for groundwater data in the study area: the Pearson III distribution. (2) The gain and loss characteristics of the GRACE_SGI are similar, showing downward trends at different time scales, including seasonal scales. (3) The absolute values based on the maximum correlation coefficients between the SPI and the GRACE_SGI at different time scales were 0.1296, 0.2483, 0.2427, and 0.5224, with time lags of 0, 0, 12, and 11 months, respectively. The vulnerability of semiarid ecosystems to hydroclimatic changes is highlighted by these findings, and a satellite-based framework for monitoring groundwater drought in data-scarce regions is provided. Full article
(This article belongs to the Section Remote Sensing in Geology, Geomorphology and Hydrology)
Show Figures

Figure 1

19 pages, 6099 KB  
Article
Multi-Scale Assessment and Prediction of Drought: A Case Study in the Arid Area of Northwest China
by Tingting Pan, Yang Wang, Yaning Chen, Jiayou Wang and Meiqing Feng
Remote Sens. 2025, 17(24), 3985; https://doi.org/10.3390/rs17243985 - 10 Dec 2025
Viewed by 270
Abstract
Accurate prediction of meteorological drought is essential for climate adaptation and sustainable water management in arid regions. Using the Standardized Precipitation Evapotranspiration Index (SPEI) derived from 1962–2021 meteorological observations, this study analyzed multi-scale drought evolution in the Arid Area of Northwest China (AANC) [...] Read more.
Accurate prediction of meteorological drought is essential for climate adaptation and sustainable water management in arid regions. Using the Standardized Precipitation Evapotranspiration Index (SPEI) derived from 1962–2021 meteorological observations, this study analyzed multi-scale drought evolution in the Arid Area of Northwest China (AANC) and revealed a distinct shift from wetting to drying after the 1997 abrupt warming. Correlation analysis indicated that the rapid temperature rise significantly enhanced evapotranspiration, offsetting the humidification effect of precipitation. To improve predictive performance, a Stacking ensemble framework was developed by integrating Elastic Network, Random Forest, and Prophet + XGBoost models, with the outputs of the base learners serving as inputs to a meta-regression layer. Compared with single models (NSE ≤ 0.742), the integrated model achieved superior accuracy (NSE = 0.886, MAE = 0.236, RMSE = 0.214), and its residuals followed a near-normal distribution, indicating high robustness. Future projections for 2022–2035 show consistent declines in SPEI1, SPEI3, SPEI6, SPEI12, and SPEI24, suggesting that the AANC will experience increasingly frequent and severe droughts as warming-induced evaporation continues to outweigh the humidification effect of precipitation. This integrated framework enhances drought predictability and provides theoretical support for climate risk assessment and adaptive water management in arid environments. Full article
Show Figures

Figure 1

31 pages, 6021 KB  
Article
Multisource Remote Sensing and Machine Learning for Spatio-Temporal Drought Assessment in Northeast Syria
by Abdullah Sukkar, Ozan Ozturk, Ammar Abulibdeh and Dursun Zafer Seker
Sustainability 2025, 17(24), 10933; https://doi.org/10.3390/su172410933 - 7 Dec 2025
Viewed by 356
Abstract
Increasing aridity across the Middle East Region has intensified concerns about the impacts of drought in conflict-affected Northeast Syria (NES). In this study, drought dynamics and their drivers from 2000 to 2023 were analyzed by integrating ERA5-Land meteorological data, MODIS land-surface indicators, FLDAS [...] Read more.
Increasing aridity across the Middle East Region has intensified concerns about the impacts of drought in conflict-affected Northeast Syria (NES). In this study, drought dynamics and their drivers from 2000 to 2023 were analyzed by integrating ERA5-Land meteorological data, MODIS land-surface indicators, FLDAS soil moisture, and ISRIC soil properties at 250 m resolution. The integration of these multisource datasets contributes to a more comprehensive understanding of drought dynamics by combining information on weather conditions, vegetation status, and soil characteristics. The proposed drought analysis framework clarifies independent controls on meteorological, agricultural, and hydrological drought, underscoring the role of land-atmosphere feedback through soil temperature. This workflow provides a transferable approach for drought monitoring and hypothesis generation in arid regions. For this purpose, different XGBoost models were trained for the vegetation health index (VHI), the standardized precipitation-evapotranspiration index (SPEI), and surface soil-moisture anomalies, excluding target-related variables to prevent data leakage. Model interpretability was achieved using SHAP, complemented by time-series, trend, clustering, and spatial autocorrelation analyses. The models performed well (R2 = 0.86–0.90), identifying soil temperature, SPEI, relative humidity, precipitation, and soil-moisture anomalies as key predictors. Regionally, soil temperature rose (+0.069 °C yr−1), while rainfall (−1.203 mm yr−1) and relative humidity (−0.075% yr−1) declined. Spatial analyses demonstrated expanding heat hotspots and persistent soil moisture deficits. Although 2018–2019 were anomalously wet, recent years (2021–2023) exhibited severe drought. Full article
Show Figures

Figure 1

14 pages, 2172 KB  
Article
Demographic Drivers of Population Decline in the Endangered Korean Fir (Abies koreana): Insights from a Bayesian Integral Projection Model
by Jeong-Soo Park, Jaeyeon Lee and Chung-Weon Yun
Plants 2025, 14(23), 3686; https://doi.org/10.3390/plants14233686 - 3 Dec 2025
Viewed by 326
Abstract
Understanding the demographic mechanisms underlying the decline of endangered tree species is essential for developing effective conservation strategies. This study aimed to quantify the population trajectory and its demographic drivers in the Korean fir (Abies koreana), a subalpine conifer endemic to [...] Read more.
Understanding the demographic mechanisms underlying the decline of endangered tree species is essential for developing effective conservation strategies. This study aimed to quantify the population trajectory and its demographic drivers in the Korean fir (Abies koreana), a subalpine conifer endemic to South Korea and listed as endangered by the IUCN, using a Bayesian Integral Projection Model (IPM). Based on eight years of field monitoring of survival, growth, and recruitment, the Bayesian IPM estimated the population growth rate (λs) and quantified its uncertainty under interannual environmental variation. The results indicated that interannual variation in drought, represented by the Standardized Precipitation–Evapotranspiration Index (SPEI), was a key driver of demographic changes. The mean population growth rate (λ = 0.983) suggests a slow decline, primarily driven by high mortality among intermediate-sized individuals, which are vital for maintaining population stability. In contrast, the growth of small to medium trees showed a weak but positive elasticity, implying that management actions targeting these size classes could benefit population persistence. Accordingly, effective conservation of A. koreana should focus on mitigating drought stress through reducing competition and improving soil moisture and structure. Full article
Show Figures

Figure 1

23 pages, 25814 KB  
Article
Remote Sensing Standardized Soil Moisture Index for Drought Monitoring: A Case Study in the Ebro Basin
by Guillem Sánchez Alcalde and Maria José Escorihuela
Remote Sens. 2025, 17(23), 3916; https://doi.org/10.3390/rs17233916 - 3 Dec 2025
Viewed by 481
Abstract
The occurrence and duration of droughts have increased in recent years, reinforcing their role as a major climate risk. This study evaluates a remote sensing soil moisture-based drought index, the Standardized Soil Moisture Index (SSI), as a tool to monitor different types of [...] Read more.
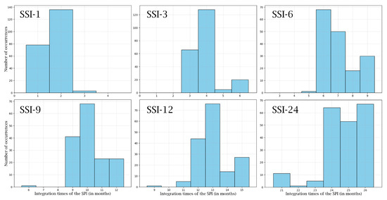
The occurrence and duration of droughts have increased in recent years, reinforcing their role as a major climate risk. This study evaluates a remote sensing soil moisture-based drought index, the Standardized Soil Moisture Index (SSI), as a tool to monitor different types of drought, from meteorological, agricultural to hydrological. The satellite-derived SSI at different integration times (from SSI-1 up to SSI-24) was compared with the Standardized Precipitation Index (SPI), calculated using precipitation data from 239 meteorological stations in the Ebro Basin. A good correlation (R>0.6) was found between the indices at all integration times. Our results suggest that, independently of the time scale, SSI tends to relate better to the SPI with an additional month for its integration time, reflecting soil moisture’s inertia. Comparison with a gridded SPI product further confirmed that SSI captures basin-wide drought variability, also suggesting that it can observe hydrological processes such as snowmelt and irrigation. These findings demonstrate that remote-sensed SSI is a robust and versatile drought index, capable of monitoring multiple drought types without relying on in situ measurements. Provided the existence of quality soil moisture data, satellite-derived SSI stands as a drought indicator with high coverage and enhanced spatial detail. Hence, this methodology paves the way for accurate drought monitoring in data-scarce regions. Full article
Show Figures

Graphical abstract

22 pages, 3203 KB  
Article
Declining Crop Yield Sensitivity to Drought and Its Environmental Drivers in the North China Plain
by Zhipeng Wang, Yanan Cao, Fei Liu, Ben Niu, Zengfu Xi and Yunpu Zheng
Sustainability 2025, 17(23), 10798; https://doi.org/10.3390/su172310798 - 2 Dec 2025
Viewed by 269
Abstract
Drought poses a severe threat to global food security and agricultural sustainability. Despite substantial efforts to enhance crop yield tolerance to drought, the effectiveness varies spatiotemporally across different environments and management practices. In this study, we compiled long-term grain yield data alongside multiple [...] Read more.
Drought poses a severe threat to global food security and agricultural sustainability. Despite substantial efforts to enhance crop yield tolerance to drought, the effectiveness varies spatiotemporally across different environments and management practices. In this study, we compiled long-term grain yield data alongside multiple environmental indicators, including the multiscalar Standardized Precipitation Evapotranspiration Index (SPEI), climate, soil moisture (SWC), groundwater storage (GWS), nitrogen fertilizer (Nfer), and atmospheric CO2 records. We aim to assess the variability and drivers of grain yield sensitivity to drought across the North China Plain. We found a significantly positive correlation between the interannual variability of wheat yield and SPEI over the 9-month scale, suggesting that wheat yield variations were sensitive to medium-term (>9 month) and long-term (>22 month) drought. Surprisingly, the sensitivity (SSPEI: correlation coefficient between wheat yield variations and SPEI) of wheat yield to medium-term and long-term drought has declined substantially in the past three decades. The effects of SWC, GWS, Nfer, and CO2 on SSPEI varied situationally as the duration of the drought extended. Typically, SWC primarily governed short-term (<10 month) SSPEI, with a relative weight of 38.9 ± 3.2% in explaining SSPEI variability. The decrease in medium-term SSPEI was at the expense of GWS, which contributed a relative weight of 33.7 ± 12.3% in explaining the variations. SWC, CO2, and Nfer jointly dominated long-term SSPEI variations, and the cumulative relative weight as high as 84.0 ± 6.2%. Specifically, Nfer notably enhanced the SSPEI during prolonged drought, and the anticipated enriched CO2-induced “fertilizer effect” and “water-saving effect” in decreasing SSPEI were evident during long-term drought, contrasting with CO2 enrichment-enhanced yield reductions observed in short-term drought. Our findings highlight that prediction-based practices to mitigate drought-induced yield loss and enhance agricultural sustainability, including water conservation and fertilizer addition, may differ radically depending on drought episodes. Full article
Show Figures

Graphical abstract

18 pages, 4604 KB  
Article
Evaluating Terrestrial Water Storage, Fluxes, and Drivers in the Pearl River Basin from Downscaled GRACE/GFO and Hydrometeorological Data
by Yuhao Xiong, Jincheng Liang and Wei Feng
Remote Sens. 2025, 17(23), 3816; https://doi.org/10.3390/rs17233816 - 25 Nov 2025
Viewed by 396
Abstract
The Pearl River Basin (PRB) is a humid subtropical system where frequent floods and recurrent droughts challenge water management. GRACE and GRACE Follow-On provide basin-scale constraints on terrestrial water storage anomalies (TWSA), yet their coarse native resolution limits applications at regional scales. We [...] Read more.
The Pearl River Basin (PRB) is a humid subtropical system where frequent floods and recurrent droughts challenge water management. GRACE and GRACE Follow-On provide basin-scale constraints on terrestrial water storage anomalies (TWSA), yet their coarse native resolution limits applications at regional scales. We employ a downscaled TWSA product derived via a joint inversion that integrates GRACE/GFO observations with the high-resolution spatial patterns of WaterGap Global Hydrological Model (WGHM). Validation against GRACE/GFO shows that the downscaled product outperforms WGHM at basin and pixel scales, with consistently lower errors and higher skill, and with improved terrestrial water flux (TWF) estimates that agree more closely with water balance calculations in both magnitude and phase. The TWSA in the PRB exhibits strong seasonality, with precipitation (P) exceeding evapotranspiration (E) and runoff (R) from April to July and storage peaking in July. From 2002 to 2022, the basin alternates between multi-year declines and recoveries. On the annual scale, TWSA covaries with precipitation and runoff, and large-scale climate modes modulate these relationships, with El Niño and a warm Pacific Decadal Oscillation (PDO) favoring wetter conditions and La Niña and a cold PDO favoring drier conditions. extreme gradient boosting (XGBoost) with shapley additive explanations (SHAP) attribution identifies P as the primary driver of storage variability, followed by R and E, while vegetation and radiation variables play secondary roles. Drought and flood diagnostics based on drought severity index (DSI) and a standardized flood potential index (FPI) capture the severe 2021 drought and major wet-season floods. The results demonstrate that joint inversion downscaling enhances the spatiotemporal fidelity of satellite-informed storage estimates and provides actionable information for risk assessment and water resources management. Full article
Show Figures

Figure 1

28 pages, 7124 KB  
Article
Flash Drought Assessment: Insights from a Selection of Mediterranean Islands, Greece
by Chrysoula Katsora, Evangelos Leivadiotis, Nektaria Papadopoulou, Isavela Monioudi, Efthymia Kostopoulou, Petros Gaganis, Aris Psilovikos and Ourania Tzoraki
Hydrology 2025, 12(11), 308; https://doi.org/10.3390/hydrology12110308 - 18 Nov 2025
Viewed by 879
Abstract
Flash droughts are a significant natural hazard, characterized by rapid onset and potential to cause substantial economic and environmental impacts. This study utilizes ERA5 soil moisture data to identify and define historical flash drought (FD) events in the Northeastern Aegean islands (specifically Chios, [...] Read more.
Flash droughts are a significant natural hazard, characterized by rapid onset and potential to cause substantial economic and environmental impacts. This study utilizes ERA5 soil moisture data to identify and define historical flash drought (FD) events in the Northeastern Aegean islands (specifically Chios, Lemnos, Lesvos and Samos). Hourly soil moisture data, spanning from 1990 to the present, covering three soil layers (0–7 cm, 7–28 cm and 28–100 cm), were analyzed and mapped onto a 0.1° × 0.1° grid with a native resolution of approximately 9 km. Additionally, the Standardized Precipitation Evapotranspiration Index (SPEI) was applied to the island of Lesvos, using precipitation and average temperature data from the local meteorological stations. The number and characteristics of these events—including frequency, duration, decline rate, magnitude, intensity, recovery rate and recovery duration—were produced to construct a regional overview of FD risk across the Northeastern Aegean Islands. These results reveal a considerable variability in the spatial, seasonal and temporal distribution of past FD events. Furthermore, this study highlights the value of using satellite-derived soil moisture data for identifying FD events and demonstrates that analyzing this data with field temperature and precipitation measurements enables a more localized and accurate interpretation of past events. This approach facilitates the definition of FD “hotspot” areas, which, when combined with further investigation, can lead to the development of a predictive FD model. Full article
(This article belongs to the Section Hydrology–Climate Interactions)
Show Figures

Figure 1

27 pages, 14142 KB  
Article
Multi-Indicator Drought Variability in Europe (1766–2018)
by Monica Ionita, Patrick Scholz and Viorica Nagavciuc
Forests 2025, 16(11), 1739; https://doi.org/10.3390/f16111739 - 18 Nov 2025
Viewed by 396
Abstract
Accurately characterizing historical drought events is critical for understanding their spatial and temporal variability and for improving future drought projections. This study investigates extreme drought years across Europe using three complementary drought indicators: the Palmer drought severity index (PDSI, based on tree-ring width), [...] Read more.
Accurately characterizing historical drought events is critical for understanding their spatial and temporal variability and for improving future drought projections. This study investigates extreme drought years across Europe using three complementary drought indicators: the Palmer drought severity index (PDSI, based on tree-ring width), the standardized precipitation evapotranspiration index (SPEI, based on stable oxygen isotopes in tree rings), and the soil moisture index (SMI, based on high-resolution climate modeling). We analyze the common period 1766–2018 simultaneously across all three reconstructions to enable direct cross-indicator comparisons, a scope not typical of prior single-indicator studies. When analyzing year-to-year variability, the driest European years differ by indicator (PDSI—1874, SPEI—2003, and SMI—1868). Quantitatively, the values exhibited are as follows: PDSI 1874 (M = −1.97; A = 64.4%), SPEI 2003 (M = −1.16; A = 90.1%), and SMI 1868 (M = 0.21; A = 83.4%). Multi-year extremes also diverge: while PDSI identifies 1941–1950 as the driest years (M = −0.82; A = 42.1%), SPEI highlights 2011–2018 (M = −0.36; A = 46.6%), and SMI points to 1781–1790 as the driest years, followed by 2011–2018. Trends in drought-covered areas show a significant European-scale increase for SMI (+0.52%/decade, p < 0.05) and regional increases for MED in SMI (~+1.1%/decade, p < 0.001) and for CEU in SPEI (+0.42%/decade, p < 0.05) and SMI (+0.6%/decade, p < 0.001). At the regional scale (Mediterranean—MED, central Europe—CEU, and northern Europe—NEU), the driest years/decades and spatial footprints vary by indicator, yet all the indicators consistently identify drought hotspots such as the MED. We also found that drought is significantly influenced by large-scale atmospheric drivers. A canonical correlation analysis (CCA) between summer geopotential height at 500 mb (Z500) and drought reconstructions indicates that drought-affected regions are, in general, associated with atmospheric blocking. The canonical series are significantly correlated at r = 0.82 (p < 0.001), with explained variances of 12.78% (PDSI), 8.41% (SPEI), and 14.58% (SMI). Overall, our study underscores the value of multi-indicator approaches: individual indicators provide distinct but complementary perspectives on European drought dynamics, improving the historical context for assessing future risk. Full article
(This article belongs to the Section Forest Meteorology and Climate Change)
Show Figures

Figure 1

Back to TopTop