Assessing the Use of the Standardized GRACE Satellite Groundwater Storage Change Index for Quantifying Groundwater Drought in the Mu Us Sandy Land
Highlights
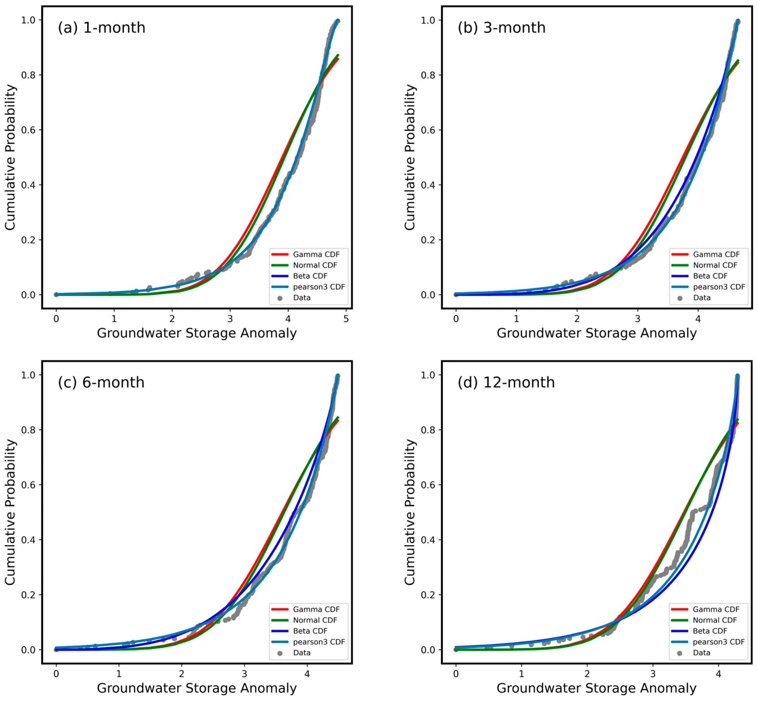
- Based on GRACE-derived groundwater storage anomaly data, the Anderson–Darling test revealed that the Pearson III distribution function provides the best fit for calculating the standardized groundwater index (GRACE_SGI) across different time scales, significantly improving accuracy.
- Cross-correlation analysis between the GRACE_SGI and the standardized precipitation index (SPI) demonstrated a notable time lag effect, with lag times of up to 12 months being observed at longer time scales, indicating a delayed response of groundwater levels to precipitation changes.
- The identification of the optimal probability density function for GRACE_SGI calculation enhances the reliability of groundwater drought monitoring, particularly in data-scarce regions, providing a robust scientific foundation for quantitative assessments.
- Understanding the time lag effect between precipitation and groundwater recharge aids in more accurately predicting groundwater drought events, facilitating proactive water resource management and drought preparedness strategies.
Abstract
1. Introduction
2. Materials and Methods
2.1. Study Area
2.2. Data
2.2.1. GRACE Data
2.2.2. GLDAS Data
2.2.3. Climate Data
2.2.4. In Situ Groundwater
2.2.5. Other Data
2.3. Method
2.3.1. Groundwater Change
2.3.2. Fitting Calculations of the Drought Index
2.3.3. Correlation Analysis
3. Results
3.1. Selection of the Best-Fitting Function for GRACE_SGI
3.2. Temporal Trends in SGI
3.3. Seasonal Variation Trends in SGI
3.4. Correlation and Lag Between SPI and SGI
4. Discussion
4.1. Fitting Test and SGI Evolution Process at Different Time Scales
4.2. Seasonal Analysis of SGI
4.3. Correlation Coefficient and Hysteresis Analysis of SPI and SGI
5. Conclusions
Author Contributions
Funding
Data Availability Statement
Conflicts of Interest
References
- Wang, W.; Chen, Y.; Wang, W.; Zhu, C.; Chen, Y.; Liu, X.; Zhang, T. Water Quality and Interaction between Groundwater and Surface Water Impacted by Agricultural Activities in an Oasis-Desert Region. J. Hydrol. 2023, 617, 128937. [Google Scholar] [CrossRef]
- Ndikubwimana, I.; Mao, X.; Niyonsenga, J.D.; Zhu, D.; Mwizerwa, S. Water-Rock Interaction, Formation and Circulation Mechanism of Highly Bicarbonate Groundwater in the Northwestern Geothermal Prospects of Rwanda. Episodes 2022, 45, 73–86. [Google Scholar] [CrossRef] [PubMed]
- Wang, L.; Jia, B.; Xie, Z.; Wang, B.; Liu, S.; Li, R.; Liu, B.; Wang, Y.; Chen, S. Impact of Groundwater Extraction on Hydrological Process over the Beijing-Tianjin-Hebei Region, China. J. Hydrol. 2022, 609, 127689. [Google Scholar] [CrossRef]
- Zhang, Q.; Miao, C.; Guo, X.; Gou, J.; Su, T. Human Activities Impact the Propagation from Meteorological to Hydrological Drought in the Yellow River Basin, China. J. Hydrol. 2023, 623, 129752. [Google Scholar] [CrossRef]
- Ministry of Water Resources of the People’s Republic of China. China Water Resources Bulletin; China Water Resources and Hydropower Press: Beijing, China, 2022.
- World Meteorological Organization. State of the Global Climate 2024. 2024. Available online: https://wmo.int/publication-series/state-of-global-climate-2024 (accessed on 10 August 2025).
- IPCC. Climate Change 2024: Mitigation of Climate Change (Working Group III, Summary for Policymakers); IPCC: Geneva, Switzerland, 2024. [Google Scholar]
- Zhu, Y.; Luo, P.; Zhang, S.; Sun, B. Spatiotemporal Analysis of Hydrological Variations and Their Impacts on Vegetation in Semiarid Areas from Multiple Satellite Data. Remote Sens. 2020, 12, 4177. [Google Scholar] [CrossRef]
- Zhang, Q.; Zhu, B.; Yang, J.; Ma, P.; Liu, X.; Lu, G.; Wang, Y.; Yu, H.; Liu, W. New characteristics of climatic humidification trend in northwest China. Chin. Sci. Bull. 2021, 66, 3757–3771. [Google Scholar] [CrossRef]
- Guan, Y.; Gu, X.; Slater, L.J.; Li, X.; Li, J.; Wang, L.; Tang, X.; Kong, D.; Zhang, X. Human-Induced Intensification of Terrestrial Water Cycle in Dry Regions of the Globe. npj Clim. Atmos. Sci. 2024, 7, 45. [Google Scholar] [CrossRef]
- Zhou, Z.; Lu, B.; Jiang, Z.; Zhao, Y. Quantifying Water Storage Changes and Groundwater Drought in the Huaihe River Basin of China Based on GRACE Data. Sustainability 2024, 16, 8437. [Google Scholar] [CrossRef]
- Marchant, B.P.; Cuba, D.; Brauns, B.; Bloomfield, J.P. Temporal Interpolation of Groundwater Level Hydrographs for Regional Drought Analysis Using Mixed Models. Hydrogeol. J. 2022, 30, 1801–1817. [Google Scholar] [CrossRef]
- Mishra, A.K.; Singh, V.P. A Review of Drought Concepts. J. Hydrol. 2010, 391, 202–216. [Google Scholar] [CrossRef]
- Zhang, T.; Su, X.; Zhang, G.; Wu, H.; Wang, G.; Chu, J. Evaluation of the Impacts of Human Activities on Propagation from Meteorological Drought to Hydrological Drought in the Weihe River Basin, China. Sci. Total Environ. 2022, 819, 153030. [Google Scholar] [CrossRef] [PubMed]
- Han, Z.; Huang, S.; Huang, Q.; Leng, G.; Wang, H.; Bai, Q.; Zhao, J.; Ma, L.; Wang, L.; Du, M. Propagation Dynamics from Meteorological to Groundwater Drought and Their Possible Influence Factors. J. Hydrol. 2019, 578, 124102. [Google Scholar] [CrossRef]
- Zavareh, M.M.J.; Mahjouri, N.; Rahimzadegan, M.; Rahimpour, M. A drought index based on groundwater quantity and quality: Application of multivariate copula analysis. J. Clean. Prod. 2023, 417, 137959. [Google Scholar] [CrossRef]
- Secci, D.; Tanda, M.G.; D’Oria, M.; Todaro, V.; Fagandini, C. Impacts of Climate Change on Groundwater Droughts by Means of Standardized Indices and Regional Climate Models. J. Hydrol. 2021, 603, 127154. [Google Scholar] [CrossRef]
- Liu, Q.; Zhang, X.; Xu, Y.; Li, C.; Zhang, X.; Wang, X. Characteristics of groundwater drought and its correlation with meteorological and agricultural drought over the North China Plain based on GRACE. Ecol. Indic. 2024, 161, 111925. [Google Scholar] [CrossRef]
- Rabeea, A.K.K.; Asha, J.; Thendiyath, R.; Josephina, P.; Sheeja, P.S. Characterization of spatio-temporal groundwater drought in Kalpathypuzha watershed, India. Sustain. Water Resour. Manag. 2025, 11, 79. [Google Scholar] [CrossRef]
- Halder, S.; Roy, M.B.; Roy, P.K. Analysis of Groundwater Level Trend and Groundwater Drought Using Standard Groundwater Level Index: A Case Study of an Eastern River Basin of West Bengal, India. SN Appl. Sci. 2020, 2, 507. [Google Scholar] [CrossRef]
- Uddameri, V.; Singaraju, S.; Hernandez, E.A. Is Standardized Precipitation Index (SPI) a Useful Indicator to Forecast Groundwater Droughts?—Insights from a Karst Aquifer. J. Am. Water Resour. Assoc. 2019, 55, 70–88. [Google Scholar] [CrossRef]
- Mckee, T.B.; Doesken, N.J.; Kleist, J. The Relationship of Drought Frequency and Duration to Time Scales. In Proceedings of the 8th Conference on Applied Climatology, Anaheim, CA, USA, 17–22 January 1993. [Google Scholar]
- Guo, M.; Yue, W.; Wang, T.; Zheng, N.; Wu, L. Assessing the Use of Standardized Groundwater Index for Quantifying Groundwater Drought over the Conterminous US. J. Hydrol. 2021, 598, 126227. [Google Scholar] [CrossRef]
- Hu, Y.; Chao, N.; Yang, Y.; Wang, J.; Yin, W.; Xie, J.; Duan, G.; Zhang, M.; Wan, X.; Li, F.; et al. Integrating GRACE/GRACE Follow-On and Wells Data to Detect Groundwater Storage Recovery at a Small-Scale in Beijing Using Deep Learning. Remote Sens. 2023, 15, 5692. [Google Scholar] [CrossRef]
- Khorrami, M.; Shirzaei, M.; Ghobadi-Far, K.; Werth, S.; Carlson, G.; Zhai, G. Groundwater Volume Loss in Mexico City Constrained by InSAR and GRACE Observations and Mechanical Models. Geophys. Res. Lett. 2023, 50, e2022GL101962. [Google Scholar] [CrossRef]
- Wang, F.; Wang, Z.; Yang, H.; Di, D.; Zhao, Y.; Liang, Q. utilising GRACE-Based Groundwater Drought Index for Drought Characterization and Teleconnection Factors Analysis in the North China Plain. J. Hydrol. 2020, 585, 124849. [Google Scholar] [CrossRef]
- Satish Kumar, K.; AnandRaj, P.; Sreelatha, K.; Bisht, D.S.; Sridhar, V. Monthly and Seasonal Drought Characterization Using GRACE-Based Groundwater Drought Index and Its Link to Teleconnections across South Indian River Basins. Climate 2021, 9, 56. [Google Scholar] [CrossRef]
- Lin, M.; Hou, L.; Qi, Z.; Wan, L. Impacts of Climate Change and Human Activities on Vegetation NDVI in China’s Mu Us Sandy Land during 2000–2019. Ecol. Indic. 2022, 142, 109164. [Google Scholar] [CrossRef]
- Pei, Y.; Huang, L.; Shao, M.; Wang, J.; Zhang, Y. Patterns and Drivers of Seasonal Water Sources for Artificial Sand-Fixing Plants in the Northeastern Mu Us Sandy Land, Northwest China. Pedosphere 2024, 34, 63–77. [Google Scholar] [CrossRef]
- Huang, Y.; Yu, X.; Li, E.; Chen, H.; Li, L.; Wu, X.; Li, X. A Process-Based Water Balance Model for Semi-Arid Ecosystems: A Case Study of Psammophytic Ecosystems in Mu Us Sandland, Inner Mongolia, China. Ecol. Model. 2017, 353, 77–85. [Google Scholar] [CrossRef]
- Yang, Z.Y.; Wang, K.; Yuan, Y.; Huang, J.; Chen, Z.J.; Li, C. Non-Negligible Lag of Groundwater Infiltration Recharge: A Case in Mu Us Sandy Land, China. Water 2019, 11, 561. [Google Scholar] [CrossRef]
- Luo, P.; Yan, P.; Wang, X.; Wu, Y.; Lyu, J.; He, B.; Duan, W.; Wang, S.; Zha, X. Historical and comparative overview of sponge campus construction and future challenges. Sci. Total Environ. 2024, 907, 167477. [Google Scholar] [CrossRef]
- Shen, X.; Niu, L.; Jia, X.; Yang, T.; Hu, W.; Wu, C.; Shao, M. Disentangling Ecological Restoration’s Impact on Terrestrial Water Storage. Geophys. Res. Lett. 2025, 52, e2024GL111669. [Google Scholar] [CrossRef]
- Wu, R.; Zhang, C.; Li, Y.; Zhu, C.; Lu, L.; Cui, C.; Zhang, Z.; Wang, S.; Chu, J.; Li, Y. Assessment of Variability and Attribution of Drought Based on GRACE in China from Three Perspectives: Water Storage Component, Climate Change, Water Balance. Remote Sens. 2023, 15, 4426. [Google Scholar] [CrossRef]
- Zhang, X.; Ren, C.; Wang, Z.; Li, X.; Zhang, Y. Gap-filling GRACE and GRACE-FO data with a climate adjustment scheme using Singular Spectrum analysis. J. Hydrol. 2025, 653, 132782. [Google Scholar] [CrossRef]
- Long, D.; Yang, Y.; Wada, Y.; Hong, Y.; Liang, W.; Chen, Y.; Yong, B.; Hou, A.; Wei, J.; Chen, L. Deriving Scaling Factors Using a Global Hydrological Model to Restore GRACE Total Water Storage Changes for China’s Yangtze River Basin. Remote Sens. Environ. 2015, 168, 177–193. [Google Scholar] [CrossRef]
- Seyyedi, H.; Anagnostou, E.N.; Beighley, E.; McCollum, J. Hydrologic Evaluation of Satellite and Reanalysis Precipitation Datasets over a Mid-Latitude Basin. Atmos. Res. 2015, 164–165, 37–48. [Google Scholar] [CrossRef]
- Han, Z.; Huang, S.; Huang, Q.; Leng, G.; Liu, Y.; Bai, Q.; Shi, W. GRACE-based high-resolution propagation threshold from meteorological to groundwater drought. Agric. For. Meteorol. 2021, 307, 108476. [Google Scholar] [CrossRef]
- Rodell, M.; Velicogna, I.; Famiglietti, J.S. Satellite-Based Estimates of Groundwater Depletion in India. Nature 2009, 460, 999–1002. [Google Scholar] [CrossRef]
- Xue, D.; Gui, D.; Ci, M.; Liu, Q.; Wei, G.; Liu, Y. Spatial and Temporal Downscaling Schemes to Reconstruct High-Resolution GRACE Data: A Case Study in the Tarim River Basin, Northwest China. Sci. Total Environ. 2024, 907, 167908. [Google Scholar] [CrossRef]
- Liu, X.; Hu, L.; Sun, K.; Yang, Z.; Sun, J.; Yin, W. Improved Understanding of Groundwater Storage Changes under the Influence of River Basin Governance in Northwestern China Using GRACE Data. Remote Sens. 2021, 13, 2672. [Google Scholar] [CrossRef]
- Lorenzo, M.N.; Pereira, H.; Alvarez, I.; Dias, J.M. Standardized Precipitation Index (SPI) Evolution over the Iberian Peninsula during the 21st Century. Atmos. Res. 2024, 297, 107132. [Google Scholar] [CrossRef]
- Pandey, V.; Pandey, P.K.; Lalrammawii, H.P. Characterization and Return Period Analysis of Meteorological Drought under the Humid Subtropical Climate of Manipur, Northeast India. Nat. Hazards Res. 2023, 3, 546–555. [Google Scholar] [CrossRef]
- Li, M.; Wang, G.; Zong, S.; Chai, X. Copula-Based Assessment and Regionalization of Drought Risk in China. Int. J. Environ. Res. Public Health 2023, 20, 4074. [Google Scholar] [CrossRef]
- Anderson, T.W.; Darling, D.A. Asymptotic theory of certain “goodness of fit” criteria based on stochastic processes. Ann. Math. Stat. 1952, 23, 193–212. [Google Scholar] [CrossRef]
- Yuan, M.; Gan, G.; Bu, J.; Su, Y.; Ma, H.; Liu, X.; Gao, Y. A new multivariate composite drought index considering the lag time and the cumulative effects of drought. J. Hydrol. 2025, 653, 132757. [Google Scholar] [CrossRef]
- Wu, J.; Chen, X.; Yuan, X.; Yao, H.; Zhao, Y.; AghaKouchak, A. The interactions between hydrological drought evolution and precipitation-streamflow relationship. J. Hydrol. 2021, 597, 126210. [Google Scholar] [CrossRef]
- Liu, Y.; Shan, F.; Yue, H.; Wang, X.; Fan, Y. Global analysis of the correlation and propagation among meteorological, agricultural, surface water, and groundwater droughts. J. Environ. Manag. 2023, 333, 117460. [Google Scholar] [CrossRef]
- Babre, A.; Kalvāns, A.; Avotniece, Z.; Retiķe, I.; Bikše, J.; Popovs, K.; Jemeljanova, M.; Zelenkevičs, A.; Dēliņa, A. The Use of Predefined Drought Indices for the Assessment of Groundwater Drought Episodes in the Baltic States over the Period 1989–2018. J. Hydrol. Reg. Stud. 2022, 40, 101049. [Google Scholar] [CrossRef]
- Wang, L.; Guo, S.; Wang, J.; Chen, Y.; Qiu, H.; Zhang, J.; Wei, X. A Novel Multi-Scale Standardized Index Analyzing Monthly to Sub-Seasonal Drought-Flood Abrupt Alternation Events in the Yangtze River Basin. J. Hydrol. 2024, 633, 130999. [Google Scholar] [CrossRef]
- He, B.; Wu, J.; Lü, A.; Cui, X.; Zhou, L.; Liu, M.; Zhao, L. Quantitative Assessment and Spatial Characteristic Analysis of Agricultural Drought Risk in China. Nat. Hazards 2013, 66, 155–166. [Google Scholar] [CrossRef]
- Athukoralalage, D.; Brookes, J.; McDowell, R.W.; Mosley, L.M. Impact of Hydrological Drought Occurrence, Duration, and Severity on Murray-Darling Basin Water Quality. Water Res. 2024, 252, 121201. [Google Scholar] [CrossRef]
- Zhong, Y.; Zhong, M.; Feng, W.; Zhang, Z.; Shen, Y.; Wu, D. Groundwater Depletion in the West Liaohe River Basin, China and Its Implications Revealed by GRACE and In Situ Measurements. Remote Sens. 2018, 10, 493. [Google Scholar] [CrossRef]
- Zhang, Y.; Liu, X.; Jiao, W.; Zhao, L.; Zeng, X.; Xing, X.; Zhang, L.; Hong, Y.; Lu, Q. A New Multi-Variable Integrated Framework for Identifying Flash Drought in the Loess Plateau and Qinling Mountains Regions of China. Agric. Water Manag. 2022, 265, 107544. [Google Scholar] [CrossRef]
- Gao, N.; Liang, W.; Gou, F.; Liu, Y.; Fu, B.; Lü, Y. Assessing the Impact of Agriculture, Coal Mining, and Ecological Restoration on Water Sustainability in the Mu Us Sandyland. Sci. Total Environ. 2024, 929, 172513. [Google Scholar] [CrossRef]
- Liang, L.; Chao, Y.; Wang, X.; Li, J.; Ma, P. Seasonal climate change characteristics of the Mu Us Sandy Land based on long time scale. Environ. Monit. Assess. 2025, 197, 771. [Google Scholar] [CrossRef] [PubMed]
- Liu, X.; Dong, Z.; Ding, Y.; Lu, R.; Liu, L.; Ding, Z.; Li, Y. Development of Centre pivot irrigation farmlands from 2009 to 2018 in the Mu Us dune field, China: Implication for land use planning. J. Geogr. Sci. 2022, 32, 1956–1968. [Google Scholar] [CrossRef]
- Sun, Z.; Mao, Z.; Yang, L.; Liu, Z.; Han, J.; Wang, H.; He, W. Impacts of Climate Change and Afforestation on Vegetation Dynamic in the Mu Us Desert, China. Ecol. Indic. 2021, 129, 108020. [Google Scholar] [CrossRef]
- Feng, X.; Fu, B.; Piao, S.; Wang, S.; Ciais, P.; Zeng, Z.; Lü, Y.; Zeng, Y.; Li, Y.; Jiang, X.; et al. Revegetation in China’s Loess Plateau Is Approaching Sustainable Water Resource Limits. Nat. Clim. Change 2016, 6, 1019–1022. [Google Scholar] [CrossRef]
- Gao, X. Mu Us Sandy Land ecological management status and future high-quality agricultural development countermeasures. Agric. Disaster Res. 2023, 13, 248–250. (In Chinese) [Google Scholar]
- Hussain, F.; Wu, R.-S.; Shih, D.-S. Water Table Response to Rainfall and Groundwater Simulation Using Physics-Based Numerical Model: WASH123D. J. Hydrol. Reg. Stud. 2022, 39, 100988. [Google Scholar] [CrossRef]
- Left, Q.D.; Li, L.; Liu, X.; Zhou, X. Study on lag between precipitation and shallow groundwater recharge. Groundwater 2016, 38, 7–9. [Google Scholar]
- Alfio, M.R.; Pisinaras, V.; Panagopoulos, A.; Balacco, G. Groundwater Level Response to Precipitation at the Hydrological Observatory of Pinios (Central Greece). Groundw. Sustain. Dev. 2024, 24, 101081. [Google Scholar] [CrossRef]
- Han, Z.; Zhang, H.; Fu, J.; Wang, Z.; Duan, L.; Zhang, W.; Li, Z. Dynamic assessment of the impact of compound dry-hot conditions on global terrestrial water storage. Remote Sens. Environ. 2024, 315, 114428. [Google Scholar] [CrossRef]
- Karunakalage, A.; Lee, J.-Y.; Daqiq, M.T.; Cha, J.; Jang, J.; Kannaujiya, S. Characterization of Groundwater Drought and Understanding of Climatic Impact on Groundwater Resources in Korea. J. Hydrol. 2024, 634, 131014. [Google Scholar] [CrossRef]
- Zheng, W.; Wang, S.; Tan, K.; Shen, Y.; Yang, L. Rainfall Intensity Affects the Recharge Mechanisms of Groundwater in a Headwater Basin of the North China Plain. Appl. Geochem. 2023, 155, 105742. [Google Scholar] [CrossRef]
- Han, Z.; Huang, S.; Zhao, J.; Leng, G.; Huang, Q.; Zhang, H.; Li, Z. Long-chain propagation pathways from meteorological to hydrological, agricultural and groundwater drought and their dynamics in China. J. Hydrol. 2023, 625, 130131. [Google Scholar] [CrossRef]









| Scale | Fitting Function | A Value | Z Value | p-Value |
|---|---|---|---|---|
| 1 month | Gamma | 11.293 | 11.330 | <0.05 |
| Norm | 9.402 | 9.433 | <0.05 | |
| Beta | 0.594 | 0.594 | ≥0.05 | |
| Pearson III | 0.595 | 0.597 | ≥0.05 | |
| 3 months | Gamma | 11.521 | 11.559 | <0.05 |
| Norm | 9.602 | 9.634 | <0.05 | |
| Beta | 1.326 | 1.330 | <0.05 | |
| Pearson III | 0.416 | 0.417 | ≥0.05 | |
| 6 months | Gamma | 10.656 | 10.692 | <0.05 |
| Norm | 9.342 | 9.374 | <0.05 | |
| Beta | 2.286 | 2.294 | <0.05 | |
| Pearson III | 0.843 | 0.846 | <0.05 | |
| 12 months | Gamma | 8.859 | 8.890 | <0.05 |
| Norm | 8.092 | 8.121 | <0.05 | |
| Beta | 4.269 | 4.284 | <0.05 | |
| Pearson III | 3.769 | 3.782 | <0.05 |
Disclaimer/Publisher’s Note: The statements, opinions and data contained in all publications are solely those of the individual author(s) and contributor(s) and not of MDPI and/or the editor(s). MDPI and/or the editor(s) disclaim responsibility for any injury to people or property resulting from any ideas, methods, instructions or products referred to in the content. |
© 2025 by the authors. Licensee MDPI, Basel, Switzerland. This article is an open access article distributed under the terms and conditions of the Creative Commons Attribution (CC BY) license (https://creativecommons.org/licenses/by/4.0/).
Share and Cite
Zhu, Y.; Zhou, L.; Zhang, Q.; Han, Z.; Li, J.; Chao, Y.; Wang, X.; Yuan, H.; Zhang, J.; Xia, B. Assessing the Use of the Standardized GRACE Satellite Groundwater Storage Change Index for Quantifying Groundwater Drought in the Mu Us Sandy Land. Remote Sens. 2025, 17, 4015. https://doi.org/10.3390/rs17244015
Zhu Y, Zhou L, Zhang Q, Han Z, Li J, Chao Y, Wang X, Yuan H, Zhang J, Xia B. Assessing the Use of the Standardized GRACE Satellite Groundwater Storage Change Index for Quantifying Groundwater Drought in the Mu Us Sandy Land. Remote Sensing. 2025; 17(24):4015. https://doi.org/10.3390/rs17244015
Chicago/Turabian StyleZhu, Yonghua, Longfei Zhou, Qi Zhang, Zhiming Han, Jiamin Li, Yan Chao, Xiaohan Wang, Hui Yuan, Jie Zhang, and Bisheng Xia. 2025. "Assessing the Use of the Standardized GRACE Satellite Groundwater Storage Change Index for Quantifying Groundwater Drought in the Mu Us Sandy Land" Remote Sensing 17, no. 24: 4015. https://doi.org/10.3390/rs17244015
APA StyleZhu, Y., Zhou, L., Zhang, Q., Han, Z., Li, J., Chao, Y., Wang, X., Yuan, H., Zhang, J., & Xia, B. (2025). Assessing the Use of the Standardized GRACE Satellite Groundwater Storage Change Index for Quantifying Groundwater Drought in the Mu Us Sandy Land. Remote Sensing, 17(24), 4015. https://doi.org/10.3390/rs17244015

