Hydro-Meteorological Drought Dynamics in the Lower Mekong River Basin and Their Downstream Impacts on the Vietnamese Mekong Delta (1992–2021)
Abstract
1. Introduction
2. Materials and Methods
2.1. Study Area Description and Data Collection
2.2. SPI and SDI Calculation
2.2.1. Standardized Precipitation Index (SPI)
2.2.2. Streamflow Drought Index (SDI)
2.3. Mann-Kendal Test and Sen’s Slope
2.4. Innovative Trend Analysis
3. Results and Discussion
3.1. The Correlation Assessment Between SPIs and SDIs over 12-Month Timescales
3.2. Meteorological and Hydrological Analysis
3.2.1. Temporal Analysis of 12-Month SPIs
3.2.2. Temporal Analysis of River Discharge
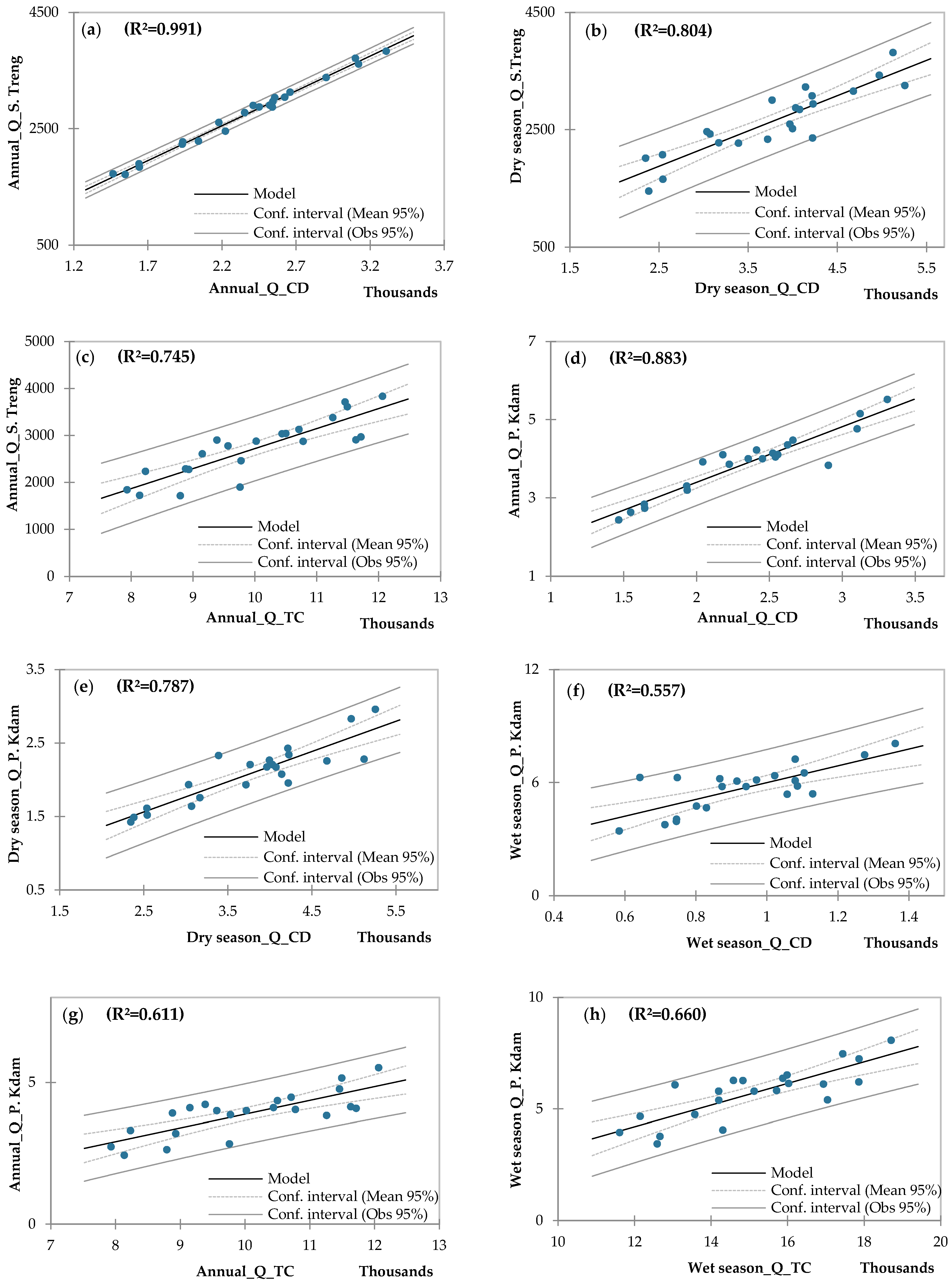
3.2.3. Discharge Correlation Analysis Between Stung Treng and Prek Kdam (Cambodia) with Chau Doc and Tan Chau (Vietnam)
3.2.4. Factors Influencing Water Flow Fluctuations in the VMD
4. Conclusions and Recommendations
Author Contributions
Funding
Data Availability Statement
Acknowledgments
Conflicts of Interest
Appendix A
Standardized Precipitation Index (SPI) Estimation
Appendix B
Appendix B.1. Streamflow Drought Index (SDI) Estimation
Appendix B.2. Mann–Kendall Test
Appendix B.3. Sen’s Slope Estimation
References
- Hellegers, P.; Zilberman, D.; Steduto, P.; McCornick, P. Interactions between Water, Energy, Food and Environment: Evolving Perspectives and Policy Issues. Water Policy 2008, 10, 1–10. [Google Scholar] [CrossRef]
- Rasul, G. Food, Water, and Energy Security in South Asia: A Nexus Perspective from the Hindu Kush Himalayan Region. Environ. Sci. Policy 2014, 39, 35–48. [Google Scholar] [CrossRef]
- Gleick, P.H.; Cooley, H. Freshwater Scarcity. Annu. Rev. Environ. Resour. 2021, 46, 319–348. [Google Scholar] [CrossRef]
- Kandari, S.; Pasupuleti, R.S.; Samaddar, S. Cultural Systems in Water Management for Disaster Risk Reduction: The Case of the Ladakh Region. IDRiM J. 2022, 11, 28–56. [Google Scholar] [CrossRef]
- Kumar, P.; Dasgupta, R.; Avtar, R. Socio-Hydrology: A Holistic Approach to Water-Human Nexus in Large Riverine Islands of India, Bangladesh and Vietnam. In Riverine Systems: Understanding the Hydrological, Hydrosocial and Hydro-Heritage Dynamics; Springer: Berlin/Heidelberg, Germany, 2022; pp. 253–265. [Google Scholar]
- FAO. Food and Agriculture Organization of the United Nations. Rome 2018, 403. Available online: http://faostat.fao.org (accessed on 22 June 2022).
- Minh, H.V.T.; Van Ty, T.; Avtar, R.; Kumar, P.; Le, K.N.; Ngan, N.V.C.; Khanh, L.H.; Nguyen, N.C.; Downes, N.K. Implications of Climate Change and Drought on Water Requirements in a Semi-Mountainous Region of the Vietnamese Mekong Delta. Environ. Monit. Assess. 2022, 194, 766. [Google Scholar] [CrossRef]
- UNESCO UN. World Water Development Report 2020—Water and Climate Change; UNESCO UN: Paris, France, 2020. [Google Scholar]
- Seneviratne, S.I.; Zhang, X.; Adnan, M.; Badi, W.; Dereczynski, C.; Di Luca, A.; Ghosh, S.; Iskander, I.; Kossin, J.; Lewis, S. Weather and Climate Extreme Events in a Changing Climate; University of Reading: Reading, UK, 2021. [Google Scholar]
- Wang, Y.; Xu, Y.; Tabari, H.; Wang, J.; Wang, Q.; Song, S.; Hu, Z. Innovative Trend Analysis of Annual and Seasonal Rainfall in the Yangtze River Delta, Eastern China. Atmos. Res. 2020, 231, 104673. [Google Scholar] [CrossRef]
- Charak, A.; Ravi, K.; Verma, A. Review of Various Climate Change Exacerbated Natural Hazards in India and Consequential Socioeconomic Vulnerabilities. IDRiM J. 2024, 13, 142–177. [Google Scholar] [CrossRef]
- Eltahir, E.A.; Bras, R.L. Precipitation Recycling. Rev. Geophys. 1996, 34, 367–378. [Google Scholar] [CrossRef]
- Markonis, Y.; Papalexiou, S.; Martinkova, M.; Hanel, M. Assessment of Water Cycle Intensification over Land Using a Multisource Global Gridded Precipitation Dataset. J. Geophys. Res. Atmos. 2019, 124, 11175–11187. [Google Scholar] [CrossRef]
- Wang, R.; Chen, J.; Chen, X.; Wang, Y. Variability of Precipitation Extremes and Dryness/Wetness over the Southeast Coastal Region of China, 1960–2014. Int. J. Climatol. 2017, 37, 4656–4669. [Google Scholar] [CrossRef]
- Garg, V.; Nikam, B.R.; Thakur, P.K.; Aggarwal, S.P.; Gupta, P.K.; Srivastav, S.K. Human-Induced Land Use Land Cover Change and Its Impact on Hydrology. HydroResearch 2019, 1, 48–56. [Google Scholar] [CrossRef]
- Chen, H.; Liu, H.; Chen, X.; Qiao, Y. Analysis on Impacts of Hydro-Climatic Changes and Human Activities on Available Water Changes in Central Asia. Sci. Total Environ. 2020, 737, 139779. [Google Scholar] [CrossRef]
- Fathian, F.; Morid, S.; Kahya, E. Identification of Trends in Hydrological and Climatic Variables in Urmia Lake Basin, Iran. Theor. Appl. Climatol. 2015, 119, 443–464. [Google Scholar] [CrossRef]
- Shahid, M.; Rahman, K.U. Identifying the Annual and Seasonal Trends of Hydrological and Climatic Variables in the Indus Basin Pakistan. Asia-Pac. J. Atmos. Sci. 2021, 57, 191–205. [Google Scholar] [CrossRef]
- Minh, H.V.T.; Kumar, P.; Van Toan, N.; Nguyen, P.C.; Van Ty, T.; Lavane, K.; Tam, N.T.; Downes, N.K. Deciphering the Relationship between Meteorological and Hydrological Drought in Ben Tre Province, Vietnam. Nat. Hazards 2024, 120, 5869–5894. [Google Scholar] [CrossRef]
- Dai, A. Drought under Global Warming: A Review. Wiley Interdiscip. Rev. Clim. Change 2011, 2, 45–65. [Google Scholar] [CrossRef]
- Tallaksen, L.M.; Van Lanen, H.A. Hydrological Drought. Process. Estim. Methods Streamflow Groundw. 2004, 579. [Google Scholar]
- Chakraborty, S.; Pandey, R.; Chaube, U.; Mishra, S. Trend and Variability Analysis of Rainfall Series at Seonath River Basin, Chhattisgarh (India). Int. J. Appl. Sci. Eng. Res. 2013, 2, 425–434. [Google Scholar]
- Kendall, M. Rank Correlation Methods, 4th ed.; Charles Griffin: London, UK, 1975. [Google Scholar]
- Mann, H.B. Nonparametric Tests against Trend. Econom. J. Econom. Soc. 1945, 13, 245–259. [Google Scholar] [CrossRef]
- Sen, P.K. Estimates of the Regression Coefficient Based on Kendall′s Tau. J. Am. Stat. Assoc. 1968, 63, 1379–1389. [Google Scholar] [CrossRef]
- Edossa, D.C.; Babel, M.S.; Das Gupta, A. Drought Analysis in the Awash River Basin, Ethiopia. Water Resour. Manag. 2010, 24, 1441–1460. [Google Scholar] [CrossRef]
- Tsakiris, G.; Pangalou, D.; Vangelis, H. Regional Drought Assessment Based on the Reconnaissance Drought Index (RDI). Water Resour. Manag. 2007, 21, 821–833. [Google Scholar] [CrossRef]
- McKee, T.B.; Doesken, N.J.; Kleist, J. The Relationship of Drought Frequency and Duration to Time Scales; American Meteorological Society (AMS): Boston, MA, USA, 1993; Volume 17, pp. 179–183. [Google Scholar]
- Salimi, H.; Asadi, E.; Darbandi, S. Meteorological and Hydrological Drought Monitoring Using Several Drought Indices. Appl. Water Sci. 2021, 11, 11. [Google Scholar] [CrossRef]
- Viola, M.R.; Amorim, J.d.S.; de Mello, C.R. Hydrological Response to Drought Occurrences in a Brazilian Savanna Basin. Resources 2020, 9, 123. [Google Scholar] [CrossRef]
- Pai, D.; Sridhar, L.; Guhathakurta, P.; Hatwar, H. District-Wide Drought Climatology of the Southwest Monsoon Season over India Based on Standardized Precipitation Index (SPI). Nat. Hazards 2011, 59, 1797–1813. [Google Scholar] [CrossRef]
- Nikolova, N.; Radeva, K. Data Processing for Assessment of Meteorological and Hydrological Drought; Springer: Berlin/Heidelberg, Germany, 2019; pp. 145–160. [Google Scholar]
- Minh, H.V.T.; Kumar, P.; Van Ty, T.; Duy, D.V.; Han, T.G.; Lavane, K.; Avtar, R. Understanding Dry and Wet Conditions in the Vietnamese Mekong Delta Using Multiple Drought Indices: A Case Study in Ca Mau Province. Hydrology 2022, 9, 213. [Google Scholar] [CrossRef]
- Wang, W.; Zhu, Y.; Xu, R.; Liu, J. Drought Severity Change in China during 1961–2012 Indicated by SPI and SPEI. Nat. Hazards 2015, 75, 2437–2451. [Google Scholar] [CrossRef]
- Alifujiang, Y.; Abuduwaili, J.; Ge, Y. Trend Analysis of Annual and Seasonal River Runoff by Using Innovative Trend Analysis with Significant Test. Water 2021, 13, 95. [Google Scholar] [CrossRef]
- Van Ty, T.; Minh, H.V.T.; Avtar, R.; Kumar, P.; Van Hiep, H.; Kurasaki, M. Spatiotemporal Variations in Groundwater Levels and the Impact on Land Subsidence in CanTho, Vietnam. Groundw. Sustain. Dev. 2021, 15, 100680. [Google Scholar] [CrossRef]
- Xuan, N.V.; Giang, N.N.L.; Ty, T.V.; Kumar, P.; Downes, N.K.; Nam, N.D.G.; Ngan, N.V.C.; Thinh, L.V.; Duy, D.V.; Avtar, R. Impacts of Dike Systems on Hydrological Regime in Vietnamese Mekong Delta. Water Supply 2022, 22, 7945–7959. [Google Scholar] [CrossRef]
- Kisi, O.; Ay, M. Comparison of Mann–Kendall and Innovative Trend Method for Water Quality Parameters of the Kizilirmak River, Turkey. J. Hydrol. 2014, 513, 362–375. [Google Scholar] [CrossRef]
- Malik, A.; Kumar, A.; Guhathakurta, P.; Kisi, O. Spatial-Temporal Trend Analysis of Seasonal and Annual Rainfall (1966–2015) Using Innovative Trend Analysis Method with Significance Test. Arab. J. Geosci. 2019, 12, 1–23. [Google Scholar] [CrossRef]
- Şen, Z. Innovative Trend Analysis Methodology. J. Hydrol. Eng. 2012, 17, 1042–1046. [Google Scholar] [CrossRef]
- Pandey, Y.; Mishra, A.; Sarangi, A.; Singh, D.; Sahoo, R.; Sarkar, S. Trend Analysis of Rainfall and Runoff in the Jhelum Basin of Kashmir Valley. Indian J. Agric. Sci. 2018, 88, 320–325. [Google Scholar] [CrossRef]
- Caloiero, T.; Coscarelli, R.; Ferrari, E. Application of the Innovative Trend Analysis Method for the Trend Analysis of Rainfall Anomalies in Southern Italy. Water Resour. Manag. 2018, 32, 4971–4983. [Google Scholar] [CrossRef]
- Ali, R.O.; Abubaker, S.R. Trend Analysis Using Mann-Kendall, Sen′s Slope Estimator Test and Innovative Trend Analysis Method in Yangtze River Basin, China. Int. J. Eng. Technol. 2019, 8, 110–119. [Google Scholar]
- Ali, R.; Kuriqi, A.; Abubaker, S.; Kisi, O. Long-Term Trends and Seasonality Detection of the Observed Flow in Yangtze River Using Mann-Kendall and Sen′s Innovative Trend Method. Water 2019, 11, 1855. [Google Scholar] [CrossRef]
- Şen, Z. Innovative Trend Significance Test and Applications. Theor. Appl. Climatol. 2017, 127, 939–947. [Google Scholar] [CrossRef]
- Baird, I.G.; Hogan, Z.S. Hydropower Dam Development and Fish Biodiversity in the Mekong River Basin: A Review. Water 2023, 15, 1352. [Google Scholar] [CrossRef]
- Yoshida, Y.; Lee, H.S.; Trung, B.H.; Tran, H.-D.; Lall, M.K.; Kakar, K.; Xuan, T.D. Impacts of Mainstream Hydropower Dams on Fisheries and Agriculture in Lower Mekong Basin. Sustainability 2020, 12, 2408. [Google Scholar] [CrossRef]
- Kang, B.; Huang, X. Mekong Fishes: Biogeography, Migration, Resources, Threats, and Conservation. Rev. Fish. Sci. Aquac. 2022, 30, 170–194. [Google Scholar] [CrossRef]
- Dang, D.; Arias, M.; Van, P.; Vries, T.; Cochrane, T. Analysis of Water Level Changes in the Mekong Floodplain Impacted by Flood Prevention Systems and Upstream Dams; University of Canterbury, Civil and Natural Resources Engineering: Christchurch, New Zealand, 2015. [Google Scholar] [CrossRef]
- Chen, X.; Zheng, Y.; Xu, B.; Wang, L.; Han, F.; Zhang, C. Balancing Competing Interests in the Mekong River Basin via the Operation of Cascade Hydropower Reservoirs in China: Insights from System Modeling. J. Clean. Prod. 2020, 254, 119967. [Google Scholar] [CrossRef]
- Lu, X.X.; Chua, S.D.X. River Discharge and Water Level Changes in the Mekong River: Droughts in an Era of Mega-dams. Hydrol. Process. 2021, 35, e14265. [Google Scholar] [CrossRef]
- Cosslett, T.L.; Cosslett, P.D.; Cosslett, T.L.; Cosslett, P.D. The Lower Mekong Basin: Rice Production, Climate Change, ENSO, and Mekong Dams. In Sustainable Development of Rice and Water Resources in Mainland Southeast Asia and Mekong River Basin; Springer: Singapore, 2018; pp. 85–114. [Google Scholar] [CrossRef]
- Thilakarathne, M.; Sridhar, V. Characterization of Future Drought Conditions in the Lower Mekong River Basin. Weather. Clim. Extrem. 2017, 17, 47–58. [Google Scholar] [CrossRef]
- Ty, T.V.; Lavane, K.; Nguyen, P.C.; Downes, N.K.; Nam, N.D.G.; Minh, H.V.T.; Kumar, P. Assessment of Relationship Between Climate Change, Drought, and Land Use and Land Cover Changes in a Semi-Mountainous Area of the Vietnamese Mekong Delta. Land 2022, 11, 2175. [Google Scholar] [CrossRef]
- Nguyen, P.C.; Vu, P.T.; Khuong, N.Q.; Minh, H.V.; Vo, H.A. Saltwater Intrusion and Agricultural Land Use Change in Nga Nam, Soc Trang, Vietnam. Resources 2024, 13, 18. [Google Scholar] [CrossRef]
- Amnuaylojaroen, T.; Chanvichit, P. Historical Analysis of the Effects of Drought on Rice and Maize Yields in Southeast Asia. Resources 2024, 13, 44. [Google Scholar] [CrossRef]
- Lavane, K.; Kumar, P.; Meraj, G.; Han, T.G.; Ngan, L.H.B.; Lien, B.T.B.; Van Ty, T.; Thanh, N.T.; Downes, N.K.; Nam, N.D.G.; et al. Assessing the Effects of Drought on Rice Yields in the Mekong Delta. Climate 2023, 11, 13. [Google Scholar] [CrossRef]
- Dang, N.A.; Benavidez, R.; Tomscha, S.A.; Nguyen, H.; Tran, D.D.; Nguyen, D.T.; Loc, H.H.; Jackson, B.M. Ecosystem Service Modelling to Support Nature-Based Flood Water Management in the Vietnamese Mekong River Delta. Sustainability 2021, 13, 13549. [Google Scholar] [CrossRef]
- Ericson, J.P.; Vörösmarty, C.J.; Dingman, S.L.; Ward, L.G.; Meybeck, M. Effective Sea-Level Rise and Deltas: Causes of Change and Human Dimension Implications. Glob. Planet. Change 2006, 50, 63–82. [Google Scholar] [CrossRef]
- Ho, T.P.; Garschagen, M.; Yang, L.E. A Systematic Investigation of Flood Resilience Measures in the Mekong River Basin. Environ. Sci. Policy 2025, 172, 104228. [Google Scholar] [CrossRef]
- Thu Minh, H.V.; Kumar, P.; Nhat, G.M.; Diep, N.T.H.; Van Ty, T.; Van Duy, D.; Avtar, R.; Downes, N.K. Losing Ground: Flow Fragmentation and Sediment Decline in the Vietnamese Mekong Delta (2000–2023). Earth Syst. Environ. 2025, 1–21. [Google Scholar] [CrossRef]
- Minh, H.V.T.; Nam, N.D.G.; Nam, T.S.; Van Cong, N.; Kumar, P.; Downes, N.K. Transition of Flooding Patterns and Environmental Flow in the Mekong Delta, Vietnam over the Last 2 Decades. Nat. Hazards 2025, 1–30. [Google Scholar] [CrossRef]
- Duy, D.V.; An, N.T.; Ty, T.V.; Phat, L.T.; Toan, N.T.; Minh, H.V.T.; Downes, N.K.; Tanaka, H. Evaluating Water Level Variability Under Different Sluice Gate Operation Strategies: A Case Study of the Long Xuyen Quadrangle, Vietnam. Hydrology 2025, 12, 102. [Google Scholar] [CrossRef]
- Dunn, F.E.; Haasnoot, M.; Du, H.; Karabil, S.; Minderhoud, P.S.; Schippers, V.; Scown, M.; Triyanti, A.; Vu, T.; Middelkoop, H. Mapping the Solution Space for Local Adaptation under Global Change: An Test of Concept for the Vietnamese Mekong Delta. Glob. Environ. Change 2025, 95, 103071. [Google Scholar] [CrossRef]
- Tri, V.P.D.; Yarina, L.; Nguyen, H.Q.; Downes, N.K. Progress toward Resilient and Sustainable Water Management in the Vietnamese Mekong Delta. Wiley Interdiscip. Rev. Water 2023, 10, e1670. [Google Scholar] [CrossRef]
- Bauer, J.; Dörr, F.; Vu, H.T.D.; Schenk, A.; Tran, H.V.; Pham, V.C.; Börsig, N.; van der Linden, R.; Nguyen, N.H.; Eiche, E. Seawater Intrusion in River Delta Systems. Inter-Annual Dynamics and Drivers of Salinity Variations in the Southern Mekong Delta, Vietnam. J. Hydrol. 2025, 133745. [Google Scholar] [CrossRef]
- Van Binh, D.; Tran, D.D.; Dương, V.H.T.; Bauer, J.; Park, E.; Loc, H.H. Land Use Change in the Vietnamese Mekong Delta: Long-Term Impacts of Drought and Salinity Intrusion Using Satellite and Monitoring Data. iscience 2025, 28, 112723. [Google Scholar] [CrossRef]
- Thanh, B.N.; Le Van Thuy, T.; Anh, M.N.; Nguyen, M.N.; Hieu, T.N. Drivers of Agricultural Transformation in the Coastal Areas of the Vietnamese Mekong Delta. Environ. Sci. Policy 2021, 122, 49–58. [Google Scholar] [CrossRef]
- Nalbantis, I.; Tsakiris, G. Assessment of Hydrological Drought Revisited. Water Resour. Manag. 2009, 23, 881–897. [Google Scholar] [CrossRef]
- Hong, X.; Guo, S.; Zhou, Y.; Xiong, L. Uncertainties in Assessing Hydrological Drought Using Streamflow Drought Index for the Upper Yangtze River Basin. Stoch. Environ. Res. Risk Assess. 2015, 29, 1235–1247. [Google Scholar] [CrossRef]
- Khani Temeliyeh, Z.; Khani Temeliyeh, S.; Khani Temeliyeh, H.; Mirabbasi, R. Investigating the Trend of Temperature Changes in Isfahan Station, Iran Using the Sequential Mann-Kendall Method. Water Harvest. Res. 2022, 5, 217–228. [Google Scholar] [CrossRef]
- Mo, C.; Zhu, H.; Ruan, Y.; Xie, Y.; Lei, X.; Lai, S.; Sun, G.; Xing, Z. Spatial and Temporal Variation Characteristics and Frequency Analysis of Extreme Precipitation from 1959 to 2017: A Case Study of the Longtan Watershed, Southwest China. J. Water Clim. Change 2022, 13, 2610–2626. [Google Scholar] [CrossRef]
- Alijani, B.; Mahmoudi, P.; Salighe, M.; Rigi Chahi, A. Study of Annual Maximum and Minimum Temperatures Changes in Iran. Geogr. Res. 2011, 26, 101–122. [Google Scholar]
- Esit, M. Investigation of Innovative Trend Approaches (ITA with Significance Test and IPTA) Comparing to the Classical Trend Method of Monthly and Annual Hydrometeorological Variables: A Case Study of Ankara Region, Turkey. J. Water Clim. Change 2023, 14, 305–329. [Google Scholar] [CrossRef]
- Gaddikeri, V.; Sarangi, A.; Singh, D.; Jatav, M.S.; Rajput, J.; Kushwaha, N. Trend and Change-Point Analyses of Meteorological Variables Using Mann–Kendall Family Tests and Innovative Trend Assessment Techniques in New Bhupania Command (India). J. Water Clim. Change 2024, 15, 2033–2058. [Google Scholar] [CrossRef]
- Mallick, J.; Talukdar, S.; Alsubih, M.; Salam, R.; Ahmed, M.; Kahla, N.B.; Shamimuzzaman, M. Analysing the Trend of Rainfall in Asir Region of Saudi Arabia Using the Family of Mann-Kendall Tests, Innovative Trend Analysis, and Detrended Fluctuation Analysis. Theor. Appl. Climatol. 2021, 143, 823–841. [Google Scholar] [CrossRef]
- Liu, C.; He, Y.; Des Walling, E.; Wang, J. Changes in the Sediment Load of the Lancang-Mekong River over the Period 1965–2003. Sci. China Technol. Sci. 2013, 56, 843–852. [Google Scholar] [CrossRef]
- Wang, H.; Saito, Y.; Zhang, Y.; Bi, N.; Sun, X.; Yang, Z. Recent Changes of Sediment Flux to the Western Pacific Ocean from Major Rivers in East and Southeast Asia. Earth-Sci. Rev. 2011, 108, 80–100. [Google Scholar] [CrossRef]
- Mekong Region Dams Database. Available online: https://www.merfi.org/mekongregiondamsdatabase (accessed on 23 September 2025).
- Johnston, R.; Kummu, M. Water Resource Models in the Mekong Basin: A Review. Water Resour. Manag. 2012, 26, 429–455. [Google Scholar] [CrossRef]
- Kummu, M.; Lu, X.; Wang, J.-J.; Varis, O. Basin-Wide Sediment Trapping Efficiency of Emerging Reservoirs Along the Mekong. Geomorphology 2010, 119, 181–197. [Google Scholar] [CrossRef]
- Jiang, B.; Wang, F.; Ni, G. Heating Impact of a Tropical Reservoir on Downstream Water Temperature: A Case Study of the Jinghong Dam on the Lancang River. Water 2018, 10, 951. [Google Scholar] [CrossRef]
- Minh, H.V.T.; Nam, N.D.G.; Ngan, N.V.C.; Van Thinh, L.; Nam, T.S.; Van Cong, N.; Nhat, G.M.; Lien, B.T.B.; Kumar, P.; Downes, N.K. Is Vietnam’s Mekong Delta Facing Wet Season Droughts? Earth Syst. Environ. 2024, 8, 963–995. [Google Scholar] [CrossRef]
- Pawar, U.; Try, S.; Muttil, N.; Rathnayake, U.; Suppawimut, W. Frequency and Trend Analyses of Annual Peak Discharges in the Lower Mekong Basin. Heliyon 2023, 9. [Google Scholar] [CrossRef]
- Li, B.; Su, H.; Chen, F.; Li, S.; Tian, J.; Qin, Y.; Zhang, R.; Chen, S.; Yang, Y.; Rong, Y. The Changing Pattern of Droughts in the Lancang River Basin during 1960–2005. Theor. Appl. Climatol. 2013, 111, 401–415. [Google Scholar]
- Li, D.; Long, D.; Zhao, J.; Lu, H.; Hong, Y. Observed Changes in Flow Regimes in the Mekong River Basin. J. Hydrol. 2017, 551, 217–232. [Google Scholar] [CrossRef]
- Lu, X.X.; Siew, R. Water Discharge and Sediment Flux Changes over the Past Decades in the Lower Mekong River: Possible Impacts of the Chinese Dams. Hydrol. Earth Syst. Sci. 2006, 10, 181–195. [Google Scholar] [CrossRef]
- Wang, W.; Lu, H.; Ruby Leung, L.; Li, H.; Zhao, J.; Tian, F.; Yang, K.; Sothea, K. Dam Construction in Lancang-Mekong River Basin Could Mitigate Future Flood Risk from Warming-induced Intensified Rainfall. Geophys. Res. Lett. 2017, 44, 10–378. [Google Scholar] [CrossRef]
- Wu, F.; Wang, X.; Cai, Y.; Li, C. Spatiotemporal Analysis of Precipitation Trends Under Climate Change in the Upper Reach of Mekong River Basin. Quat. Int. 2016, 392, 137–146. [Google Scholar] [CrossRef]
- Lin, Z.; Qi, J. Hydro-Dam–A Nature-Based Solution or an Ecological Problem: The Fate of the Tonlé Sap Lake. Environ. Res. 2017, 158, 24–32. [Google Scholar] [CrossRef] [PubMed]
- Dove, A.; Chapra, S.C. Long-term Trends of Nutrients and Trophic Response Variables for the Great Lakes. Limnol. Oceanogr. 2015, 60, 696–721. [Google Scholar] [CrossRef]
- Thai, T.H.; Tuyen, H.M.; Dung, L.H.; Tien, N.X.; Anh, T.D. Flow Developments in The Mekong Delta. VNJHM 2014, 7, 19–23. Available online: https://vjol.info.vn/index.php/TCKHTV/article/view/62799 (accessed on 23 September 2025).
- Ruiz-Barradas, A.; Nigam, S. Hydroclimate Variability and Change over the Mekong River Basin: Modeling and Predictability and Policy Implications. J. Hydrometeorol. 2018, 19, 849–869. [Google Scholar] [CrossRef]
- Khanh, P.T.; Quan, N.H.; Toan, T.Q. Assessment of flow changes on the mainstream of the Mekong River and solutions to ensure water security in the Mekong Delta. VNJHM 2022, 738, 34–48. [Google Scholar] [CrossRef]
- Phong, T.H.; Minh, H.V.T.; Ty, T.V. Assessment of the impacts of the An Giang province dike system on the flow regime of the Mekong River in the Mekong Delta. JOMC 2021, 71. Available online: https://ojs.jomc.vn/index.php/vn/article/view/77 (accessed on 23 September 2025).
- Van, C.T.; Tuyet, N.T.; An, N.V.; Phung, L.V.; Huy, N.P.; Hong, N.M.; Ngoc, N.Q. Evaluation of Flow Changes in Specific Points in Dong Thap Muoi Area. Vietnam J. Hydrometeorol. 2018, 8, 19–25. Available online: http://tapchikttv.vn/article/136 (accessed on 23 September 2025).
- Viet, L.V. ENSO and the Mekong River discharges into the Mekong Delta. JSESS 2016, 32, 57–64. Available online: https://js.vnu.edu.vn/EES/article/view/4064 (accessed on 23 September 2025).
- Martinez-Villalobos, C.; Neelin, J.D. Why Do Precipitation Intensities Tend to Follow Gamma Distributions? J. Atmos. Sci. 2019, 76, 3611–3631. [Google Scholar] [CrossRef]
- Da Silva, R.M.; Santos, C.A.; Moreira, M.; Corte-Real, J.; Silva, V.C.; Medeiros, I.C. Rainfall and River Flow Trends Using Mann–Kendall and Sen′s Slope Estimator Statistical Tests in the Cobres River Basin. Nat. Hazards 2015, 77, 1205–1221. [Google Scholar] [CrossRef]
- Gilbert, R.O. Statistical Methods for Environmental Pollution Monitoring; Van Nostrand Reinhold Co.: New York, NY, USA, 1987; ISBN 0-442-23050-8. [Google Scholar]
- Hollander, M.; Wolfe, D.A.; Chicken, E. Nonparametric Statistical Methods; John Wiley & Sons: Hoboken, NJ, USA, 2013; ISBN 1-118-55329-2. [Google Scholar]







| SPI Classification | SDI Criterion | Period Classification |
|---|---|---|
| Extremely wet | ||
| Severely wet | ||
| Moderately wet | ||
| Mildly wet | ||
| Mild drought | ||
| Moderate drought | ||
| Severe drought | ||
| Extreme drought |
| SDI 12 TC | SDI 12_ TC 1 yr. lag | SPI 12 Pakse | SPI 12 Attapeu | SPI 12 Salavan | SPI 12 Savannakhet | SPI 12 Thakhek | SPI 12 Phnom Penh | SPI 12 Siem Reap | |
|---|---|---|---|---|---|---|---|---|---|
| SDI 12_TC | 1 | ||||||||
| SDI 12_TC_1-yr lag | 0.03 | 1 | |||||||
| SPI 12_Pakse | 0.60 | −0.37 | 1 | ||||||
| SPI 12_Attapeu | 0.36 | −0.08 | 0.46 | 1 | |||||
| SPI 12_Salavan | 0.40 | −0.09 | 0.61 | 0.71 | 1 | ||||
| SPI 12_Savannakhet | 0.67 | 0.19 | 0.41 | 0.27 | 0.50 | 1 | |||
| SPI 12_Thakhek | 0.70 | 0.16 | 0.39 | −0.01 | 0.04 | 0.64 | 1 | ||
| SPI 12_Phnom Penh | 0.12 | 0.71 | −0.31 | 0.14 | 0.14 | 0.18 | 0.04 | 1 | |
| SPI 12_Siem Reap | 0.53 | 0.59 | 0.16 | 0.30 | 0.34 | 0.52 | 0.41 | 0.70 | 1 |
| Country | Dam Name | Operation Time | Reservoir Capacity (Million m3) | Power Generation Capacity (MW) |
|---|---|---|---|---|
| China | Dachaoshan | 2003 | 890 | 1350 |
| Jinghong | 2009 | 1140 | 1750 | |
| Xiaowan | 2009 | 14,560 | 4200 | |
| Gongguoqiao | 2012 | 316 | 900 | |
| Nuozhadu | 2012 | 23,703 | 5850 | |
| Miaowei | 2017 | 660 | 1400 | |
| Wunonglong | 2018 | 284 | 990 | |
| Dahuaqiao | 2018 | 293 | 920 | |
| Lidi | 2019 | 75 | 420 | |
| Huangdeng | 2019 | 1613 | 1900 | |
| Lao | Xayaburi | 2019 | 1300 | 1285 |
| Don Sahong | 2020 | 25 | 240 |
| Variable | Minimum | Maximum | Mean | Std. Deviation | Coefficient Variation | Kendall’s Tau | p-Value | Sen’s Slope | Percentage Change (%) |
|---|---|---|---|---|---|---|---|---|---|
| R1 | |||||||||
| January | 0.136 | 0.278 | 0.190 | 0.033 | 0.173 | −0.437 | 0.005 | −0.003 | −1.6 |
| February | 0.137 | 0.228 | 0.173 | 0.022 | 0.125 | −0.238 | 0.128 | −0.001 | −0.7 |
| March | 0.118 | 0.212 | 0.166 | 0.020 | 0.123 | −0.429 | 0.006 | −0.002 | −1.3 |
| April | 0.122 | 0.217 | 0.168 | 0.022 | 0.129 | −0.403 | 0.009 | −0.002 | −1.3 |
| May | 0.127 | 0.234 | 0.167 | 0.023 | 0.138 | −0.429 | 0.006 | −0.002 | −1.4 |
| June | 0.135 | 0.212 | 0.173 | 0.021 | 0.119 | −0.506 | 0.001 | −0.002 | −1.2 |
| July | 0.144 | 0.260 | 0.199 | 0.028 | 0.140 | −0.550 | 0.000 | −0.003 | −1.6 |
| August | 0.149 | 0.307 | 0.240 | 0.039 | 0.164 | −0.446 | 0.004 | −0.004 | −1.5 |
| September | 0.168 | 0.324 | 0.270 | 0.042 | 0.154 | −0.619 | <0.0001 | −0.004 | −1.6 |
| October | 0.195 | 0.341 | 0.279 | 0.041 | 0.146 | −0.610 | <0.0001 | −0.005 | −1.7 |
| November | 0.173 | 0.322 | 0.254 | 0.040 | 0.156 | −0.567 | 0.000 | −0.005 | −1.8 |
| December | 0.153 | 0.274 | 0.210 | 0.032 | 0.153 | −0.645 | <0.0001 | −0.004 | −2.1 |
| Annual | 0.168 | 0.274 | 0.232 | 0.030 | 0.128 | −0.636 | <0.0001 | −0.004 | −1.6 |
| Dry season | 0.143 | 0.251 | 0.188 | 0.035 | 0.137 | −0.558 | 0.000 | −0.003 | −1.7 |
| Wet season | 0.177 | 0.287 | 0.247 | 0.032 | 0.128 | −0.654 | <0.0001 | −0.004 | −1.5 |
| R2 | |||||||||
| January | 0.120 | 0.217 | 0.159 | 0.023 | 0.143 | −0.437 | 0.005 | −0.002 | −1.41 |
| February | 0.121 | 0.185 | 0.147 | 0.016 | 0.106 | −0.238 | 0.128 | −0.001 | −0.63 |
| March | 0.106 | 0.175 | 0.142 | 0.015 | 0.106 | −0.429 | 0.006 | −0.002 | −1.13 |
| April | 0.109 | 0.178 | 0.144 | 0.016 | 0.111 | −0.403 | 0.009 | −0.002 | −1.13 |
| May | 0.113 | 0.190 | 0.143 | 0.017 | 0.117 | −0.429 | 0.006 | −0.002 | −1.18 |
| June | 0.119 | 0.175 | 0.147 | 0.015 | 0.103 | −0.506 | 0.001 | −0.001 | −1.01 |
| July | 0.126 | 0.206 | 0.165 | 0.020 | 0.118 | −0.550 | 0.000 | −0.002 | −1.30 |
| August | 0.130 | 0.235 | 0.193 | 0.026 | 0.137 | −0.446 | 0.004 | −0.002 | −1.18 |
| September | 0.144 | 0.245 | 0.212 | 0.027 | 0.127 | −0.619 | <0.0001 | −0.003 | −1.29 |
| October | 0.163 | 0.254 | 0.217 | 0.026 | 0.117 | −0.610 | <0.0001 | −0.003 | −1.33 |
| November | 0.147 | 0.243 | 0.202 | 0.025 | 0.126 | −0.567 | 0.000 | −0.003 | −1.44 |
| December | 0.132 | 0.215 | 0.173 | 0.022 | 0.126 | −0.645 | <0.0001 | −0.003 | −1.70 |
| Annual | 0.144 | 0.215 | 0.188 | 0.020 | 0.106 | −0.636 | <0.0001 | −0.002 | −1.26 |
| Dry season | 0.125 | 0.201 | 0.158 | 0.018 | 0.116 | −0.558 | 0.000 | −0.002 | −1.47 |
| Wet season | 0.151 | 0.223 | 0.197 | 0.021 | 0.105 | −0.654 | <0.0001 | −0.002 | −1.15 |
Disclaimer/Publisher’s Note: The statements, opinions and data contained in all publications are solely those of the individual author(s) and contributor(s) and not of MDPI and/or the editor(s). MDPI and/or the editor(s) disclaim responsibility for any injury to people or property resulting from any ideas, methods, instructions or products referred to in the content. |
© 2025 by the authors. Licensee MDPI, Basel, Switzerland. This article is an open access article distributed under the terms and conditions of the Creative Commons Attribution (CC BY) license.
Share and Cite
Ngoc, D.T.H.; Toan, N.V.; Cong, N.P.; Lien, B.T.B.; Tam, N.T.; Downes, N.K.; Kumar, P.; Minh, H.V.T. Hydro-Meteorological Drought Dynamics in the Lower Mekong River Basin and Their Downstream Impacts on the Vietnamese Mekong Delta (1992–2021). Resources 2026, 15, 3. https://doi.org/10.3390/resources15010003
Ngoc DTH, Toan NV, Cong NP, Lien BTB, Tam NT, Downes NK, Kumar P, Minh HVT. Hydro-Meteorological Drought Dynamics in the Lower Mekong River Basin and Their Downstream Impacts on the Vietnamese Mekong Delta (1992–2021). Resources. 2026; 15(1):3. https://doi.org/10.3390/resources15010003
Chicago/Turabian StyleNgoc, Dang Thi Hong, Nguyen Van Toan, Nguyen Phuoc Cong, Bui Thi Bich Lien, Nguyen Thanh Tam, Nigel K. Downes, Pankaj Kumar, and Huynh Vuong Thu Minh. 2026. "Hydro-Meteorological Drought Dynamics in the Lower Mekong River Basin and Their Downstream Impacts on the Vietnamese Mekong Delta (1992–2021)" Resources 15, no. 1: 3. https://doi.org/10.3390/resources15010003
APA StyleNgoc, D. T. H., Toan, N. V., Cong, N. P., Lien, B. T. B., Tam, N. T., Downes, N. K., Kumar, P., & Minh, H. V. T. (2026). Hydro-Meteorological Drought Dynamics in the Lower Mekong River Basin and Their Downstream Impacts on the Vietnamese Mekong Delta (1992–2021). Resources, 15(1), 3. https://doi.org/10.3390/resources15010003

