Sign in to use this feature.

Years

Between: -

Subjects

remove_circle_outline
remove_circle_outline
remove_circle_outline
remove_circle_outline
remove_circle_outline
remove_circle_outline

Journals

Article Types

Countries / Regions

Search Results (15)

Search Parameters:
Keywords = sparse radon

Order results
Result details
Results per page
Select all
Export citation of selected articles as:
18 pages, 21702 KB  
Technical Note
Ship Wake Detection in a Single SAR Image via a Modified Low-Rank Constraint
by Yanan Guan, Huaping Xu, Wei Li and Chunsheng Li
Remote Sens. 2024, 16(18), 3487; https://doi.org/10.3390/rs16183487 - 20 Sep 2024
Cited by 1 | Viewed by 1678
Abstract
Ship wake detection stands as a pivotal task in marine environment monitoring. The main challenge in ship wake detection is to improve detection accuracy and mitigate false alarms. To address this challenge, a novel procedure for ship wake detection in a single SAR [...] Read more.
Ship wake detection stands as a pivotal task in marine environment monitoring. The main challenge in ship wake detection is to improve detection accuracy and mitigate false alarms. To address this challenge, a novel procedure for ship wake detection in a single SAR image is proposed in this study. Initially, an entropy distance similarity criterion is designed to measure nonlocal image patch similarity. Based on the proposed criterion, a low-rank and sparse decomposition method is modified using nonlocal similar patch matrix construction to separate the sparse wake. Subsequently, a field-of-experts (FOE) model is introduced to generate a series of multi-view wake feature maps, which are fused to construct an enhanced feature map. The sparse wake is further enhanced in the Radon domain with the enhanced feature map. The experimental results demonstrate the effectiveness of the proposed method on real SAR ship wake images. Full article
Show Figures

Figure 1

16 pages, 18144 KB  
Article
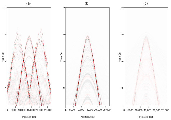
Inversion-Based Deblending in Common Midpoint Domain Using Time Domain High-Resolution Radon
by Kai Zhuang, Daniel Trad and Amr Ibrahim
Algorithms 2024, 17(8), 344; https://doi.org/10.3390/a17080344 - 7 Aug 2024
Cited by 1 | Viewed by 1491
Abstract
We implement an inversion-based deblending method in the common midpoint gathers (CMP) as an alternative to the standard common receiver gather (CRG) domain methods. The primary advantage of deblending in the CMP domain is that reflections from dipping layers are centred around zero [...] Read more.
We implement an inversion-based deblending method in the common midpoint gathers (CMP) as an alternative to the standard common receiver gather (CRG) domain methods. The primary advantage of deblending in the CMP domain is that reflections from dipping layers are centred around zero offsets. As a result, CMP gathers exhibit a simpler structure compared to common receiver gathers (CRGs), where these reflections are apex-shifted. Consequently, we can employ a zero-offset hyperbolic Radon operator to process CMP gathers. This operator is a computationally more efficient alternative to the apex-shifted hyperbolic Radon required for processing CRG gathers. Sparse transforms, such as the Radon transform, can stack reflections and produce sparse models capable of separating blended sources. We utilize the Radon operator to develop an inversion-based deblending framework that incorporates a sparse model constraint. The inclusion of a sparsity constraint in the inversion process enhances the focusing of the transform and improves data recovery. Inversion-based deblending enables us to account for all observed data by incorporating the blending operator into the cost function. Our synthetic and field data examples demonstrate that inversion-based deblending in the CMP domain can effectively separate blended sources. Full article
(This article belongs to the Section Algorithms for Multidisciplinary Applications)
Show Figures

Figure 1

25 pages, 16128 KB  
Article
Incipient Salinization: A Case Study of the Spring of Asclepieion in Lentas (Ancient Lebena), Crete
by Emmanouil Manoutsoglou and Ekaterini S. Bei
Geosciences 2024, 14(3), 56; https://doi.org/10.3390/geosciences14030056 - 21 Feb 2024
Cited by 1 | Viewed by 2880
Abstract
Sanctuaries devoted to Asclepius were established and operated for almost a thousand years in various Greek and Roman cities throughout the Mediterranean region. The Asclepieion sanctuary in Lentas (formerly known as Ancient Lebena) in Crete was famous for receiving water from a sacred [...] Read more.
Sanctuaries devoted to Asclepius were established and operated for almost a thousand years in various Greek and Roman cities throughout the Mediterranean region. The Asclepieion sanctuary in Lentas (formerly known as Ancient Lebena) in Crete was famous for receiving water from a sacred spring. In Ancient Lebena, Levinaion was a famous centre for hydrotherapy, physiotherapy, and a psychiatric hospital. In the present paper, we aim to assess the hydrochemical status of this sacred spring that holds a prominent position in archaeological and historical studies. The main objectives of this study are: Initially, to present supervisory evidence (archaeological, geological, hydrochemical) of an area that was a water resource management model for many centuries, carrying out therapeutic work. The second objective is to present and compare hydrochemical data in the last century, i.e., from 1915 to 2021. The third objective is to highlight and warn of an incipient saltwater intrusion in the area along the Lentas coast. The fourth objective is to propose an alternative and sustainable form of water resources management in the region that requires the study and rational utilization of the sporadic small water springs in the region. Our study focuses on a basic hydrochemical analysis of spring and borehole water in the remains of Levinaion in the Lentas region, and their comparison with sparse historical data of the sacred spring water, aiming to interpret the impact of the changes in the spring water resources that occurred in recent decades due to urban modernization. Our results highlight (i) visible fluctuations in chemical composition of borehole water samples; (ii) a neutral to alkaline pH in borehole waters and an alkaline pH in spring waters; (iii) undetectable arsenic in Lentas borehole water, unlike historical data of Lentas spring water; (iv) low values of dissolved radon in Lentas borehole water and the spring water of Kefalovrysa; and (v) a timeless constant and hypothermic nature of the water of both the sacred spring and borehole of Lentas, and also of the Kefalovrysa spring. The recorded historical data, i.e., from 1915 to 1957, due to the absence of substantial anthropogenic activity in the area, can be used as reference values (natural background levels, NBLs) for the Lentas area. Our findings emerge with the need to bring again the flowing spring water of the sacred spring of Lentas in its original form through sustainable management and re-discover its beneficial therapeutical effects. Full article
Show Figures

Figure 1

22 pages, 24112 KB  
Article
Multiple Elimination Based on Mode Decomposition in the Elastic Half Norm Constrained Radon Domain
by An Ma, Jianguo Song, Yufei Su and Caijun Hu
Appl. Sci. 2023, 13(19), 11041; https://doi.org/10.3390/app131911041 - 7 Oct 2023
Viewed by 1688
Abstract
Multiple reflection is a common interference wave in offshore petroleum and gas exploration, and the Radon-based filtering method is a frequently used approach for multiple removal. However, the filtering parameter setting is crucial in multiple suppression and relies heavily on the experience of [...] Read more.
Multiple reflection is a common interference wave in offshore petroleum and gas exploration, and the Radon-based filtering method is a frequently used approach for multiple removal. However, the filtering parameter setting is crucial in multiple suppression and relies heavily on the experience of processors. To reduce the dependence on human intervention, we introduce the geometric mode decomposition (GMD) and develop a novel processing flow that can automatically separate primaries and multiples, and then accomplish the suppression of multiples. GMD leverages the principle of the Wiener filtering to iteratively decompose the data into modes with varying curvature and intercept. By exploiting the differences in curvature, GMD can separate primary modes and multiple modes. Then, we propose a novel sparse Radon transform (RT) constrained with the elastic half (EH) norm. The EH norm contains a l1/2 norm and a scaled l2 norm, which is added to overcome the numerical oscillation problem of the l1/2 norm. With the help of the EH norm, the estimated Radon model can reach a remarkable level of sparsity. To solve the optimization problem of the proposed sparse RT, an efficient alternating multiplier iteration algorithm is employed. Leveraging the high sparsity of the Radon model obtained from the proposed transform, we improve the GMD-based multiple removal framework. The high-sparsity Radon model obtained from the proposed Radon transform can not only simplify the separation of primary and multiple modes but also accelerate the convergence of GMD, thus improving the processing efficiency of the GMD method. The performance of the proposed GMD-based framework in multiple elimination is validated through synthetic and field data tests. Full article
(This article belongs to the Section Earth Sciences)
Show Figures

Figure 1

17 pages, 12375 KB  
Article
Learning from Projection to Reconstruction: A Deep Learning Reconstruction Framework for Sparse-View Phase Contrast Computed Tomography via Dual-Domain Enhancement
by Changsheng Zhang, Jian Fu and Gang Zhao
Appl. Sci. 2023, 13(10), 6051; https://doi.org/10.3390/app13106051 - 15 May 2023
Cited by 3 | Viewed by 2354
Abstract
Phase contrast computed tomography (PCCT) provides an effective non-destructive testing tool for weak absorption objects. Limited by the phase stepping principle and radiation dose requirement, sparse-view sampling is usually performed in PCCT, introducing severe artifacts in reconstruction. In this paper, we report a [...] Read more.
Phase contrast computed tomography (PCCT) provides an effective non-destructive testing tool for weak absorption objects. Limited by the phase stepping principle and radiation dose requirement, sparse-view sampling is usually performed in PCCT, introducing severe artifacts in reconstruction. In this paper, we report a dual-domain (i.e., the projection sinogram domain and image domain) enhancement framework based on deep learning (DL) for PCCT with sparse-view projections. It consists of two convolutional neural networks (CNN) in dual domains and the phase contrast Radon inversion layer (PCRIL) to connect them. PCRIL can achieve PCCT reconstruction, and it allows the gradients to backpropagate from the image domain to the projection sinogram domain while training. Therefore, parameters of CNNs in dual domains are updated simultaneously. It could overcome the limitations that the enhancement in the image domain causes blurred images and the enhancement in the projection sinogram domain introduces unpredictable artifacts. Considering the grating-based PCCT as an example, the proposed framework is validated and demonstrated with experiments of the simulated datasets and experimental datasets. This work can generate high-quality PCCT images with given incomplete projections and has the potential to push the applications of PCCT techniques in the field of composite imaging and biomedical imaging. Full article
(This article belongs to the Topic Advances in Non-Destructive Testing Methods)
Show Figures

Figure 1

16 pages, 8924 KB  
Article
Sparse Parabolic Radon Transform with Nonconvex Mixed Regularization for Multiple Attenuation
by Qiuying Wu, Bin Hu, Cai Liu and Junming Zhang
Appl. Sci. 2023, 13(4), 2550; https://doi.org/10.3390/app13042550 - 16 Feb 2023
Cited by 2 | Viewed by 2417
Abstract
The existence of multiple reflections brings difficulty to seismic data processing and interpretation in seismic reflection exploration. Parabolic Radon transform is widely used in multiple attenuation because it is easily implemented, highly robust and efficient. However, finite seismic acquisition aperture of seismic data [...] Read more.
The existence of multiple reflections brings difficulty to seismic data processing and interpretation in seismic reflection exploration. Parabolic Radon transform is widely used in multiple attenuation because it is easily implemented, highly robust and efficient. However, finite seismic acquisition aperture of seismic data causes energy diffusion in the Radon domain, which leads to multiple residuals. In this paper, we propose a sparse parabolic Radon transform with the nonconvex Lq1-Lq2(0<q1,q2<1) mixed regularization (SPRTLq1-Lq2) that constrains the sparsity of primary and multiple reflections to overcome the energy diffusion and improve the effect of multiple attenuation, respectively. This nonconvex mixed regularization problem is solved approximately by the alternating direction method of multipliers (ADMM) algorithm, and we give the convergence conditions of the ADMM algorithm. The proposed method is compared with least squares parabolic Radon transform (LSPRT) and sparse parabolic Radon transform based on L1 regularization (SPRTL1) for multiple attenuation in the synthetic data and field data. We demonstrate that it improves the sparsity and resolution of the Radon domain data, and better results are obtained. Full article
(This article belongs to the Special Issue Technological Advances in Seismic Data Processing and Imaging)
Show Figures

Figure 1

17 pages, 6680 KB  
Article
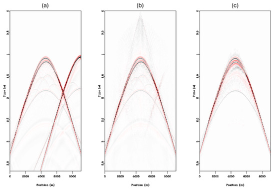
Supervirtual Refraction Interferometry in the Radon Domain
by Yizhe Su, Deli Wang, Bin Hu, Xiangbo Gong and Junming Zhang
Remote Sens. 2023, 15(2), 384; https://doi.org/10.3390/rs15020384 - 8 Jan 2023
Cited by 5 | Viewed by 2222
Abstract
Accurate picking of seismic first arrivals is very important for first arrival travel time tomography, but the first arrivals appearing at far offsets are often more difficult to pick accurately due to the low signal-to-noise ratio (SNR). The conventional supervirtual refraction interferometry (SVI) [...] Read more.
Accurate picking of seismic first arrivals is very important for first arrival travel time tomography, but the first arrivals appearing at far offsets are often more difficult to pick accurately due to the low signal-to-noise ratio (SNR). The conventional supervirtual refraction interferometry (SVI) method can improve the SNR of first arrivals to a certain extent; however, it is not suitable for seismic data that interfered by strong noise. In order to better process the first arrivals at far offsets with serious noise interference, we propose a modified method, in which SVI implemented in the Radon domain (RDSVI) due to the cross-correlation in the Radon domain have a better effect. According to the kinematic characteristics of first arrival refractions, SVI is performed in the linear Radon domain. Both synthetic data and field data demonstrate the proposed method can enhance the effective signal and attenuate the strong noise simultaneously, so as to significantly improve the SNR of the first arrival data. Meanwhile, the RDSVI method is tested on the first arrival data with missing traces, which proves that this method can overcome the influence of abnormal traces and is suitable for the reconstruction of sparsely sampled seismic data. Full article
(This article belongs to the Special Issue Geophysical Data Processing in Remote Sensing Imagery)
Show Figures

Figure 1

13 pages, 12515 KB  
Article
Pseudo-3D Receiver Deghosting of Seismic Streamer Data Based on l1 Norm Sparse Inversion
by Rui Wang, Deli Wang, Weifeng Zhang, Yingxin Liu, Bin Hu and Longlong Wang
Appl. Sci. 2022, 12(20), 10556; https://doi.org/10.3390/app122010556 - 19 Oct 2022
Cited by 1 | Viewed by 2329
Abstract
The ghost effect in marine seismic data causes low-frequency suppression and frequency notch, resulting in incomplete frequency information for seismic records, which poses challenges for high-resolution imaging. The deghosting effect depends on the approximation of the ghost delay operator. Due to the strict [...] Read more.
The ghost effect in marine seismic data causes low-frequency suppression and frequency notch, resulting in incomplete frequency information for seismic records, which poses challenges for high-resolution imaging. The deghosting effect depends on the approximation of the ghost delay operator. Due to the strict requirements of dense sampling, the 2D deghosting method for a densely sampled inline dataset is still the mainstream method for marine data processing. As the trade-off, inversion-based methods are widely used in the industry to reduce the influence of the inaccurate ghost delay operator. In order to overcome the sampling limits and improve the 2D deghosting effect, we propose a pseudo-3D deghosting framework based on an l1 norm sparse inversion. In the framework, the inversion problem is divided into two subproblems, i.e., pseudo-3D operator building and optimization inversion. Considering the data coherence along the shot direction, we derive a pseudo-3D ghost delay operator to deghost simultaneously for multi-shot gathers. We then introduce a sparse inversion method in the pseudo-3D radon domain (multi-shot gathers) to further improve the inversion accuracy. The proposed framework is easy to implement, is not sensitive to noise, and shows superior performance in synthetic and field examples. Full article
(This article belongs to the Section Earth Sciences)
Show Figures

Figure 1

11 pages, 2179 KB  
Article
Gini Method Application: Indoor Radon Survey in Kpong, Ghana
by Filomena Loffredo, Irene Opoku-Ntim, Doris Kitson-Mills and Maria Quarto
Atmosphere 2022, 13(8), 1179; https://doi.org/10.3390/atmos13081179 - 26 Jul 2022
Cited by 8 | Viewed by 1911
Abstract
In this study, the indoor radon concentrations map, starting from a sparse measurements survey, was realized with the Gini index method. This method was applied on a real dataset coming from indoor radon measurements carried out in Kpong, Ghana. The Gini coefficient variogram [...] Read more.
In this study, the indoor radon concentrations map, starting from a sparse measurements survey, was realized with the Gini index method. This method was applied on a real dataset coming from indoor radon measurements carried out in Kpong, Ghana. The Gini coefficient variogram is shown to be a good estimator of the inhomogeneity degree of radon concentration because it allows for better constraining of the critical distance below which the radon geological source can be considered as uniform. The indoor radon measurements were performed in 96 dwellings in Kpong, Ghana. The data showed that 84% of the residences monitored had radon levels below 100 Bqm−3, versus 16% having levels above the World Health Organization’s (WHO) suggested reference range (100 Bqm−3). The survey indicated that the average indoor radon concentration (IRC) was 55 ± 36 Bqm−3. The concentrations range from 4–176 Bqm−3. The mean value 55 Bqm−3 is 38% higher than the world’s average IRC of 40 Bqm−3 (UNSCEAR, 1993). Full article
(This article belongs to the Section Air Quality)
Show Figures

Figure 1

14 pages, 10491 KB  
Article
Sparse-View CT Reconstruction Based on a Hybrid Domain Model with Multi-Level Wavelet Transform
by Jielin Bai, Yitong Liu and Hongwen Yang
Sensors 2022, 22(9), 3228; https://doi.org/10.3390/s22093228 - 22 Apr 2022
Cited by 9 | Viewed by 3378
Abstract
The reconstruction of sparsely sampled projection data will generate obvious streaking artifacts, resulting in image quality degradation and affecting medical diagnosis results. Wavelet transform can effectively decompose directional components of image, so the artifact features and edge details with high directionality can be [...] Read more.
The reconstruction of sparsely sampled projection data will generate obvious streaking artifacts, resulting in image quality degradation and affecting medical diagnosis results. Wavelet transform can effectively decompose directional components of image, so the artifact features and edge details with high directionality can be better detected in the wavelet domain. Therefore, a hybrid domain method based on wavelet transform is proposed in this paper for the sparse-view CT reconstruction. The reconstruction model combines wavelet, spatial, and radon domains to restore the projection consistency and enhance image details. In addition, the global distribution of artifacts requires the network to have a large receptive field, so that a multi-level wavelet transform network (MWCNN) is applied to the hybrid domain model. Wavelet transform is used in the encoding part of the network to reduce the size of feature maps instead of pooling operation and inverse wavelet transform is deployed in the decoding part to recover image details. The proposed method can achieve PSNR of 41.049 dB and SSIM of 0.958 with 120 projections of three angular intervals, and obtain the highest values in this paper. Through the results of numerical analysis and reconstructed images, it shows that the hybrid domain method is superior to the single-domain methods. At the same time, the multi-level wavelet transform model is more suitable for CT reconstruction than the single-level wavelet transform. Full article
(This article belongs to the Section Biomedical Sensors)
Show Figures

Figure 1

17 pages, 1279 KB  
Article
Feature Reconstruction from Incomplete Tomographic Data without Detour
by Simon Göppel, Jürgen Frikel and Markus Haltmeier
Mathematics 2022, 10(8), 1318; https://doi.org/10.3390/math10081318 - 15 Apr 2022
Cited by 5 | Viewed by 2462
Abstract
In this paper, we consider the problem of feature reconstruction from incomplete X-ray CT data. Such incomplete data problems occur when the number of measured X-rays is restricted either due to limit radiation exposure or due to practical constraints, making the detection of [...] Read more.
In this paper, we consider the problem of feature reconstruction from incomplete X-ray CT data. Such incomplete data problems occur when the number of measured X-rays is restricted either due to limit radiation exposure or due to practical constraints, making the detection of certain rays challenging. Since image reconstruction from incomplete data is a severely ill-posed (unstable) problem, the reconstructed images may suffer from characteristic artefacts or missing features, thus significantly complicating subsequent image processing tasks (e.g., edge detection or segmentation). In this paper, we introduce a framework for the robust reconstruction of convolutional image features directly from CT data without the need of computing a reconstructed image first. Within our framework, we use non-linear variational regularization methods that can be adapted to a variety of feature reconstruction tasks and to several limited data situations. The proposed variational regularization method minimizes an energy functional being the sum of a feature dependent data-fitting term and an additional penalty accounting for specific properties of the features. In our numerical experiments, we consider instances of edge reconstructions from angular under-sampled data and show that our approach is able to reliably reconstruct feature maps in this case. Full article
(This article belongs to the Special Issue Inverse Problems and Imaging: Theory and Applications)
Show Figures

Figure 1

13 pages, 7420 KB  
Article
Radon Transform Based on Waveform for AVO-Preserving Data Construction
by Shengchao Wang, Liguo Han, Xiangbo Gong and Pan Zhang
Appl. Sci. 2021, 11(19), 9112; https://doi.org/10.3390/app11199112 - 30 Sep 2021
Cited by 1 | Viewed by 2693
Abstract
The traditional hyperbolic Radon transform suffers from the major problem of how to both obtain a high resolution and preserve the amplitude variation with offset (AVO). In the Radon domain, high resolution (sparseness) is a valid criterion. However, if a sparse model is [...] Read more.
The traditional hyperbolic Radon transform suffers from the major problem of how to both obtain a high resolution and preserve the amplitude variation with offset (AVO). In the Radon domain, high resolution (sparseness) is a valid criterion. However, if a sparse model is obtained in the Radon domain due to averaging along the offset direction, then it is not possible to preserve the AVO in the inversion data. In addition, hyperbolic Radon transform has a time-variant kernel based on a traditional iterative algorithm, the conjugate gradient (CG), which requires significant computation time. To solve these problems, we propose a Radon transform based on waveform that contains both cycle and amplitude characteristics of seismic waves. The new transform entails creating an upper envelope for the seismic data and computing a preliminary forward Radon transform in the time domain. The forward Radon transform incorporates a priori information by measuring the energy of each slowness (p) trace to obtain the high-resolution result of the Radon domain. For AVO preserving, the proposed method uses polynomials to describe the AVO characteristics in the inverse Radon transform based on the least-squares inversion. Besides amplitude preserving and high resolution, the proposed method avoids using CG and greatly reduces the cost of computing hyperbolic Radon transform in the time domain. In applications to both synthetic and field data, waveform Radon transform (WRT) has a better performance than the conjugate gradient Radon transform (CGRT). Full article
(This article belongs to the Section Acoustics and Vibrations)
Show Figures

Figure 1

18 pages, 2858 KB  
Article
Compressive Sensing Approach to Harmonics Detection in the Ship Electrical Network
by Beata Palczynska, Romuald Masnicki and Janusz Mindykowski
Sensors 2020, 20(9), 2744; https://doi.org/10.3390/s20092744 - 11 May 2020
Cited by 10 | Viewed by 3538
Abstract
The contribution of this paper is to show the opportunities for using the compressive sensing (CS) technique for detecting harmonics in a frequency sparse signal. The signal in a ship’s electrical network, polluted by harmonic distortions, can be modeled as a superposition of [...] Read more.
The contribution of this paper is to show the opportunities for using the compressive sensing (CS) technique for detecting harmonics in a frequency sparse signal. The signal in a ship’s electrical network, polluted by harmonic distortions, can be modeled as a superposition of a small number of sinusoids and the discrete Fourier transform (DFT) basis forms its sparse domain. According to the theory of CS, a signal may be reconstructed from under-sampled incoherent linear measurements. This paper highlights the use of the discrete Radon transform (DRT) techniques in the CS scheme. In the reconstruction algorithm section, a fast algorithm based on the inverse DRT is presented, in which a few randomly sampled projections of the input signal are used to correctly reconstruct the original signal. However, DRT requires a very large set of measurements that can defeat the purpose of compressive data acquisition. To acquire the wideband data below the Nyquist frequency, the K-rank-order filter is applied in the sparse transform domain to extract the most significant components and accelerate the convergence of the solution. While most CS research efforts focus on random Gaussian measurements, the Bernoulli matrix with different values of the probability of ones is applied in the presented algorithm. Preliminary results of numerical simulation confirm the effectiveness of the algorithm used, but also indicate its limitations. A significant advantage of the proposed approach is the speed of analysis, which uses fast Fourier transform (FFT) and inverse FFT (IFFT) algorithms widely available in programming environments. Moreover, the data processing algorithm is quite simple, and therefore memory usage and burden of the data processing load are relatively low. Full article
Show Figures

Figure 1

22 pages, 3265 KB  
Article
COSMO-SkyMed Staring Spotlight SAR Data for Micro-Motion and Inclination Angle Estimation of Ships by Pixel Tracking and Convex Optimization
by Biondi Filippo
Remote Sens. 2019, 11(7), 766; https://doi.org/10.3390/rs11070766 - 29 Mar 2019
Cited by 23 | Viewed by 6358
Abstract
In past research, the problem of maritime targets detection and motion parameter estimation has been tackled. This new research aims to contribute by estimating the micro-motion of ships while they are anchored in port or stationed at the roadstead for logistic operations. The [...] Read more.
In past research, the problem of maritime targets detection and motion parameter estimation has been tackled. This new research aims to contribute by estimating the micro-motion of ships while they are anchored in port or stationed at the roadstead for logistic operations. The problem of motion detection of targets is solved using along-track interferometry (ATI) which is observed using two radars spatially distanced by a baseline extended in the azimuth direction. In the case of spaceborne missions, the performing of ATI requests using at least two real-time SAR observations spatially distanced by an along-track baseline. For spotlight spaceborne SAR re-synthesizing two ATI observations from one raw data is a problem because the received electromagnetic bursts are not oversampled for onboard memory space saving and data appears like a white random process. This problem makes appearing interlaced Doppler bands completely disjointed. This phenomenon, after the range-Doppler focusing process, causes decorrelation when considering the ATI interferometric phase information retransmitted by distributed targets. Only small and very coherent targets located within the same radar resolution cell are considered. This paper is proposing a new approach where the micro-motion estimation of ships, occupying thousands of pixels, is measured processing the information given by sub-pixel tracking generated during the coregistration process of two re-synthesized time-domain and partially overlapped sub-apertures generated splitting the raw data observed by a single wide Doppler band staring spotlight (ST) SAR map. The inclination of ships is calculated by low-rank plus sparse decomposition and Radon transform of some region of interest. Experiments are performed processing one set of COSMO-SkyMed ST SAR data. Full article
(This article belongs to the Special Issue Pattern Analysis and Recognition in Remote Sensing)
Show Figures

Figure 1

19 pages, 5314 KB  
Article
Surface-Wave Extraction Based on Morphological Diversity of Seismic Events
by Xinming Qiu, Chao Wang, Jun Lu and Yun Wang
Appl. Sci. 2019, 9(1), 17; https://doi.org/10.3390/app9010017 - 21 Dec 2018
Cited by 26 | Viewed by 5100
Abstract
It is essential to extract high-fidelity surface waves in surface-wave surveys. Because reflections usually interfere with surface waves on X components in multicomponent seismic exploration, it is difficult to extract dispersion curves of surface waves. To make matters worse, the frequencies and velocities [...] Read more.
It is essential to extract high-fidelity surface waves in surface-wave surveys. Because reflections usually interfere with surface waves on X components in multicomponent seismic exploration, it is difficult to extract dispersion curves of surface waves. To make matters worse, the frequencies and velocities of higher-mode surface waves are close to those of PS-waves. A method for surface-wave extraction is proposed based on the morphological differences between surface waves and reflections. Frequency-domain high-resolution linear Radon transform (LRT) and time-domain high-resolution hyperbolic Radon transform (HRT) are used to represent surface waves and reflections, respectively. Then, a sparse representation problem based on morphological component analysis (MCA) is built and optimally solved to obtain high-fidelity surface waves. An advantage of our method is its ability to extract surface waves when their frequencies and velocities are close to those of reflections. Furthermore, the results of synthetic and field examples confirm that the proposed method can attenuate the distortion of surface-wave dispersive energy caused by reflections, which contributes to extraction of accurate dispersion curves. Full article
(This article belongs to the Special Issue Seismic Metamaterials)
Show Figures

Figure 1

Back to TopTop