Supervirtual Refraction Interferometry in the Radon Domain
Abstract
1. Introduction
2. Methods
2.1. Review of Conventional SVI
2.2. RDSVI
| Algorithm 1: RDSVI |
| (1) Input: Original common shot gathers (2) Windowing around the first arrivals; (3) Convert to common receiver gathers: (4) Radon transform and SRTIS: (5) Cross-correlation in the Radon domain: (6) Convolution: (7) Radon transform and SRTIS of original data: (8) Radon transform and SRTIS of virtual refraction: (9) Cross-correlation in the Radon domain: (10) Stacking: (11) Output: reconstructed first arrival |
3. Numerical Results
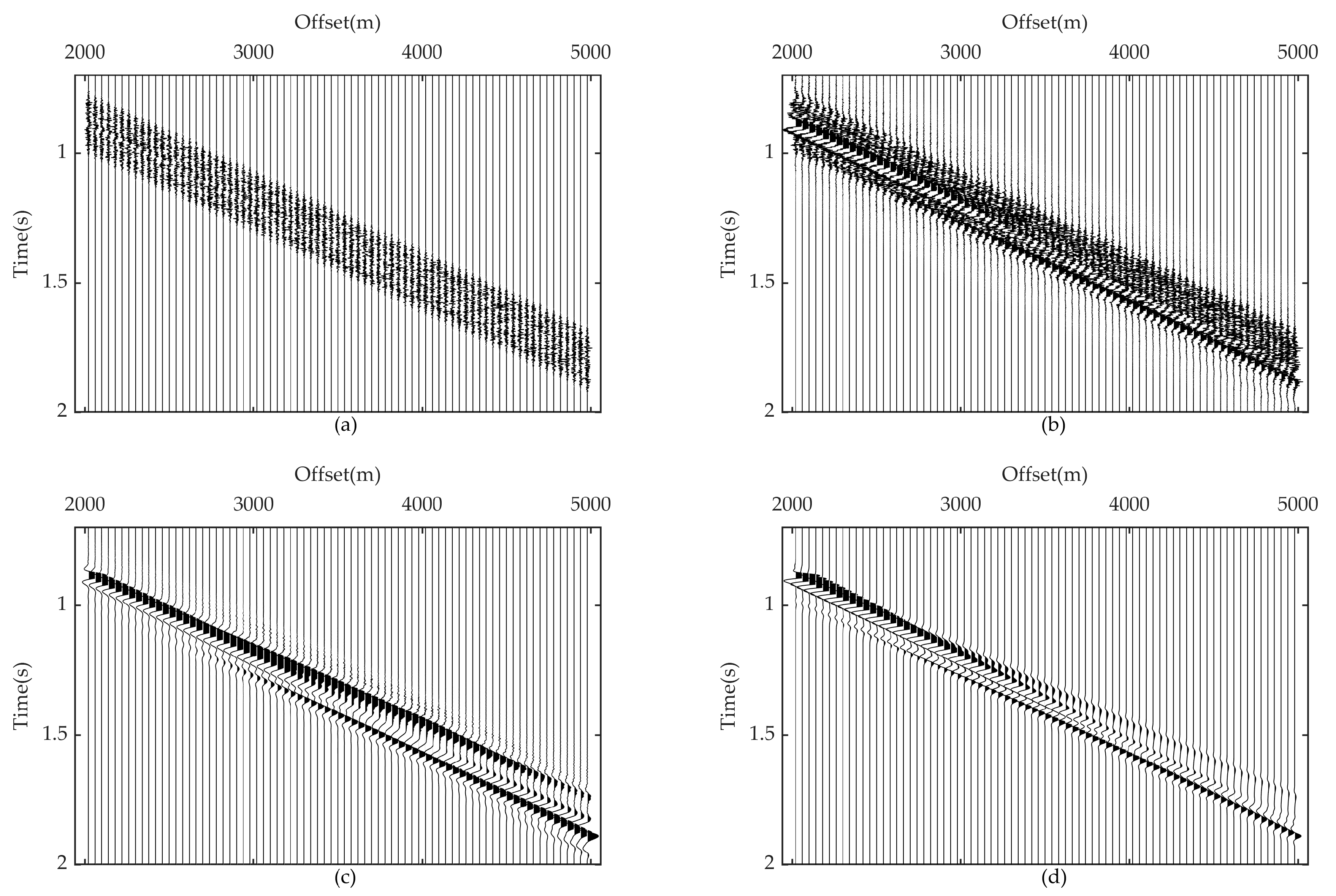
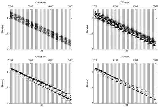
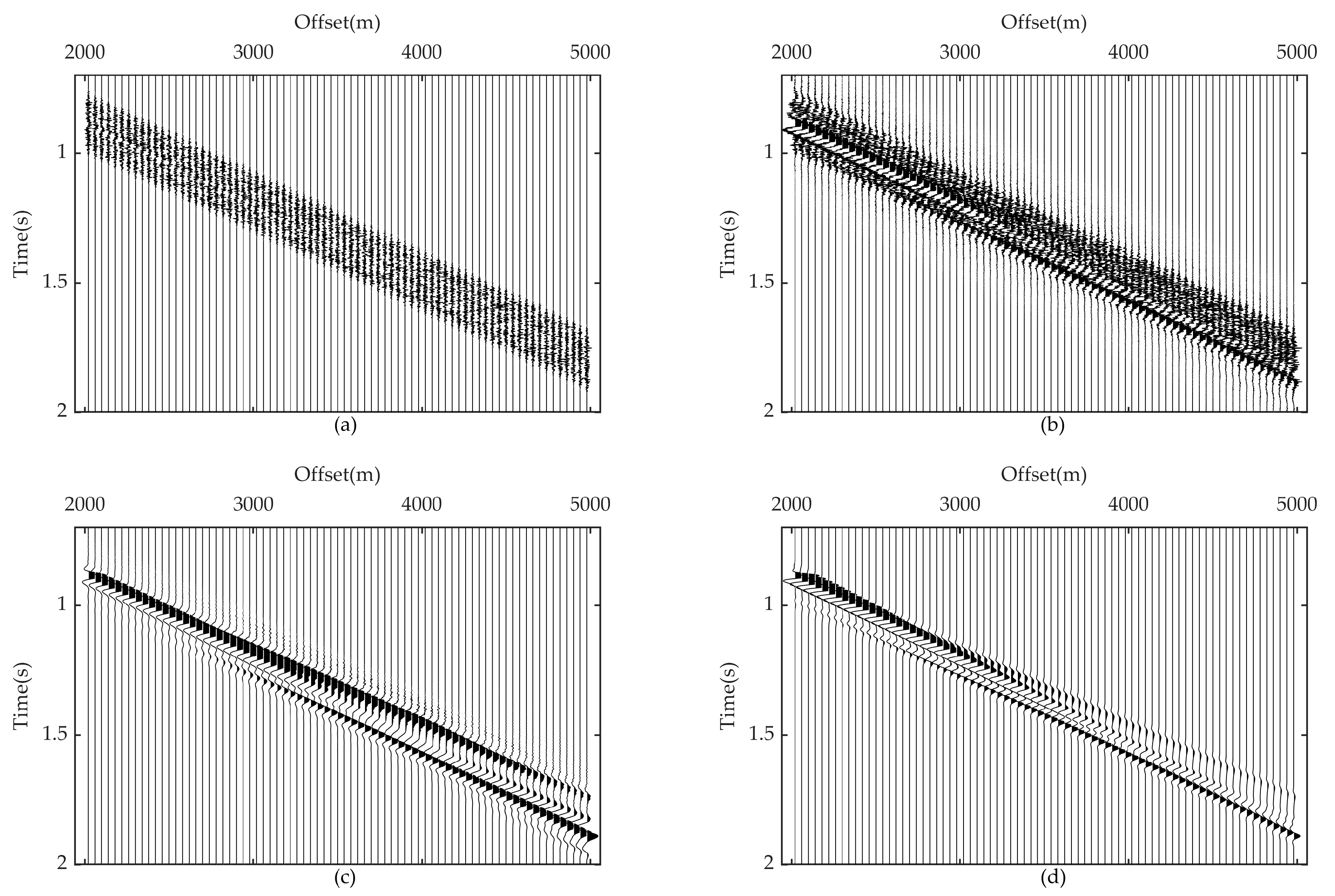
3.1. Synthetic Data Example
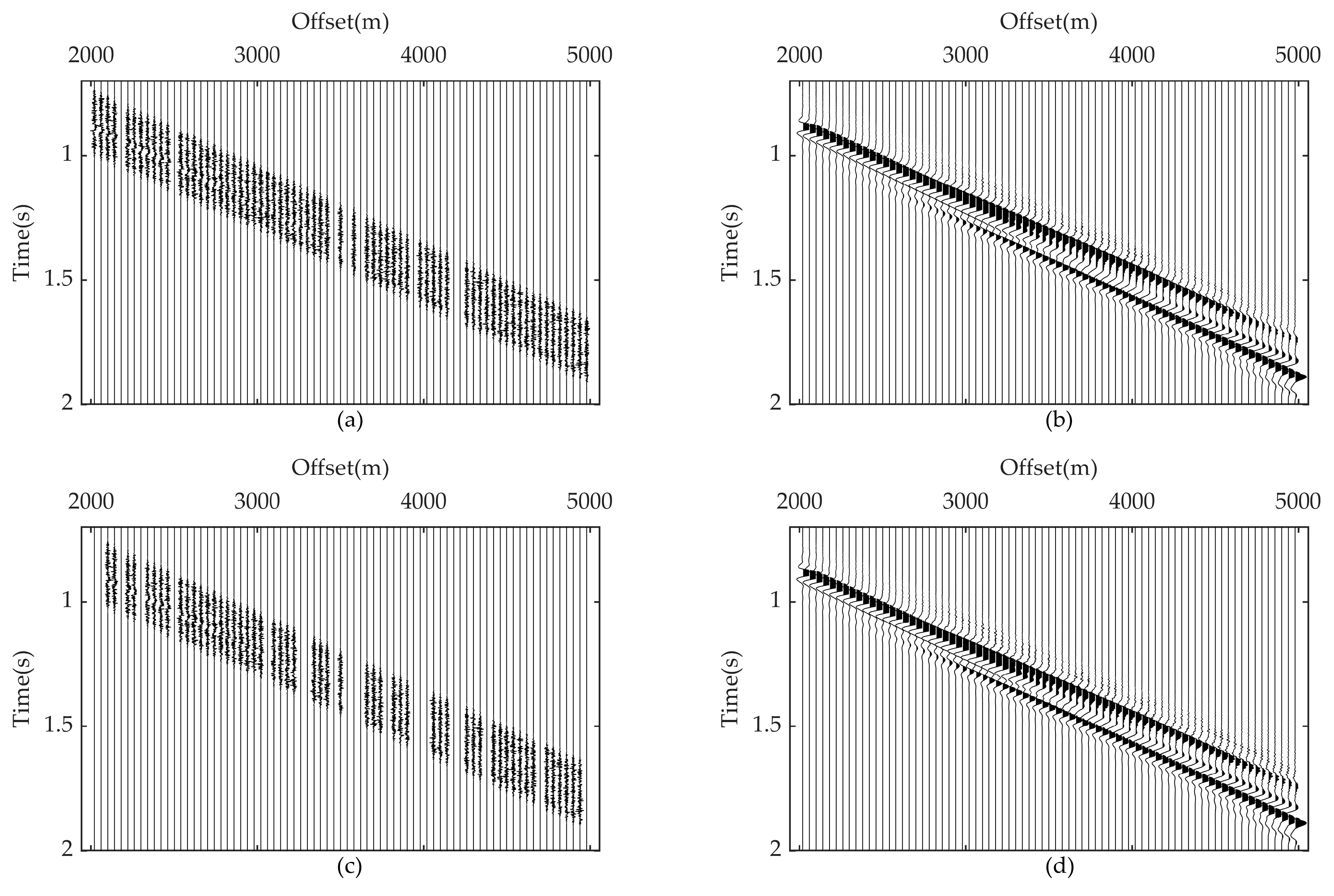
3.2. Field Data Example
4. Discussion
5. Conclusions
Author Contributions
Funding
Data Availability Statement
Conflicts of Interest
References
- Bishop, T.N.; Bube, K.P.; Cutler, R.T.; Langan, R.T.; Love, P.L.; Resnick, J.R.; Shuey, R.T.; Spindler, D.A.; Wyld, H.W. Tomographic determination of velocity and depth in laterally varying media. Geophysics 1985, 50, 903–923. [Google Scholar] [CrossRef]
- Zhu, X.; Sixta, D.P.; Angstman, B.G. Tomostatics: Turning-ray tomography + static corrections. Lead. Edge 1992, 11, 15–23. [Google Scholar] [CrossRef]
- Mooney, W.D.; Weaver, C.S. Chapter 9: Regional crustal structure and tectonics of the Pacific Coastal States; California, Oregon, and Washington. In Geophysical Framework of the Continental United States; Pakiser, L.C., Mooney, W.D., Eds.; Geological Society of America: Boulder, CO, USA, 1989; Volume 172, pp. 129–161. [Google Scholar]
- Zelt, C.A.; Smith, R.B. Seismic traveltime inversion for 2-D crustal velocity structure. Geophys. J. Int. 1992, 108, 16–34. [Google Scholar] [CrossRef]
- Sheriff, R.E.; Geldart, L.P. Exploration Seismology; Cambridge University Press: Cambridge, UK, 1995. [Google Scholar]
- Funck, T.; Andersen, M.S.; Keser Neish, J.; Dahl-Jensen, T. A refraction seismic transect from the Faroe Islands to the Hatton-Rockall Basin. J. Geophys. Res. Solid Earth 2008, 113. [Google Scholar] [CrossRef]
- Yoo, J.-C.; Han, T.H. Fast Normalized Cross-Correlation. Circuits Syst. Signal Process. 2009, 28, 819. [Google Scholar] [CrossRef]
- Pucciarelli, G. Wavelet Analysis in Volcanology: The Case of Phlegrean Fields. J. Environ. Sci. Eng. A 2017, 6, 300–307. [Google Scholar] [CrossRef]
- Dong, S.; Sheng, J.; Schuster, G.T. Theory and Practice of Refraction Interferometry. In Proceedings of the SEG Technical Program Expanded Abstracts 2006, New Orleans, LA, USA, 1–6 October 2006; Society of Exploration Geophysicists: Houston, TX, USA, 2006; pp. 3021–3025. [Google Scholar]
- Mallinson, I.; Bharadwaj, P.; Schuster, G.; Jakubowicz, H. Enhanced refractor imaging by supervirtual interferometry. Lead. Edge 2011, 30, 546–550. [Google Scholar] [CrossRef]
- Bharadwaj, P.; Schuster, G.T.; Mallinson, I. Super-virtual refraction interferometry: Theory. In Proceedings of the SEG Technical Program Expanded Abstracts 2011, San Antonio, TX, USA, 18–23 September 2011; Society of Exploration Geophysicists: Houston, TX, USA, 2011; pp. 3809–3813. [Google Scholar]
- Bharadwaj, P.; Schuster, G.; Mallinson, I.; Dai, W. Theory of supervirtual refraction interferometry. Geophys. J. Int. 2012, 188, 263–273. [Google Scholar] [CrossRef]
- Al-Hagan, O.; Hanafy, S.M.; Schuster, G.T. Iterative supervirtual refraction interferometry. GEOPHYSICS 2014, 79, Q21–Q30. [Google Scholar] [CrossRef]
- Lu, K.; AlTheyab, A.; Schuster, G.T. 3D super-virtual refraction interferometry. In Proceedings of the SEG Technical Program Expanded Abstracts 2014, Denver, CO, USA, 26–31 October 2014; Society of Exploration Geophysicists: Houston, TX, USA, 2014; pp. 4203–4207. [Google Scholar]
- Edigbue, P.; Al-Shuhail, A. Three-dimensional supervirtual seismic refraction interferometry. Arab. J. Geosci. 2016, 9, 537. [Google Scholar] [CrossRef]
- Lu, K.; Chávez-Pérez, S. 3D supervirtual refraction interferometry. GEOPHYSICS 2020, 85, Q1–Q10. [Google Scholar] [CrossRef]
- Qiao, B.; Guo, P.; Wang, P.; Hu, T. Retrieval of super-virtual refraction by cross-correlation. Geophys. Prospect. 2015, 63, 552–566. [Google Scholar] [CrossRef]
- Hanafy, S.M. Seismic, Super-Virtual Refraction Interferometry. In Encyclopedia of Solid Earth Geophysics; Gupta, H.K., Ed.; Springer International Publishing: Cham, Switzerland, 2021; pp. 1602–1607. [Google Scholar]
- Xu, Z.; Zhang, F.; Juhlin, C.; Lund, B.; Ask, M.; Han, L. Extrapolated supervirtual refraction interferometry. Geophys. J. Int. 2021, 227, 1439–1463. [Google Scholar] [CrossRef]
- Hanafy, S.M.; AlHagan, O.; Al-Tawash, F. Super–virtual refraction interferometry: Field data example over a colluvial wedge. In Proceedings of the SEG Technical Program Expanded Abstracts 2011, San Antonio, TX, USA, 18–23 September 2011; Society of Exploration Geophysicists: Houston, TX, USA, 2011; pp. 3814–3818. [Google Scholar]
- Alshuhail, A.; Aldawood, A.; Hanafy, S. Application of super-virtual seismic refraction interferometry to enhance first arrivals: A case study from Saudi Arabia. Lead. Edge 2012, 31, 34–39. [Google Scholar] [CrossRef]
- Hanafy, S.M.; Al-Hagan, O. Super-virtual refraction interferometry: An engineering field data example. Near Surf. Geophys. 2012, 10, 443–449. [Google Scholar] [CrossRef]
- Bharadwaj, P.; Wang, X.; Schuster, G.; McIntosh, K. Increasing the number and signal-to-noise ratio of OBS traces with supervirtual refraction interferometry and free-surface multiples. Geophys. J. Int. 2013, 192, 1070–1084. [Google Scholar] [CrossRef]
- Edigbue, P.; Al-Shuhail, A.; Hanafy, S.M. Three-dimensional supervirtual seismic refraction interferometry: A case study in western Saudi Arabia. GEOPHYSICS 2021, 86, B123–B133. [Google Scholar] [CrossRef]
- Zhang, C.; Zhang, J. 2D seismic residual statics derived from refraction interferometry. J. Appl. Geophys. 2016, 130, 145–152. [Google Scholar] [CrossRef]
- Gao, H.; Zhang, J. 3D seismic residual statics solutions derived from refraction interferometry. Geophys. Prospect. 2017, 65, 1527–1540. [Google Scholar] [CrossRef]
- Xu, Z.; Juhlin, C.; Han, L.; Zhang, F. Reconstruction of surface waves using super virtual interferometry: An example from the Forsmark site, Sweden. Geophys. J. Int. 2017, 211, 120–140. [Google Scholar] [CrossRef]
- Qiao, B.; Wang, Q.; Lei, Y. Correlation-Based Interferometry Method to Enhance Near-Surface Reflection Signals in Surface Active Seismic Exploration. IEEE Trans. Geosci. Remote Sens. 2021, 59, 10697–10707. [Google Scholar] [CrossRef]
- Song, L.; Zou, Z.; Huang, Z. Supervirtual refraction interferometry based on stacking of neighboring virtual-traces and its application to enhancing wide-angle OBS refraction waves. Chin. J. Geophys. 2019, 62, 993–1006. [Google Scholar]
- Lu, K.; Liu, Z.; Hanafy, S.; Schuster, G. Noise reduction with reflection supervirtual interferometry. GEOPHYSICS 2020, 85, V249–V256. [Google Scholar] [CrossRef]
- Place, J.; Malehmir, A. Using supervirtual first arrivals in controlled-source hardrock seismic imaging—Well worth the effort. Geophys. J. Int. 2016, 206, 716–730. [Google Scholar] [CrossRef]
- Place, J.; Draganov, D.; Malehmir, A.; Juhlin, C.; Wijns, C. Crosscoherence-based interferometry for the retrieval of first arrivals and subsequent tomographic imaging of differential weathering. GEOPHYSICS 2019, 84, Q37–Q48. [Google Scholar] [CrossRef]
- Wapenaar, K.; Fokkema, J. Green’s function representations for seismic interferometry. GEOPHYSICS 2006, 71, SI33–SI46. [Google Scholar] [CrossRef]
- Wapenaar, K. Green’s function retrieval by cross-correlation in case of one-sided illumination. Geophys. Res. Lett. 2006, 33. [Google Scholar] [CrossRef]
- Schuster, G.T. Seismic Interferometry; Cambridge University Press: Cambridge, UK, 2009. [Google Scholar] [CrossRef]
- Wapenaar, K.; Draganov, D.; Snieder, R.; Campman, X.; Verdel, A. Tutorial on seismic interferometry: Part 1—Basic principles and applications. GEOPHYSICS 2010, 75, 75A195–175A209. [Google Scholar] [CrossRef]
- Wapenaar, K.; Slob, E.; Snieder, R.; Curtis, A. Tutorial on seismic interferometry: Part 2—Underlying theory and new advances. GEOPHYSICS 2010, 75, 75A211–275A227. [Google Scholar] [CrossRef]
- Schuster, G.T. Seismic Interferometry. In Encyclopedia of Exploration Geophysics; Society of Exploration Geophysicists: Tulsa, OK, USA, 2016; pp. Q1-1–Q1-41. [Google Scholar]
- Tao, Y.; Sen, M.K. On a plane-wave based crosscorrelation-type seismic interferometry. GEOPHYSICS 2013, 78, Q35–Q44. [Google Scholar] [CrossRef]
- Zhu, H.; Wang, D.-L.; Tsoflias, G.P. Seismic interferometry in parabolic radon domain. J. Seism. Explor. 2015, 24, 37–50. [Google Scholar]
- Lu, W. An accelerated sparse time-invariant Radon transform in the mixed frequency-time domain based on iterative 2D model shrinkage. GEOPHYSICS 2013, 78, V147–V155. [Google Scholar] [CrossRef]
- Zhang, Y.-Q.; Lu, W.-K. 2D and 3D prestack seismic data regularization using an accelerated sparse time-invariant Radon transform. GEOPHYSICS 2014, 79, V165–V177. [Google Scholar] [CrossRef]
- Huang, W.; Wu, R.S.; Wang, R. Damped Dreamlet Representation for Exploration Seismic Data Interpolation and Denoising. IEEE Trans. Geosci. Remote Sens. 2018, 56, 3159–3172. [Google Scholar] [CrossRef]














Disclaimer/Publisher’s Note: The statements, opinions and data contained in all publications are solely those of the individual author(s) and contributor(s) and not of MDPI and/or the editor(s). MDPI and/or the editor(s) disclaim responsibility for any injury to people or property resulting from any ideas, methods, instructions or products referred to in the content. |
© 2023 by the authors. Licensee MDPI, Basel, Switzerland. This article is an open access article distributed under the terms and conditions of the Creative Commons Attribution (CC BY) license (https://creativecommons.org/licenses/by/4.0/).
Share and Cite
Su, Y.; Wang, D.; Hu, B.; Gong, X.; Zhang, J. Supervirtual Refraction Interferometry in the Radon Domain. Remote Sens. 2023, 15, 384. https://doi.org/10.3390/rs15020384
Su Y, Wang D, Hu B, Gong X, Zhang J. Supervirtual Refraction Interferometry in the Radon Domain. Remote Sensing. 2023; 15(2):384. https://doi.org/10.3390/rs15020384
Chicago/Turabian StyleSu, Yizhe, Deli Wang, Bin Hu, Xiangbo Gong, and Junming Zhang. 2023. "Supervirtual Refraction Interferometry in the Radon Domain" Remote Sensing 15, no. 2: 384. https://doi.org/10.3390/rs15020384
APA StyleSu, Y., Wang, D., Hu, B., Gong, X., & Zhang, J. (2023). Supervirtual Refraction Interferometry in the Radon Domain. Remote Sensing, 15(2), 384. https://doi.org/10.3390/rs15020384

