Sign in to use this feature.

Years

Between: -

Subjects

remove_circle_outline
remove_circle_outline
remove_circle_outline
remove_circle_outline
remove_circle_outline
remove_circle_outline
remove_circle_outline
remove_circle_outline
remove_circle_outline

Journals

Article Types

Countries / Regions

Search Results (160)

Search Parameters:
Keywords = spark ignition system

Order results
Result details
Results per page
Select all
Export citation of selected articles as:
20 pages, 5014 KB  
Article
Operation of Spark Plugs in a Landfill Gas-Fueled Piston Engine
by Mariusz Chwist and Michał Pyrc
Energies 2026, 19(8), 1915; https://doi.org/10.3390/en19081915 - 15 Apr 2026
Viewed by 295
Abstract
This paper analyzes the operation of a spark-ignition reciprocating engine fueled by purified landfill gas (LFG). The engine serves as the prime mover for an electric generator and a heat source within a Combined Heat and Power (CHP) unit. Experimental data is retrieved [...] Read more.
This paper analyzes the operation of a spark-ignition reciprocating engine fueled by purified landfill gas (LFG). The engine serves as the prime mover for an electric generator and a heat source within a Combined Heat and Power (CHP) unit. Experimental data is retrieved from the Engine Control Unit (ECU). The findings encompass 3000 operating hours (September–December), a period characterized by evolving spark plug conditions, during which various adjustments and service tasks are performed. This study primarily addresses operational strategies for spark plug maintenance to guarantee CHP system reliability, with a specific focus on electrode degradation and its subsequent effect on engine performance. A significant portion of the research analyzes the wear of eight OEM spark plugs installed during the observation period. Utilizing data from a specific interval (4044 to 4797 h), the study calculates the wear rates for both center and ground electrodes based on volume loss measurements obtained via digital microscopy. The results indicate varied electrode wear across the set. Furthermore, the correlation between spark plug condition, misfire counts, emergency shutdowns, and service intervals is examined. The misfires counter is proposed as a parameter for predicting emergency shutdowns and as an indicator for spark plug adjustment or replacement. Lastly, the paper describes potential causes of accelerated ground electrode wear and suggests probable methods for enhancing component longevity. Full article
(This article belongs to the Special Issue Internal Combustion Engines: Research and Applications—3rd Edition)
Show Figures

Figure 1

14 pages, 4287 KB  
Article
Optimization of the Ignition System Diagnostics Methodology
by Marek Nad, Matus Danko, Dusan Koniar and Michal Frivaldsky
Vehicles 2026, 8(4), 71; https://doi.org/10.3390/vehicles8040071 - 1 Apr 2026
Viewed by 342
Abstract
Regular inspection of ignition systems in internal combustion engine (ICE) vehicles is essential as these checks influence both engine performance and emission levels. While emission testing is mandatory for road vehicles, many industrial combustion devices remain outside routine emission control. During standard service [...] Read more.
Regular inspection of ignition systems in internal combustion engine (ICE) vehicles is essential as these checks influence both engine performance and emission levels. While emission testing is mandatory for road vehicles, many industrial combustion devices remain outside routine emission control. During standard service procedures such as oil changes, the ignition system can be evaluated using electronic diagnostic tools, which are commonly available in licensed service stations. These measurements provide valuable insight into the spark plug condition—a critical factor affecting ignition quality and emission formation. This article presents the design of a diagnostic system based on an oscilloscope equipped with voltage and current probes. Experimental data were obtained directly from test vehicles and include waveform records of electrical quantities, revealing clearly distinguishable differences in component behavior. The proposed system enables rapid and accurate spark plug condition assessment under various operating states. Results confirm that the selected diagnostic approach can identify characteristic variations in ignition components, thereby improving fault detection accuracy. This study introduces an innovative, non-intrusive diagnostic method applicable to the development of modern automotive tools. Overall, this work contributes to enhancing the reliability, efficiency, and emission performance of internal combustion engines. Full article
Show Figures

Figure 1

28 pages, 1612 KB  
Article
Comparative Performance, Combustion, and Emission Analysis of a Spark-Ignition Engine Fueled by Gasoline and Biogas with CeO2 Nanoparticle Additives
by Gadisa Sufe and Zbigniew J. Sroka
Appl. Sci. 2026, 16(7), 3285; https://doi.org/10.3390/app16073285 - 28 Mar 2026
Viewed by 325
Abstract
This study presents a comprehensive comparative analysis of the performance, combustion, and emission characteristics of a single-cylinder, four-stroke spark-ignition engine fueled by commercial gasoline and raw biogas enhanced with cerium oxide (CeO2) nanoparticles. Raw biogas containing 58% methane was tested without [...] Read more.
This study presents a comprehensive comparative analysis of the performance, combustion, and emission characteristics of a single-cylinder, four-stroke spark-ignition engine fueled by commercial gasoline and raw biogas enhanced with cerium oxide (CeO2) nanoparticles. Raw biogas containing 58% methane was tested without carbon dioxide removal to reflect practical rural applications, while CeO2 nanoparticles were ultrasonically dispersed in the fuel to promote homogeneous suspension and catalytic activity. Experiments were conducted under wide-open and part-throttle conditions across a range of engine speeds, with simultaneous measurement of brake thermal efficiency, brake-specific fuel consumption, volumetric efficiency, in-cylinder pressure, heat release rate, combustion phasing, and regulated emissions. The results showed that while gasoline consistently outperformed biogas in torque and power due to its higher heating value and flame speed, the addition of CeO2 significantly reduced the performance gap. For the biogas mode, CeO2 addition increased brake thermal efficiency by up to 5%, lowered brake-specific fuel consumption by up to 8%, and shifted the start of main combustion to earlier crank angles, indicating faster and more complete combustion, particularly at high loads where higher temperatures activate CeO2’s catalytic behavior. Emission analysis revealed that CeO2-blended biogas reduced carbon monoxide emissions by approximately 25% and unburned hydrocarbons by up to 55% compared with gasoline, while nitrogen oxide emissions were consistently 15–22% lower. These reductions were observed across both wide-open and part-throttle conditions, confirming improved combustion completeness and lower peak flame temperatures. These improvements are attributed to CeO2’s oxygen-storage capability, catalytic oxidation activity, and enhanced thermal conductivity, which collectively strengthen combustion completeness and cyclic stability. The findings demonstrate that nanoparticle-enhanced biogas can substantially improve the environmental and operational viability of spark-ignition engines, offering a practical pathway for integrating renewable gaseous fuels into existing transportation systems. Full article
Show Figures

Figure 1

21 pages, 15804 KB  
Article
Numerical Study of Heavy-Duty (HD) Spark-Ignition (SI) Engine Conversion to H2-Rich Syngas Produced from Plastic Pyrolysis
by Alberto Ballerini and Tommaso Lucchini
Gases 2026, 6(1), 15; https://doi.org/10.3390/gases6010015 - 6 Mar 2026
Viewed by 576
Abstract
This study numerically investigates the conversion of a Heavy-Duty (HD) Spark-Ignition (SI) Compressed Natural Gas (CNG) engine to operate with hydrogen-rich syngas produced from waste plastic pyrolysis. The engine was modeled with a one-dimensional simulation tool. Fuel-specific properties were included through a tabulated [...] Read more.
This study numerically investigates the conversion of a Heavy-Duty (HD) Spark-Ignition (SI) Compressed Natural Gas (CNG) engine to operate with hydrogen-rich syngas produced from waste plastic pyrolysis. The engine was modeled with a one-dimensional simulation tool. Fuel-specific properties were included through a tabulated Laminar Flame Speed (LFS) approach, and knock occurrence was predicted with a Tabulated Kinetic of Ignition (TKI) model. Full-load simulations revealed that direct substitution of CNG with syngas leads to abnormal combustion. With adjusted values of Spark Advance (SA) to avoid knock, syngas operation resulted in average reductions of approximately 15% in brake torque and 6% in total efficiency compared to the CNG baseline. Parametric analyses showed that Late Intake Valve Closing (LIVC) provides no benefits, whereas increasing the Compression Ratio (CR) partially recovers performance and efficiency, with knock being a limiting factor. Lastly, a complete engine map of the converted configuration was generated, reporting Brake-Specific Fuel Consumption (BSFC) and emissions. Overall, the study demonstrates that HD SI engines can be operated on hydrogen-rich syngas at the cost of moderate performance penalties. Moreover, it provides a robust modeling framework to support system-level and well-to-wheel assessments of syngas-based powertrains. Full article
Show Figures

Graphical abstract

25 pages, 4192 KB  
Article
Theoretical Study of the Effects of Hybridization on the Emission and Performance Characteristics of a Turbocharged Aircraft Piston Engine
by Nikolaos Lytras, Roussos Papagiannakis, Alexandros Vouros and Georgios Mavropoulos
Energies 2026, 19(5), 1297; https://doi.org/10.3390/en19051297 - 5 Mar 2026
Viewed by 356
Abstract
In recent years, numerous studies have focused on reducing emissions from modern reciprocating engines without compromising their performance characteristics. One promising approach is to use Mild-Hybrid engines as an alternative proposal to the conventional reciprocating ones. This study aims to investigate how the [...] Read more.
In recent years, numerous studies have focused on reducing emissions from modern reciprocating engines without compromising their performance characteristics. One promising approach is to use Mild-Hybrid engines as an alternative proposal to the conventional reciprocating ones. This study aims to investigate how the hybridization will impact the main performance variables and the pollutant emissions of a turbocharged, modern aircraft spark-ignition (SI) engine—specifically, the ROTAX 914. The engine is analyzed under three distinct operating conditions at three different altitudes, defined by different combinations of engine speed and throttle position, using conventional aviation fuel (AVGAS 100LL). The analysis is conducted using GT-POWER, an advanced engine simulation software that allows for complete engine modeling and parameterization across a wide range of operating conditions. The accuracy of the simulated engine model is validated by comparing its output to experimental data obtained from the engine’s technical manuals. Key performance indicators examined in this study include brake power (We), brake torque (Mσ), brake specific fuel consumption (BSFC), and emissions of nitrogen monoxide (NO) and carbon monoxide (CO). Therefore, the proposed model can be employed to investigate the operational behavior of the ROTAX 914 UL aircraft engine when integrated into a hybrid aircraft propulsion system, in which the engine is connected in series with an electric battery. In particular, the model enables parametric studies on the effects of varying engine–battery hybridization levels—defined as the respective contributions of the engine and the battery to the total propulsive power available at the aircraft propeller—on the main performance variables and emissions of the ROTAX 914 UL engine in different altitudes. The primary objective is to assess the effects of series hybridization on engine operation and its most significant emissions. This is accomplished by operating the ICE at a lower operating condition, because it is connected with a battery, which helps the engine deliver the required output power sooner. The results suggest that increasing the power output delivered by the battery, so the ICE is operating in lower loads, can significantly enhance the performance and environmental efficiency of a turbocharged aircraft SI engine at different flight altitudes. In conclusion, series hybridization presents a promising solution for improving present-day reciprocating SI engines. Full article
(This article belongs to the Special Issue Internal Combustion Engine Performance 2025)
Show Figures

Figure 1

13 pages, 2465 KB  
Article
Analysis of Dynamic Parameters of Electric and Combustion Vehicles
by Stefan Lageweg and Paweł Fabiś
Energies 2026, 19(5), 1256; https://doi.org/10.3390/en19051256 - 3 Mar 2026
Viewed by 722
Abstract
This paper presents an analysis of the dynamic parameters of vehicles powered by an electric drive unit based on a permanent magnet synchronous motor (PMSM) and a conventional drive system based on a spark-ignition combustion engine. The research subjects were a Mercedes-Benz EQA [...] Read more.
This paper presents an analysis of the dynamic parameters of vehicles powered by an electric drive unit based on a permanent magnet synchronous motor (PMSM) and a conventional drive system based on a spark-ignition combustion engine. The research subjects were a Mercedes-Benz EQA 250+ and an Audi A3 8V 35 TFSI with a turbocharged 1.5 dm3 engine. The paper presents an analysis of changes in power and torque as a function of engine speed (ICE) and driving speed of the electric vehicle (BEV). The study demonstrated fundamental differences, primarily the progression of the external characteristic curves of the engines and changes in vehicle dynamics. The research shows differences in the elasticity depending on the type of the drive motor. The research was conducted using a chassis dynamometer that allowed for a deeper understanding of the operation of the electric vehicle drive system and the identification of significant differences and dependencies in the external characteristics. Full article
(This article belongs to the Section E: Electric Vehicles)
Show Figures

Figure 1

23 pages, 3575 KB  
Article
Multiple Spark Plugs Approach for Pulsed Plasma Thrusters Assisting Resilient Proliferated Space Systems
by Andrei Shumeiko, Aleksei Pavlov, Daria Fedorova and Nikita Tumanov
Aerospace 2026, 13(3), 228; https://doi.org/10.3390/aerospace13030228 - 28 Feb 2026
Cited by 1 | Viewed by 448
Abstract
Propulsion systems aboard small satellites assisting dynamic space missions at the proximity of deep space natural objects may face challenges in long-term non-serviceable operations, achieving thrust vector direction control, and adapting to severe environmental conditions. The proposed propulsion solution involves using a pulsed [...] Read more.
Propulsion systems aboard small satellites assisting dynamic space missions at the proximity of deep space natural objects may face challenges in long-term non-serviceable operations, achieving thrust vector direction control, and adapting to severe environmental conditions. The proposed propulsion solution involves using a pulsed plasma thruster with multiple spark plugs for uniform ignition and thrust vector control, enhancing reliability and efficiency. Key advantages of the use of such an approach include minimal power consumption, an efficient volume utilization, and enhanced reliability through redundant ignition points realized within a single thruster head. Experimental validation demonstrates the effectiveness of the proposed architecture, confirming uniform ignition patterns. Also, the results of the experimental investigation qualitatively demonstrate the capability of thrust vector control by selectively discharging the distributed spark plugs. It can be supposed that this approach supports the viability of small satellites in dynamic space missions, promising dynamic, resilient, and reusable proliferated space systems for development of deep space economies. Full article
(This article belongs to the Special Issue Spacecraft Orbit Transfers (2nd Edition))
Show Figures

Figure 1

16 pages, 2401 KB  
Article
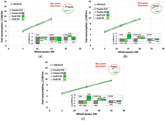
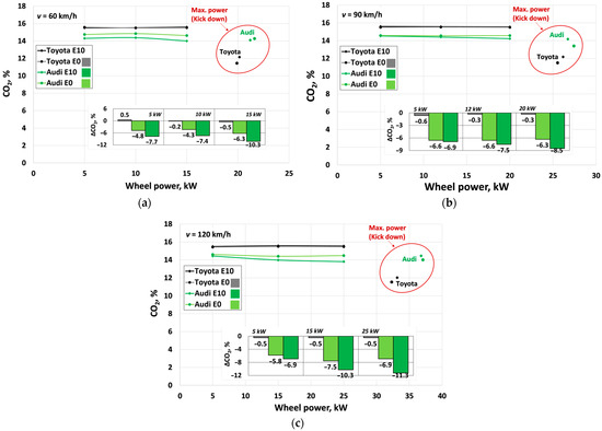
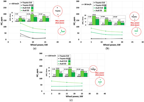
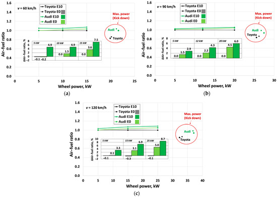
Study of Gasoline with 10% Ethanol Additive Under Different Fuel Supply Strategies
by Gabrielius Mejeras, Saugirdas Pukalskas, Alfredas Rimkus and Saulius Nagurnas
Energies 2026, 19(5), 1118; https://doi.org/10.3390/en19051118 - 24 Feb 2026
Viewed by 542
Abstract
The widespread use of gasoline blended with 10% ethanol (E10) has raised questions regarding engine performance and emissions under conditions where ethanol supply may be disrupted, and pure gasoline (E0) is temporarily used instead. This study experimentally investigates the effects of E0 and [...] Read more.
The widespread use of gasoline blended with 10% ethanol (E10) has raised questions regarding engine performance and emissions under conditions where ethanol supply may be disrupted, and pure gasoline (E0) is temporarily used instead. This study experimentally investigates the effects of E0 and E10 fuels on fuel consumption and exhaust emissions in spark-ignition engines equipped with two different fuel supply systems: multi-point fuel injection (MPI) and carburetion (CARB). Chassis dynamometer tests were performed on two passenger vehicles under steady-state part-load conditions at vehicle speeds of 60, 90, and 120 km/h, as well as during full-throttle operation. E0 and E10 were tested separately under identical operating points. Fuel consumption, brake-specific fuel consumption, air–fuel ratio, and exhaust gas components (CO, CO2, HC, O2) were measured and analysed. The results show that the MPI-equipped vehicle exhibited consistently lower fuel consumption when operating on E0 compared to E10, primarily due to the lower volumetric heating value of ethanol. In contrast, the carbureted engine demonstrated a stronger sensitivity to fuel composition, with E10 leading to leaner mixture formation and pronounced changes in fuel consumption and emissions. CO and HC emissions were significantly lower in the MPI engine, mainly due to closed-loop stoichiometric control combined with the presence of a three-way catalytic converter, while E10 substantially reduced these emissions in the carbureted engine. CO and HC emissions were significantly lower in the MPI configuration, mainly due to closed-loop stoichiometric control combined with the presence of a three-way catalytic converter. In the carbureted configuration, E10 substantially reduced CO and HC emissions compared to E0, primarily as a result of leaner mixture formation. Overall, the findings indicate that modern MPI engines are less sensitive to whether the supplied fuel is E10 and E0, whereas carbureted engines may show notable changes in performance and emissions under the same operating conditions. Full article
(This article belongs to the Section I1: Fuel)
Show Figures

Figure 1

33 pages, 3195 KB  
Review
Ethanol–Hydrogen Reactivity Management for High-Efficiency, Low-Emission Reactivity-Controlled Compression Ignition Engines: A Systematic Review of Combustion, Control, and Life Cycle Impact
by Santosh Alone, Sushant Satputaley, Dilip Borkar, Nikhil Bhave and Magdalena Dudek
Energies 2026, 19(4), 909; https://doi.org/10.3390/en19040909 - 9 Feb 2026
Cited by 1 | Viewed by 643
Abstract
The increasing efforts to decarbonise the energy sector have made it possible to reconsider advanced combustion modes that could simultaneously increase engine efficiency and meet stringent emission regulations. Reactivity-controlled compression ignition (RCCI) has emerged as a strong candidate due to its dual-fuel approach, [...] Read more.
The increasing efforts to decarbonise the energy sector have made it possible to reconsider advanced combustion modes that could simultaneously increase engine efficiency and meet stringent emission regulations. Reactivity-controlled compression ignition (RCCI) has emerged as a strong candidate due to its dual-fuel approach, which enables flexible control over in-cylinder reactivity and heat release patterns. Ethanol and hydrogen have recently attracted attention as a complementary low-reactivity and high-reactivity fuel pair within RCCI systems, typically implemented in a tri-fuel configuration using a small diesel pilot for ignition control. Therefore, most practical implementations operate as ethanol–hydrogen–diesel RCCI systems rather than pure dual-fuel ethanol–hydrogen modes. Research published between 2020 and 2025 provides a clearer picture of how these two fuels behave when used together in RCCI engines. Most studies report a noticeable improvement in the brake thermal efficiency of 4–7%. Particulate matter emissions reduce substantially from 20% to 50%. Lower carbon monoxide and hydrocarbon levels are often reported, and usually, a stable ignition is found throughout a wide range of operating conditions. However, if the combustion phasing is not properly controlled, hydrogen’s reactivity can lead to increased nitrogen oxide emissions, thus making it necessary to recirculate exhaust gases. Besides the challenges of combustion, practical aspects still remain as major hurdles. The problems of material compatibility between two fuels, hydrogen storage safety, and the requirement for low-carbon fuel production pathways can play a vital role in deciding commercialisation. To summarise, research findings point to the ethanol–hydrogen RCCI combination as a very promising route for the improvement of cleaner and more efficient engine technologies, provided the technical and logistical barriers can be addressed. Accordingly, this review primarily addresses ethanol–hydrogen–diesel tri-fuel RCCI architectures, while also discussing dual-fuel ethanol–hydrogen concepts where applicable in order to avoid conceptual overlap with spark-ignited ethanol–hydrogen systems. Full article
(This article belongs to the Special Issue Advances in Hydrogen Production and Hydrogen-Based Power Systems)
Show Figures

Figure 1

15 pages, 6837 KB  
Article
Design and Validation of an Instrument for Noninvasive Measurement of Connecting Rod Deformation in Spark Ignition Engines for Hybrid Vehicles
by Vincenzo La Battaglia, Livia Del Pinto, Stefano Marini, Alessandro Giorgetti and Gabriele Arcidiacono
Designs 2026, 10(1), 17; https://doi.org/10.3390/designs10010017 - 5 Feb 2026
Viewed by 485
Abstract
This work presents the development of a measuring instrument capable of assessing the possible presence of critical permanent deformations on the connecting rod in hybrid cars equipped with gasoline-powered internal combustion engines. The permanent deformation can be due to incorrect fueling and cause [...] Read more.
This work presents the development of a measuring instrument capable of assessing the possible presence of critical permanent deformations on the connecting rod in hybrid cars equipped with gasoline-powered internal combustion engines. The permanent deformation can be due to incorrect fueling and cause a progressive engine failure through the breaking of one or more connecting rods. The measuring tool developed is a non-invasive, low-cost system and permits the detection of the incipient damage without dismantling the engine, thus assuring a time-saving approach. The instrument is composed of a mechanical system and an electronic interface that permits easy use during measuring operations and the possibility to store the data collected. An experimental campaign was implemented to validate the measurement system’s capability to detect this type of damage and to determine a threshold beyond which it is necessary to proceed with the replacement of connecting rods. The results show the optimal ability to differentiate between usual technological variability of the piston stroke and the range that can be connected to the anomaly studied. The system is also able to permit the measurement of a whole engine in less than 20 min. Full article
(This article belongs to the Section Vehicle Engineering Design)
Show Figures

Figure 1

16 pages, 3945 KB  
Article
Analysis of Multi-Physics Thermal Response Characteristics of Anchor Rod and Sealant Systems Under Fire Scenarios
by Kui Tian, Rui Rao, Yu Zeng, Sihang Chen and Qingyuan Xu
Buildings 2026, 16(2), 383; https://doi.org/10.3390/buildings16020383 - 16 Jan 2026
Viewed by 290
Abstract
During on-site welding operations, the sealant coated on anchor bolt surfaces can be ignited by hot particles or localized sparks, potentially triggering a fire hazard. This combustion process involves a complex multi-physics coupling among sealant combustion, convective and radiative heat transfer, and three-dimensional [...] Read more.
During on-site welding operations, the sealant coated on anchor bolt surfaces can be ignited by hot particles or localized sparks, potentially triggering a fire hazard. This combustion process involves a complex multi-physics coupling among sealant combustion, convective and radiative heat transfer, and three-dimensional heat conduction in solids. To resolve this coupling, a simulation strategy is proposed that correspondingly integrates the Fire Dynamics Simulator (FDS, version 6.7.6) for modeling combustion and radiation with ABAQUS (2024) for simulating conductive heat transfer in solids. The proposed method is validated against experimental measurements, showing close agreement in temperature evolution. It also demonstrates robustness across varying geometric scales, thereby confirming its reliability for predicting thermal response. Using this validated method, simulations are performed to analyze the fire behavior of an anchor rod-sealant system. Results show that the burning sealant can raise anchor rod temperatures above 900 °C and lead to rapid flame spread between adjacent rods. Furthermore, a sensitivity analysis of thermophysical parameters identifies critical thresholds for fire safety optimization: sealants with an ignition temperature > 280 °C and thermal conductivity ≥ 0.26 W/(m·K) demonstrate effective self-extinguishing properties, while specific heat capacity can retard flame growth. These findings provide a robust numerical framework and quantitative guidelines for the fire-safe design of bridge anchorage systems. Full article
(This article belongs to the Special Issue Advances in Steel and Composite Structures)
Show Figures

Figure 1

20 pages, 2472 KB  
Article
Filtration System for Reducing CO2 Concentration from Combustion Gases of Used Spark Ignition Engines
by Radu Tarulescu, Stelian Tarulescu, Razvan Gabriel Boboc and Mircea Nastasoiu
Vehicles 2026, 8(1), 19; https://doi.org/10.3390/vehicles8010019 - 15 Jan 2026
Viewed by 515
Abstract
This research paper proposes a solution to reduce CO2 emissions from a spark ignition engine’s exhaust gases by installing a filtration system on the vehicle’s exhaust pipe. The analyzed filtration system was not patented and was in the testing stage. Tests will [...] Read more.
This research paper proposes a solution to reduce CO2 emissions from a spark ignition engine’s exhaust gases by installing a filtration system on the vehicle’s exhaust pipe. The analyzed filtration system was not patented and was in the testing stage. Tests will also be carried out on the stand. The tested system can be used to reduce CO2 levels in automotive exhaust gases and for static applications (generators, internal combustion engine test stands, fossil fuel power generation systems). The need for a system to reduce pollutant emissions emerged with the average age in Europe. In proper conditions, some vehicles can use this type of filtration system. The tested vehicle is a vehicle (produced in 2009) equipped with a 75HP Spark Ignition Engine. The CO2 filtration system consists of a container containing a reactive aqueous solution comprising water, CaO, and MgO. Four tests were performed: the first without a filter, and the other three with the filter placed at different distances from the exhaust pipe end to the reactive solution surface. The tests consisted of evaluating the exhaust gases from the cold start of the engine and running (idle engine speed) until the engine reached the optimal operating temperature. The test procedure involved saving the data collected by the analyzer every 10 s for each of the four tests performed (the duration of a test was 1050 s). The first test (No. 1) was performed without the use of the filtering system. Tests 2, 3, and 4 were carried out using the filtering system and changing the distance between the exhaust gases’ outlet point and the surface of the aqueous substance. All tests were carried out under similar conditions. Data specific to the test of engines were collected—emissions (CO2, CO, NOx), ambient temperature, and exhaust temperature. The tests were analyzed and compared, and the highest CO2 reductions without increases in CO or NOx were observed in Tests 3 and 4. Based on the detailed analysis of the values obtained from the four tests, the system was efficient. The tests will continue on experimental engines from test stands, to develop a prototype filter for primarily static applications with internal combustion engines: test stands for engines and generators, and, after homologation, directly on vehicles. The paper aims to partially solve an important problem—reducing the level of CO2 from the exhaust gases. The presented solution may have applicability in the automotive industry but is also feasible for static applications. Another objective is to reduce emissions from older vehicles, which are widespread in certain regions of Europe and worldwide. Full article
(This article belongs to the Special Issue Intelligent Mobility and Sustainable Automotive Technologies)
Show Figures

Figure 1

22 pages, 5818 KB  
Article
CFD Analysis of the Influence of Some Intake Port Aerodynamic Modification into in-Cylinder Flow Processes and Flame Propagation in the Combustion Chamber of a Spark Ignition IC Engine
by Zoran Masoničić, Radivoje Pešić, Aleksandar Davinić, Slobodan Savić, Ivan Lazović and Siniša Dragutinović
Energies 2026, 19(1), 229; https://doi.org/10.3390/en19010229 - 31 Dec 2025
Viewed by 428
Abstract
It has long been known that inlet port geometry plays a crucial role in regulating in-cylinder flow processes, significantly affecting combustion efficiency and engine emissions. This paper elucidates the effects of an intake port geometry modification, specifically the implementation of a novel moving [...] Read more.
It has long been known that inlet port geometry plays a crucial role in regulating in-cylinder flow processes, significantly affecting combustion efficiency and engine emissions. This paper elucidates the effects of an intake port geometry modification, specifically the implementation of a novel moving deflector to intensify tangential intake flow, on fluid flow patterns, combustion stage, and exhaust emissions in a spark-ignited internal combustion engine. The analysis was performed using multi-dimensional numerical modeling of reactive flow, where the numerical domain was extended to the complete intake system to explicitly encompass the modification. The numerical model was validated against experimental data, showing excellent agreement, with differences in peak in-cylinder pressure and peak rate of heat release (RHR) kept below 3% and the moment of peak pressure being nearly identical to the experimental results. During the induction stroke, the effects of implemented modification through intensification of intake jet were clearly legible, pursued by deflection of smaller side vortices in the vicinity of the bottom dead-center. During compression, the attenuation of the effects of the earlier established macro flow was encountered and some negative effects of the increased intake jet were elucidated. During combustion the existence of “flame dominated fluid flow” controlled primarily by turbulence diffusion was encountered. Negative effects on exhaust emissions were elucidated as well. As the combustion process in spark ignition internal combustion engines is primarily controlled by turbulent diffusion, proper identification of influential types of organized flows is a challenging but very important task. The advantages offered by the application of numerical modeling in these situations are clear. Full article
(This article belongs to the Section I2: Energy and Combustion Science)
Show Figures

Figure 1

22 pages, 4093 KB  
Article
Off-Design Operation of a Carbon Capture Enabler Oxy-Fuel Combustion Engine with O2 Self-Production
by Diego Contreras, Luis Miguel García-Cuevas, Francisco José Arnau, José Ramón Serrano and Fabio Alberto Gutiérrez
Appl. Sci. 2026, 16(1), 77; https://doi.org/10.3390/app16010077 - 21 Dec 2025
Viewed by 596
Abstract
This work examines the behaviour of a spark-ignition engine using oxy-fuel combustion, coupled with an oxygen production cycle based on a mixed ionic-electronic ceramic membrane. Through 1D-0D simulations, two compression ratios are studied: the original ratio of 9.6 and the optimised CR of [...] Read more.
This work examines the behaviour of a spark-ignition engine using oxy-fuel combustion, coupled with an oxygen production cycle based on a mixed ionic-electronic ceramic membrane. Through 1D-0D simulations, two compression ratios are studied: the original ratio of 9.6 and the optimised CR of 20, under various load levels and altitude conditions. The results show that operational limits exist at part-load conditions, where reducing the load without implementing additional control strategies may compromise system performance. It is observed that at low loads, the intake pressure can fall below atmospheric pressure, encouraging the presence of N2 in the combustion process. Additionally, the engine can operate efficiently up to an altitude of 4000 m, although increasing boosting is required to maintain proper membrane conditions. These findings emphasise the importance of load control and the potential need for energy assistance under certain circumstances. Full article
(This article belongs to the Section Energy Science and Technology)
Show Figures

Figure 1

17 pages, 3589 KB  
Article
Simulation Analysis of a Spark-Ignition Engine Fueled with Gasoline and Hydrogen
by Sebastian Bibiloni-Ipata, Santiago Martinez-Boggio, Simona Merola, Adrian Irimescu, Facundo Rivoir and Bruno Frankenstein
Fire 2026, 9(1), 4; https://doi.org/10.3390/fire9010004 - 20 Dec 2025
Viewed by 1088
Abstract
The decarbonization of transport demands efficient, low-carbon alternatives to conventional fuels, particularly in regions where full electrification remains constrained. This study investigates the retrofitting of a 1.3 L Geely MR479Q spark-ignition engine for hydrogen operation, combining experimental measurements and one-dimensional numerical simulations in [...] Read more.
The decarbonization of transport demands efficient, low-carbon alternatives to conventional fuels, particularly in regions where full electrification remains constrained. This study investigates the retrofitting of a 1.3 L Geely MR479Q spark-ignition engine for hydrogen operation, combining experimental measurements and one-dimensional numerical simulations in GT-SUITE. The baseline gasoline model was experimentally validated in 12 operating conditions and extended to the full map. In addition, the fuel was changed in the numerical model, and evaluations of hydrogen combustion through predictive sub-models considering mixture formation and pressure-rise limits were performed. Results show that the hydrogen engine operates stably within a wide air–fuel ratio window (λ = 1.0–2.7), with brake thermal efficiencies peaking at approximately 29%, surpassing gasoline operation by up to 5% in the mid-load range. However, port fuel injections cause a reduction in volumetric efficiency and maximum power output due to air displacement, a limitation that could be mitigated by adopting direct injection. A practical hydrogen conversion kit was defined—including injectors, cold-type spark plugs, electronic throttle, and programmable ECU—and the operational cost was analyzed. Economic parity with gasoline is achieved when hydrogen prices fall below ~6 USD kg−1, aligning with near-term green-hydrogen projections. Overall, the results confirm that predictive numerical calibration can effectively support retrofit design, enabling efficient, low-emission combustion systems for sustainable transport transitions. Full article
Show Figures

Figure 1

Back to TopTop