Sign in to use this feature.

Years

Between: -

Subjects

remove_circle_outline
remove_circle_outline
remove_circle_outline
remove_circle_outline
remove_circle_outline
remove_circle_outline
remove_circle_outline
remove_circle_outline
remove_circle_outline

Journals

Article Types

Countries / Regions

Search Results (138)

Search Parameters:
Keywords = space–time decoupling

Order results
Result details
Results per page
Select all
Export citation of selected articles as:
23 pages, 10150 KB  
Article
Tip Discharge Evolution Characteristics and Mechanism Analysis via Optical–Electrical Sensors in Oil-Immersed Transformers
by Zehao Chen, Yong Qian, Gehao Sheng, Fenghua Wang, Bing Xue, Chunhui Zhang and Chengxiang Liu
Sensors 2026, 26(1), 331; https://doi.org/10.3390/s26010331 - 4 Jan 2026
Viewed by 224
Abstract
Tip discharge in oil-immersed transformers poses a significant threat to insulation integrity. Conventional detection methods, such as gas and electrical analysis, are limited by slow response times or susceptibility to interference. Additionally, the lack of systematic comparisons between aged and fresh oil using [...] Read more.
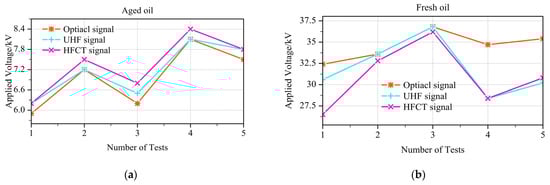
Tip discharge in oil-immersed transformers poses a significant threat to insulation integrity. Conventional detection methods, such as gas and electrical analysis, are limited by slow response times or susceptibility to interference. Additionally, the lack of systematic comparisons between aged and fresh oil using multi-modal signal correlations hinders the development of accurate diagnostic strategies. To address this, a multi-modal sensing platform employing optical, UHF, and HFCT sensors, complemented by visual observation, was developed to investigate the evolution characteristics and mechanisms of tip discharge and to compare the detection effectiveness of these methods. Experimental results reveal that aged oil undergoes a novel four-stage evolution, where discharge signals first rise to a local peak, then experience suppression, followed by a dramatic surge, and finally decline slightly before breakdown. This process is governed by an “Impurity-Assisted Cumulative Breakdown Mechanism,” driven by impurity bridge growth and space charge effects, with signal transitions from ‘decoupling’ to synchronization. The optical sensor demonstrated superior sensitivity in early discharge stages compared to electrical methods. In contrast, fresh oil exhibited a “High-Field-Driven Stochastic Breakdown Mechanism,” with isolated pulses from micro-bubble discharges maintaining a metastable state until a critical threshold triggers instantaneous failure. This study enhances the understanding of how oil condition alters discharge mechanisms and underscores the value of multi-modal sensing for insulation condition assessment. Full article
(This article belongs to the Section Optical Sensors)
Show Figures

Figure 1

20 pages, 1908 KB  
Article
Triple-Flow Dynamic Graph Convolutional Network for Wind Power Forecasting
by Bin Li, Bo Ding, Wei Pang and Hongyin Ni
Symmetry 2025, 17(12), 2026; https://doi.org/10.3390/sym17122026 - 26 Nov 2025
Viewed by 464
Abstract
Wind energy is a clean but intermittent and volatile energy source, and its large-scale integration into power systems poses great challenges to ensuring safe and stable operation and achieving scheduling optimization and effective energy planning of the power systems. Accurate wind power forecasting [...] Read more.
Wind energy is a clean but intermittent and volatile energy source, and its large-scale integration into power systems poses great challenges to ensuring safe and stable operation and achieving scheduling optimization and effective energy planning of the power systems. Accurate wind power forecasting is an effective way to mitigate the impact of wind power instability on power systems. However, wind power data are often in the form of multivariate time series. Existing wind power forecasting research often directly models the temporal and spatial characteristics of coupled wind power time-series data, ignoring the heterogeneity of time and space, thereby limiting the model’s expressive power. To address the above problems, we propose a triple-flow dynamic graph convolutional network (TFDGCN) for short-term wind power forecasting. The proposed TFDGCN is a symmetric dynamic graph neural network with three branches. It decouples and learns features of three different dimensions: within a wind power variable sequence, between sequences, and between wind turbines. The proposed TFDGCN constructs dynamic sparse graphs based on cosine similarities within variable sequences, between variable sequences, and between wind turbine nodes, and feeds them into their respective dynamic graph convolution modules. Afterwards, TFDGCN utilizes linear attention encoders which fuse local position encoding (LePE) and rotational position encoding (RoPE) to learn global dependencies within variable sequences, between sequences, and between wind turbines, and provide prediction results. Extensive experimental results on two real-world datasets demonstrate that the proposed TFDGCN outperforms other state-of-the-art methods. On the SDWPF and SD23 datasets, the proposed TFDGCN achieved mean absolute error values of 37.16 and 14.63, respectively, as well as root mean square error values of 44.84 and 17.56, respectively. Full article
Show Figures

Figure 1

31 pages, 5448 KB  
Article
Research on Board-Level Simultaneous Switching Noise-Suppression Method Based on Seagull Optimization Algorithm
by Shuhao Ma, Jie Li, Shuangchao Ge, Debiao Zhang, Chenjun Hu, Kaiqiang Feng, Xiaorui Zhang and Peng Zhao
Appl. Sci. 2025, 15(22), 12100; https://doi.org/10.3390/app152212100 - 14 Nov 2025
Viewed by 462
Abstract
In recent years, with the development of electronic products toward high frequency and high speed, Printed Circuit Board (PCB) routing technology has been continuously evolving to meet the requirements of complex signal transmission. Meanwhile, the increase in circuit frequency and device density has [...] Read more.
In recent years, with the development of electronic products toward high frequency and high speed, Printed Circuit Board (PCB) routing technology has been continuously evolving to meet the requirements of complex signal transmission. Meanwhile, the increase in circuit frequency and device density has led to a sharp deterioration of simultaneous switching noise (SSN), which has escalated from a minor interference to a core bottleneck. SSN not only impairs signal integrity and increases bit error rate, but also interferes with circuit operation, causes device failure, and even leads to system collapse, becoming a “fatal obstacle” to the performance and reliability of high-frequency products. The SSN problem has become increasingly severe due to the rise in circuit operating frequency and device density, posing a key challenge in high-speed circuit design. To address the challenge of suppressing SSN at the PCB board level in high-speed digital circuits, this paper proposes a collaborative optimization scheme integrating simulation analysis and the Seagull Optimization Algorithm (SOA). In this study, a multi-physical field coupling model of SSN is established to reveal that SSN essentially arises from the electromagnetic interaction between the parasitic inductance of the power distribution network (PDN) and high-speed transient current. Based on the research on frequency-domain impedance analysis, time-domain response prediction, and decoupling capacitor suppression mechanism, the limitations of traditional capacitor placement in suppressing GHz-level high-frequency noise are overcome. This method enables precise power integrity (PI) design via simulation analysis frequency-domain parameter extraction and power–ground noise simulation quantify PDN impedance characteristics and the coprocessor switching current spectrum; resonance analysis locates key frequency points and establishes an SSN–planar resonance correlation model to guide decoupling design; finally, noise coupling analysis optimizes signal–power plane spacing, markedly reducing mutual inductance coupling. On this basis, the SOA is innovatively introduced to construct a multi-objective optimization model, with capacitor frequency, capacitance value, and package size as variables. A spiral search algorithm is used to balance noise-suppression performance and cost constraints. Simulation results show that this scheme can reduce the SSN amplitude by 37.5%, effectively suppressing the signal integrity degradation caused by SSN and providing a feasible solution for SSN suppression. Full article
Show Figures

Figure 1

28 pages, 24418 KB  
Article
PICU Face and Thoracoabdominal Detection Using Self-Supervised Divided Space–Time Mamba
by Mohamed Khalil Ben Salah, Philippe Jouvet and Rita Noumeir
Life 2025, 15(11), 1706; https://doi.org/10.3390/life15111706 - 4 Nov 2025
Viewed by 770
Abstract
Non-contact vital sign monitoring in Pediatric Intensive Care Units is challenged by frequent occlusions, data scarcity, and the need for temporally stable anatomical tracking to extract reliable physiological signals. Traditional detectors produce unstable tracking, while video transformers are too computationally intensive for deployment [...] Read more.
Non-contact vital sign monitoring in Pediatric Intensive Care Units is challenged by frequent occlusions, data scarcity, and the need for temporally stable anatomical tracking to extract reliable physiological signals. Traditional detectors produce unstable tracking, while video transformers are too computationally intensive for deployment on resource-limited clinical hardware. We introduce Divided Space–Time Mamba, an architecture that decouples spatial and temporal feature learning using State Space Models to achieve linear-time complexity, over 92% lower than standard transformers. To handle data scarcity, we employ self-supervised pre-training with masked autoencoders on over 50 k domain-specific video clips and further enhance robustness with multimodal RGB-D input. Our model demonstrates superior performance, achieving 0.96 mAP@0.5, 0.62 mAP50-95, and 0.95 rotated IoU. Operating at 23 FPS (43 ms latency), our method is approximately 1.9× faster than VideoMAE and 5.7× faster than frame-wise YOLOv8, demonstrating its suitability for real-time clinical monitoring. Full article
Show Figures

Figure 1

29 pages, 4584 KB  
Article
An Exploratory Study on Vertical Extension with Inter-Story Isolation as a Sustainable Integrated Seismic and Energy Retrofit Strategy
by Michela Basili, Filippo Busato and Rosaria Parente
Sustainability 2025, 17(21), 9713; https://doi.org/10.3390/su17219713 - 31 Oct 2025
Viewed by 489
Abstract
The sustainable rehabilitation of existing buildings is essential to achieve urban resilience, resource efficiency and seismic risk reduction. This study investigates an integrated retrofit strategy that combines vertical extension with inter-story isolation to simultaneously enhance seismic performance and energy efficiency, creating additional usable [...] Read more.
The sustainable rehabilitation of existing buildings is essential to achieve urban resilience, resource efficiency and seismic risk reduction. This study investigates an integrated retrofit strategy that combines vertical extension with inter-story isolation to simultaneously enhance seismic performance and energy efficiency, creating additional usable space without additional land consumption. The inter-story isolation mechanism reduces seismic demand by decoupling a new and existing structure and introducing beneficial damping effects, whereas vertical extension improves a building’s envelope to reduce energy demands for heating and cooling. A tailored design methodology for integrated intervention is presented, according to which, for the structural part, a two-degrees-of-freedom dynamic model is adopted to design the characteristics of the isolation layer. The methodology is applied to a case-study building located in L’Aquila, Italy, where two alternative vertical extensions, one rigid and one lightweight, are analyzed. Time-history analyses and energy simulations for annual primary energy demand are carried out to assess the structural and thermal performance of the integrated retrofit. The results indicate that the proposed solution can reduce top-floor acceleration by up to 35%, inter-story drift by 30–35%, base shear by over 30% and primary energy demand by 11%, demonstrating its effectiveness in improving both seismic safety and energy performance. The main novelty of this study lies in the systematic integration of inter-story isolation with building envelope enhancement through vertical extension, offering a unified design framework that merges structural and energy retrofitting objectives into a single sustainable intervention. Full article
(This article belongs to the Special Issue Sustainable Building: Renewable and Green Energy Efficiency)
Show Figures

Figure 1

12 pages, 5317 KB  
Article
Interaction of Tropical Easterly Jets over North Africa
by Mark R. Jury
Climate 2025, 13(10), 214; https://doi.org/10.3390/cli13100214 - 17 Oct 2025
Viewed by 702
Abstract
The objective of this study is to determine how easterly jets and associated convections interact over tropical North Africa during the Jul–Sep season, using reanalysis and satellite datasets for 1990–2024. Four indices are formed to describe mid- and upper-level zonal winds, and moist [...] Read more.
The objective of this study is to determine how easterly jets and associated convections interact over tropical North Africa during the Jul–Sep season, using reanalysis and satellite datasets for 1990–2024. Four indices are formed to describe mid- and upper-level zonal winds, and moist convection over the Sahel and India. Time-space regression identifies the large-scale features modulating the easterly jets. Cumulative departures are analyzed and ranked to form composites in east wind/convective phases and weak wind/subsident phases. The upper-level tropical easterly jet accelerates over the Arabian Sea during and after Pacific La Nina and the cool-west Indian Ocean dipole, and shows four year cycling aligned with thermocline oscillations. The mid-level Africa easterly jet strengthens during Atlantic Nino conditions that enhance the Sahel’s convection in the Jul–Sep season. Both jets accelerate when convection spreads west of India, whereas brief spells of decoupling suppress North African crop yields. The case of 15–20 August 2018 is analyzed, when a surge of Indian monsoon convection and tropical easterly jet penetrated the Sahel, leading to widespread uplift and rainfall. Full article
Show Figures

Figure 1

24 pages, 7771 KB  
Article
Cross-Domain OTFS Detection via Delay–Doppler Decoupling: Reduced-Complexity Design and Performance Analysis
by Mengmeng Liu, Shuangyang Li, Baoming Bai and Giuseppe Caire
Entropy 2025, 27(10), 1062; https://doi.org/10.3390/e27101062 - 13 Oct 2025
Viewed by 765
Abstract
In this paper, a reduced-complexity cross-domain iterative detection for orthogonal time frequency space (OTFS) modulation is proposed that exploits channel properties in both time and delay–Doppler domains. Specifically, we first show that in the time-domain effective channel, the path delay only introduces interference [...] Read more.
In this paper, a reduced-complexity cross-domain iterative detection for orthogonal time frequency space (OTFS) modulation is proposed that exploits channel properties in both time and delay–Doppler domains. Specifically, we first show that in the time-domain effective channel, the path delay only introduces interference among samples in adjacent time slots, while the Doppler becomes a phase term that does not affect the channel sparsity. This investigation indicates that the effects of delay and Doppler can be decoupled and treated separately. This “band-limited” matrix structure further motivates us to apply a reduced-size linear minimum mean square error (LMMSE) filter to eliminate the effect of delay in the time domain, while exploiting the cross-domain iteration for minimizing the effect of Doppler by noticing that the time and Doppler are a Fourier dual pair. Furthermore, we apply eigenvalue decomposition to the reduced-size LMMSE estimator, which makes the computational complexity independent of the number of cross-domain iterations, thus significantly reducing the computational complexity. The bias evolution and variance evolution are derived to evaluate the average MSE performance of the proposed scheme, which shows that the proposed estimators suffer from only negligible estimation bias in both time and DD domains. Particularly, the state (MSE) evolution is compared with bounds to verify the effectiveness of the proposed scheme. Simulation results demonstrate that the proposed scheme achieves almost the same error performance as the optimal detection, but only requires a reduced complexity. Full article
Show Figures

Figure 1

15 pages, 378 KB  
Article
Nonlinear Transmission Line: Shock Waves and the Simple Wave Approximation
by Eugene Kogan
Mathematics 2025, 13(19), 3215; https://doi.org/10.3390/math13193215 - 7 Oct 2025
Viewed by 486
Abstract
The transmission lines we consider are constructed from the nonlinear inductors and the nonlinear capacitors. In the first part of the paper we additionally include linear ohmic resistors. Thus, the dissipation being taken into account leads to the existence of shocks—the travelling waves [...] Read more.
The transmission lines we consider are constructed from the nonlinear inductors and the nonlinear capacitors. In the first part of the paper we additionally include linear ohmic resistors. Thus, the dissipation being taken into account leads to the existence of shocks—the travelling waves with different asymptotically constant values of the voltage (the capacitor charge) and the current before and after the front of the wave. For the particular values of ohmic resistances (corresponding to strong dissipation) we obtain the analytic solution for the profile of a shock wave. Both the charge on a capacitor and current through the inductor are obtained as the functions of the time and space coordinate. In the case of weak dissipation, we obtain the stationary dispersive shock waves. In the second part of the paper we consider the nonlinear lossless transmission line. We formulate a simple wave approximation for such transmission line, which decouples left/right-going waves. The approximation can also be used for the lossy transmission line, which is considered in the first part of the paper, to describe the formation of the shock wave (but, of course, not the shock wave itself). Full article
Show Figures

Figure 1

22 pages, 7112 KB  
Article
Azimuth Control of Near-Space Balloon-Borne Gondola Based on Simplified Decoupling Mechanism and Reaction Wheel
by Yijian Li, Jianghua Zhou and Xiaojun Zhang
Aerospace 2025, 12(10), 874; https://doi.org/10.3390/aerospace12100874 - 28 Sep 2025
Viewed by 532
Abstract
During the suspension flight of high-altitude scientific balloons in near-space, they are highly vulnerable to time-varying wind field disturbances, which tend to excite multiple distinctive torsional modes of the balloons themselves, thereby interfering with the observations of balloon-borne equipment. Focusing on the azimuth [...] Read more.
During the suspension flight of high-altitude scientific balloons in near-space, they are highly vulnerable to time-varying wind field disturbances, which tend to excite multiple distinctive torsional modes of the balloons themselves, thereby interfering with the observations of balloon-borne equipment. Focusing on the azimuth control of the balloon-borne gondola, this paper designs a simplified decoupling mechanism and a reaction wheel as actuators. Specifically, the reaction wheel achieves azimuth tracking through angular momentum exchange, while the simplified decoupling mechanism performs the functions of decoupling and unloading. To fully utilize the control performance of the actuating structure, this paper further proposes a control algorithm based on a nonlinear differential tracker and neural network PID. Simulation results demonstrate that under typical wind disturbances and sensor noise conditions, the proposed system exhibits excellent smoothness and high-precision and stable control performance. This research provides a significant basis for stable observation platforms in precise near-space observation missions. Full article
(This article belongs to the Section Astronautics & Space Science)
Show Figures

Figure 1

29 pages, 4292 KB  
Article
A Joint Transformer–XGBoost Model for Satellite Fire Detection in Yunnan
by Luping Dong, Yifan Wang, Chunyan Li, Wenjie Zhu, Haixin Yu and Hai Tian
Fire 2025, 8(10), 376; https://doi.org/10.3390/fire8100376 - 23 Sep 2025
Viewed by 1079
Abstract
Wildfires pose a regularly increasing threat to ecosystems and critical infrastructure. The severity of this threat is steadily increasing. The growing threat necessitates the development of technologies for rapid and accurate early detection. However, the prevailing fire point detection algorithms, including several deep [...] Read more.
Wildfires pose a regularly increasing threat to ecosystems and critical infrastructure. The severity of this threat is steadily increasing. The growing threat necessitates the development of technologies for rapid and accurate early detection. However, the prevailing fire point detection algorithms, including several deep learning models, are generally constrained by the inherent hard threshold limitations in their decision-making logic. As a result, these methods lack adaptability and robustness in complex and dynamic real-world scenarios. To address this challenge, the present paper proposes an innovative two-stage, semi-supervised anomaly detection framework. The framework initially employs a Transformer-based autoencoder, which serves to transform raw fire-free time-series data derived from satellite imagery into a multidimensional deep anomaly feature vector. Self-supervised learning achieves this transformation by incorporating both reconstruction error and latent space distance. In the subsequent stage, a semi-supervised XGBoost classifier, trained using an iterative pseudo-labeling strategy, learns and constructs an adaptive nonlinear decision boundary in this high-dimensional anomaly feature space to achieve the final fire point judgment. In a thorough validation process involving multiple real-world fire cases in Yunnan Province, China, the framework attained an F1 score of 0.88, signifying a performance enhancement exceeding 30% in comparison to conventional deep learning baseline models that employ fixed thresholds. The experimental results demonstrate that by decoupling feature learning from classification decision-making and introducing an adaptive decision mechanism, this framework provides a more robust and scalable new paradigm for constructing next-generation high-precision, high-efficiency wildfire monitoring and early warning systems. Full article
Show Figures

Figure 1

16 pages, 4249 KB  
Article
Defining Robust NVH Requirements for an Electrified Powertrain Mounting System Based on Solution Space During Early Phase of Development
by José G. Cóndor López, Karsten Finger and Sven Herold
Appl. Sci. 2025, 15(18), 10241; https://doi.org/10.3390/app151810241 - 20 Sep 2025
Viewed by 1254
Abstract
Electrification introduces additional NVH (noise, vibration and harshness) challenges during the development of powertrain mounting systems due to high-frequency excitations from the powertrain and the absence of masking effects from the combustion engine. In these frequency ranges, engine mounts can stiffen up to [...] Read more.
Electrification introduces additional NVH (noise, vibration and harshness) challenges during the development of powertrain mounting systems due to high-frequency excitations from the powertrain and the absence of masking effects from the combustion engine. In these frequency ranges, engine mounts can stiffen up to a factor of five due to continuum resonances, reducing their structure-borne sound isolation properties and negatively impacting the customer’s NVH perception. Common hardening factors used during elastomer mount development are therefore limited in terms of their applicable validation frequency range. This study presents a methodology for determining decoupled permissible stiffness ranges for a double-isolated mounting system up to 1500 Hz, based on solution space engineering. Instead of optimizing for a single best design, we seek to maximize solution boxes, resulting in robust stiffness ranges that ensure the fulfillment of the formulated system requirements. These ranges serve as NVH requirements at the component level, derived from the sound pressure level at the seat location. They provide tailored guidelines for mount development, such as geometric design or optimal resonance placement, while simultaneously offering maximum flexibility by spanning the solution space. The integration of machine learning approaches enables the application of large-scale finite-element models within the framework of solution space analysis by reducing the computational time by a factor of 7.19·103. From a design process standpoint, this facilitates frontloading by accelerating the evaluation phase as suppliers can directly benchmark their mounting concepts against the permissible ranges and immediately verify compliance with the defined targets. Full article
(This article belongs to the Special Issue Advances in Dynamic Systems by Smart Structures)
Show Figures

Figure 1

21 pages, 3446 KB  
Article
Optimizing the Enzymatic Hydrolysis of Microchloropsis salina Biomass for Single-Cell Oil Production
by Felix Melcher, Max Schneider, Michael Paper, Marion Ringel, Daniel Garbe and Thomas Brück
Biomass 2025, 5(3), 56; https://doi.org/10.3390/biomass5030056 - 17 Sep 2025
Viewed by 1211
Abstract
There is an increasing industrial demand for sustainable resources for lipid-based biofuels and platform chemical production. A promising, CO2-efficient resource is autotrophically cultivated microalgae, either for direct single-cell oil (SCO) production or as a biomass substrate for fermentative SCO production via [...] Read more.
There is an increasing industrial demand for sustainable resources for lipid-based biofuels and platform chemical production. A promising, CO2-efficient resource is autotrophically cultivated microalgae, either for direct single-cell oil (SCO) production or as a biomass substrate for fermentative SCO production via organisms like yeasts. Regarding the latter, chemical biomass hydrolysis typically results in high sugar yield and high salt concentrations due to the required neutralization prior to fermentation. In contrast, enzymatic hydrolysis is often lacking in mass efficiency. In this study, the enzymatic hydrolysis of both nutrient-replete and lipid-rich autotrophic Microchloropsis salina biomass was optimized, testing different pre-treatments and enzyme activities. Hereby, the protease treatment to weaken the cell wall integrity and the dosing of the Cellic CTec3 was identified to have the highest effect on hydrolysis efficiency. Sugar yields of 63% (nutrient-replete) and almost 100% (lipid-rich) could be achieved. The process was successfully scaled-up in mini bioreactors at a 250 mL scale. The resulting hydrolysate of the lipid-rich biomass was tested as a substrate of the oleaginous yeast Cutaneotrichosporon oleaginosus in a consumption-based acetic acid fed-batch setup. It outperformed both the model substrate and the glucose control, demonstrating the high potential of the hydrolysate as feedstock for yeast oil production. The presented sequential and circular SCO-producing value chain highlights the potential for mass- and space–time-efficient biofuel production, combining the autotrophic cultivation of oleaginous algae with decoupled yeast oil fermentation for the first time. Full article
Show Figures

Graphical abstract

19 pages, 6926 KB  
Article
Dynamic Illumination and Visual Enhancement of Surface Inspection Images of Turbid Underwater Concrete Structures
by Xiaoyan Xu, Jie Yang, Lin Cheng, Chunhui Ma, Fei Tong, Mingzhe Gao and Xiangyu Cao
Sensors 2025, 25(18), 5767; https://doi.org/10.3390/s25185767 - 16 Sep 2025
Viewed by 639
Abstract
Aiming at the problem of image quality degradation caused by turbid water, non-uniform illumination, and scattering effect in the surface defect detection of underwater concrete structures, firstly, the concrete surface images under different shooting distances, different sediment concentrations, and different illumination conditions were [...] Read more.
Aiming at the problem of image quality degradation caused by turbid water, non-uniform illumination, and scattering effect in the surface defect detection of underwater concrete structures, firstly, the concrete surface images under different shooting distances, different sediment concentrations, and different illumination conditions were collected through laboratory experiments to simulate the concrete surface images of a reservoir dam with higher sediment concentration and deeper water depth. On this basis, an underwater image enhancement algorithm named DIVE (Dynamic Illumination and Vision Enhancement) is proposed. DIVE solves the problems of luminance unevenness and color deviation in stages through the illumination–scattering decoupling processing framework, and combines efficient computing optimization to achieve real-time processing. The lighting correction of Gaussian distributions (dynamic illumination module) was processed in stages with suspended particle scattering correction (visual enhancement module), and the bright and dark areas were balanced and color offset was corrected by local gamma correction in Lab space and dynamic decision-making of G/B channel. Through thread pool parallelization, vectorization and other technologies, the real-time requirement can be achieved at the resolution of 1920 × 1080. Tests show that DIVE significantly improves image quality in water bodies with sediment concentration up to 500 g/m3, and is suitable for complex scenes such as reservoirs, oceans, and sediment tanks. Full article
(This article belongs to the Section Sensing and Imaging)
Show Figures

Figure 1

26 pages, 2934 KB  
Article
Unsupervised Learning of Fine-Grained and Explainable Driving Style Representations from Car-Following Trajectories
by Jinyue Yu, Zhiqiang Sun and Chengcheng Yu
Appl. Sci. 2025, 15(18), 10041; https://doi.org/10.3390/app151810041 - 14 Sep 2025
Viewed by 950
Abstract
Fine-grained modeling of driving styles is critical for decision making in autonomous driving. However, existing methods are constrained by the high cost of manual labeling and a lack of interpretability. This study proposes an unsupervised disentanglement framework based on a variational autoencoder (VAE), [...] Read more.
Fine-grained modeling of driving styles is critical for decision making in autonomous driving. However, existing methods are constrained by the high cost of manual labeling and a lack of interpretability. This study proposes an unsupervised disentanglement framework based on a variational autoencoder (VAE), which, for the first time, enables the automatic extraction of interpretable driving style representations from car-following trajectories. The key innovations of this work are threefold: (1) a dual-decoder VAE architecture is designed, leveraging driver identity as a proxy label to guide the learning of the latent space; (2) self-dynamics and interaction dynamics features are decoupled, with an attention mechanism employed to quantify the influence of the lead vehicle; (3) a bidirectional interpretability verification framework is established between latent variables and trajectory behaviors. Evaluated on a car-following dataset comprising 25 drivers, the model achieves a Driver Identification accuracy of 98.88%. Mutual information analysis reveals the physical semantics encoded in major latent dimensions. For instance, latent dimension z22 is strongly correlated with the minimum following distance and car-following efficiency. One-dimensional latent traversal further confirms that individual dimensions modulate specific behavioral traits: increasing z22 improves safety margins by 18% but reduces efficiency by 23%, demonstrating that it encodes a trade-off between safety and efficiency. This work provides a controllable representation framework for driving style transfer in autonomous systems and offers a more granular approach for analyzing driver behavior in car-following scenarios, with potential for extension to broader driving contexts. Full article
(This article belongs to the Section Transportation and Future Mobility)
Show Figures

Figure 1

24 pages, 2033 KB  
Article
UHF RFID Sensing for Dynamic Tag Detection and Behavior Recognition: A Multi-Feature Analysis and Dual-Path Residual Network Approach
by Honggang Wang, Xinyi Liu, Lei Liu, Bo Qin, Ruoyu Pan and Shengli Pang
Sensors 2025, 25(17), 5540; https://doi.org/10.3390/s25175540 - 5 Sep 2025
Cited by 1 | Viewed by 1626
Abstract
To address the challenges of dynamic coupling interference and time-frequency feature degradation in current approaches to Ultra-High-Frequency Radio-Frequency Identification (UHF RFID) behavior recognition, this study proposes a novel behavior recognition method integrating multi-feature analysis with a dual-path residual network. The proposed method mitigates [...] Read more.
To address the challenges of dynamic coupling interference and time-frequency feature degradation in current approaches to Ultra-High-Frequency Radio-Frequency Identification (UHF RFID) behavior recognition, this study proposes a novel behavior recognition method integrating multi-feature analysis with a dual-path residual network. The proposed method mitigates interference by using phase difference methods to eliminate signal errors and cross-correlation, as well as adaptive equalization algorithms to decouple interfering signals. To identify the target tags participating in behavioral interactions, we construct a three-dimensional feature space and apply an improved weighted isolated forest algorithm to detect active tags during interactions. Subsequently, Doppler shift analysis extracts behavioral features, and multiscale wavelet-packet decomposition generates time-frequency representations. The dual-path residual network then fuses global and local features from these time-frequency representations for behavioral classification, thereby identifying interaction behaviors such as ‘taking away’, ‘putting back’, and ‘hesitation’ (characterized by picking up, then putting back). Experimental results demonstrate that the proposed scheme achieves behavioral recognition accuracy of 94% in complex scenarios, significantly enhancing the overall robustness of interaction behavior recognition. Full article
(This article belongs to the Section Sensor Networks)
Show Figures

Graphical abstract

Back to TopTop