Sign in to use this feature.

Years

Between: -

Subjects

remove_circle_outline
remove_circle_outline
remove_circle_outline
remove_circle_outline
remove_circle_outline
remove_circle_outline
remove_circle_outline
remove_circle_outline
remove_circle_outline

Journals

Article Types

Countries / Regions

Search Results (152)

Search Parameters:
Keywords = soil quality vineyard

Order results
Result details
Results per page
Select all
Export citation of selected articles as:
32 pages, 11442 KB  
Article
Microbial Inoculation Differentially Affected the Performance of Field-Grown Young Monastrell Grapevines Under Semiarid Conditions, Depending on the Rootstock
by Pascual Romero, Pablo Botía, Elisa I. Morote, Asunción Morte and Josefa M. Navarro
Agronomy 2025, 15(11), 2570; https://doi.org/10.3390/agronomy15112570 - 7 Nov 2025
Viewed by 214
Abstract
A trial was conducted from 2017 to 2023 in a 0.2 ha irrigated vineyard located in a semiarid area of southeastern Spain, using field-grown young vines (0–6 years old) of Vitis vinifera L. cv. Monastrell grafted onto three rootstocks: 140Ru, 161-49C, and 110R. [...] Read more.
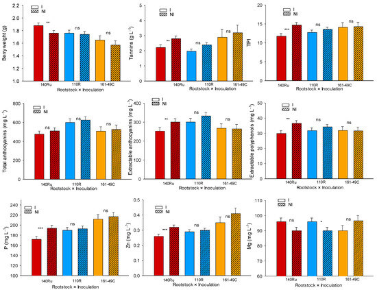
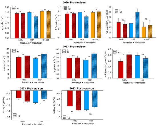
A trial was conducted from 2017 to 2023 in a 0.2 ha irrigated vineyard located in a semiarid area of southeastern Spain, using field-grown young vines (0–6 years old) of Vitis vinifera L. cv. Monastrell grafted onto three rootstocks: 140Ru, 161-49C, and 110R. The main objective was to evaluate the effect of early co-inoculation in the field using commercial microbial inoculants containing arbuscular mycorrhizal fungi (AMF), plant growth-promoting rhizobacteria (PGPR), and a mycorrhizal helper bacterium (MHB) on young vine performance. We assessed the impact of microbial inoculation and its interaction with the rootstock on soil environment, plant water relations, leaf gas exchange, plant nutrition, growth, yield, and berry quality. Mycorrhizal colonization rates in root samples showed similar values in inoculated and non-inoculated vines across all of the rootstocks; however, inoculated vines grafted onto 140Ru showed significantly higher concentrations of total glomalin in the soil compared to their non-inoculated counterparts. Microbial inoculation altered the soil environment, leading to increased oxygen diffusion rate (161-49C), organic matter decomposition rate (140Ru), soil CO2 flux (110R, 140Ru), and soil H2O flux (110R) values in the rhizosphere of inoculated vines. Additionally, inoculated vines grafted onto 140Ru and 161-49C exhibited improved vegetative and reproductive development, enhancing productive water use efficiency (WUEyield), whereas inoculated vines on 110R showed poorer soil–plant water relations, growth, yield, and WUEyield compared to non-inoculated vines. Microbial inoculation also led to a significant decrease in must phenolic content, particularly in 140Ru, unlike 110R and 161-49C. These findings indicate that early microbial inoculation had a rootstock-dependent impact on the performance of young grapevines. Full article
(This article belongs to the Special Issue Plant–Microbiota Interactions Under Abiotic Stress)
Show Figures

Figure 1

17 pages, 1659 KB  
Article
Response of Soil Microbial Biomass and Activity to Cover Crop Incorporation Methods
by Caterina Lucia, Vito Armando Laudicina, Sara Paliaga, Luciano Gristina and Sofia Maria Muscarella
Agronomy 2025, 15(11), 2504; https://doi.org/10.3390/agronomy15112504 - 28 Oct 2025
Viewed by 364
Abstract
Cover crop management in vineyards under a semiarid Mediterranean environment needs strategies that enhance soil C and N status and microbial functioning without increasing disturbance. This study compared cover crops biomass incorporation (harrowing, HR; rotary tillage; RT) and non-incorporation (NI, residues left on [...] Read more.
Cover crop management in vineyards under a semiarid Mediterranean environment needs strategies that enhance soil C and N status and microbial functioning without increasing disturbance. This study compared cover crops biomass incorporation (harrowing, HR; rotary tillage; RT) and non-incorporation (NI, residues left on the topsoil) into the soil in a 12-year Grecanico dorato vineyard. Traditional vineyard soil management (continuously tilled for weeds control) was also used as a control. Soil samples from 0 to 20 and 20 to 40 cm were analyzed for total organic carbon (TOC), total nitrogen (TN), microbial biomass carbon (MBC) and nitrogen (MBN), and enzyme activities. NI and HR raised TOC and TN in the topsoil versus TR, with NI frequently maintaining advantages at depth. NI also maximized MBC/MBN and reduced the metabolic quotient (qCO2), indicating improved microbial C-use efficiency; RT showed intermediate chemistry but depressed subsoil MBC and altered MBC/MBN. Enzyme profiles reflected contrasting mechanisms: RT boosted β-glucosidase in the topsoil, TR peaked for urease and arylsulfatase but alongside lower biomass and higher specific enzyme activities, while NI supported greater overall functioning via larger biomass and lower per-C enzyme demand. The calculated geometric mean enzyme (GMea) index emphasized transient TR flush versus steadier conservation functioning. Strong vertical stratification occurred for all indices, yet NI transmitted some benefits to 20–40 cm. We conclude that residue retention or moderate incorporation promotes larger, more efficient microbial population and more balanced nutrient cycling, whereas repeated rotary tillage risks subsoil inefficiencies. In semi-arid Mediterranean vineyards, low-disturbance cover-crop incorporation (HR) or, preferably, residue retention at the topsoil (NI) offer a simple, scalable route to sustain soil quality and long-term fertility. Full article
(This article belongs to the Special Issue Effects of Agronomic Practices on Soil Properties and Health)
Show Figures

Figure 1

30 pages, 1847 KB  
Review
The Impact of Climate Change on Eastern European Viticulture: A Review of Smart Irrigation and Water Management Strategies
by Alina Constantina Florea, Dorin Ioan Sumedrea, Steliana Rodino, Marian Ion, Vili Dragomir, Anamaria-Mirabela Dumitru, Liliana Pîrcalabu and Daniel Grigorie Dinu
Horticulturae 2025, 11(11), 1282; https://doi.org/10.3390/horticulturae11111282 - 24 Oct 2025
Viewed by 872
Abstract
Climate change poses significant challenges to viticulture worldwide, with Eastern European vineyards experiencing increased water stress due to rising temperatures, irregular precipitation patterns, and prolonged drought periods. These climatic shifts hurt vine phenology, grape quality, and overall productivity. In response, adaptive irrigation strategies [...] Read more.
Climate change poses significant challenges to viticulture worldwide, with Eastern European vineyards experiencing increased water stress due to rising temperatures, irregular precipitation patterns, and prolonged drought periods. These climatic shifts hurt vine phenology, grape quality, and overall productivity. In response, adaptive irrigation strategies such as Regulated Deficit Irrigation (RDI) have gained attention for optimizing water use while preserving grape quality. Concurrently, the adoption of smart agriculture technologies—including soil moisture sensors, automated weather stations, remote sensing, and data-driven decision support systems—enables precise monitoring and real-time management of vineyard water status. This review synthesizes recent studies from Eastern Europe, emphasizing the necessity of integrating climate adaptation measures with intelligent irrigation management to enhance vineyard resilience and sustainability under increasing climate variability. Full article
Show Figures

Figure 1

19 pages, 1118 KB  
Article
Grapevine Phenology, Vegetative and Reproductive Characteristics of Vitis vinifera L. cv Chardonnay in the Cape South Coast Region in South Africa
by Erna Hailey Blancquaert, Emile Tomas Majewski, Sam Crauwels, Zhanwu Dai and Daniel Schorn-García
Agriculture 2025, 15(18), 1981; https://doi.org/10.3390/agriculture15181981 - 19 Sep 2025
Viewed by 552
Abstract
Climate change necessitates the exploration of new, cooler viticultural regions globally. Chardonnay is an early ripening variety which is subjected to temperature extremes. This study aimed to investigate the response of Chardonnay in cool climatic regions in the Cape South Coast region of [...] Read more.
Climate change necessitates the exploration of new, cooler viticultural regions globally. Chardonnay is an early ripening variety which is subjected to temperature extremes. This study aimed to investigate the response of Chardonnay in cool climatic regions in the Cape South Coast region of South Africa over two growing seasons in 2021–2022 and 2022–2023 in three commercial vineyards. An evaluation of the climatic, vegetative and reproductive characteristics was performed. Seasonal variation was the biggest driver of the Growing Degree Days (GDD) at the sites. Overall, the 2021–2022 season was warmer than the 2022–2023 season, but the microclimatic conditions were impacted by the cultivation practices which were applied. The canopy density and total leaf surface varied between the different sites (p < 0.01) and by season × site (p < 0.05). Site and the site × season interaction were the main drivers of the environmental conditions and cultivation practices. Canopy characteristics impacted the sugar accumulation rate over the two seasons. Grape berry transpiration was impacted by the environmental conditions at the sites. Chemical composition varied with soil depth. From the results of our study, although Chardonnay is suitable for cultivation in the Cape South region, site-specific conditions impact fruit development and the quality at harvest. Full article
(This article belongs to the Special Issue Climate Change and Plant Phenology: Challenges for Fruit Production)
Show Figures

Figure 1

25 pages, 2278 KB  
Article
Circular Economy Assessment of Biochar-Enhanced Compost in Viticulture Using Ecocanvas
by Alexy Apolo-Romero, Nieves García-Casarejos and Pilar Gargallo
Agriculture 2025, 15(18), 1932; https://doi.org/10.3390/agriculture15181932 - 11 Sep 2025
Cited by 1 | Viewed by 931 | Correction
Abstract
This study evaluates the application of circular economy principles in the wine sector through a demonstrative case developed within the LIFE Climawin project. The initiative focuses on the local valorization of vineyard residues by producing biochar from vine pruning and using it to [...] Read more.
This study evaluates the application of circular economy principles in the wine sector through a demonstrative case developed within the LIFE Climawin project. The initiative focuses on the local valorization of vineyard residues by producing biochar from vine pruning and using it to enrich compost derived from winemaking by-products and sheep manure. The combined application of these soil amendments aims to improve soil structure, enhance carbon sequestration, and reduce reliance on synthetic fertilizers. A systemic evaluation was conducted using the Ecocanvas methodology—a conceptual framework for mapping circular business models across environmental, economic, and social dimensions. The analysis integrated a targeted literature review, examination of technical data, direct field observations of composting and biochar production, and semi-structured interviews with key stakeholders. Results indicate multiple benefits from localized residue valorization, including improved compost quality, reduced greenhouse gas emissions, potential contributions to long-term soil health, and enhanced resource efficiency. The analysis also highlights economic opportunities, such as reduced dependency on external inputs, and social value creation through local stakeholder engagement. Furthermore, the study identifies factors that enable or constrain the replication and scaling of this model. These findings contribute to frameworks for advancing circular, economically viable, and socially inclusive climate-resilient agricultural systems. Full article
Show Figures

Figure 1

20 pages, 1163 KB  
Article
Biochar Application Methods Matter: Biochemical and Enological Responses of an Italian Field-Grown Grapevine (Vitis vinifera L.) Using Solid and Liquid Formulations
by Riccardo Fedeli, Silvia Celletti and Stefano Loppi
Agronomy 2025, 15(9), 2124; https://doi.org/10.3390/agronomy15092124 - 4 Sep 2025
Viewed by 1502
Abstract
Viticulture is increasingly seeking sustainable practices that enhance grape quality while reducing reliance on synthetic inputs. Among bio-based strategies, biochar has attracted growing interest for its potential to improve soil fertility and influence plant metabolism. However, its effects can vary depending on formulation [...] Read more.
Viticulture is increasingly seeking sustainable practices that enhance grape quality while reducing reliance on synthetic inputs. Among bio-based strategies, biochar has attracted growing interest for its potential to improve soil fertility and influence plant metabolism. However, its effects can vary depending on formulation and application methods. This study evaluated the effects of the use of solid (SB) and liquid biochar (LB) on the biochemical and nutritional composition in leaves, berry skins, and must of a grapevine (Vitis vinifera L., cv. Sangiovese) cultivated in a vineyard in Tuscany (Italy). SB was applied once to the soil at 2.5% (w/w), while LB was applied five times/season at 10% (v/v) via fertigation. Results revealed formulation-specific effects on grapevine physiology and fruit composition. SB maintained leaf chlorophyll concentrations, increased total soluble proteins (+65%), total polyphenols (+57%), and tannin content (+33%) in berry skins and must, and reduced Cu and Zn. Conversely, LB reduced leaf chlorophyll concentrations (−24%) and nutrient contents (P, Fe, Cu, and Zn), but increased total flavonoids (+13%), antioxidant capacity (+20%), and vitamin C (+18%) in berry skins, alongside higher fructose and reducing sugars in musts. The findings highlight biochar’s potential as a bio-based input in viticulture, emphasizing the importance of formulation and application strategy. SB appears suited to long-term soil improvement and enhanced phenolic richness, while LB may modulate sugar metabolism for targeted enological outcomes. Full article
Show Figures

Graphical abstract

22 pages, 2743 KB  
Article
Effects of the Application of Different Types of Vermicompost Produced from Wine Industry Waste on the Vegetative and Productive Development of Grapevine in Two Irrigation Conditions
by Fernando Sánchez-Suárez, María del Valle Palenzuela, Cristina Campos-Vazquez, Inés M. Santos-Dueñas, Víctor Manuel Ramos-Muñoz, Antonio Rosal and Rafael Andrés Peinado
Agriculture 2025, 15(15), 1604; https://doi.org/10.3390/agriculture15151604 - 25 Jul 2025
Viewed by 832
Abstract
This study evaluates the agronomic potential of two types of vermicompost—one produced solely from wine industry residues (WIR) and one incorporating sewage sludge (WIR + SS)—under rainfed and deficit irrigation conditions in Mediterranean vineyards. The vermicompost was obtained through a two-phase process involving [...] Read more.
This study evaluates the agronomic potential of two types of vermicompost—one produced solely from wine industry residues (WIR) and one incorporating sewage sludge (WIR + SS)—under rainfed and deficit irrigation conditions in Mediterranean vineyards. The vermicompost was obtained through a two-phase process involving initial thermophilic pre-composting, followed by vermicomposting using Eisenia fetida for 90 days. The conditions were optimized to ensure aerobic decomposition and maintain proper moisture levels (70–85%) and temperature control. This resulted in end products that met the legal standards required for agricultural use. However, population dynamics revealed significantly higher worm reproduction and biomass in the WIR treatment, suggesting superior substrate quality. When applied to grapevines, WIR vermicompost increased soil organic matter, nitrogen availability, and overall fertility. Under rainfed conditions, it improved vegetative growth, yield, and must quality, with increases in yeast assimilable nitrogen (YAN), sugar content, and amino acid levels comparable to those achieved using chemical fertilizers, as opposed to the no-fertilizer trial. Foliar analyses at veraison revealed stronger nutrient uptake, particularly of nitrogen and potassium, which was correlated with improved oenological parameters compared to the no-fertilizer trial. In contrast, WIR + SS compost was less favorable due to lower worm activity and elevated trace elements, despite remaining within legal limits. These results support the use of vermicompost derived solely from wine residues as a sustainable alternative to chemical fertilizers, in line with the goals of the circular economy in viticulture. Full article
(This article belongs to the Special Issue Vermicompost in Sustainable Crop Production—2nd Edition)
Show Figures

Figure 1

12 pages, 3803 KB  
Article
Partial Substitution of Synthetic Nitrogen with Organic Nitrogen Enhances Soil Fertility, Photosynthesis, and Root Growth of Grapevine Seedlings
by Feng Han, Binxian Jiang, Wenyu Wang, Shuang Wu, Jinggui Wu, Yan Ma and Xiaochi Ma
Nitrogen 2025, 6(3), 49; https://doi.org/10.3390/nitrogen6030049 - 25 Jun 2025
Viewed by 744
Abstract
The overuse of synthetic nitrogen fertilizer in vineyards degrades soil quality and poses environmental risks. Partial substitution of synthetic nitrogen with organic alternatives may enhance grapevine performance and soil sustainability, depending on the substitution rate. This study evaluated the effects of replacing synthetic [...] Read more.
The overuse of synthetic nitrogen fertilizer in vineyards degrades soil quality and poses environmental risks. Partial substitution of synthetic nitrogen with organic alternatives may enhance grapevine performance and soil sustainability, depending on the substitution rate. This study evaluated the effects of replacing synthetic nitrogen with composted spent mushroom substrate at five different rates (0%, 25%, 50%, 75%, and 100%, denoted as NOS, OS-25, OS-50, OS-75, and OS-100, respectively) and a control with no nitrogen fertilization applied (CK), on soil fertility, root growth, and photosynthetic performance in grapevine seedlings. Compared to CK, nitrogen fertilization and organic substitution significantly increased soil electrical conductivity, organic matter, and macronutrient contents, but had no significant effect on soil pH. Organic substitution markedly improved leaf photosynthetic capacity in the summer, with the highest rates observed under OS-25, exceeding CK and NOS by 32.98–63.19% and 13.93–27.38%, respectively. Root growth was also significantly enhanced by organic substitution, with OS-25 exhibiting the best performance. Fine roots in the 0.0–0.5 mm diameter class were dominant, accounting for 56.88–63.06% of total root length and 96.22–97.31% of total root tip count. Increasing substitution rates beyond 25% yielded no further improvements in photosynthesis or root growth. Mantel test analysis indicated strong positive correlations between soil fertility parameters (e.g., alkali-hydrolyzable nitrogen, available phosphorous and potassium) and both photosynthetic efficiency and root growth. These findings suggest that an appropriate substitution rate (i.e., 25%) of organic nitrogen using spent mushroom substrate effectively improves soil fertility, simultaneously optimizing photosynthetic capacity and root growth of grapevine seedlings. Full article
Show Figures

Figure 1

19 pages, 1816 KB  
Article
Aromatic Profiles and Vineyard Location: Uncovering Malvasija Dubrovačka Wines
by Domagoj Ivan Žeravica, Ivana Tomaz, Darko Preiner, Iva Šikuten, Domagoj Stupić, Ana Jeromel and Edi Maletić
Beverages 2025, 11(3), 87; https://doi.org/10.3390/beverages11030087 - 9 Jun 2025
Viewed by 1274
Abstract
The quality and sensory characteristics of wines are influenced by several factors, including grape variety, local climate, soil conditions, viticultural practices, and vintage. This study investigates the volatile organic compounds (VOCs) in Malvasija Dubrovačka wines, which include various chemical groups such as terpenes, [...] Read more.
The quality and sensory characteristics of wines are influenced by several factors, including grape variety, local climate, soil conditions, viticultural practices, and vintage. This study investigates the volatile organic compounds (VOCs) in Malvasija Dubrovačka wines, which include various chemical groups such as terpenes, esters, alcohols, acids, and C13-norisoprenoids. The aim was to investigate how vineyard location and vintage influence the VOC profiles of these wines in two consecutive vintages. Using gas chromatography–mass spectrometry, 54 individual VOCs were identified and quantified. The results showed remarkable differences in the composition of VOCs, especially C13-norisoprenoids, terpenes, and acids, between the two vintages and the studied locations. Principal component analysis showed a significant influence of vineyard location on the composition of Malvasija Dubrovačka wines, a result that was reinforced by conventional descriptive analysis (CDA) of sensory testing. Full article
Show Figures

Figure 1

19 pages, 1842 KB  
Article
A.A.A. Good Wines WANTED: Blockchain, Non-Destructive Ultrasonic Techniques and Soil Health Assessment for Wine Traceability
by Diego Romano Perinelli, Martina Coletta, Beatrice Sabbatini, Aldo D’Alessandro, Fabio Fabiani, Andrea Passacantando, Giulia Bonacucina and Antonietta La Terza
Sensors 2025, 25(11), 3567; https://doi.org/10.3390/s25113567 - 5 Jun 2025
Viewed by 1321
Abstract
The wine industry faces increasing challenges related to authenticity, safety, and sustainability due to recurrent fraud, shifting consumer preferences, and environmental concerns. In this study, as part of the B.I.O.C.E.R.T.O project, we integrated blockchain technology with ultrasonic spectroscopy and soil quality data by [...] Read more.
The wine industry faces increasing challenges related to authenticity, safety, and sustainability due to recurrent fraud, shifting consumer preferences, and environmental concerns. In this study, as part of the B.I.O.C.E.R.T.O project, we integrated blockchain technology with ultrasonic spectroscopy and soil quality data by using the arthropod-based Soil Biological Quality Index (QBS-ar) to enhance traceability, ensure wine quality, and certify sustainable vineyard practices. Four representative wines from the Marche region (Sangiovese, Maceratino, and two Verdicchio PDO varieties) were analyzed across two vintages (2021 and 2022). Ultrasound spectroscopy demonstrated high sensitivity in distinguishing wines based on ethanol and sugar content, comparably to conventional viscosity-based methods. The QBS-ar index was applied to investigate the soil biodiversity status according to the agricultural management practices applied in each vineyard, reinforcing consumer confidence in environmentally responsible viticulture. By recording these data on a public blockchain, we developed a secure, transparent, and immutable certification system to verify the geographical origin of wines along with their unique characteristics. This is the first study to integrate advanced analytical techniques with blockchain technology for wine traceability, simultaneously addressing counterfeiting, consumer demand for transparency, and biodiversity preservation. Our findings support the applicability of this model to other agri-food sectors, with potential for expansion through additional analytical techniques, such as isotopic analysis and further agroecosystem sustainability indicators. Full article
(This article belongs to the Section Chemical Sensors)
Show Figures

Graphical abstract

20 pages, 734 KB  
Article
Effect of Sewage Sludge Compost and Urban Pruning Waste on Agronomic Parameters and Wine Composition in Arid Zones Under Climate Change
by Fernando Sánchez-Suárez, María del Valle Palenzuela, Antonio Rosal and Rafael Andrés Peinado
Fermentation 2025, 11(5), 292; https://doi.org/10.3390/fermentation11050292 - 21 May 2025
Viewed by 942
Abstract
Soil degradation is caused by climate change and some agricultural practices. The use of compost from organic waste can be a sustainable solution, but poses risks to soil, crops and fruit. This article examined vineyard yield, vine and wine composition when compost from [...] Read more.
Soil degradation is caused by climate change and some agricultural practices. The use of compost from organic waste can be a sustainable solution, but poses risks to soil, crops and fruit. This article examined vineyard yield, vine and wine composition when compost from sewage sludge and urban waste was applied to two soils. One rainfed plot received 80 UFN kg/ha, while two irrigated plots received 40 and 80 UFN kg/ha. Compared to mineral fertilizer, compost increased crop yield (+60% in rainfed conditions) and above-ground biomass (+15% in rainfed conditions). Aromatic series were obtained by grouping the aroma compounds according to their aroma descriptor. In both rainfed and irrigated trials, higher values were observed in the fruity, green, waxy and floral series in wines from vines fertilized with compost compared to the control and chemical fertilization. The compounds with a higher influence in such series were ethyl butanoate, ethyl hexanoate, ethyl octanoate, hexanal, phenylacetaldehyde and 2-phenylethanol. Organoleptically, wines from compost were preferred to those from mineral fertilizer, with ratings close to the control wine, particularly in aroma, flavor and overall impression. Although further studies are needed, compost fertilization appears on the one hand to improve wine quality and, on the other hand, is a suitable alternative that reduces municipal waste. Full article
(This article belongs to the Special Issue Sustainable Grape Production, Climate Change, and Wine Quality)
Show Figures

Figure 1

21 pages, 713 KB  
Article
The Kind of Fertilization and Type of Soil Tillage Affect Soil Fertility and Foliar Nutrient Concentrations in an Experimental Vineyard of Kefalonia
by Theocharis Chatzistathis, Virginia Sarropoulou, Athanasios Fragkos, Eirini Katsalirou, Ioannis Daskalakis, Katerina Biniari, Gerasimos Danalatos and Areti Bountla
Environments 2025, 12(5), 160; https://doi.org/10.3390/environments12050160 - 12 May 2025
Viewed by 761
Abstract
Our study was based on the premise that the type of soil tillage and the kind of fertilization significantly affect soil properties, nutrient availability, and uptake by Vitis vinifera L. (cv. ‘Robola’) plants. For this purpose, a two-year field experiment was conducted, in [...] Read more.
Our study was based on the premise that the type of soil tillage and the kind of fertilization significantly affect soil properties, nutrient availability, and uptake by Vitis vinifera L. (cv. ‘Robola’) plants. For this purpose, a two-year field experiment was conducted, in a 2 × 3 factorial (i.e., two types of soil tillage-conventional and reduced and three kinds of fertilization-conventional, controlled N release and organic), with six treatments derived from the combination of the two tillage and the three fertilization methods. The results showed that the organic matter content (%), as well as the exchangeable Mg, were significantly influenced by the type of tillage. The kind of fertilization affected soil nitrate and leaf N (lower values in the organic fertilization) and P concentrations (higher values in the organic fertilization). Regarding the effect of the type of tillage, foliar Mg was significantly higher in the conventional soil tillage. Finally, both the type of tillage and kind of fertilization significantly affected leaf Zn. Overall, these data show the importance of innovative dual co-application of pomace (an organic by-product of the wine industry) with reduced soil tillage on soil properties and plant nutrition. Thus, it is expected to gain environmental, ecological, and economic benefits for wine producers and also to improve vineyards’ sustainability and protected designation of origin (PDO) wine quality under the challenges provoked by climatic and recent energy crises. Full article
(This article belongs to the Special Issue Coping with Climate Change: Fate of Nutrients and Pollutants in Soil)
Show Figures

Figure 1

16 pages, 636 KB  
Review
The Vineyard Microbiome: How Climate and the Main Edaphic Factors Shape Microbial Communities
by Vanessa Silva, Isabel Brito and Ana Alexandre
Microorganisms 2025, 13(5), 1092; https://doi.org/10.3390/microorganisms13051092 - 8 May 2025
Cited by 2 | Viewed by 1770
Abstract
The soil microbiome is a complex system that encompasses millions of microbes including archaea, bacteria, fungi, protozoa and viruses. The role of abiotic factors is crucial in shaping the distribution patterns of microorganisms, its abundance and also the interactions between species, from local [...] Read more.
The soil microbiome is a complex system that encompasses millions of microbes including archaea, bacteria, fungi, protozoa and viruses. The role of abiotic factors is crucial in shaping the distribution patterns of microorganisms, its abundance and also the interactions between species, from local to the global level. In the particular case of the vineyard, the microbial communities have a potential impact in both the grapevine development and health and, later on, in the grape production and quality. The present review focuses on how the composition of soil microbial communities is influenced by climate and several edaphic factors, such as soil moisture, soil nutrients and soil pH. It also discusses the role of microorganisms and their metabolic activity on the fermentation process, influencing the sensorial characterisation of the wine and suggesting the definition of a microbial terroir. Full article
Show Figures

Figure 1

21 pages, 5554 KB  
Article
The Impact of Vineyard Mulch on Soil Quality and Biological Diversity
by Xinyao Duan, Tingting Luo, Yinting Ding, Xing Han, Hua Li and Hua Wang
Agriculture 2025, 15(9), 927; https://doi.org/10.3390/agriculture15090927 - 24 Apr 2025
Cited by 1 | Viewed by 826
Abstract
In vineyard mulching research, using biodegradable liquid mulch represents a novel and environmentally conscious approach to mulching. In comparison, grapevine branch return has been identified as the most effective mulching method. The effects of in-row mulching with two materials, biodegradable liquid film (BLF) [...] Read more.
In vineyard mulching research, using biodegradable liquid mulch represents a novel and environmentally conscious approach to mulching. In comparison, grapevine branch return has been identified as the most effective mulching method. The effects of in-row mulching with two materials, biodegradable liquid film (BLF) and grapevine branches (GBM), on soil properties and microbial communities in the vineyard were assessed using a one-way horizontal block test with tillage as a control. The results indicated that the application of mulching resulted in a reduction in soil bulk weight; an increase in soil moisture; an enhancement in soil organic matter; and a notable elevation in soil nutrients content compared to the control treatment. Both mulching techniques increased the abundance and diversity of soil microorganisms, strongly correlated with soil physicochemical properties. The correlation analysis demonstrated that total organic carbon (TOC); total nitrogen (TN); total potassium (TK); nitrate nitrogen (NN); and available phosphorus (AP) had the most significant impact on shaping the microbial community, exhibiting a positive correlation with microbial diversity. Additionally, soil nutrients were identified to exert a more pronounced influence on the composition of the bacterial community. Full article
(This article belongs to the Section Agricultural Soils)
Show Figures

Figure 1

19 pages, 350 KB  
Review
Reuse of Treated Wastewater to Address Water Scarcity in Viticulture: A Comprehensive Review
by Cátia Sofia Costa, Cristina Carlos, Ana Alexandra Oliveira and Ana Novo Barros
Agronomy 2025, 15(4), 941; https://doi.org/10.3390/agronomy15040941 - 12 Apr 2025
Viewed by 1989
Abstract
Water scarcity has become an increasingly critical global issue, affecting various sectors, including industrial, domestic, and particularly agriculture. Agriculture, as the largest consumer of water due to its substantial water requirements for food production, faces significant challenges, which are expected to intensify with [...] Read more.
Water scarcity has become an increasingly critical global issue, affecting various sectors, including industrial, domestic, and particularly agriculture. Agriculture, as the largest consumer of water due to its substantial water requirements for food production, faces significant challenges, which are expected to intensify with the growth of the global population. As a result, many countries have begun to explore innovative solutions to address this pressing problem, one of which is the reuse of wastewater for irrigation purposes. This approach has gained particular attention in viticulture, where water consumption is high, and the need for sustainable practices is paramount. This paper delves into the issue of water scarcity, focusing specifically on the winemaking sector. It reviews several studies investigating the potential of wastewater reuse for irrigating vineyards, highlighting both the promising benefits and the challenges associated with this practice. The findings suggest that using treated wastewater for irrigation in viticulture offers a viable solution to mitigate water shortages, particularly in regions facing severe droughts or limited freshwater resources. However, the successful implementation of this approach requires careful monitoring and management of several factors, including soil quality, plant health, fruit development, and the final wine product. Ensuring the safety and quality of the wine, as well as safeguarding consumer health, necessitates rigorous oversight to prevent any negative impacts from the use of reclaimed water. Full article
(This article belongs to the Special Issue New Insights in Crop Management to Respond to Climate Change)
Back to TopTop