Partial Substitution of Synthetic Nitrogen with Organic Nitrogen Enhances Soil Fertility, Photosynthesis, and Root Growth of Grapevine Seedlings
Abstract
1. Introduction
2. Materials and Methods
2.1. Experimental Site and Focal Species
2.2. Experimental Design
2.3. Soil Property Measurements
2.4. Leaf Gas Exchange
2.5. Root Phenotyping
2.6. Statistical Analyses
3. Results
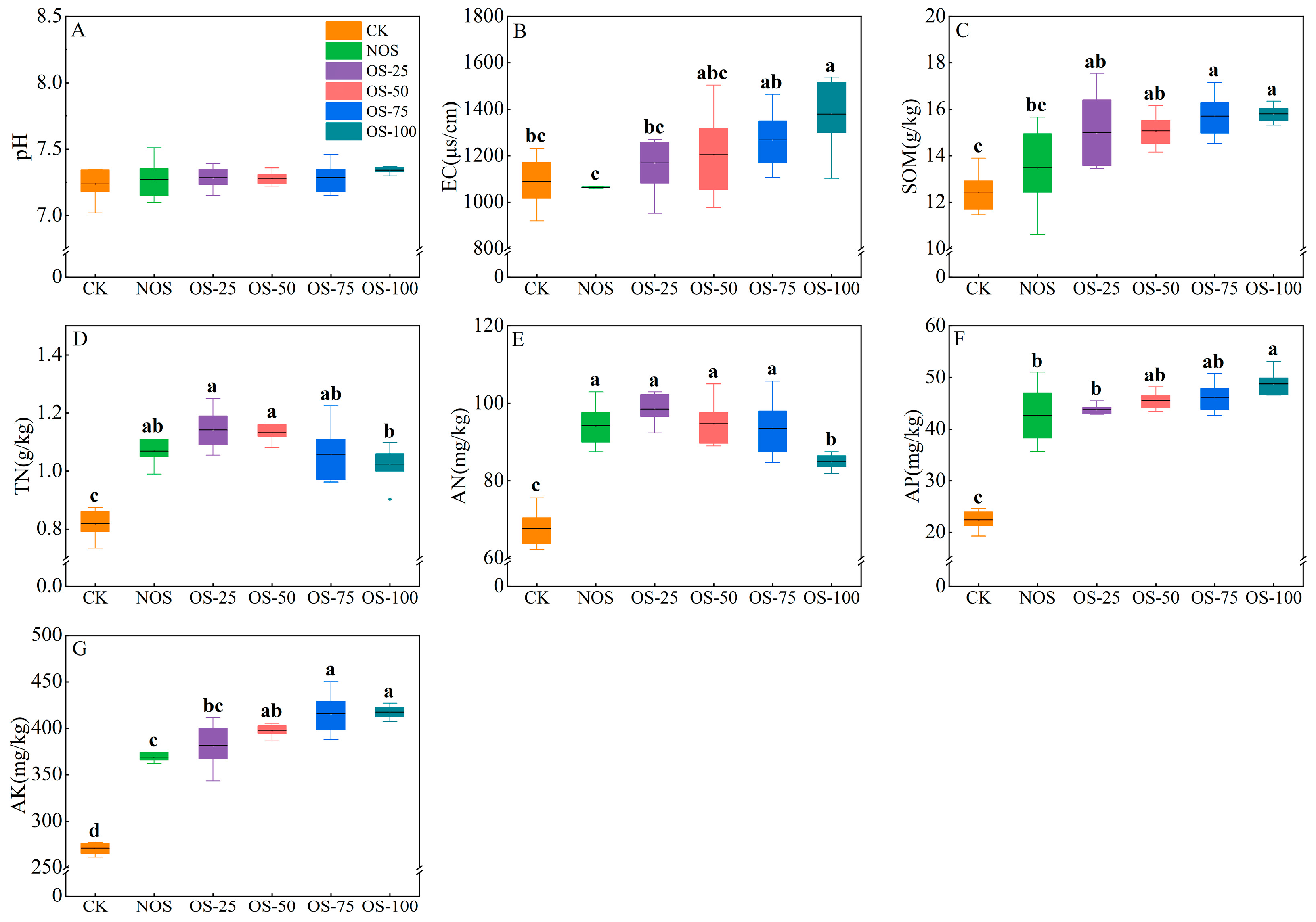
3.1. Soil Chemical Properties Under Different Organic Substitution Ratios
3.2. Leaf Gas Exchange Under Different Organic Substitution Ratios
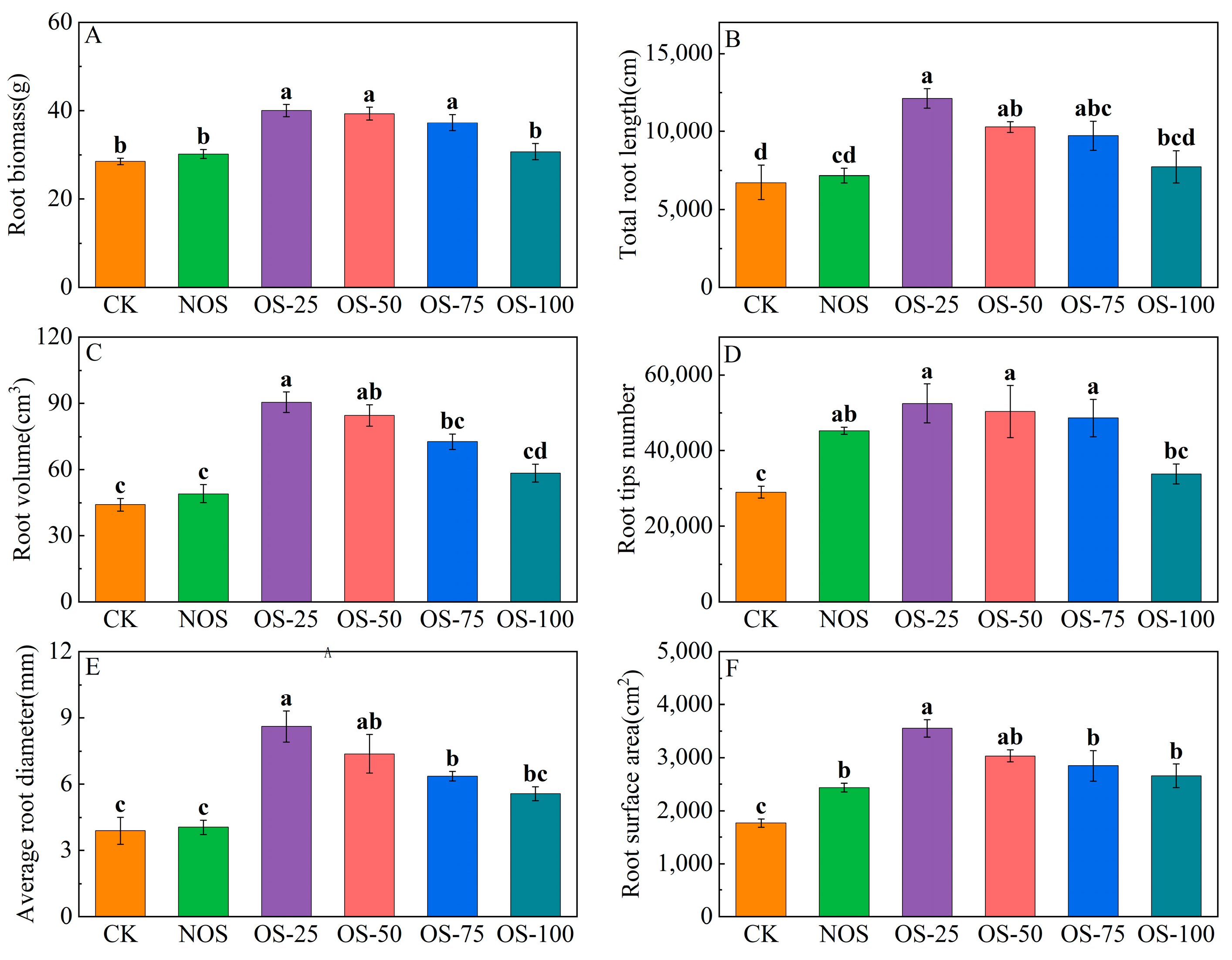
3.3. Root Growth Under Different Organic Substitution Ratios
3.4. Correlations Between Soil Chemical Properties, Photosynthesis, and Root Growth of Grapevine Seedlings
4. Discussion
5. Conclusions
Supplementary Materials
Author Contributions
Funding
Data Availability Statement
Conflicts of Interest
References
- OIV. World Statistics. Available online: https://www.oiv.int/what-we-do/statistics (accessed on 26 April 2025).
- Zhou, D.D.; Li, J.H.; Xiong, R.G.; Saimaiti, A.; Huang, S.Y.; Wu, S.X.; Yang, Z.J.; Shang, A.; Zhao, C.N.; Gan, R.Y.; et al. Bioactive Compounds, Health benefits and food applications of grape. Foods 2022, 11, 2755. [Google Scholar] [CrossRef]
- FAO. FAOSTAT Data. Available online: https://www.fao.org/faostat/en/#data (accessed on 26 April 2025).
- Zhang, W.F.; Dou, Z.X.; He, P.; Ju, X.T.; Powlson, D.; Chadwick, D.; Norse, D.; Lu, Y.L.; Zhang, Y.; Wu, L.; et al. New technologies reduce greenhouse gas emissions from nitrogenous fertilizer in China. Proc. Natl. Acad. Sci. USA 2013, 110, 8375–8380. [Google Scholar] [CrossRef]
- Xu, P.S.; Li, Z.T.; Wang, J.Y.; Zou, J.W. Fertilizer-induced nitrous oxide emissions from global orchards and its estimate of China. Agric. Ecosyst. Environ. 2022, 328, 107854. [Google Scholar] [CrossRef]
- Lv, F.L.; Song, J.S.; Giltrap, D.; Feng, Y.T.; Yang, X.Y.; Zhang, S.L. Crop yield and N2O emission affected by long-term organic manure substitution fertilizer under winter wheat-summer maize cropping system. Sci. Total Environ. 2020, 732, 139321. [Google Scholar] [CrossRef]
- Wan, L.; Zhao, Y.M.; Xia, L.L.; Hu, J.; Xue, T.X.; Lv, H.F.; Yao, Z.S.; Meng, F.Q.; Li, G.Y.; Lin, S.; et al. Assessing the environmental sustainability of different soil disinfestation methods used in solar greenhouse vegetable production systems. Sci. Total Environ. 2023, 885, 163962. [Google Scholar] [CrossRef]
- Liu, Z.X.; Wang, S.S.; Xue, B.; Li, R.D.; Geng, Y.; Yang, T.H.; Li, Y.L.; Dong, H.J.; Luo, Z.H.; Tao, W.K.; et al. Emergy-based indicators of the environmental impacts and driving forces of non-point source pollution from crop production in China. Ecol. Indic. 2021, 121, 107023. [Google Scholar] [CrossRef]
- Kamran, M.; Huang, L.; Nie, J.; Geng, M.J.; Lu, Y.H.; Liao, Y.L.; Zhou, F.L.; Xu, Y.H. Effect of reduced mineral fertilization (NPK) combined with green manure on aggregate stability and soil organic carbon fractions in a fluvo-aquic paddy soil. Soil Tillage Res. 2021, 211, 105005. [Google Scholar] [CrossRef]
- Feng, H.D.; Chen, H.Y.; Dang, Z.G.; Ni, B.; He, C.C.; Wei, Z.Y.; Chen, Y.Y. Soil properties, leaf nutrients and fruit quality response to substituting chemical fertilizer with organic manure in a mango orchard. Appl. Ecol. Environ. Res. 2020, 18, 4025–4033. [Google Scholar] [CrossRef]
- Li, Q.; Chen, Y.A.; Zhu, J.D.; Liu, L.Z.; Liu, J.; Cheng, C.Z.; Li, L. Effects of organic substitution on the yield and quality of apples and residual nitrate-N leaching in soil. Agronomy 2024, 14, 415. [Google Scholar] [CrossRef]
- Yan, Y.Y.; Zhang, X.R.; Liu, Y.; Hou, L.; Geng, Z.C.; Hu, F.A.; Xu, C.Y. Impact of organic fertilizer substitution and chemical nitrogen fertilizer reduction on soil enzyme activity and microbial communities in an apple orchard. Agronomy 2024, 14, 2917. [Google Scholar] [CrossRef]
- Qiu, F.Y.; Liu, W.H.; Chen, L.; Wang, Y.; Ma, Y.Y.; Lyu, Q.; Yi, S.L.; Xie, R.J.; Zheng, Y.Q. Bacillus subtilis biofertilizer application reduces chemical fertilization and improves fruit quality in fertigated tarocco blood orange groves. Sci. Hortic. 2021, 281, 110004. [Google Scholar] [CrossRef]
- Wan, L.J.; Tian, Y.; He, M.; Zheng, Y.Q.; Lyu, Q.; Xie, R.J.; Ma, Y.Y.; Deng, L.; Yi, S.L. Effects of chemical fertilizer combined with organic fertilizer application on soil properties, citrus growth physiology, and yield. Agriculture 2021, 11, 1207. [Google Scholar] [CrossRef]
- Yang, G.T.; Ma, Y.; Xu, W.Y.; Ma, X.C.; Lu, C. Spent mushroom substrate as a substitute for chemical fertilizer changes N-cycling genes and reduces N2O emission in different textured soils. Biol. Fertil. Soils 2024, 60, 87–99. [Google Scholar] [CrossRef]
- Mushroom Market Size, Share & Industry Analysis, by Type (Button Mushroom, Shiitake Mushroom, Oyster Mushroom, and Others), form (Fresh Mushroom, Frozen Mushroom, Dried Mushroom, and Canned Mushroom), and Regional Forecast 2024–2032. Fortune Business Insights. 2025. Available online: https://www.fortunebusinessinsights.com/industry-reports/mushroom-market-100197 (accessed on 25 April 2025).
- Williams, B.C.; McMullan, J.T.; McCahey, S. An initial assessment of spent mushroom compost as a potential energy feedstock. Bioresour. Technol. 2001, 79, 227–230. [Google Scholar] [CrossRef]
- Atallah, E.; Zeaiter, J.; Ahmad, M.N.; Leahy, J.J.; Kwapinski, W. Hydrothermal carbonization of spent mushroom compost waste compared against torrefaction and pyrolysis. Fuel Process. Technol. 2021, 216, 106795. [Google Scholar] [CrossRef]
- Medina, E.; Paredes, C.; Bustamante, M.A.; Moral, R.; Moreno-Caselles, J. Relationships between soil physico-chemical, chemical and biological properties in a soil amended with spent mushroom substrate. Geoderma 2012, 173, 152–161. [Google Scholar] [CrossRef]
- Zeng, G.Y.; Liu, Z.H.; Guo, Z.L.; He, J.F.; Ye, Y.Y.; Xu, H.Q.; Hu, T. Compost with spent mushroom substrate and chicken manure enhances rice seedling quality and reduces soil-borne pathogens. Environ. Sci. Pollut. Res. 2023, 30, 77743–77756. [Google Scholar] [CrossRef] [PubMed]
- Leong, Y.K.; Ma, T.W.; Chang, J.S.; Yang, F.C. Recent advances and future directions on the valorization of spent mushroom substrate (SMS): A review. Bioresour. Technol. 2022, 344, 126157. [Google Scholar] [CrossRef]
- Yu, Z.; Guo, B.; Sun, T.; Li, R.; Zhao, Z.C.; Yao, L. Effects of organic fertilizer substitution for mineral fertilizer on soil fertility, yield, and quality of muskmelons. Agronomy 2025, 15, 639. [Google Scholar] [CrossRef]
- Yang, G.T.; Ma, Y.; Ma, X.C.; Wang, X.Q.; Lu, C.; Xu, W.Y.; Luo, J.; Guo, D.J. Changes in soil organic carbon components and microbial community following spent mushroom substrate application. Front. Microbiol. 2024, 15, 1351921. [Google Scholar] [CrossRef]
- Luo, G.W.; Li, L.; Friman, V.P.; Guo, J.J.; Guo, S.W.; Shen, Q.R.; Ling, N. Organic amendments increase crop yields by improving microbe-mediated soil functioning of agroecosystems: A meta-analysis. Soil Biol. Biochem. 2018, 124, 105–115. [Google Scholar] [CrossRef]
- Garzón, E.; González-Andrés, F.; García-Martínez, V.M.; de Paz, J.M. Mineralization and nutrient release of an organic fertilizer made by flour, meat, and crop residues in two vineyard soils with different pH levels. Commun. Soil Sci. Plant Anal. 2011, 42, 1485–1496. [Google Scholar] [CrossRef]
- Flexas, J.; Carriquí, M. Photosynthesis and photosynthetic efficiencies along the terrestrial plant′s phylogeny: Lessons for improving crop photosynthesis. Plant J. 2020, 101, 964–978. [Google Scholar] [CrossRef] [PubMed]
- Chen, R.; Chang, H.D.; Wang, Z.H.; Lin, H.X. Determining organic-inorganic fertilizer application threshold to maximize the yield and quality of drip-irrigated grapes in an extremely arid area of Xinjiang, China. Agric. Water Manag. 2022, 276, 108070. [Google Scholar] [CrossRef]
- Trivedi, P.; Leach, J.E.; Tringe, S.G.; Sa, T.; Singh, B.K. Author Correction: Plant–microbiome interactions: From community assembly to plant health. Nat. Rev. Microbiol. 2021, 19, 72. [Google Scholar] [CrossRef] [PubMed]
- Ma, L.; Li, Z.S.; Li, Y.; Wei, J.L.; Zhang, L.F.; Zheng, F.L.; Liu, Z.H.; Tan, D.S. Variations in crop yield caused by different ratios of organic substitution are closely related to microbial ecological clusters in a fluvo-aquic soil. Field Crops Res. 2024, 306, 109239. [Google Scholar] [CrossRef]
- Qiu, L.; Li, Y.; Zhong, Q.; Ma, W.; Kuang, Y.; Zhou, S.; Chen, G.; Xie, J.; Hu, H.; Chen, Y. Adaptation mechanisms of the soil microbial community under stoichiometric imbalances and nutrient-limiting conditions in a subtropical nitrogen-saturated forest. Plant Soil 2023, 489, 239–258. [Google Scholar] [CrossRef]
- Ma, X.C.; Han, F.; Yang, G.T.; Wu, J.G.; Ma, Y. Enhanced soil ecosystem multifunctionality and microbial community shifts following spent mushroom substrate application in vineyards. Appl. Soil. Ecol. 2025, 213, 106230. [Google Scholar] [CrossRef]
- Pu, X.Z.; Zhang, G.J.; Zhang, P.P.; Liu, Y.J.; Zhang, W.F. Effects of straw management, inorganic fertiliser, and manure amendment on soil microbial properties, nutrient availability, and root growth in a drip-irrigated cotton field. Crop Pasture Sci. 2016, 67, 1297–1308. [Google Scholar] [CrossRef]
- Ruan, S.Y.; Wu, F.D.; Lai, R.F.; Tang, X.R.; Luo, H.W.; He, L.X. Preliminary application of vermicompost in rice production: Effects of nursery raising with vermicompost on fragrant rice performances. Agronomy 2021, 11, 1253. [Google Scholar] [CrossRef]





| Soil Texture | pH | EC (μS cm−1) | SOM (g kg−1) | TN (g kg−1) | Available N (mg kg−1) | Available P (mg kg−1) | Available K (mg kg−1) |
|---|---|---|---|---|---|---|---|
| Loam | 7.19 | 515.3 | 13.2 | 1.06 | 77.29 | 35.16 | 154 |
| Treatment | Application Rate of SMS | Organic N Input | Inorganic N Input | Total N Input of Base Fertilizer |
|---|---|---|---|---|
| CK | 0 | 0 | 0 | 0 |
| NOS | 0 | 0 | 0.36 | 0.36 |
| OS-25 | 3.97 | 0.09 | 0.27 | 0.36 |
| OS-50 | 7.95 | 0.18 | 0.18 | 0.36 |
| OS-75 | 11.92 | 0.27 | 0.09 | 0.36 |
| OS-100 | 15.90 | 0.36 | 0 | 0.36 |
Disclaimer/Publisher’s Note: The statements, opinions and data contained in all publications are solely those of the individual author(s) and contributor(s) and not of MDPI and/or the editor(s). MDPI and/or the editor(s) disclaim responsibility for any injury to people or property resulting from any ideas, methods, instructions or products referred to in the content. |
© 2025 by the authors. Licensee MDPI, Basel, Switzerland. This article is an open access article distributed under the terms and conditions of the Creative Commons Attribution (CC BY) license (https://creativecommons.org/licenses/by/4.0/).
Share and Cite
Han, F.; Jiang, B.; Wang, W.; Wu, S.; Wu, J.; Ma, Y.; Ma, X. Partial Substitution of Synthetic Nitrogen with Organic Nitrogen Enhances Soil Fertility, Photosynthesis, and Root Growth of Grapevine Seedlings. Nitrogen 2025, 6, 49. https://doi.org/10.3390/nitrogen6030049
Han F, Jiang B, Wang W, Wu S, Wu J, Ma Y, Ma X. Partial Substitution of Synthetic Nitrogen with Organic Nitrogen Enhances Soil Fertility, Photosynthesis, and Root Growth of Grapevine Seedlings. Nitrogen. 2025; 6(3):49. https://doi.org/10.3390/nitrogen6030049
Chicago/Turabian StyleHan, Feng, Binxian Jiang, Wenyu Wang, Shuang Wu, Jinggui Wu, Yan Ma, and Xiaochi Ma. 2025. "Partial Substitution of Synthetic Nitrogen with Organic Nitrogen Enhances Soil Fertility, Photosynthesis, and Root Growth of Grapevine Seedlings" Nitrogen 6, no. 3: 49. https://doi.org/10.3390/nitrogen6030049
APA StyleHan, F., Jiang, B., Wang, W., Wu, S., Wu, J., Ma, Y., & Ma, X. (2025). Partial Substitution of Synthetic Nitrogen with Organic Nitrogen Enhances Soil Fertility, Photosynthesis, and Root Growth of Grapevine Seedlings. Nitrogen, 6(3), 49. https://doi.org/10.3390/nitrogen6030049

