Sign in to use this feature.

Years

Between: -

Subjects

remove_circle_outline
remove_circle_outline
remove_circle_outline
remove_circle_outline
remove_circle_outline
remove_circle_outline
remove_circle_outline
remove_circle_outline
remove_circle_outline

Journals

Article Types

Countries / Regions

remove_circle_outline
remove_circle_outline
remove_circle_outline
remove_circle_outline

Search Results (719)

Search Parameters:
Keywords = soil phosphatase

Order results
Result details
Results per page
Select all
Export citation of selected articles as:
20 pages, 1159 KB  
Article
Assessing the Impact of Pontederia crassipes Extracts on the Saprophytic Soil Fungus Trametes versicolor: Implications for Agricultural Use
by Cátia Venâncio, Ana Ramisote, Pedro Pato and Carla Patinha
Agronomy 2025, 15(12), 2921; https://doi.org/10.3390/agronomy15122921 - 18 Dec 2025
Abstract
Invasive species are a recurring global problem, and the water hyacinth (Pontederia crassipes) is a well-known example. Various strategies have been explored to manage its spread, including its use as an agricultural amendment. However, when P. crassipes biomass is incorporated into [...] Read more.
Invasive species are a recurring global problem, and the water hyacinth (Pontederia crassipes) is a well-known example. Various strategies have been explored to manage its spread, including its use as an agricultural amendment. However, when P. crassipes biomass is incorporated into soil and undergoes degradation, it may increase soil conductivity and promote metal leaching, potentially affecting soil biota, particularly microbiota. Saprophytic fungi play a key role in the decomposition and renewal of organic matter, and their resilience to stressors is crucial for maintaining soil function. Thus, the aim of this study was to evaluate the effects of P. crassipes biomass extracts on the saprophytic fungus Trametes versicolor by evaluating fungal growth and metabolic changes [including sugar content, phosphatase enzymatic activity, and reactive oxygen species (ROS) production]. The fungus was exposed for 8 days to a dilution series of extracts (100%—undiluted, to 3.13%) prepared from P. crassipes biomass collected at five locations in Portuguese wetlands. Two sites were in the south, within a Mediterranean climate (Sorraia and Estação Experimental António Teixeira), and three were in the north, within an Atlantic climate (São João de Loure, Pateira de Fermentelos, and Vila Valente), representing both agricultural-runoff–impacted areas and recreational zones. Extracts were used to simulate a worst-case scenario. All extracts have shown high conductivity (≥15.4 mS/cm), and several elements have shown a high soluble fraction (e.g., K, P, As, or Ba), indicating substantial leaching from the biomass to the extracts. Despite this, T. versicolor growth rates were generally not inhibited, except for exposure to the São João de Loure extract, where an EC50 of 45.3% (extract dilution) was determined and a significant sugar content decrease was observed at extract concentrations ≥25%. Possibly due to the high phosphorous leachability, both acid and alkaline phosphatase activities increased significantly at the highest percentages tested (50% and 100%). Furthermore, ROS levels increased with increasing extract concentrations, yet marginal changes were observed in growth rates, suggesting that T. versicolor may efficiently regulate its intracellular redox balance under stress conditions. Overall, these findings indicate that the degradation of P. crassipes biomass in soils, while altering chemical properties and releasing soluble elements, may not impair and could even boost microbiota, namely saprophytic fungi. This resilience highlights the potential ecological benefit of saprophytic fungi in accelerating the decomposition of invasive plant residues and contribution to soil nutrient cycling and ecosystem recovery. Full article
Show Figures

Figure 1

15 pages, 785 KB  
Article
Enhancing Soil Biological Health in a Rice–Wheat Cropping Sequence Using Rock Phosphate-Enriched Compost and Microbial Inoculants
by Kasturikasen Beura, Amit Kumar Pradhan, Sagar Nandulal Ingle, Anshuman Kohli, Goutam Kumar Ghosh, Mahendra Singh, Subrat Keshori Behera and Dinesh Panday
Agronomy 2025, 15(12), 2911; https://doi.org/10.3390/agronomy15122911 - 18 Dec 2025
Abstract
Limited phosphorus (P) availability and declining soil biological health are major constraints in intensive rice (Oryza sativa L.)—wheat (Triticum aestivum L.) systems. Rock phosphate–enriched compost (REC), combined with microbial inoculants, offers a sustainable strategy for improving soil biological functioning. A field [...] Read more.
Limited phosphorus (P) availability and declining soil biological health are major constraints in intensive rice (Oryza sativa L.)—wheat (Triticum aestivum L.) systems. Rock phosphate–enriched compost (REC), combined with microbial inoculants, offers a sustainable strategy for improving soil biological functioning. A field experiment was conducted under a randomized block design with seven treatments involving different combinations of REC, chemical fertilizers, phosphate-solubilizing bacteria (PSB), and arbuscular mycorrhizal fungi (AMF). Post-harvest soil samples from rice and wheat were analyzed for microbial biomass carbon (MBC), microbial biomass phosphorus (MBP), enzymatic activities, microbial populations, root colonization, yield, and P uptake. The combined application of REC with PSB and AMF significantly enhanced soil biological parameters compared with recommended fertilizer doses. Under the REC + PSB + AMF treatment, dehydrogenase, acid phosphatase, and alkaline phosphatase activities increased by 77.4%, 24.8%, and 18.1%, respectively, while MBC and MBP improved by 51.6% and 106.6%. Bacteria, fungi, and actinomycete population increased by 55.0%, 76.7%, and 82.8%, respectively, as well as mycorrhizal root colonization increased by 18.7%. Grain yield of rice and wheat increased by 16% and 6%, respectively, along with higher P uptake. The integrated use of REC with PSB and AMF improved soil enzymatic activity, microbial biomass, and nutrient acquisition, leading to higher crop productivity. These results indicate that REC combined with PSB and AMF is an effective nutrient management strategy for improving soil biological health, P utilization, and crop productivity in rice–wheat systems. Full article
(This article belongs to the Special Issue Soil Health to Human Health)
Show Figures

Figure 1

21 pages, 4009 KB  
Article
Evaluation of Soil Health of Panax notoginseng Forest Plantations Based on Minimum Data Set
by Wenqi Tang, Jianqiang Li, Huiying Yan, Lianling Cha, Yuan Yang and Linling Wang
Forests 2025, 16(12), 1869; https://doi.org/10.3390/f16121869 - 17 Dec 2025
Abstract
Healthy soil serves as the fundamental basis for sustainable Panax notoginseng (Burkill) F.H. Chen ex C.Y. Wu & K.M. Feng cultivation in understory systems. Current management practices have raised concerns about potential soil degradation and ecological imbalance. To comprehensively assess the soil health [...] Read more.
Healthy soil serves as the fundamental basis for sustainable Panax notoginseng (Burkill) F.H. Chen ex C.Y. Wu & K.M. Feng cultivation in understory systems. Current management practices have raised concerns about potential soil degradation and ecological imbalance. To comprehensively assess the soil health status, this study investigated typical understory P. notoginseng plantations in the subtropical mountain monsoon region of western Yunnan. By analyzing 29 soil physical, chemical, and biological indicators, we constructed a Minimum Data Set (MDS) using Principal Component Analysis to evaluate soil health and identify major constraints. The results showed that the MDS for soil health assessment consisted of 11 key indicators: acid phosphatase, fungal ACE index, organic matter, total nitrogen, sucrase, fungal Simpson index, fine sand, non-capillary porosity, silt content, bulk density, and microbial biomass nitrogen. Using both linear and non-linear scoring functions, the Soil Health Index (SHI) calculated based on the MDS showed a significant positive correlation with the SHI derived from the Total Data Set (TDS) (linear scoring: R2 = 0.43, p < 0.001; non-linear scoring: R2 = 0.305, p < 0.001). This indicates that the MDS captures a substantial and significant portion of the variation explained by the TDS and can serve as a practical and simplified alternative for soil health evaluation in this cultivation system. Based on the MDS, the SHI values obtained using linear and non-linear scoring functions ranged from 0.53 to 0.72 and 0.48–0.59, with mean values of 0.62 and 0.51, respectively, indicating moderate soil health status in the study area. Significant differences in SHI were observed across planting durations and seasons (p < 0.05), with two-year-old plantations showing notably better soil health indices than three-year-old plantations, particularly during the rainy season. The main constraints identified in understory P. notoginseng plantations included microbial community degradation, nutrient imbalance, and physical structural deterioration. Implementing scientific soil management strategies such as optimized rotation cycles, organic amendment applications, and microbial community regulation can effectively mitigate these soil constraints, enhance soil health, and promote the sustainable development of understory P. notoginseng cultivation. Full article
(This article belongs to the Section Forest Soil)
Show Figures

Figure 1

16 pages, 1070 KB  
Article
Differential Agronomic Management Explains Soil and Berry Rheology in Traditional Vineyards of the Itata Valley, Chile
by Andrés Pinto-Poblete, Matías Betancur, Sergio Moraga-Bustos, Marcela Jarpa-Parra, Elizabeth Maria Ulloa-Inostroza and Mauricio Schoebitz
Horticulturae 2025, 11(12), 1518; https://doi.org/10.3390/horticulturae11121518 - 15 Dec 2025
Viewed by 120
Abstract
Agronomic management directly influences soil and berry quality in vineyards, a crop of global relevance. However, some knowledge gaps regarding the effects of management practices in traditional vineyards of the Itata Valley in Chile remain. This study evaluated the impact of contrasting management [...] Read more.
Agronomic management directly influences soil and berry quality in vineyards, a crop of global relevance. However, some knowledge gaps regarding the effects of management practices in traditional vineyards of the Itata Valley in Chile remain. This study evaluated the impact of contrasting management systems: non-managed País (PA), conventionally managed País (CPA), organically managed Cinsault (OCI) and organically managed Carmenere (OCA), on soil bioindicators, chemical composition and berry rheological properties. The results showed that organic management, such as OCA, resulted in 96% and 95% higher dehydrogenase and urease activities, respectively, while OCI exceeded CPA by 86% and 173% in arylsulfatase and phosphatase activities, respectively. The CPA treatment exhibited significantly higher available nitrogen compared with PA (231%), OCI (509%) and OCA (236%), as well as greater available phosphorus than OCI (503%) and OCA (413%). Regarding berry rheology, OCA displayed the highest pulp viscosity compared to OCI, although the differences among treatments were not statistically significant. Multivariate analysis associated CPA with higher soil chemical fertility, whereas organic systems (OCI and OCA) were related to greater soil bioactivity and fruit viscosity. Therefore, organic management is recommended to improve soil biological functionality and fruit structural stability, contributing to the long-term sustainability of vineyards in the valley. Full article
(This article belongs to the Section Viticulture)
Show Figures

Figure 1

26 pages, 2340 KB  
Article
Productivity Dynamics in Chinese Fir Plantations: The Driving Role of Plant–Soil–Microbe Interactions in Northern Subtropical China
by Lijie Wang, Honggang Sun, Jianfeng Zhang and Linshui Dong
Forests 2025, 16(12), 1854; https://doi.org/10.3390/f16121854 - 13 Dec 2025
Viewed by 217
Abstract
Chinese fir (Cunninghamia lanceolata) is a cornerstone timber species in southern China. However, yet its plantation productivity frequently declines under successive rotations, threatening long-term sustainability. While belowground processes are suspected drivers, the mechanisms—particularly plant–soil–microbe interactions—remain poorly resolved. To address this, we [...] Read more.
Chinese fir (Cunninghamia lanceolata) is a cornerstone timber species in southern China. However, yet its plantation productivity frequently declines under successive rotations, threatening long-term sustainability. While belowground processes are suspected drivers, the mechanisms—particularly plant–soil–microbe interactions—remain poorly resolved. To address this, we examined a chronosequence of C. lanceolata plantations (5, 15, 20, and 30 years) in Jingdezhen, Jiangxi Province, integrating soil physicochemical assays, high-throughput sequencing, and extracellular enzyme activity profiling. We found that near-mature stands (20 years) exhibited a 60.7% decline in mean annual volume increment relative to mid-aged stands (15 years), despite continued increases in individual tree volume—suggesting a strategic shift from resource-acquisitive to nutrient-conservative growth. Peak values of soil organic carbon (32.87 g·kg−1), total nitrogen (2.51 g·kg−1), microbial biomass carbon (487.33 mg·kg−1), and phosphorus (25.65 mg·kg−1) coincided with this stage, reflecting accelerated nutrient turnover and intensified plant–microbe competition. Microbial communities shifted markedly over time: Basidiomycota and Acidobacteria became dominant in mature stands, replacing earlier Ascomycota and Proteobacteria. Random Forest and Partial Least Squares Path Modeling (PLS-SEM) identified total nitrogen, ammonium nitrogen, and total phosphorus as key predictors of productivity. PLS-SEM further revealed that stand age directly enhanced productivity (β = 0.869) via improved soil properties, but also indirectly suppressed it by stimulating microbial biomass (β = 0.845)—a “dual-effect” that intensified nutrient competition. Fungal and bacterial functional profiles were complementary: under phosphorus limitation, fungi upregulated acid phosphatase to enhance P acquisition, while bacteria predominately mediated nitrogen mineralization. Our results demonstrate a coordinated “soil–microbe–enzyme” feedback mechanism regulating productivity dynamics in C. lanceolata plantations. These insights advance a mechanistic understanding of rotation-associated decline and underscore the potential for targeted nutrient and microbial management to sustain long-term plantation yields. Full article
(This article belongs to the Section Forest Ecology and Management)
Show Figures

Figure 1

13 pages, 2033 KB  
Article
Effects of Agroforestry Intercropping on Tea Yield and Soil Biochemical Functions in the Red Soil Region of Southern China
by Guolin Zhang and Xinzhe Dong
Sustainability 2025, 17(24), 10994; https://doi.org/10.3390/su172410994 - 8 Dec 2025
Viewed by 164
Abstract
Agroforestry intercropping is increasingly recognized for improving soil quality and crop productivity, yet its effects on soil nutrient dynamics, enzyme activities across soil profiles, and tea yield remain insufficiently understood. Here, we assessed how four systems—monoculture tea (CK), Osmanthus–tea (OT), Michelia–tea [...] Read more.
Agroforestry intercropping is increasingly recognized for improving soil quality and crop productivity, yet its effects on soil nutrient dynamics, enzyme activities across soil profiles, and tea yield remain insufficiently understood. Here, we assessed how four systems—monoculture tea (CK), Osmanthus–tea (OT), Michelia–tea (MT), and OsmanthusMichelia–tea (OMT)—influence soil properties and spring tea yield in hilly plantations of southern China. Across systems, the OMT configuration produced the highest spring tea yield, representing a 39.5% increase relative to CK, accompanied by a 19.0% increase in tea bud density. In the 0–20 cm soil layer, OMT markedly enhanced soil organic matter by 48.4%, total nitrogen by 25.8%, and available nitrogen and phosphorus by 24.9% and significant margins, respectively, while also stimulating enzyme activities—urease (+34.1%), sucrase (+17.2%), dehydrogenase (+43.9%), amylase (+17.2%), and cellulase (+60.7%). In the 20–40 cm layer, OMT increased soil organic matter (+48.4%), total nitrogen (+25.8%), and available nitrogen, and elevated key enzyme activities, including sucrase (+46.5%), acid phosphatase (+16.3%), and polyphenol oxidase (+20.1%). Correlation and principal component analyses further revealed strong positive associations among nutrient enrichment, enzyme activation, and tea yield. These findings demonstrate that the OMT agroforestry configuration enhances nutrient availability and enzymatic function throughout the soil profile, thereby promoting higher tea yield. Overall, OMT substantially improved spring-season soil fertility and productivity, highlighting its potential for sustainable tea plantation management. Full article
Show Figures

Figure 1

14 pages, 1602 KB  
Article
Impacts of Organic Fertilizer Substitution on Soil Ecosystem Functions: Synergistic Effects of Nutrients, Enzyme Activities, and Microbial Communities
by Weidan Lu, Yuanhang Zhou, Xiaolong Ma, Jianglong Gao, Jianfu Guo, Xiaoqin Fan, Wang Xing, Weishi Gao, Ming Lin and Ronghua Wang
Agronomy 2025, 15(12), 2798; https://doi.org/10.3390/agronomy15122798 - 4 Dec 2025
Viewed by 390
Abstract
This study aimed to investigate the effects of varying organic fertilizer substitution ratios on soil nutrients, organic matter, enzyme activities, and microbial communities, with the goal of optimizing fertilization strategies, enhancing soil fertility, and promoting sustainable agricultural development. Experimental Design: A three-year consecutive [...] Read more.
This study aimed to investigate the effects of varying organic fertilizer substitution ratios on soil nutrients, organic matter, enzyme activities, and microbial communities, with the goal of optimizing fertilization strategies, enhancing soil fertility, and promoting sustainable agricultural development. Experimental Design: A three-year consecutive field experiment was conducted using an equal nitrogen application design with the following treatments: no fertilizer control (CK), conventional farmer fertilization (CF), and organic fertilizer substitutions at 10% (SF1), 20% (SF2), 30% (SF3), 40% (SF4), and 50% (SF5) of chemical fertilizer. Key soil parameters were analyzed, including available nutrients (alkali-hydrolyzable nitrogen, available phosphorus, and available potassium), organic matter content, enzyme activities (e.g., urease and phosphatase), and microbial community structure (bacterial and fungal diversity and abundance). Results: Partial substitution with organic fertilizer significantly enhanced soil available nutrient content and organic matter levels, with the 30–50% substitution treatments (SF3–SF5) demonstrating particularly pronounced effects. Moreover, organic fertilizer amendments markedly improved soil enzyme activities and altered microbial community composition, notably increasing the abundance of beneficial taxa such as Gemmatimonadota. These modifications further facilitated soil nutrient cycling and utilization efficiency. Conclusions: The findings demonstrate that appropriate organic fertilizer substitution not only improves soil fertility but also enhances microbial activity, thereby creating a healthier soil environment for crop growth. This study provides critical theoretical and practical insights for optimizing fertilization regimes, reducing chemical fertilizer reliance, and improving soil ecosystem functionality. Full article
Show Figures

Figure 1

28 pages, 3666 KB  
Article
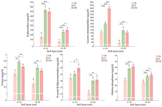
Corncob Returning Enhances Soil Fertility and Rhizosphere Microbiome Functions to Improve Growth and Nutrient Uptake of Eleutherococcus sessiliflorus in Cold Agroecosystems
by Qian Liu, Ying Qu, Shan Jiang, Xingchi Guo, Yuhe Xing, Junyan Zheng, Zhiyu Dong, Wei Yu and Guoyu Zhang
Biology 2025, 14(12), 1735; https://doi.org/10.3390/biology14121735 - 4 Dec 2025
Viewed by 280
Abstract
Corncob residues, an abundant but underutilized organic resource in Northeast Asia, offer substantial potential for improving soil health and plant productivity. This study investigates the effects of corncob returning on soil physicochemical properties, microbial processes, and the performance of Eleutherococcus sessiliflorus in a [...] Read more.
Corncob residues, an abundant but underutilized organic resource in Northeast Asia, offer substantial potential for improving soil health and plant productivity. This study investigates the effects of corncob returning on soil physicochemical properties, microbial processes, and the performance of Eleutherococcus sessiliflorus in a cold–temperate region (Jilin Province, China). The treatments included no-amendment control (CK), corncob incorporation (CI), and corncob mulching (CM). Corncob returning significantly increased soil organic carbon, moisture content, and the availability of N–P–K, while reducing soil bulk density, thus improving soil structure and nutrient availability. Both CI and CM treatments enhanced microbial biomass C, N, and P, as well as nutrient-cycling enzyme activities (β-glucosidase, urease, and alkaline phosphatase), accelerating C–N–P turnover in the rhizosphere. These improvements resulted in enhanced plant nutrient status and significant gains in biomass, with plant height and fruit number increasing by up to 44% and 136%, respectively. Multivariate analysis and PLS-SEM revealed that soil improvements strongly stimulated enzyme activity (path coefficient = 0.956), and enhances the microbial niche, thereby promoting plant traits through nutrient release (enzyme → plant path coefficient = 0.694). Microbial functional activity, rather than microbial richness, plays a more crucial role in plant growth promotion. Collectively, these findings underscore that corncob returning improves E. sessiliflorus performance through a soil biochemical activation pathway mediated by microbial metabolism and enzymatic nutrient release. This study provides strong evidence supporting corncob recycling as a cost-effective, environmentally sustainable approach for improving medicinal plant production and advancing circular agriculture in cold-region ecosystems. Full article
(This article belongs to the Section Plant Science)
Show Figures

Figure 1

23 pages, 8753 KB  
Article
Deciphering the Relationships Between Soil Enzymatic Activities and N- and P-Cycling Functional Genes Under Long-Term Fertilization
by Dong Xue, Shumiao Jiang, Na Zhao, Mengnan Yao, Enqiang Zhou, Yongqiang Wang, Furong Dong, Xue Gao, Xuejun Wang, Yamei Miao, Libin Wei, Kaihua Wang and Anyong Hu
Microorganisms 2025, 13(12), 2719; https://doi.org/10.3390/microorganisms13122719 - 28 Nov 2025
Viewed by 297
Abstract
Long-term fertilization profoundly influences soil biochemical processes and microbial functionality, yet the coupling mechanisms between soil enzyme activities and functional genes in nutrient cycling remain unclear. This study investigated the effects of different fertilization regimes—nitrogen alone (N), nitrogen–phosphorus–potassium fertilizer (NPK), organic fertilizer (M), [...] Read more.
Long-term fertilization profoundly influences soil biochemical processes and microbial functionality, yet the coupling mechanisms between soil enzyme activities and functional genes in nutrient cycling remain unclear. This study investigated the effects of different fertilization regimes—nitrogen alone (N), nitrogen–phosphorus–potassium fertilizer (NPK), organic fertilizer (M), and combined organic–inorganic fertilizer (MNPK)—on soil properties, enzyme activities, N- and P-cycling-related functional gene abundances, and faba bean (Vicia faba L.) yield in a 45-year ongoing field experiment in subtropical eastern China. Results showed that long-term fertilization significantly affected soil pH, electrical conductivity, nutrient contents, and crop yield. Organic fertilizer addition (M and MNPK) markedly improved soil organic matter, total and available nutrients, and enhanced faba bean grain yield by 75.07–92.79% compared with NPK, whereas NPK had limited benefits on total and available soil nutrients compared with N-only application. Soil enzyme activity analysis revealed that the MNPK treatment achieved the highest urease and neutral protease activities, while acid and alkaline protease activities responded inconsistently. Phosphorus-related enzymes (acid, neutral, and alkaline phosphatases) were strongly stimulated by organic inputs, reflecting enhanced P mineralization potential. Functional gene analysis showed that N-fixation and assimilatory nitrate reduction genes increased under M and MNPK, while N assimilation, N mineralization, anammox, nitrification, denitrification, and dissimilatory nitrate reduction genes were enriched under N treatment. Phosphate uptake and transport genes were upregulated under NPK, M, and MNPK, whereas inorganic P solubilization genes were highest under N. Significant positive correlations were observed among soil enzyme activities, nutrient contents, and faba bean yield, whereas acid and alkaline protease activities showed opposite trends. The relative abundances of N- and P-cycling functional genes exhibited distinct yet coordinated relationships with soil fertility indicators and enzyme activities. These findings provide mechanistic insights into the long-term regulation of soil–microbe interactions and nutrient cycling, offering a scientific basis for sustainable fertilization strategies in agroecosystems. Full article
(This article belongs to the Special Issue Exploring the Diversity of Microbial Applications)
Show Figures

Figure 1

17 pages, 1988 KB  
Article
Synergistic Application of Humic Acid and Microbial Fertilizers Improve Soil Quality, Reshape Microbial Network, and Enhance Wheat Yield in Coastal Saline–Alkali Soils
by Lei Ma, Yudong Li, Yufeng Zhang, Yan Li, Jianlin Wei, Zhaohui Liu and Deshui Tan
Microorganisms 2025, 13(12), 2716; https://doi.org/10.3390/microorganisms13122716 - 28 Nov 2025
Viewed by 414
Abstract
Coastal saline–alkali soils represent one of the most challenging agroecosystems due to coupled chemical, physical, and biological constraints. Although humic acid (HA) and microbial fertilizers (MFs) are recognized as effective amendments, the mechanisms linking soil improvements to yield gains remain unclear. Here, a [...] Read more.
Coastal saline–alkali soils represent one of the most challenging agroecosystems due to coupled chemical, physical, and biological constraints. Although humic acid (HA) and microbial fertilizers (MFs) are recognized as effective amendments, the mechanisms linking soil improvements to yield gains remain unclear. Here, a 2-year field experiment was conducted in the Yellow River Delta to assess the effects of HA, applied alone or in combination with Bacillus subtilis and Trichoderma harzianum, on soil salinity, nutrient availability, aggregate stability, microbial communities, and wheat yields. Results showed that HA application alone reduced soil electrical conductivity (EC) and total soluble salts (TSS), and enhanced aggregate mean weight diameter (MWD), leading to 40.94–55.64% higher yields. Co-application with MFs further amplified these improvements, lowering EC and TSS up to 77.04% and 73.83%, enhancing MWD by 122.50%, and raising yields by 75.79%. Soil enzyme activities (e.g., catalase, β-glucosidase, urease, and alkaline phosphatase) and fungal diversity were substantially enhanced, whereas bacterial diversity showed no significant change. Co-occurrence network analysis demonstrated that application of HA with MFs (particularly with B. subtilis) reshaped microbial networks by enriching modules linked to nutrient provisioning, aggregate stability, and enzyme activity, while suppressing modules associated with salinity tolerance. Keystone species such as Lysobacter and Massilia were significantly enriched and closely associated with soil chemical and aggregate improvements. Structural equation modeling further revealed that yield gains were mainly explained by reduced salinity and enhanced aggregate stability rather than nutrient provisioning. These findings provide mechanistic evidence that HA improves soil quality and wheat productivity in coastal saline–alkali soils through integrated chemical, physical, and biological pathways, and that these benefits are strengthened when combined with microbial fertilizers. Full article
(This article belongs to the Special Issue Microbial Mechanisms for Soil Improvement and Plant Growth)
Show Figures

Figure 1

12 pages, 868 KB  
Article
Partial Replacement of Chemical Fertilizer by Biochar-Based Fertilizer Increases Rice Yield and Soil Quality
by Chao Ding, Xikun Luo, Yuhui Wang, Weihua Long, Yongxiang Guan, Qiong Hou, Cansheng Yuan and Lin Wang
Agronomy 2025, 15(12), 2716; https://doi.org/10.3390/agronomy15122716 - 25 Nov 2025
Viewed by 237
Abstract
Substituting chemical fertilizers with organic fertilizers is a significant agricultural practice that can enhance crop yield while influencing soil activity. To investigate the effects of biochar-based organic fertilizer on rice yield, quality, and soil physicochemical properties and activity, this study conducted a field [...] Read more.
Substituting chemical fertilizers with organic fertilizers is a significant agricultural practice that can enhance crop yield while influencing soil activity. To investigate the effects of biochar-based organic fertilizer on rice yield, quality, and soil physicochemical properties and activity, this study conducted a field experiment with three treatments: chemical fertilizer only (CK), 30% of chemical nitrogen substituted with conventional organic fertilizer (CF), and 30% of chemical nitrogen substituted with biochar-based organic fertilizer (BF). Compared with chemical fertilizer alone (CK), both CF and BF treatments significantly increased rice yield by 8.9% and 14.2%, respectively, with BF showing a further increase over CF, primarily attributed to an 18.7% increase in panicle number. Both organic fertilizer treatments significantly improved grain quality, reducing amylose content by 4.6% and 13.1%, and increasing taste value by 3.3% and 3.6%, respectively. Dry matter accumulation throughout the growth period was significantly enhanced, with BF increasing total dry weight by 11.2% at maturity compared to CK. Root morphology was markedly improved, with BF increasing root volume by 146.1% at the grain-filling stage. Soil nutrient content was significantly elevated, showing maximum increases under BF of 118.9% for alkali-hydrolyzable nitrogen, 51.7% for ammonium nitrogen, 30.6% for available phosphorus, and 177.6% for available potassium. Soil enzyme activity analysis revealed significant enhancements in urease, acid phosphatase, and sucrase activities, with maximum increases of 91.5%, 105.6%, and 104.2%, respectively, under BF. These findings demonstrate that organic fertilizers, particularly biochar-based organic fertilizer, can synergistically enhance rice yield and quality by promoting root growth, strengthening soil microbial activity and enzymatic reactions, and optimizing nutrient supply. Biochar-based organic fertilizer exhibits significant advantages in improving soil biological fertility and maintaining stable nutrient supply during the late growth stages of rice. Full article
(This article belongs to the Section Soil and Plant Nutrition)
Show Figures

Figure 1

14 pages, 1968 KB  
Article
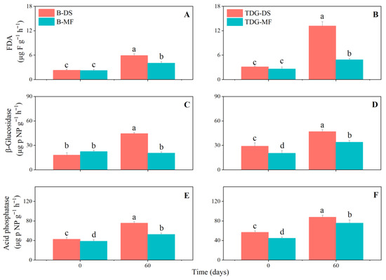
Exploring Dry Salmon Sludge as an Organic Nitrogen Source for Hazelnut (Corylus avellana L.) Orchard
by Susana Cayunao, Andrés Pérez-San Martín, Emilio Jorquera-Fontena, Vanessa Huerta-Mendoza, Germán Tortosa, Marysol Alvear, Juan Ortíz, Segun O. Oladele and Gustavo Curaqueo
Nitrogen 2025, 6(4), 110; https://doi.org/10.3390/nitrogen6040110 - 24 Nov 2025
Viewed by 238
Abstract
The rapid expansion of the salmon industry has generated increasing amounts of waste sludge with negative environmental impacts. Sustainable alternatives, such as using stabilized sludge in agriculture, are needed to mitigate these effects. At the same time, fruit production has grown globally, with [...] Read more.
The rapid expansion of the salmon industry has generated increasing amounts of waste sludge with negative environmental impacts. Sustainable alternatives, such as using stabilized sludge in agriculture, are needed to mitigate these effects. At the same time, fruit production has grown globally, with hazelnut (Corylus avellana L.) emerging as a crop of high economic importance. However, the effect of salmon sludge application on hazelnut orchards is poorly understood. This study evaluated the application of thermally stabilized fish farming sludge (DS) compared with a slow-release mineral fertilizer (MF) intwo hazelnut varieties, ‘Barcelona’ (B) and ‘Tonda di Giffoni’ (TDG). Growth parameters including trunk cross-sectional area (TCSA), cumulative growth, shoot growth rate, leaf mass area (LMA) and chlorophyll index (SPAD), as well as soil physicochemical properties and enzymatic activities (fluorescein diacetate, β-glucosidase, acid phosphatase) were assessed. No significant differences (p > 0.05) in physiological parameters were found between DS and MF. However, the DS application increased soil pH by up 18%, electrical conductivity by ~48% at peak values, and enzymatic activities by 44% (acid phosphatase in B variety), 38% (β-glucosidase in TDG) and 169% (FDA in TGD), suggesting a great organic matter contribution and enhanced soil metabolic activity. Additionally, the B variety showed superior physiological performance, while TDG exhibited higher enzymatic activity. Overall, these findings provide a preliminary assessment of DS as a sustainable supplement to mineral nitrogen fertilization in hazelnut orchards, supporting both soil quality improvement and circular economy strategies in agriculture and aquaculture. Full article
Show Figures

Figure 1

24 pages, 8222 KB  
Article
Soil Phosphorus Fraction Characteristics in Different Alpine Grassland Types of the Qinghai–Tibet Plateau
by Xueting Li, Zhan Liu, Cuilan Li, Ning Zong, Nianpeng He, Zhiyuan Cao and Jinjing Zhang
Agronomy 2025, 15(12), 2689; https://doi.org/10.3390/agronomy15122689 - 22 Nov 2025
Viewed by 382
Abstract
The alpine grassland ecosystem of the Tibetan Plateau is a vital base for animal husbandry and a key ecological security barrier in China. Phosphorus (P), an essential nutrient, is among the primary factors limiting grassland productivity. However, the spatial distribution of soil P [...] Read more.
The alpine grassland ecosystem of the Tibetan Plateau is a vital base for animal husbandry and a key ecological security barrier in China. Phosphorus (P), an essential nutrient, is among the primary factors limiting grassland productivity. However, the spatial distribution of soil P fractions across alpine grasslands on the Tibetan Plateau and their environmental drivers remain unclear, limiting our understanding of P cycling and grassland productivity. This study examined the composition and distribution of soil P in three representative alpine grasslands (meadow, steppe, and desert) using a combination of chemical fractionation and 31P nuclear magnetic resonance (NMR) spectroscopy. The results revealed pronounced spatial heterogeneity, with total soil P content varying by approximately 2.4-fold among the grassland types. Alpine meadows had the highest total P (0.73 g kg−1) and available P (4.02 mg kg−1) concentrations, with the latter being nearly twice that of alpine steppes and deserts. Alpine meadows were characterized by a predominance of labile and moderately labile organic P (e.g., NaOH-Po) and a diverse array of phosphate monoesters and diesters, whereas alpine deserts were dominated by stable, calcium-bound inorganic P (HCl-Pi). Temperature, precipitation, pH, and phosphatase activity were identified as key factors regulating the distribution and transformation of P fractions. The distinct P fractions and availability uncovered in this study are essential for predicting grassland ecosystem responses to environmental change and guiding sustainable pasture management on the Tibetan Plateau. Full article
(This article belongs to the Section Grassland and Pasture Science)
Show Figures

Figure 1

17 pages, 6314 KB  
Article
Decoding the Sustainability Code: Enzyme Thermodynamic and Kinetic Parameters Reveal the Efficacy of Straw, Biochar, and Nanocarbon in Black Soil
by Jia Xu, Xiangyu Wu, Pengwei Wang, Jingyi Zhao, Zhonghui Yue, Xin Bai, Jiawang Li, Yuan Yin and Jianhao Huang
Sustainability 2025, 17(23), 10436; https://doi.org/10.3390/su172310436 - 21 Nov 2025
Viewed by 274
Abstract
For sustainable soil management, the link between carbon amendment structure and soil health is paramount, yet how the particle size of carbon governs hydrolase activity through kinetic and thermodynamic mechanisms remains poorly understood. A three-year field experiment with four treatments, including Control, Straw, [...] Read more.
For sustainable soil management, the link between carbon amendment structure and soil health is paramount, yet how the particle size of carbon governs hydrolase activity through kinetic and thermodynamic mechanisms remains poorly understood. A three-year field experiment with four treatments, including Control, Straw, Biochar, and Nanocarbon, was conducted in black soil. After harvest, the activities of invertase (INV), urease (URE), and acid phosphatase (ACP) were assayed from 15 to 55 °C. Kinetic parameters—including half-saturation constant (Km), maximal reaction rate (Vmax) and catalytic efficiency (Ka)—and thermodynamic parameters—including Gibbs free energy (ΔG), enthalpy (ΔH) and entropy (ΔS)—were determined. INV and ACP activities increased with temperature, peaking at 55 °C, whereas URE peaked at 45 °C. The Vmax, Ka, and ΔG of the enzymes also increased with temperature. With straw, INV activity remained stable, whereas INV-Ka, INV-ΔH, and INV-ΔS increased with decreased INV-Km. URE activity declined with thermodynamic elevation. For ACP, ACP-Km and ACP-Vmax increased, whereas ACP-Ka and ACP-ΔG decreased. With biochar or nanocarbon, the enzyme activities, Vmax, and Ka decreased, whereas ∆G increased, with stronger inhibition by nanocarbon. Correlation analysis revealed ∆G as the dominant factor for activity after carbon addition, while redundancy analysis identified organic carbon (OC) and total phosphorus (TP) as the key regulators. Overall, straw, biochar, and nanocarbon had different sustainable values on hydrolase systems, with thermodynamic parameters, especially ∆G, better reflecting system shifts than kinetic traits. Full article
Show Figures

Figure 1

19 pages, 8136 KB  
Article
Long-Term Nitrogen Addition Promotes Microbial Mineralization of Organic Phosphorus Supporting Phosphorus Uptake in Spring Wheat
by Huaqiang Li, Peng Qi, Xiaodong Yin, Xiaojiao Wang, Run Gan, Jianglong Xue, Yangzi Han, Meixia Lu, Guopeng Liang and Hailiang Li
Agronomy 2025, 15(11), 2632; https://doi.org/10.3390/agronomy15112632 - 17 Nov 2025
Viewed by 544
Abstract
The mechanism of microbial-mediated mineralization of organic phosphorus (P) under nitrogen (N) addition in farmland soil is still unclear. To determine the effects of N addition on the composition, structure, and P transformation function of microbial community and soil P fractions in croplands, [...] Read more.
The mechanism of microbial-mediated mineralization of organic phosphorus (P) under nitrogen (N) addition in farmland soil is still unclear. To determine the effects of N addition on the composition, structure, and P transformation function of microbial community and soil P fractions in croplands, we conducted a field experiment on the Central Gansu Loess Plateau in 2017. The current study analyzed a subset of 12 plots from the 48-plot factorial experiment, comprising four levels of N addition in the absence of P fertilization. The treatment included control (0 kg N ha−1 year−1, N0), low N (75 kg N ha−1 year−1, N75), medium N (115 kg N ha−1 year−1, N115), and high N (190 kg N ha−1 year−1, N190). We determined soil P fractions and microbial properties in the 0–20 cm depth from 2019 to 2023. We found that N fertilization significantly enhanced the mineralization of soil organic P, primarily by altering microbial community structure and increasing the abundance of key taxa (e.g., RB41 and Filobasidium), which in turn boosted the activities of alkaline phosphatase (ALP) and phytase (PHY). The most pronounced stimulations in microbial biomass carbon (MBC) and ALP activity were observed under the N115 treatment. Concurrently, N addition led to substantial reductions in labile inorganic and organic P pools; for instance, the content of Ca2-P decreased most markedly under N190, by 42.82% in 2023, while labile organic P forms (LOP, MLOP, MROP) also declined significantly. Structural Equation Modeling (SEM) confirmed that N addition influenced P availability through direct pathways and indirect pathways mediated by shifts in microbial community structure, ALP, and PHY. In conclusion, our study has identified the N115 treatment (115 kg N ha−1 year−1) as the optimal level for promoting microbial-mediated organic P mineralization. To maintain soil productivity in the rain-fed agricultural systems of the Loess Plateau, we recommend applying a moderate amount of N fertilizer at this optimal rate, along with strategic P supplementation. This approach can effectively mitigate soil P deficiency and enhance the availability of P. Full article
(This article belongs to the Section Soil and Plant Nutrition)
Show Figures

Figure 1

Back to TopTop