Corncob Returning Enhances Soil Fertility and Rhizosphere Microbiome Functions to Improve Growth and Nutrient Uptake of Eleutherococcus sessiliflorus in Cold Agroecosystems
Simple Summary
Abstract
1. Introduction
2. Materials and Methods
2.1. Study Site and Experimental Design
2.2. Soil and Plant Sampling
2.3. Soil Physicochemical Analysis
2.4. Soil Enzyme Activities
2.5. Microbial Community Analysis
2.6. Plant Growth and Nutrient Measurement
2.7. Statistical Analysis
3. Results and Discussion
3.1. Effects of Corncob Returning on Soil Physicochemical Properties
3.1.1. Soil pH and Electrical Conductivity
3.1.2. Soil Moisture and Bulk Density
3.1.3. Soil Organic Carbon
3.1.4. Available Nutrients
3.2. Effects of Corncob Returning on Soilbiological Properties
3.2.1. Effects of Corncob Returning on Soil Microbial OTU Richness
3.2.2. Effects of Corncob Returning on Bacterial Community Composition
3.2.3. Effects of Corncob Returning on Soil Bacterial α-Diversity
3.2.4. Effects of Corncob Returning on Fungal Community Composition
3.2.5. Effects of Corncob Returning on Fungal α-Diversity
3.3. Effects of Corncob Returning on Soil Microbial Biomass C, N, and P
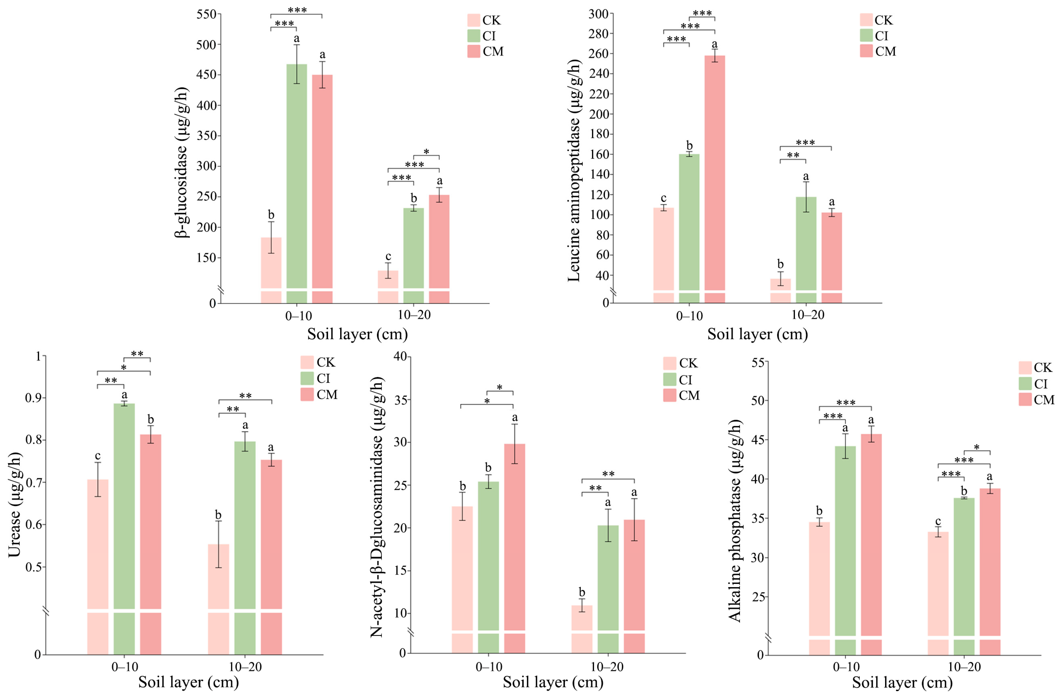
3.4. Effects of Corncob Returning on Soil Enzyme Activities
3.4.1. Carbon-Cycling Enzymes
3.4.2. Nitrogen-Cycling Enzymes
3.4.3. Phosphorus-Cycling Enzymes
3.5. Effects of Corncob Returning on the Growth of E. sessiliflorus
3.6. Effects of Corncob Returning on Leaf Nutrient Accumulation
3.7. Redundancy Analysis of Soil Properties, Enzyme Activity, Plant Traits and Microbial Communities
3.8. Correlation Analysis Between Soil Properties, Microbial Functions, and Plant Performance
3.9. Integrated Correlations Among Soil Properties, Microbial Communities, Enzyme Activities, and Plant Traits
3.10. Partial Least Squares Structural Equation Modeling (PLS-SEM) of Soil–Microbe–Plant Interactions
3.11. Challenges and Prospects of Corncob Residue Application
4. Conclusions
Author Contributions
Funding
Institutional Review Board Statement
Informed Consent Statement
Data Availability Statement
Conflicts of Interest
References
- Wu, F.; Pfenninger, S.; Muller, A. Land-free bioenergy from circular agroecology—A diverse option space and trade-offs. Environ. Res. Lett. 2024, 19, 044044. [Google Scholar] [CrossRef]
- Cordeiro, C.M.; Sindhøj, E. Situating the discourse of recycled nutrient fertilizers in circular economy principles for sustainable agriculture. Front. Sustain. 2024, 5, 1465752. [Google Scholar] [CrossRef]
- Liu, S.; Yu, Y.; Xu, Z.; Chen, S.; Shen, G.; Yuan, X.; Deng, Q.; Shen, W.; Yang, S.; Zhang, C.; et al. Efficient Corncob Biorefinery for Ethanol Initiated by a Novel Pretreatment of Densifying Lignocellulosic Biomass with Sulfuric Acid. Fermentation 2022, 8, 661. [Google Scholar] [CrossRef]
- Tang, H.; Wang, Z. Effects of Corncob Carbon on Peanut Growth and Soil Properties. E3S Web Conf. 2024, 560, 02003. [Google Scholar] [CrossRef]
- Wang, W.; Yang, Y.; Li, J.; Bu, P.; Lu, A.; Wang, H.; He, W.; Santos Bermudez, R.; Feng, J. Consecutive Fertilization-Promoted Soil Nutrient Availability and Altered Rhizosphere Bacterial and Bulk Fungal Community Composition. Forests 2024, 15, 514. [Google Scholar] [CrossRef]
- Tong, R.; Kuzyakov, Y.; Yu, H.; Cao, Y.; Wu, T. Rhizosphere Response and Resistance to Fertilization. Commun. Earth Environ. 2025, 6, 602. [Google Scholar] [CrossRef]
- Liu, N.; Li, Y.; Cong, P.; Wang, J.; Guo, W.; Pang, H.; Zhang, L. Depth of Straw Incorporation Significantly Alters Crop Yield, Soil Organic Carbon and Total Nitrogen in the North China Plain. Soil Tillage Res. 2021, 205, 104772. [Google Scholar] [CrossRef]
- Ali, N.; Jiang, Q.; Akhtar, K.; Luo, R.; Jiang, M.; He, B.; Wen, R. Biochar and Manure Co-Application Improves Soil Health and Rice Productivity through Microbial Modulation. BMC Plant Biol. 2025, 25, 914. [Google Scholar] [CrossRef]
- Rasti, A.; Pineda, M.; Razavi, M. Assessment of Soil Moisture Content Measurement Methods: Conventional Laboratory Oven versus Halogen Moisture Analyzer. J. Soil Water Sci. 2020, 4, 151–160. [Google Scholar] [CrossRef]
- Food and Agriculture Organization of the United Nations. Standard Operating Procedure for Soil Bulk Density, Cylinder Method; FAO: Rome, Italy, 2023. [Google Scholar] [CrossRef]
- Chen, Q.; Cao, J.; Zhang, M.; Guo, L.; Omidvar, N.; Xu, Z.; Hui, C.; Liu, W. The Role of Soil Chemical Properties and Microbial Communities on Dendrocalamus brandisii Bamboo Shoot Quality, Yunnan Province, China. Front. Microbiol. 2025, 16, 1551638. [Google Scholar] [CrossRef]
- Zhuang, Q.; Shao, Z.; Kong, L.; Huang, X.; Li, Y.; Yan, Y.; Wu, S. Assessing the effects of agricultural management practices and land-use changes on soil organic carbon stocks. Soil Tillage Res. 2023, 231, 105716. [Google Scholar] [CrossRef]
- Food and Agriculture Organization of the United Nations. Standard Operating Procedure for Soil Microbial Biomass (Carbon): Chloroform Fumigation-Extraction Method; FAO: Rome, Italy, 2024. [Google Scholar] [CrossRef]
- Zhang, Y.; Zhu, K.; Zhuang, S.; Wang, H.; Cao, J. Soil Nutrient, Enzyme Activity, and Microbial Community Characteristics of E. urophylla × E. grandis Plantations in a Chronosequence. Forests 2024, 15, 688. [Google Scholar] [CrossRef]
- Zheng, Y.F.; Wang, Y.Q.; Zheng, Y.L.; Li, Y.F. Effects of Simulated Acid Rain on Soil Enzyme Activity and Related Chemical Indexes in Woodlands. Forests 2022, 13, 860. [Google Scholar] [CrossRef]
- Bian, Q.; Dong, Z.; Zhao, Y.; Feng, Y.; Fu, Y.; Wang, Z.; Zhu, J.; Ma, L. Micro-/nanobubble oxygenation irrigation enhances soil phosphorus availability and yield by altering soil bacterial community abundance and core microbial populations. Front. Plant Sci. 2024, 15, 1497952. [Google Scholar] [CrossRef] [PubMed]
- Liu, Q.; Dai, H.; Cheng, H.; Shao, G.; Wang, L.; Zhang, H.; Gao, Y.; Liu, K.; Xie, X.; Gong, J.; et al. Rhizosphere-associated bacterial and fungal communities of two maize hybrids under increased nitrogen fertilization. Front. Plant Sci. 2025, 16, 1549995. [Google Scholar] [CrossRef]
- Liu, Y.-X.; Chen, L.; Ma, T.; Li, X.; Zheng, M.; Zhou, X.; Chen, L.; Qian, X.; Xi, J.; Lu, H.; et al. EasyAmplicon: An easy-to-use, open-source, reproducible, and community-based pipeline for amplicon data analysis in microbiome research. iMeta 2023, 2, e83. [Google Scholar] [CrossRef]
- Tang, R.; Sun, W.; Aridas, N.K.; Talip, M.S.A.; You, X. Design of Precise Fertilization Method for Greenhouse Vegetables Based on Improved Backpropagation Neural Network. Front. Sustain. Food Syst. 2024, 8, 1405051. [Google Scholar] [CrossRef]
- Patel, D.D.; Patel, T.U.; Patel, S.N.; Patel, H.H.; Malek, F.M. Physico-chemical transformations in cotton-based vermicomposting. Int. J. Agric. Sci. 2025, 8, 159–164. [Google Scholar] [CrossRef]
- Castillo-González, E.; De Medina-Salas, L.; Giraldi-Díaz, M.R.; Sánchez-Noguez, C. Vermicomposting: A Valorization Alternative for Corn Cob Waste. Appl. Sci. 2021, 11, 5692. [Google Scholar] [CrossRef]
- Jiang, Y.; Hu, W.; Liu, K.; Huang, S.; Zhou, F.; Han, C.; Deng, H.; Zhong, W. Lignocellulosic fraction-induced niche differentiation within dissimilatory iron reducing bacterial groups in a paddy soil. Soil Ecol. Lett. 2024, 6, 230194. [Google Scholar] [CrossRef]
- Khomphet, T.; Hussain, T. Utilization of Graphene as an Alternative Sustainable Amendment in Improving Soil Health through Accelerated Decomposition of Oil Palm Mulch and Enhanced Nutrient Availability. Front. Agron. 2024, 6, 1383613. [Google Scholar] [CrossRef]
- Tuure, J.; Räsänen, M.; Hautala, M.; Pellikka, P.; Mäkelä, P.S.A.; Alakukku, L. Plant residue mulch increases measured and modelled soil moisture content in the effective root zone of maize in semi-arid Kenya. Soil Tillage Res. 2021, 209, 104945. [Google Scholar] [CrossRef]
- Tang, M.; Liu, R.; Li, H.; Gao, X.; Wu, P.; Zhang, C. Optimizing Soil Moisture Conservation and Temperature Regulation in Rainfed Jujube Orchards of China’s Loess Hilly Areas Using Straw and Branch Mulching. Agronomy 2023, 13, 2121. [Google Scholar] [CrossRef]
- Gameda, F.; Ahmed, B.; Tilaye, A.; Badeso, N. Effect of Plastic and Organic Mulching on Soil Moisture Retention and Yield Response of Tomato under Furrow Irrigation. J. Innov. Res. 2024, 2, 20–26. [Google Scholar] [CrossRef]
- Yang, Y.; Liu, H.; Wu, J.; Gao, C.; Zhang, S.; Tang, D.W.S. Long-term combined subsoiling and straw mulching conserves water and improves agricultural soil properties. Agric. Water Manag. 2023, 35, 1050–1060. [Google Scholar] [CrossRef]
- Liu, Z.; Zhao, C.; Zhang, N.; Wang, J.; Li, Z.; Uwiragiye, Y.; Fallah, N.; Crowther, T.W.; Huang, Y.; Huang, Y.; et al. Degradable film mulching increases soil carbon sequestration in major Chinese dryland agroecosystems. Nat. Commun. 2025, 16, 5029. [Google Scholar] [CrossRef]
- Gao, X.; Xu, Z.; Shi, T.; Qi, C.; Nghiem, L.D.; Li, G.; Luo, W. Role of Lignocellulosic Biomass Composition to Regulate Microbial Mutualism for Organic Mineralization and Humification during Digestate Composting. ACS EST Eng. 2024, 4, 771–782. [Google Scholar] [CrossRef]
- Mei, J.; Zhao, F.; Hou, Y.; Ahmad, S.; Cao, Y.; Yang, Z.; Ai, H.; Sheng, L. Two Novel Phosphorus/Potassium-Degradation Bacteria: Bacillus aerophilus SD-1/Bacillus altitudinis SD-3 and Their Application in Two-Stage Composting of Corncob Residue. Arch. Microbiol. 2022, 205, 17. [Google Scholar] [CrossRef]
- Shi, Y.; Yu, Y.; Chang, E.; Wang, R.; Hong, Z.; Cui, J.; Zhang, F.; Jiang, J.; Xu, R. Effect of Biochar Incorporation on Phosphorus Supplementation and Availability in Soil: A Review. J. Soils Sediments 2023, 23, 672–686. [Google Scholar] [CrossRef]
- Bao, Z.; Dai, W.; Su, X.; Liu, Z.; An, Z.; Sun, Q.; Jing, H.; Lin, L.; Chen, Y.; Meng, J. Long-term Biochar Application Promoted Soil Aggregate-Associated Potassium Availability and Maize Potassium Uptake. GCB Bioenergy 2024, 16, e13134. [Google Scholar] [CrossRef]
- Wang, X.; Huang, J.; Yang, L.; Li, Y.; Xia, B.; Li, H.; Deng, X. From Residue to Resource: A Physicochemical and Microbiological Analysis of Soil Microbial Communities through Film Mulch-Enhanced Rice Straw Return Strategies. Agronomy 2024, 14, 1001. [Google Scholar] [CrossRef]
- Díaz Rodríguez, C.A.; Díaz-García, L.; Bunk, B.; Spröer, C.; Herrera, K.; Tarazona, N.A.; Rodríguez-R, L.M.; Overmann, J.; Jiménez, D.J. Novel bacterial taxa in a minimal lignocellulolytic consortium and their potential for lignin and plastics transformation. ISME Commun. 2022, 2, 89. [Google Scholar] [CrossRef] [PubMed]
- Yuan, Y.; Liang, Y.; Cai, H.; Yuan, J.; Li, C.; Liu, H.; Zhang, C.; Wang, L.; Zhang, J. Soil organic carbon accumulation mechanisms in soil amended with straw and biochar: Entombing effect or biochemical protection? Biochar 2025, 7, 31. [Google Scholar] [CrossRef]
- An, J.; Zheng, L.; Sun, R.; Li, X.; Ma, L.; Ma, J. Effects of Corn Stover Biochar on Soil Bacterial and Fungal Biomarkers in Greenhouse Tomatoes Under Mulched Drip Irrigation. Horticulturae 2025, 11, 1143. [Google Scholar] [CrossRef]
- Miura, T.; Niswati, A.; Swibawa, I.G.; Haryani, S.; Gunito, H.; Kaneko, N. No tillage and bagasse mulching alter fungal biomass and community structure during decomposition of sugarcane leaf litter in Lampung Province, Sumatra, Indonesia. Soil Biol. Biochem. 2013, 58, 27–35. [Google Scholar] [CrossRef]
- Liu, L.; Li, L.; Zou, G.; Gu, J.; Zuo, Q.; Zheng, X.; Du, L.; Liu, D. Soil fungi respond more violently to both polyethylene and PBAT biodegradable mulch film residues than bacteria do. Front. Environ. Sci. 2025, 13, 1533441. [Google Scholar] [CrossRef]
- Li, Y.; Wang, B.; Wang, Y.; He, W.; Wu, X.; Zhang, X.; Teng, X.; Liu, L.; Yang, H. Effect of stand age on rhizosphere microbial community assembly of dominant shrubs during sandy desert vegetation restoration. Front. Plant Sci. 2024, 15, 1473503. [Google Scholar] [CrossRef]
- Huang, J.J.; Gao, K.L.; Yang, L.; Lu, Y.H. Successional action of Bacteroidota and Firmicutes in decomposing straw polymers in a paddy soil. Environ. Microbiome 2023, 18, 76. [Google Scholar] [CrossRef]
- Li, F.; Chen, L.; Zhang, J.; Yin, J.; Huang, S. Bacterial Community Structure After Long-Term Organic and Inorganic Fertilization Reveals Important Associations Between Soil Nutrients and Specific Taxa Involved in Nutrient Transformations. Front. Microbiol. 2017, 8, 187. [Google Scholar] [CrossRef]
- Gao, J.; Yang, C.; Zhuang, S.; Gui, R. Effects of mulching and flooding on soil nutrients and bacterial community structure under Phyllostachys praecox. Front. Forests Glob. Change 2024, 7, 1411297. [Google Scholar] [CrossRef]
- Pan, P.; Gu, Y.; Li, T.; Zhou, N.-Y.; Xu, Y. Deciphering the triclosan degradation mechanism in Sphingomonas sp. strain YL-JM2C: Implications for wastewater treatment and marine resources. J. Hazard. Mater. 2024, 478, 135511. [Google Scholar] [CrossRef] [PubMed]
- Tang, J.; Su, L.; Fang, Y.; Wang, C.; Meng, L.; Wang, J.; Zhang, J.; Xu, W. Moderate Nitrogen Reduction Increases Nitrogen Use Efficiency and Positively Affects Microbial Communities in Agricultural Soils. Agriculture 2023, 13, 796. [Google Scholar] [CrossRef]
- Jiang, N.; Chen, Z.; Ren, Y.; Xie, S.; Yao, Z.; Jiang, D.; Zhang, Y.; Chen, L. How do various strategies for returning residues change microbiota modulation: Potential implications for soil health. Front. Microbiol. 2024, 15, 1495682. [Google Scholar] [CrossRef] [PubMed]
- Yang, Y.; Bao, X.; Xie, H.; He, H.; Zhang, X.; Shao, P.; Zhu, X.; Jiang, Y.; Liang, C. Frequent stover mulching builds healthy soil and sustainable agriculture in Mollisols. Agric. Ecosyst. Environ. 2022, 326, 107815. [Google Scholar] [CrossRef]
- Luo, Y.; Chavez-Rico, V.S.; Sechi, V.; Bezemer, T.M.; Buisman, C.J.N.; ter Heijne, A. Effect of organic amendments obtained from different pretreatment technologies on soil microbial community. Environ. Res. 2023, 232, 116346. [Google Scholar] [CrossRef]
- Tang, Q.; Lin, T.; Sun, Z.; Yan, A.; Zhang, J.; Jiang, P.; Wu, F.; Zhang, H. Effects of Mulching Film on Soil Microbial Diversity and Community of Cotton. AMB Express 2022, 12, 33. [Google Scholar] [CrossRef]
- Ma, A.; Zhuang, X.; Wu, J.; Cui, M.; Lv, D.; Liu, C.; Zhuang, G. Ascomycota Members Dominate Fungal Communities during Straw Residue Decomposition in Arable Soil. PLoS ONE 2013, 8, e66146. [Google Scholar] [CrossRef]
- Ren, F.; Wu, F.; Wu, X.; Bao, T.; Jie, Y.; Gao, L. Fungal systems for lignocellulose deconstruction: From enzymatic mechanisms to hydrolysis optimization. GCB Bioenergy 2024, 16, e13130. [Google Scholar] [CrossRef]
- Mou, C.; Gong, Y.; Chen, L.; Martin, F.; Kang, H.; Bian, Y. Comparative analysis of simulated in-situ colonization and degradation by Lentinula edodes on oak wafer and corn stalk. Front. Microbiol. 2023, 14, 1286064. [Google Scholar] [CrossRef]
- Suleiman, A.K.A.; Harkes, P.; van den Elsen, S.; Holterman, M.; Korthals, G.W.; Helder, J.; Kuramae, E.E. Organic amendment strengthens interkingdom associations in the soil and rhizosphere of barley (Hordeum vulgare). Sci. Total Environ. 2019, 695, 133885. [Google Scholar] [CrossRef]
- Sang, Y.; Jin, L.; Zhu, R.; Yu, X.-Y.; Hu, S.; Wang, B.-T.; Ruan, H.-H.; Jin, F.-J.; Lee, H.-G. Phosphorus-Solubilizing Capacity of Mortierella Species Isolated from Rhizosphere Soil of a Poplar Plantation. Microorganisms 2022, 10, 2361. [Google Scholar] [CrossRef] [PubMed]
- Xu, D.; Ling, J.; Qiao, F.; Xi, P.; Zeng, Y.; Zhang, J.; Lan, C.; Jiang, Z.; Peng, A.; Li, P. Organic mulch can suppress litchi downy blight through modification of soil microbial community structure and functional potentials. BMC Microbiol. 2022, 22, 15. [Google Scholar] [CrossRef] [PubMed]
- Lazar, A.; Griffiths, R.I.; Goodall, T.; Norton, L.R.; Mushinski, R.M.; Bending, G.D. Regional Scale Diversity and Distribution of Soil Inhabiting Tetracladium. Environ. Microbiome 2024, 19, 111. [Google Scholar] [CrossRef] [PubMed]
- Cai, L.; Guo, Z.; Zhang, J.; Gai, Z.; Liu, J.; Meng, Q.; Liu, X. No Tillage and Residue Mulching Method on Bacterial Community Diversity Regulation in a Black Soil Region of Northeastern China. PLoS ONE 2021, 16, e0256970. [Google Scholar] [CrossRef]
- Zhang, Q.; Li, X.; Chen, G.; Luo, N.; Sun, J.; Ngozi, E.A.; Lu, X. The Residue Chemistry Transformation Linked to the Fungi Keystone Taxa during Different Residue Tissues Incorporation into Mollisols in Northeast China. Agriculture 2024, 14, 792. [Google Scholar] [CrossRef]
- Tang, H.; Li, C.; Cheng, K.; Wen, L.; Shi, L.; Li, W.; Xiao, X. Impacts of short-term tillage and crop residue incorporation managements on soil microbial community in a double-cropping rice field. Sci. Rep. 2022, 12, 2093. [Google Scholar] [CrossRef]
- Huang, K.; Li, L.; Wu, W.; Pu, K.; Qi, W.; Qi, J.; Li, M. Enhancing Morchella Mushroom Yield and Quality Through the Amendment of Soil Physicochemical Properties and Microbial Community with Wood Ash. Microorganisms 2024, 12, 2406. [Google Scholar] [CrossRef]
- Yang, Y.; Hu, X.; Wang, H.; Zhong, X.; Chen, K.; Huang, B.; Qian, C. Corncob Biochar Combined with Bacillus subtilis to Reduce Cd Availability in Low Cd-Contaminated Soil. RSC Adv. 2022, 12, 30253–30261. [Google Scholar] [CrossRef]
- Ntonta, S.; Zengeni, R.; Muchaonyerwa, P.; Chaplot, V. Variability in Decomposition Rate of Sorghum Cultivar Residues Linked to Lignin Content. Rhizosphere 2024, 29, 100850. [Google Scholar] [CrossRef]
- Yang, L.; Wang, M.; Yu, J.; Li, S.; Tan, H.; Chen, Y.; Liu, J.; Ye, S.; He, J.; Hong, L. Materials and Duration of Mulching Mediate Soil and Fruit Quality in Citrus Orchard. Plant Soil, 2025; in press. [Google Scholar] [CrossRef]
- Zhang, M.; Zhang, L.; Li, J.; Huang, S.; Wang, S.; Zhao, Y.; Zhou, W.; Ai, C. Nitrogen-Shaped Microbiotas with Nutrient Competition Accelerate Early-Stage Residue Decomposition in Agricultural Soils. Nat. Commun. 2025, 16, 5793. [Google Scholar] [CrossRef]
- Intani, K.; Latif, S.; Islam, M.S.; Müller, J. Phytotoxicity of Corncob Biochar before and after Heat Treatment and Washing. Sustainability 2019, 11, 30. [Google Scholar] [CrossRef]
- Bolo, P.; Kihara, J.; Mucheru-Muna, M.; Njeru, E.M.; Kinyua, M.; Sommer, R. Application of residue, inorganic fertilizer and lime affect phosphorus solubilizing microorganisms and microbial biomass under different tillage and cropping systems in a Ferralsol. Geoderma 2021, 390, 114962. [Google Scholar] [CrossRef]
- Smith, B.C.; Rogan, T.A.; Redding, M.R.; Rabbi, S.M.F. Carbon-to-Nitrogen Stoichiometry of Organic Amendments Regulates Microbial Biomass Growth and Nitrogen Mineralization in Soil. Soil Use Manag. 2024, 40, e13116. [Google Scholar] [CrossRef]
- Zhang, J.; Wu, L.-F. Impact of Tillage and Crop Residue Management on the Weed Community and Wheat Yield in a Wheat–Maize Double Cropping System. Agriculture 2021, 11, 265. [Google Scholar] [CrossRef]
- Song, D.; Dai, X.; Guo, T.; Cui, J.; Zhou, W.; Huang, S.; Shen, J.; Liang, G.; He, P.; Wang, X.; et al. Organic Amendment Regulates Soil Microbial Biomass and Activity in Wheat-Maize and Wheat-Soybean Rotation Systems. Agric. Ecosyst. Environ. 2022, 333, 107974. [Google Scholar] [CrossRef]
- Gil-Martínez, M.; Madejón, P.; Madejón, E.; de Sosa, L.L. Compost and Vegetation Cover Drive Soil Fertility, Microbial Activity, and Community in Organic Farming Soils. Plant Soil, 2025, in press. [CrossRef]
- Bhavana, B.; Laxminarayana, P.; Kumar, R.M.; Surekha, K.; Reddy, S.N. Effect of Precision Water and Nitrogen Management on Yield Attributes and Yield of Aerobic Rice under Drip System. Int. J. Environ. Clim. Change 2022, 12, 1620–1630. [Google Scholar] [CrossRef]
- Chen, S.; Gao, J.; Chen, H.; Zhang, Z.; Huang, J.; Lv, L.; Tan, J.; Jiang, X. The role of long-term mineral and manure fertilization on P species accumulation and phosphate-solubilizing microorganisms in paddy red soils. Soil 2023, 9, 101–116. [Google Scholar] [CrossRef]
- Wojewódzki, P.; Lemanowicz, J.; Debska, B.; Haddad, S.A. Soil Enzyme Activity Response under the Amendment of Different Types of Biochar. Agronomy 2022, 12, 569. [Google Scholar] [CrossRef]
- Bo, X.; Yao, F. Optimising Plastic-Film Mulching Under Drip Irrigation to Boost Maize Productivity Through Enhanced Water and Fertiliser Efficiency in Sub-Humid Regions. Plant Soil Environ. 2025, 71, 509–523. [Google Scholar] [CrossRef]
- Budiastuti, M.T.S.; Setyaningrum, D.; Purnomo, D.; Wahidurromdloni, F. Soybean Growth and Yield on Corn Cob Compost Application. E3S Web Conf. 2023, 467, 01007. [Google Scholar] [CrossRef]
- Nurjanah, R.Y.; Indradewa, D.; Irwan, S.N.R. The effect of corncob biochar application and dose reduction of N, P, K fertilizer on growth and yield of soybean (Glycine max L.) in regosol soil, Bantul, Yogyakarta. Agric. Sci. 2022, 7, 160–170. [Google Scholar] [CrossRef]
- Sanford, J.R.; Larson, R.A. Assessing Nitrogen Cycling in Corncob Biochar Amended Soil Columns for Application in Agricultural Treatment Systems. Agronomy 2020, 10, 979. [Google Scholar] [CrossRef]
- Sun, C.; Wu, H.; Gopalakrishnan, S.; Liu, E.; Mei, X. Plastic Film Mulching with Nitrogen Application Activates Rhizosphere Microbial Nitrification and Dissimilatory Nitrate Reduction in the Loess Plateau. Soil Tillage Res. 2025, 248, 106423. [Google Scholar] [CrossRef]
- Solaiman, Z.M.; Blackwell, P.; Shafi, M.I.; Salman, N.D.; Storer, P.; Babur, E. Co-application of biochar and phosphorus increases soil microbial biomass, mycorrhizal colonization, growth, and nutrition of subterranean clover. AIMS Microbiol. 2025, 11, 59–73. [Google Scholar] [CrossRef]
- Li, C.; Zheng, Z.; Zhao, Y.; Wang, H.; Li, P.; Xu, J.; Jiao, J.; Xu, L.; Hu, F.; Li, H. Phosphate-Solubilizing Microorganisms Stimulate Physiological Responses of Perennial Ryegrass to Phosphorus Deficiency with Assistance of Straw Compost. Agronomy 2024, 14, 1008. [Google Scholar] [CrossRef]
- Tswanya, M.N.; Olaniyi, J.O.; Atanda, T.T. Effects of Mulch Material and Mulching Rate on Fruit Yield and Nutritional Quality of Tomato Variety (Lycopersicon lycopersicum mill) in Ogbomoso and Mokwa, Nigeria. Curr. Trends Biomed. Eng. Biosci. 2017, 5, 555662. [Google Scholar] [CrossRef]
- Zhang, Y.; Han, X.; Ren, W.; Zhang, H.; Tang, M. Arbuscular Mycorrhizal Fungi Improve Lycium barbarum Potassium Uptake by Activating the Expression of LbHAK. Plants 2024, 13, 1244. [Google Scholar] [CrossRef]
- Li, W.; Qu, J.; Gao, J.; Yu, X.; Ma, D.; Hu, S.; Borjigin, Q.; Lu, K. Long-Term Nitrogen Management Strategies Based on Straw Return Improve Soil Carbon and Nitrogen Fractions and Nitrogen Use Efficiency of Maize in the Tumochuan Plain Irrigation District. Front. Plant Sci. 2025, 16, 1620311. [Google Scholar] [CrossRef]
- Rahmanian, M.; Khadem, A. The effects of biochar on soil extra and intracellular enzymes activity. Biomass Conv. Bioref. 2024, 14, 21993–22005. [Google Scholar] [CrossRef]
- Tokumoto, Y.; Sakurai, Y.; Abe, H.; Katayama, A. Effects of deer-exclusion fences on soil microbial communities through understory environmental changes in a cool temperate deciduous forest in Southern Japan. For. Ecol. Manag. 2024, 564, 121993. [Google Scholar] [CrossRef]
- Sun, X.; Ye, Y.; Liao, J.; Soromotin, A.V.; Smirnov, P.V.; Kuzyakov, Y. Organic Mulching Increases Microbial Activity in Urban Forest Soil. Forests 2022, 13, 1352. [Google Scholar] [CrossRef]
- Xie, Y.; Cao, C.; Huang, D.; Gong, Y.; Wang, B. Effects of microbial biocontrol agents on tea plantation microecology and tea plant metabolism: A review. Front. Plant Sci. 2024, 15, 1492424. [Google Scholar] [CrossRef] [PubMed]
- Mao, R.; Zeng, D.H. Changes in Soil Particulate Organic Matter, Microbial Biomass, and Activity Following Afforestation of Marginal Agricultural Lands in a Semi-Arid Area of Northeast China. Environ. Manag. 2010, 46, 110–116. [Google Scholar] [CrossRef] [PubMed]
- Dungan, R.S.; McKinney, C.W.; Acosta-Martinez, V.; Leytem, A.B. Response of soil health indicators to long-term dairy manure in a semiarid irrigated cropping system. Soil Sci. Soc. Am. J. 2022, 86, 1597–1610. [Google Scholar] [CrossRef]
- Cheng, S.; Xue, W.; Gong, X.; Hu, F.; Yang, Y.; Liu, M. Reconciling plant and microbial ecological strategies to elucidate cover crop effects on soil carbon and nitrogen cycling. J. Ecol. 2024, 112, 2901–2916. [Google Scholar] [CrossRef]
- Kumar, A.; Meena, S.K.; Singh, S.K.; Sinha, S.K.; Singh, A.K. Carbon Sequestration in Sugarcane Plant-soil System as Influenced by Nutrient Integration Practices under Indo-Gangetic Plains of India. J. Adv. Biol. Biotechnol. 2024, 27, 116–125. [Google Scholar] [CrossRef]
- Ullah, S.; Ai, C.; Huang, S.; Zhang, J.; Jia, L.; Ma, J.; Zhou, W.; He, P. The responses of extracellular enzyme activities and microbial community composition under nitrogen addition in an upland soil. PLoS ONE 2019, 14, e0223026. [Google Scholar] [CrossRef]
- Liu, C.; Ma, J.; Qu, T.; Xue, Z.; Li, X.; Chen, Q.; Wang, N.; Zhou, Z.; An, S. Extracellular Enzyme Activity and Stoichiometry Reveal Nutrient Dynamics during Microbially-Mediated Plant Residue Transformation. Forests 2023, 14, 34. [Google Scholar] [CrossRef]
- Espinosa, J.; Carrillo, C.; Madrigal, J.; Guijarro, M.; Hernando, C.; Martín-Pinto, P. Experimental Summer Fires Do Not Affect Fungal Diversity but Do Shape Fungal Community Composition in Mediterranean Pinus nigra Forests. Fire Ecol. 2025, 21, 16. [Google Scholar] [CrossRef]
- Kumar, R.; Meena, R.K.; Tak, Y.; Chachaiya, P. Fungi Boost Up Plant Growth by Improving Nutrient Uptake: A Review. Environ. Ecol. 2024, 42, 1364–1368. [Google Scholar] [CrossRef]
- Raham, R.; Biswas, S.; Mahapatra, P.; Meena, M.C.; Dey, A.; Das, T.K.; Singh, P.; Patil, K. Effect of 67-years of manuring, fertilization and amendments on fractions of soil organic carbon, nutrient dynamics and yield sustainability in an acidic Alfisol. Indian J. Agric. Sci. 2024, 94, 1130–1135. [Google Scholar] [CrossRef]
- Hair, J.F.; Hauff, S.; Hult, G.T.M.; Richter, N.F.; Ringle, C.M.; Sarstedt, M. Partial Least Squares Strukturgleichungsmodellierung; Verlag Franz Vahlen: München, Germany, 2017. [Google Scholar] [CrossRef]
- Wang, P.; Xie, W.; Ding, L.; Zhuo, Y.; Gao, Y.; Li, J.; Zhao, L. Effects of Maize–Crop Rotation on Soil Physicochemical Properties, Enzyme Activities, Microbial Biomass and Microbial Community Structure in Southwest China. Microorganisms 2023, 11, 2621. [Google Scholar] [CrossRef] [PubMed]
- Wojewódzki, P.; Lemanowicz, J.; Debska, B.; Haddad, S.A.; Tobiasova, E. The Application of Biochar from Waste Biomass to Improve Soil Fertility and Soil Enzyme Activity and Increase Carbon Sequestration. Energies 2023, 16, 380. [Google Scholar] [CrossRef]
- Chen, S.; Elrys, A.S.; Yang, W.; Du, S.; He, M.; Cai, Z.; Zhang, J.; Müller, C. Soil Recalcitrant but Not Labile Organic Nitrogen Mineralization Contributes to Microbial Nitrogen Immobilization and Plant Nitrogen Uptake. Glob. Change Biol. 2024, 30, e17290. [Google Scholar] [CrossRef]
- Wang, X.; Liang, C.; Mao, J.; Jiang, Y.; Bian, Q.; Liang, Y.; Chen, Y.; Sun, B. Microbial keystone taxa drive succession of plant residue chemistry. ISME J. 2023, 17, 748–757. [Google Scholar] [CrossRef]
- Alijani, K.; Bahrani, M.J.; Kazemeini, S.A. Short-term responses of soil and wheat yield to tillage, corn residue management and nitrogen fertilization. Soil Tillage Res. 2012, 124, 78–82. [Google Scholar] [CrossRef]
- Liu, Q.; Huang, B.; Hu, S.; Shi, Z.; Wu, J.; Zhang, Y.; Kong, W. Effects of initial corncob particle size on the short-term composting for preparation of cultivation substrates for Pleurotus ostreatus. Environ. Res. 2024, 248, 118333. [Google Scholar] [CrossRef]
- Febrinasari, T.; Tae, H.; Riki, N.; Yotsombat, A.; Goro, T.; Cahyanto, M.N.; Khanongnuch, C. Isolation of corncob xylan-degrading fungi and its application in xylobiose production. CMUJ Nat. Sci. 2021, 20, e2021039. [Google Scholar] [CrossRef]
- Kisekka, R.; Masibo, M.G.; Ongerep, S.; Kamusiime, E.; Musiimenta, S.; Kabonesa, B. Effectiveness of integrated solarization technology in managing soil-borne pathogens and weeds in citrus seedlings under greenhouse conditions. GSC Biol. Pharm. Sci. 2023, 24, 344–360. [Google Scholar] [CrossRef]
- Kidane, T.M.; Sukhenko, L. Study of the degree of metal accumulation and toxicity of corn plants grown on heavy metals contaminated (artificially) soil. E3S Web Conf. 2023, 392, 01027. [Google Scholar] [CrossRef]
- GB 15618-2018; Soil Environmental Quality–Risk Control Standard for Soil Contamination of Agricultural Land (Trial). Ministry of Ecology and Environment, State Administration for Market Regulation: Beijing, China, 2018.
- Barbusiński, K.; Karwowska, B.; Neczaj, E. Citric Acid Extraction Impact on Chemical and Bioavailable Forms of Metals in Soil. Molecules 2022, 30, 4480. [Google Scholar] [CrossRef]













| Soil Layers | Treatment | pH | Conductivity /(mS/cm) | Moisture Content /(%) | Bulk Density /(g/cm3) | SOC /(g/kg) |
|---|---|---|---|---|---|---|
| 0–10 cm | CK | 8.59 ± 0.03 a | 0.11 ± 0.02 b | 14.98 ± 0.02 c | 1.23 ± 0.03 b | 16.25 ± 0.90 c |
| CI | 8.35 ± 0.03 ab | 0.19 ± 0.01 a | 18.34 ± 0.03 b | 1.28 ± 0.01 a | 18.18 ± 0.33 b | |
| CM | 8.12 ± 0.02 c | 0.19 ± 0.01 a | 25.37 ± 0.06 a | 1.12 ± 0.02 c | 20.47 ± 0.19 a | |
| 10–20 cm | CK | 9.24 ± 0.60 a | 0.12 ± 0.01 b | 20.13 ± 0.04 c | 1.31 ± 0.03 a | 14.34 ± 0.87 a |
| CI | 8.54 ± 0.02 b | 0.14 ± 0.01 a | 23.04 ± 0.02 b | 1.30 ± 0.01 a | 14.90 ± 0.44 a | |
| CM | 8.64 ± 0.04 b | 0.13 ± 0.01 b | 26.51 ± 0.20 a | 1.23 ± 0.01 b | 15.32 ± 0.10 a |
| Sample ID | ACE | Chao1 | Simpson | Shannon |
|---|---|---|---|---|
| CK | 1287 ± 15.79 b | 1283 ± 16.93 b | 0.999 ± 0.01 a | 9.660 ± 0.10 a |
| CI | 1298 ± 8.26 ab | 1297 ± 9.49 ab | 0.997 ± 0.01 a | 9.586 ± 0.09 a |
| CM | 1305 ± 8.97 a | 1329 ± 49.20 a | 0.996 ± 0.02 a | 9.554 ± 0.03 a |
| Sample ID | ACE | Chao1 | Simpson | Shannon |
|---|---|---|---|---|
| CK | 529 ± 9.26 ab | 537 ± 12.41 a | 0.873 ± 0.01 c | 5.279 ± 0.08 b |
| CI | 453 ± 10.53 bc | 454 ± 19.75 b | 0.975 ± 0.00 a | 6.655 ± 0.21 a |
| CM | 490 ± 15.43 b | 494 ± 16.36 ab | 0.906 ± 0.00 b | 5.054 ± 0.10 b |
| Treatments | Plant Height /(cm) | Stem Diameter /(mm) | Leaf Area /(cm2/Leaf) | Fruit Number /(Number/Plant) | Aboveground Biomass /(g/Plant) | Belowground Biomass /(g/Plant) |
|---|---|---|---|---|---|---|
| CK | 55.40 ± 3.19 c | 7.01 ± 0.24 c | 98.41 ± 5.09 b | 9.41 ± 1.49 b | 103.69 ± 3.07 c | 50.27 ± 1.26 c |
| CI | 76.33 ± 1.53 b | 10.00 ± 0.53 b | 163.00 ± 6.56 a | 20.67 ± 1.53 a | 238.53 ± 5.42 b | 182.83 ± 3.49 b |
| CM | 79.67 ± 4.04 ab | 11.40 ± 0.46 a | 170.67 ± 2.08 a | 22.00 ± 1.00 a | 276.93 ± 11.85 a | 220.50 ± 5.22 a |
Disclaimer/Publisher’s Note: The statements, opinions and data contained in all publications are solely those of the individual author(s) and contributor(s) and not of MDPI and/or the editor(s). MDPI and/or the editor(s) disclaim responsibility for any injury to people or property resulting from any ideas, methods, instructions or products referred to in the content. |
© 2025 by the authors. Licensee MDPI, Basel, Switzerland. This article is an open access article distributed under the terms and conditions of the Creative Commons Attribution (CC BY) license (https://creativecommons.org/licenses/by/4.0/).
Share and Cite
Liu, Q.; Qu, Y.; Jiang, S.; Guo, X.; Xing, Y.; Zheng, J.; Dong, Z.; Yu, W.; Zhang, G. Corncob Returning Enhances Soil Fertility and Rhizosphere Microbiome Functions to Improve Growth and Nutrient Uptake of Eleutherococcus sessiliflorus in Cold Agroecosystems. Biology 2025, 14, 1735. https://doi.org/10.3390/biology14121735
Liu Q, Qu Y, Jiang S, Guo X, Xing Y, Zheng J, Dong Z, Yu W, Zhang G. Corncob Returning Enhances Soil Fertility and Rhizosphere Microbiome Functions to Improve Growth and Nutrient Uptake of Eleutherococcus sessiliflorus in Cold Agroecosystems. Biology. 2025; 14(12):1735. https://doi.org/10.3390/biology14121735
Chicago/Turabian StyleLiu, Qian, Ying Qu, Shan Jiang, Xingchi Guo, Yuhe Xing, Junyan Zheng, Zhiyu Dong, Wei Yu, and Guoyu Zhang. 2025. "Corncob Returning Enhances Soil Fertility and Rhizosphere Microbiome Functions to Improve Growth and Nutrient Uptake of Eleutherococcus sessiliflorus in Cold Agroecosystems" Biology 14, no. 12: 1735. https://doi.org/10.3390/biology14121735
APA StyleLiu, Q., Qu, Y., Jiang, S., Guo, X., Xing, Y., Zheng, J., Dong, Z., Yu, W., & Zhang, G. (2025). Corncob Returning Enhances Soil Fertility and Rhizosphere Microbiome Functions to Improve Growth and Nutrient Uptake of Eleutherococcus sessiliflorus in Cold Agroecosystems. Biology, 14(12), 1735. https://doi.org/10.3390/biology14121735
