Sign in to use this feature.

Years

Between: -

Subjects

remove_circle_outline
remove_circle_outline
remove_circle_outline
remove_circle_outline
remove_circle_outline
remove_circle_outline
remove_circle_outline
remove_circle_outline
remove_circle_outline

Journals

remove_circle_outline
remove_circle_outline
remove_circle_outline
remove_circle_outline
remove_circle_outline
remove_circle_outline
remove_circle_outline
remove_circle_outline
remove_circle_outline
remove_circle_outline
remove_circle_outline
remove_circle_outline
remove_circle_outline
remove_circle_outline

Article Types

Countries / Regions

remove_circle_outline
remove_circle_outline
remove_circle_outline
remove_circle_outline
remove_circle_outline
remove_circle_outline
remove_circle_outline
remove_circle_outline
remove_circle_outline

Search Results (3,833)

Search Parameters:
Keywords = soil environmental factors

Order results
Result details
Results per page
Select all
Export citation of selected articles as:
14 pages, 32961 KB  
Article
Bioclimatic and Land Use/Land Cover Factors as Determinants of Crabronidae (Hymenoptera) Community Structure in Yunnan, China
by Nawaz Haider Bashir, Muhammad Naeem, Qiang Li and Huanhuan Chen
Insects 2026, 17(1), 100; https://doi.org/10.3390/insects17010100 - 15 Jan 2026
Abstract
Crabronid wasps (Hymenoptera: Crabronidae) are ecologically important predators that provide various ecological services by regulating the arthropod populations, enhancing soil processes through nesting, serving as sensitive indicators of habitat condition, and providing pollen transfer for plants. However, as other invertebrates face biodiversity threats, [...] Read more.
Crabronid wasps (Hymenoptera: Crabronidae) are ecologically important predators that provide various ecological services by regulating the arthropod populations, enhancing soil processes through nesting, serving as sensitive indicators of habitat condition, and providing pollen transfer for plants. However, as other invertebrates face biodiversity threats, these wasps might be under threat from environmental changes, and we need to assess the biodiversity patterns of these wasps in Yunnan Province. Unfortunately, no information is currently available about the pattern and factors responsible for the assemblages of these wasps within our study region. This study provides the first province-level assessment of habitat suitability, species richness, assemblage structure, and environmental determinants for Crabronidae in Yunnan by integrating species distribution modeling (SDM), multivariate clustering, and ordination analyses. More than 50 species were studied to assess habitat suitability in Yunnan using MaxEnt. Model performance was robust (AUC > 0.7). Suitability patterns varied distinctly among regions. Species richness peaked in southern Yunnan, particularly in the counties of Jinghong, Mengla, Menghai, and Jiangcheng Hani & Yi. Land use/land cover (LULC) variables were the dominant predictors for 90% of species, whereas precipitation-related variables contributed most strongly to the remaining 10%. Ward’s hierarchical clustering grouped the 125 counties into three community assemblage zones, with Zone III comprising the most significant area. A unique species composition was found within a particular zone, and clear separation among zones based on environmental variation was supported by Principal Component Analysis (PCA), which explained more than 70% variability among zones. Furthermore, Canonical Correspondence Analysis (CCA) indicated that both LULC and climatic factors shaped community structure assemblages, with axes 1 and 2 explaining 70% of variance (p = 0.001). The most relevant key factors in each zone were precipitation variables (bio12, bio14, bio17), which were dominant in Zone I; for Zone II, temperature and vegetation variables were most important; and urban, wetland, and water variables were most important in Zone III. Full article
Show Figures

Figure 1

24 pages, 4850 KB  
Article
Multi-Dimensional Monitoring of Agricultural Drought at the Field Scale
by Yehao Wu, Liming Zhu, Maohua Ding and Lijie Shi
Agriculture 2026, 16(2), 227; https://doi.org/10.3390/agriculture16020227 - 15 Jan 2026
Abstract
The causes of agricultural drought are complex, and its actual occurrence process is often characterized by rapid onset in terms of time and small scale in terms of space. Monitoring agricultural drought using satellite remote sensing with low spatial resolution makes it difficult [...] Read more.
The causes of agricultural drought are complex, and its actual occurrence process is often characterized by rapid onset in terms of time and small scale in terms of space. Monitoring agricultural drought using satellite remote sensing with low spatial resolution makes it difficult to accurately capture the details of small-scale drought events. High-resolution satellite remote sensing has relatively long revisit cycles, making it difficult to capture the rapid evolution of drought conditions. Furthermore, the occurrence of agricultural drought is linked to multiple factors including precipitation, evapotranspiration, soil properties, and crop physiological characteristics. Consequently, relying on a single variable or indicator is insufficient for multidimensional monitoring of agricultural drought. This study takes Hebi City, Henan Province as the research area. It uses Sentinel-1 satellite data (HV, VV), Sentinel-2 data (NDVI, B2, B11), elevation, slope, aspect, and GPM precipitation data from 2019 to 2024 as independent variables. Three machine learning algorithms—Random Forest (RF), Random Forest-Recursive Feature Elimination (RF-RFE), and eXtreme Gradient Boosting (XGBoost)—were employed to construct a multi-dimensional agricultural drought monitoring model at the field scale. Additionally, the study verified the sensitivity of different environmental variables to agricultural drought monitoring and analyzed the accuracy performance of different machine learning algorithms in agricultural drought monitoring. The research results indicate that under the condition of full-factor input, all three models exhibit the optimal predictive performance. Among them, the XGBoost model performs the best, with the smallest Relative Root Mean Square Error (RRMSE) of 0.45 and the highest Correlation Coefficient (R) of 0.79. The absence of Digital Elevation Model (DEM) data impairs the models’ ability to capture the patterns of key features, which in turn leads to a reduction in predictive accuracy. Meanwhile, there is a significant correlation between model performance and sample size. Ultimately, the constructed XGBoost model takes the lead with an accuracy of 89%, while the accuracies of Random Forest (RF) and Random Forest-Recursive Feature Elimination (RF-RFE) are 88% and 86%, respectively. Based on these three drought monitoring models, this study further monitored a drought event that occurred in Hebi City in 2023, presented the spatiotemporal distribution of agricultural drought in Hebi City, and applied the Mann–Kendall test for time series analysis, aiming to identify the abrupt change process of agricultural drought. Meanwhile, on the basis of the research results, the feasibility of verifying drought occurrence using irrigation signals was discussed, and the potential reasons for the significantly lower drought occurrence probability in the western mountainous areas of the study region were analyzed. Full article
(This article belongs to the Section Artificial Intelligence and Digital Agriculture)
Show Figures

Figure 1

23 pages, 6326 KB  
Article
Characteristics of Four Co-Occurring Tree Species Sap Flow in the Karst Returning Farmland to Forest Area of Southwest China and Their Responses to Environmental Factors
by Yongyan Yang, Zhirong Feng, Liang Qin, Hua Zhou and Zhaohui Ren
Sustainability 2026, 18(2), 900; https://doi.org/10.3390/su18020900 - 15 Jan 2026
Abstract
Monitoring stem sap flow is essential for understanding plant water-use strategies and eco-physiological processes in the ecologically fragile karst region. In the study, we continuously monitored four co-occurring species—Cryptomeria japonica var. sinensis (LS), Liquidambar formosana (FX), Camptotheca acuminata (XS), and Melia azedarach [...] Read more.
Monitoring stem sap flow is essential for understanding plant water-use strategies and eco-physiological processes in the ecologically fragile karst region. In the study, we continuously monitored four co-occurring species—Cryptomeria japonica var. sinensis (LS), Liquidambar formosana (FX), Camptotheca acuminata (XS), and Melia azedarach (KL)—using the thermal dissipation probe method in a karst farmland-to-forest restoration area. We analyzed diurnal and nocturnal sap flow variations across different growth periods and their responses to environmental factors at an hourly scale. The results showed (1) A “high daytime, low nighttime” sap flow pattern during the growing season for all species. (2) The proportion of nocturnal sap flow was significantly lower in the growing than in the non-growing season. (3) Daytime sap flow was primarily driven by photosynthetically active radiation (PAR) and vapor pressure deficit (VPD) during the growing season. In the non-growing season, daytime drivers were species-specific: relative humidity (RH, 39.39%) for LS; air temperature (Ta, 23.14%) for FX; PAR (33.03%) for XS; and soil moisture at a 10 cm depth (SM1, 25.2%) for KL. Nocturnal flow was governed by VPD and RH during the growing season versus soil moisture (SM1 and SM2) and RH in the non-growing season. These findings reveal interspecific differences in water-use strategies and provide a scientific basis for species selection and afforestation management in the karst ecological restoration of this research area. Full article
14 pages, 1854 KB  
Article
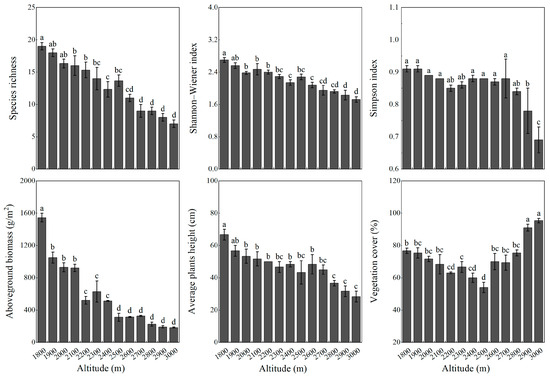
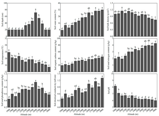
Patterns and Drivers of Mountain Meadow Communities Along an Altitudinal Gradient on the Southern Slope of Wutai Mountain, Northern China
by Xiaolong Zhang, Xianmeng Liu, Dingrou Yao, Yongji Wang, Junjie Niu and Yinbo Zhang
Ecologies 2026, 7(1), 9; https://doi.org/10.3390/ecologies7010009 - 15 Jan 2026
Abstract
Understanding how plant community characteristics and soil properties vary along altitudinal gradients is essential for ecosystem conservation, restoration, and for predicting ecosystem responses to global environmental change. This study investigated altitudinal patterns and their potential drivers in mountain meadow communities on the southern [...] Read more.
Understanding how plant community characteristics and soil properties vary along altitudinal gradients is essential for ecosystem conservation, restoration, and for predicting ecosystem responses to global environmental change. This study investigated altitudinal patterns and their potential drivers in mountain meadow communities on the southern slope of Wutai Mountain, Northern China. Community characteristics and soil physicochemical properties were measured along an altitudinal gradient ranging from 1800 to 3000 m a.s.l. Most community characteristics exhibited clear altitudinal trends. Species richness, Shannon–Wiener index, Simpson index, aboveground biomass and average plant height all declined significantly with increasing altitude. In contrast, vegetation cover showed a unimodal pattern, initially decreasing and then increasing at higher elevations. Soil physicochemical properties also varied significantly along the altitudinal gradient and were closely associated with changes in community characteristics. Variation partitioning analysis revealed that environmental factors, including altitude and soil properties, explained 71.9% of the total variation in mountain meadow communities. Altitude alone contributed more to community variation than soil factors, indicating its dominant role in shaping community structure. Nevertheless, specific soil properties, particularly soil depth, soil bulk density and soil pH, also exerted significant influences on community characteristics. Overall, our results demonstrate that altitude is a key driver of both vegetation and soil variation in mountain meadows on the southern slope of Wutai Mountain. In addition to altitudinal effects, soil physicochemical properties should be considered when developing conservation and management strategies for mountain meadow ecosystems. Full article
Show Figures

Graphical abstract

19 pages, 4114 KB  
Article
Hydrological Changes Drive the Seasonal Vegetation Carbon Storage of the Poyang Lake Floodplain Wetland
by Zili Yang, Shaoxia Xia, Houlang Duan and Xiubo Yu
Remote Sens. 2026, 18(2), 276; https://doi.org/10.3390/rs18020276 - 14 Jan 2026
Abstract
Wetlands are a critical component of the global biogeochemical cycle and have great potential for carbon sequestration under the changing climate. However, previous studies have mainly focused on the dynamics of soil organic carbon while paying little attention to the vegetation carbon storage [...] Read more.
Wetlands are a critical component of the global biogeochemical cycle and have great potential for carbon sequestration under the changing climate. However, previous studies have mainly focused on the dynamics of soil organic carbon while paying little attention to the vegetation carbon storage in wetlands. Poyang Lake is the largest freshwater lake in China, where intra-annual and inter-annual variations in water levels significantly affect the vegetation carbon storage in the floodplain wetland. Therefore, we assessed the seasonal distribution and carbon storage of six typical plant communities (Arundinella hirta, Carex cinerascens, Miscanthus lutarioriparius, Persicaria hydropiper, Phalaris arundinacea, and Phragmites australis) in Poyang Lake wetlands from 2019 to 2024 based on field surveys, the literature, and remote sensing data. Then, we used 16 preseason meteorological and hydrological variables for two growing seasons to investigate the impacts of environmental factors on vegetation carbon storage based on four correlation and regression methods (including Pearson and partial correlation, ridge, and elastic net regression). The results show that the C. cinerascens community was the most dominant contributor to vegetation carbon storage, occupying 12.68% to 44.22% of the Poyang Lake wetland area. The vegetation carbon storage in the Poyang Lake wetland was significantly (p < 0.01) higher in spring (87.75 × 104 t to 239.10 × 104 t) than in autumn (77.32 × 104 t to 154.78 × 104 t). Water body area emerged as a key explanatory factor, as it directly constrains the spatial extent available for vegetation colonization and growth by alternating inundation and exposure. In addition, an earlier start or end to floods could both enhance vegetation carbon storage in spring or autumn. However, preseason precipitation and temperature are negative to carbon storage in spring but exhibited opposite effects in autumn. These results assessed the seasonal dynamics of dominant vegetation communities and helped understand the response of the wetland carbon cycle under the changing climate. Full article
Show Figures

Figure 1

16 pages, 937 KB  
Article
Effects of Continuous Application of Urban Sewage Sludge on Heavy Metal Pollution Risks in Orchard Soils
by Junxiang Xu, Xiang Zhao, Jianjun Xiong, Yufei Li, Qianqian Lang, Ling Zhang and Qinping Sun
Sustainability 2026, 18(2), 826; https://doi.org/10.3390/su18020826 - 14 Jan 2026
Abstract
To investigate the impacts of the continuous application of urban sewage sludge on heavy metal pollution risks in wine grape orchards, this study conducted a five-year field plot experiment using wine grapes as the test crop. The experimental design included three sludge application [...] Read more.
To investigate the impacts of the continuous application of urban sewage sludge on heavy metal pollution risks in wine grape orchards, this study conducted a five-year field plot experiment using wine grapes as the test crop. The experimental design included three sludge application rates and a control without sludge application. Soil physicochemical properties, the single-factor and integrated pollution indices (PI and NIPI) of heavy metals, potential ecological risk indices (EI and RI), and the safe application duration of sludge were analyzed. The results suggest that sludge application significantly increased soil organic matter, total nitrogen, total phosphorus, and available phosphorus by 39.99–46.56%, 59.37–73.69%, 83.57–143.19%, and 88.79%, respectively, while reducing soil bulk density by 8.70–27.92%. The PI and EI of Cd exhibited significant linear increases with the duration of sludge application, with annual increments of 0.010 and 0.31, respectively. Hg was influenced by both the application rates and duration, with annual increments of 0.013 and 0.52 for the PI and EI, respectively. These two elements collectively drove overall increases of 7.31–24.96% in NIPI and 32.51–59.90% in RI, with mean annual increases of 0.0064 and 0.84, respectively. In contrast, Cr, Pb, and As showed no significant changes. Based on the calculated environmental capacities of Cd and Hg, the safe application durations were estimated to be 46.99–126.93 and 48.58–131.21 years, respectively. These results demonstrate that under the current application intensity, sludge can improve soil fertility in the short term with controllable ecological risks. However, considering their potential environmental risks, the continuous accumulation of Cd and Hg necessitates vigilance. Full article
Show Figures

Figure 1

17 pages, 1062 KB  
Review
The Role of Environmental and Climatic Factors in Accelerating Antibiotic Resistance in the Mediterranean Region
by Nikolaos P. Tzavellas, Natalia Atzemoglou, Petros Bozidis and Konstantina Gartzonika
Acta Microbiol. Hell. 2026, 71(1), 1; https://doi.org/10.3390/amh71010001 - 12 Jan 2026
Viewed by 76
Abstract
The emergence and dissemination of antimicrobial resistance (AMR) are driven by complex, interconnected mechanisms involving microbial communities, environmental factors, and human activities, with climate change playing a pivotal and accelerating role. Rising temperatures, altered precipitation patterns, and other environmental disruptions caused by climate [...] Read more.
The emergence and dissemination of antimicrobial resistance (AMR) are driven by complex, interconnected mechanisms involving microbial communities, environmental factors, and human activities, with climate change playing a pivotal and accelerating role. Rising temperatures, altered precipitation patterns, and other environmental disruptions caused by climate change create favorable conditions for bacterial growth and enhance the horizontal gene transfer (HGT) of antibiotic resistance genes (ARGs). Thermal stress and environmental pressures induce genetic mutations that promote resistance, while ecosystem disturbances facilitate the stabilization and spread of resistant pathogens. Moreover, climate change exacerbates public and animal health risks by expanding the range of infectious disease vectors and driving population displacement due to extreme weather events, further amplifying the transmission and evolution of resistant microbes. Livestock agriculture represents a critical nexus where excessive antibiotic use, environmental stressors, and climate-related challenges converge, fueling AMR escalation with profound public health and economic consequences. Environmental reservoirs, including soil and water sources, accumulate ARGs from agricultural runoff, wastewater, and pollution, enabling resistance spread. This review aims to demonstrate how the Mediterranean’s strategic position makes it an ideal living laboratory for the development of integrated “One Health” frameworks that address the mechanistic links between climate change and AMR. By highlighting these interconnections, the review underscores the need for a unified approach that incorporates sustainable agricultural practices, climate mitigation and adaptation within healthcare systems, and enhanced surveillance of zoonotic and resistant pathogens—ultimately offering a roadmap for tackling this multifaceted global health crisis. Full article
Show Figures

Figure 1

18 pages, 3907 KB  
Article
Climate Change and Ecological Restoration Synergies Shape Ecosystem Services on the Southeastern Tibetan Plateau
by Xiaofeng Chen, Qian Hong, Dongyan Pang, Qinying Zou, Yanbing Wang, Chao Liu, Xiaohu Sun, Shu Zhu, Yixuan Zong, Xiao Zhang and Jianjun Zhang
Forests 2026, 17(1), 102; https://doi.org/10.3390/f17010102 - 12 Jan 2026
Viewed by 149
Abstract
Global environmental changes significantly alter ecosystem services (ESs), particularly in fragile regions like the Tibetan Plateau. While methodological advances have improved spatial assessment capabilities, understanding of how multiple drivers interact to shape ecosystem service heterogeneity remains limited to regional scales, especially across complex [...] Read more.
Global environmental changes significantly alter ecosystem services (ESs), particularly in fragile regions like the Tibetan Plateau. While methodological advances have improved spatial assessment capabilities, understanding of how multiple drivers interact to shape ecosystem service heterogeneity remains limited to regional scales, especially across complex alpine landscapes. This study aims to clarify whether multi-factor interactions produce nonlinear enhancements in ES explanatory power and how these driver–response relationships vary across heterogeneous terrains. We quantified spatiotemporal patterns of four key ecosystem services—water yield (WY), soil conservation (SC), carbon sequestration (CS), and habitat quality (HQ)—across the southeastern Tibetan Plateau from 2000 to 2020 using multi-source remote sensing data and spatial econometric modeling. Our analysis reveals that SC increased by 0.43 t·hm−2·yr−1, CS rose by 1.67 g·m−2·yr−1, and HQ improved by 0.09 over this period, while WY decreased by 3.70 mm·yr−1. ES variations are predominantly shaped by potent synergies, where interactive explanatory power consistently surpasses individual drivers. Hydrothermal coupling (precipitation ∩ potential evapotranspiration) reached 0.52 for WY and SC, while climate–vegetation synergy (precipitation ∩ normalized difference vegetation index) achieved 0.76 for CS. Such climate–restoration synergies now fundamentally shape the region’s ESs. Geographically weighted regression (GWR) further revealed distinct spatial dependencies, with southeastern regions experiencing strong negative effects of land use type and elevation on WY, while northwestern areas showed a positive elevation associated with WY but negative effects on SC and HQ. These findings highlight the critical importance of accounting for spatial non-stationarity in driver–ecosystem service relationships when designing conservation strategies for vulnerable alpine ecosystems. Full article
Show Figures

Figure 1

18 pages, 3668 KB  
Article
Evaluation of Soil Heavy Metals in Major Sugarcane-Growing Areas of Guangxi, China
by Yawei Luo, Cuifang Yang, Shan Zhou, Baoqing Zhang, Shuquan Su, Shanyu Lu, Zuli Yang, Bin Feng, Shiping Liu, Limin Liu and Yijing Gao
Agronomy 2026, 16(2), 185; https://doi.org/10.3390/agronomy16020185 - 12 Jan 2026
Viewed by 185
Abstract
In Guangxi, China, the area used to plant sugarcane is growing in order to meet the Fourteenth Five-Year Plan’s objective of sugar self-sufficiency (2021–2025). Comprehensive soil heavy metal data are necessary for growing area expansion in order to inform farmers and policymakers. Here, [...] Read more.
In Guangxi, China, the area used to plant sugarcane is growing in order to meet the Fourteenth Five-Year Plan’s objective of sugar self-sufficiency (2021–2025). Comprehensive soil heavy metal data are necessary for growing area expansion in order to inform farmers and policymakers. Here, we analyzed soil samples from ten sugarcane-growing counties/districts of Guangxi by employing four different risk assessment indices. Our results indicate that the studied soils are moderately to strongly acidic and are deficient in soil organic matter (<6 g/kg). Single-factor pollution index evaluation revealed detectable heavy metal pollution, with Cd present above reference levels in all ten areas, Cr in six, Pb in four, As in two, and Hg in two areas. The Nemerow comprehensive pollution index indicated that the overall soil pollution level was mild, except for Jiangzhou district (moderate). The geo-accumulation index revealed significant anthropogenic enrichment, with severe Cr pollution (Igeo > 3) across all regions and Pb and As contamination ranging from moderate to severe, particularly in Jiangzhou district. Contrastingly, Cd and Hg showed no significant enrichment (Igeo < 0) relative to the local background, though their sources require further investigation. The potential ecological risk assessment showed a high risk, specifically from As in Jiangzhou district, which was the only area showing a moderate comprehensive potential ecological risk. A significant positive correlation was found between the total and bioavailable contents of all five heavy metals, whereas soil pH and organic matter were significantly negatively correlated with the bioavailability of Cr and Pb, but positively correlated with As and Hg. The availability of Cd, however, was independent of pH and OM, suggesting the influence of other, unmeasured geochemical factors. These results highlight specific and localized environmental risks that may require targeted management to ensure agricultural safety, ecosystem health, and sustainable sugarcane production. Full article
(This article belongs to the Section Soil and Plant Nutrition)
Show Figures

Figure 1

24 pages, 2518 KB  
Review
A Review of Oil–Water Separation Technology for Transformer Oil Leakage Wastewater
by Lijuan Yao, Han Shi, Wen Qi, Baozhong Song, Jun Zhou, Wenquan Sun and Yongjun Sun
Water 2026, 18(2), 180; https://doi.org/10.3390/w18020180 - 9 Jan 2026
Viewed by 207
Abstract
The oily wastewater produced by transformer oil leakage contains pollutants such as mineral oil, metal particles, aged oil and additives, which can disrupt the dissolved oxygen balance in water bodies, pollute soil and endanger human health through the food chain, causing serious environmental [...] Read more.
The oily wastewater produced by transformer oil leakage contains pollutants such as mineral oil, metal particles, aged oil and additives, which can disrupt the dissolved oxygen balance in water bodies, pollute soil and endanger human health through the food chain, causing serious environmental pollution. Effective oil–water separation technology is the key to ecological protection and resource recovery. This paper reviews the principles, influencing factors and research progress of traditional (gravity sedimentation, air flotation, adsorption, demulsification) and new (nanocomposite adsorption, metal–organic skeleton materials, superhydrophobic/superlipophilic modified films) transformer oil–water separation technologies. Traditional technologies are mostly applicable to large-particle-free oil and are difficult to adapt to complex matrix wastewater. However, the new technology has significant advantages in separation efficiency (up to over 99.5%), selectivity and cycling stability (with a performance retention rate of over 85% after 20–60 cycles), breaking through the bottlenecks of traditional methods. In the future, it is necessary to develop low-cost and efficient separation technologies, promote the research and development of intelligent responsive materials, upgrade low-carbon preparation processes and their engineering applications, support environmental protection treatment in the power industry and encourage the coupling of material innovation and processes. Full article
(This article belongs to the Section Wastewater Treatment and Reuse)
Show Figures

Graphical abstract

19 pages, 2882 KB  
Article
Soil Environmental Factors Dominate over Nitrifier and Denitrifier Abundances in Regulating Nitrous Oxide Emissions Following Nutrient Additions in Alpine Grassland
by Mingyuan Yin, Xiaopeng Gao, Yufeng Wu, Yanyan Li, Wennong Kuang, Lei Li and Fanjiang Zeng
Agronomy 2026, 16(2), 168; https://doi.org/10.3390/agronomy16020168 - 9 Jan 2026
Viewed by 139
Abstract
Nutrient additions including nitrogen (N) and phosphorus (P) are widely considered as an important strategy for enhancing grassland productivity. However, the effects of these nutrients additions on soil nitrous oxide (N2O) emissions and the underlying mechanisms remain debated. We conducted a [...] Read more.
Nutrient additions including nitrogen (N) and phosphorus (P) are widely considered as an important strategy for enhancing grassland productivity. However, the effects of these nutrients additions on soil nitrous oxide (N2O) emissions and the underlying mechanisms remain debated. We conducted a two-year field experiment in an alpine grassland on Kunlun Mountain in northwestern China to assess the effects of N and P additions on N2O emissions, in relation with nitrifying enzyme activity (NEA), denitrifying enzyme activity (DEA), and key functional genes abundance responsible for nitrification (amoA and Nitrobacter-like nxrA) and denitrification (narG, nirS, nirK and nosZ). Compared to the Control without nutrient addition (CK), N addition alone substantially increased cumulative N2O emission (ƩN2O) by 2.0 times. In contrast, P addition or combined N and P (N+P) addition did not significantly affect ƩN2O, though both treatments significantly increased plant aboveground biomass. Such results indicate that P addition may mitigate N-induced N2O emission, likely by reducing soil N availability through enhanced plant and microbial N uptake. Compared to CK, N or N+P addition significantly elevated NEA but did not affect DEA. Structural equation modeling (SEM) indicated that NEA was directly influenced by the gene abundances of ammonia-oxidizing bacteria (AOB) and Nitrobacter-like nxrA but not by ammonia-oxidizing archaea (AOA). However, SEM also revealed that soil environmental variables including soil temperature, pH, and water-filled pore space (WFPS) had a stronger direct influence on N2O emissions than the abundances of nitrifiers. These results demonstrate that soil environmental conditions play a more significant role than functional gene abundances in regulating N2O emissions following N and P additions in semi-arid alpine grasslands. This study highlights that the N+P application can potentially decrease N2O emissions than N addition alone, while increasing productivity in the alpine grassland ecosystems. Full article
Show Figures

Figure 1

19 pages, 2526 KB  
Article
Water Scarcity Footprint and Economic Feasibility of Precision Irrigation in Short Rotation Coppice for Energy in Italy
by Giulio Sperandio, Alessandro Suardi, Mauro Pagano, Vincenzo Civitarese, Carla Cedrola, Roberto Tomasone and Andrea Acampora
Sustainability 2026, 18(2), 678; https://doi.org/10.3390/su18020678 - 9 Jan 2026
Viewed by 111
Abstract
Effective water resource management in agriculture is a pivotal challenge for environmental sustainability and the economic viability of crop production. The present study, conducted at the CREA research station (Monterotondo, Italy), analyzed a precision irrigation strategy based on an automated drip irrigation system [...] Read more.
Effective water resource management in agriculture is a pivotal challenge for environmental sustainability and the economic viability of crop production. The present study, conducted at the CREA research station (Monterotondo, Italy), analyzed a precision irrigation strategy based on an automated drip irrigation system with soil moisture sensors, applied to a 15-year-old high-density poplar plantation for energy production. Five treatments were compared: a non-irrigated control (T0) and four irrigation levels based on soil moisture thresholds (T1 ≤ 20%, T2 ≤ 30%, T3 ≤ 40%, T4 ≤ 50%). The aim of this study was to assess the economic feasibility of irrigated poplar plantations, considering expected increases in biomass production and related environmental impacts. The economic evaluation used the Life Cycle Costing (LCC) method, while the environmental assessment applied Life Cycle Assessment (LCA) with the AWARE indicator to quantify the water scarcity footprint. Finally, an integrated assessment using the TOPSIS multi-criteria method was performed to identify the most sustainable treatment. Over the 15-year period, T0 (no irrigation) was the preferred option (Preferred Index Pi = 1.000), followed by T3 (Pi = 0.637) and T4 (Pi = 0.586), considering equal weighting of economic and environmental impacts. Conversely, the low irrigation treatment (T1) was the least sustainable (Pi = 0.379), followed by T2 (Pi = 0.486). While irrigation appears unviable if environmental impacts are prioritized, higher biomass value can improve the economic sustainability of treatments with greater water use (T3 and T4) when economic factors dominate. Full article
(This article belongs to the Section Sustainable Water Management)
Show Figures

Graphical abstract

39 pages, 1059 KB  
Systematic Review
Ground Enhancement Materials for Grounding Systems: A Systematic Review of Factors, Technologies and Advances
by Hugo Martínez Ángeles, Cesar Augusto Navarro Rubio, Luis Angel Iturralde Carrera, Leonel Díaz-Tato, José Gabriel Ríos Moreno, Mario Trejo Perea, Roberto Valentín Carrillo-Serrano and Juvenal Rodríguez-Reséndiz
Technologies 2026, 14(1), 49; https://doi.org/10.3390/technologies14010049 - 8 Jan 2026
Viewed by 187
Abstract
Grounding Systems (GS) play a critical role in electrical safety, lightning protection, and the reliable operation of power and renewable energy infrastructures, particularly in high-resistivity soils. In this context, Ground Enhancement Materials (GEM) are widely used to reduce soil resistivity and improve grounding [...] Read more.
Grounding Systems (GS) play a critical role in electrical safety, lightning protection, and the reliable operation of power and renewable energy infrastructures, particularly in high-resistivity soils. In this context, Ground Enhancement Materials (GEM) are widely used to reduce soil resistivity and improve grounding performance. This systematic review analyzes and synthesizes recent advances (2018–2025) in GEM applied to GS, with emphasis on their electrical performance, durability, and environmental sustainability. The review covers conventional GEM, industrial waste-derived materials, and hybrid formulations, evaluating their effectiveness under different soil types and moisture conditions. Comparative analysis of the literature indicates that GEM derived from industrial byproducts and hybrid composites often exhibit superior long-term resistivity reduction due to enhanced moisture retention and material-soil interactions, especially in clay-rich and heterogeneous soils. Sustainability considerations such as environmental impact, material availability, and long-term stability are increasingly influencing GEM selection and design. Overall, this review provides a structured framework for understanding the factors governing GEM performance while highlighting current trends, challenges, and future research directions in the development of sustainable grounding solutions. Full article
(This article belongs to the Special Issue Technological Advances in Science, Medicine, and Engineering 2025)
Show Figures

Figure 1

27 pages, 4787 KB  
Article
The Optimization of Maize Intercropped Agroforestry Systems by Changing the Fertilizing Level and Spacing Between Tree Lines
by Zibuyile Dlamini, Ágnes Kun, Béla Gombos, Mihály Zalai, Ildikó Kolozsvári, Mihály Jancsó, Beatrix Bakti and László Menyhárt
Land 2026, 15(1), 126; https://doi.org/10.3390/land15010126 - 8 Jan 2026
Viewed by 313
Abstract
Agroforestry is defined as a multifunctional approach to land management that enhances biodiversity and soil health while mitigating environmental impacts compared to intensive agriculture. The efficacy of maize cultivation in agroforestry systems is significantly influenced by nutrient competition. The factors that influence this [...] Read more.
Agroforestry is defined as a multifunctional approach to land management that enhances biodiversity and soil health while mitigating environmental impacts compared to intensive agriculture. The efficacy of maize cultivation in agroforestry systems is significantly influenced by nutrient competition. The factors that influence this phenomenon include the dimensions and configuration of the tree rows, as well as the availability of nutrients. This study examined the effect of nitrogen fertilization, tree line spacing, and seasonal changes on the productivity and the leaf spectral characteristics of the intercropped maize (Zea mays L.) within a willow-based agroforestry system in eastern Hungary. The experiment involved the cultivation of maize with two spacings (narrow and wide field strips) and four nitrogen levels (0, 50, 100, and 150 kg N ha−1) across two growing seasons (2023–2024). The results demonstrated that yield-related parameters, including biomass, cob size and weight, and grain weight, exhibited a strong response to nitrogen level and tree line spacing. The reduction in spacing resulted in a decline in maize productivity. However, a high nitrogen input (150 kg N ha−1) partially mitigated this effect in the first growing season. Vegetation indices demonstrated a high degree of sensitivity to annual variations, particularly with regard to tree competition and weather conditions. Multispectral vegetation indices exhibited a heightened responsiveness to environmental and management factors when compared to indices based on visible light (RGB). The findings of this study demonstrate that a combination of optimized tree spacing and optimized nitrogen management fosters productivity while maintaining agroecological sustainability in temperate agroforestry systems. Full article
Show Figures

Figure 1

20 pages, 2825 KB  
Article
Effects of Biochar–Fertilizer Combinations on Photosynthetic and Transpiration Functions of Paddy Rice Using Box–Cox Transformation
by Yuanshu Jing, Zhaodong Zheng, Zhiyun Xu, Shuyun Yang and Zhaozhong Feng
Agronomy 2026, 16(2), 160; https://doi.org/10.3390/agronomy16020160 - 8 Jan 2026
Viewed by 228
Abstract
Biochar is recognized for its ability to improve the chemical, physical, and biological properties of soil, thereby enhancing crop productivity. However, the effects of biochar on photosynthetic and transpiration traits in rice crop–soil systems, particularly through the lens of on-site data subjected to [...] Read more.
Biochar is recognized for its ability to improve the chemical, physical, and biological properties of soil, thereby enhancing crop productivity. However, the effects of biochar on photosynthetic and transpiration traits in rice crop–soil systems, particularly through the lens of on-site data subjected to Box–Cox transformation, remain insufficiently explored. To address this, a two-factor randomized block design experiment was conducted using the rice cultivar Nangeng 9108 at the Agricultural Meteorology Experimental Station of Nanjing University of Information Science and Technology over the 2022–2023 principle phenophases. This study investigated changes in leaf stomatal conductance, photosynthetic, transpiration, and water-use efficiency (WUE) parameters under combined applications of biochar (0, 15, and 30 t/ha) and nitrogen fertilizer (0, 180, 225, and 300 kg/ha). Application of the Box–Cox transformation substantially improved data normality and variance homogeneity, enabling the development of a robust predictive model linking net photosynthetic rate to environmental factors. A two-way ANOVA further revealed that both the high nitrogen (300 kg/ha) with high biochar (30 t/ha) treatment and the conventional nitrogen (225 kg/ha) with moderate biochar (15 t/ha) treatment significantly enhanced rice photosynthetic and transpiration performance. Of particular note, the N225B15 treatment, which showed a net photosynthetic rate increase from 9.52% to 19.01%, and transpiration rate increase from 11.49% to 28.43%, is recommended as an optimal fertilization strategy for sustainable rice production. These results underscore the synergistic role of moderate biochar and nitrogen inputs in improving key physiological traits of rice, supporting higher crop yields. Full article
(This article belongs to the Section Water Use and Irrigation)
Show Figures

Figure 1

Back to TopTop