Evaluation of Soil Heavy Metals in Major Sugarcane-Growing Areas of Guangxi, China
Abstract
1. Introduction
2. Materials and Methods
2.1. Overview of the Study Area
2.2. Sample Collection and Processing
2.3. Sample Analysis
2.4. Evaluation Methods
2.4.1. Single-Factor Pollution Index Method
2.4.2. Nemerow Comprehensive Pollution Index Method
2.4.3. Geo-Accumulation Index Method
2.4.4. Potential Ecological Risk Assessment Method
2.4.5. Other Analyses
3. Results
3.1. Analysis of pH, Organic Matter, and Soil Heavy Metal Content Characteristics in Major Sugarcane-Producing Areas in Guangxi
3.2. Evaluation of Single-Factor Pollution Index in Major Sugarcane-Producing Areas in Guangxi
3.3. Evaluation of Nemerow Comprehensive Pollution Index in Guangxi’s Major Sugarcane Areas
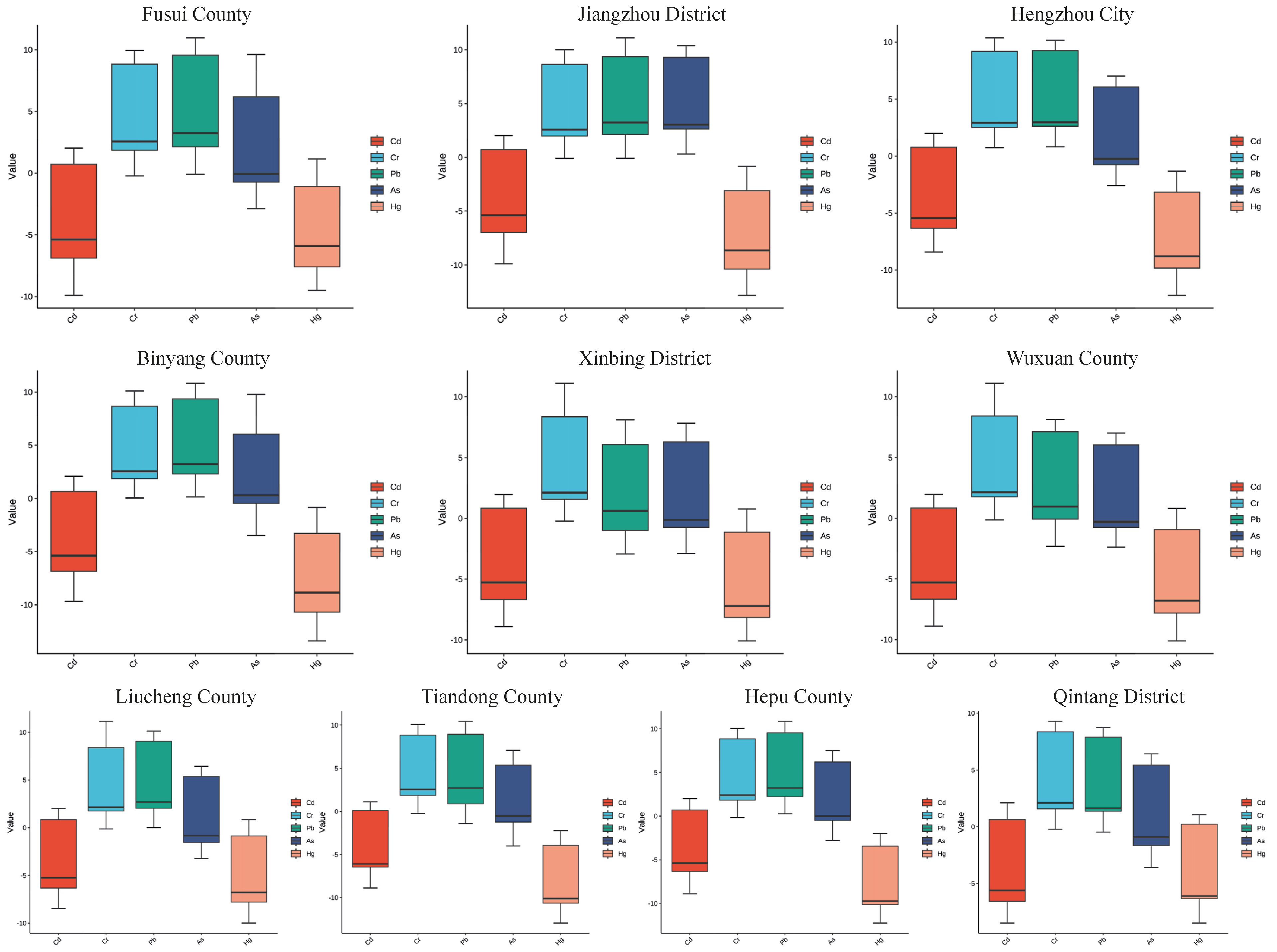
3.4. Evaluation of the Geoaccumulation Index in Guangxi’s Major Sugarcane Areas
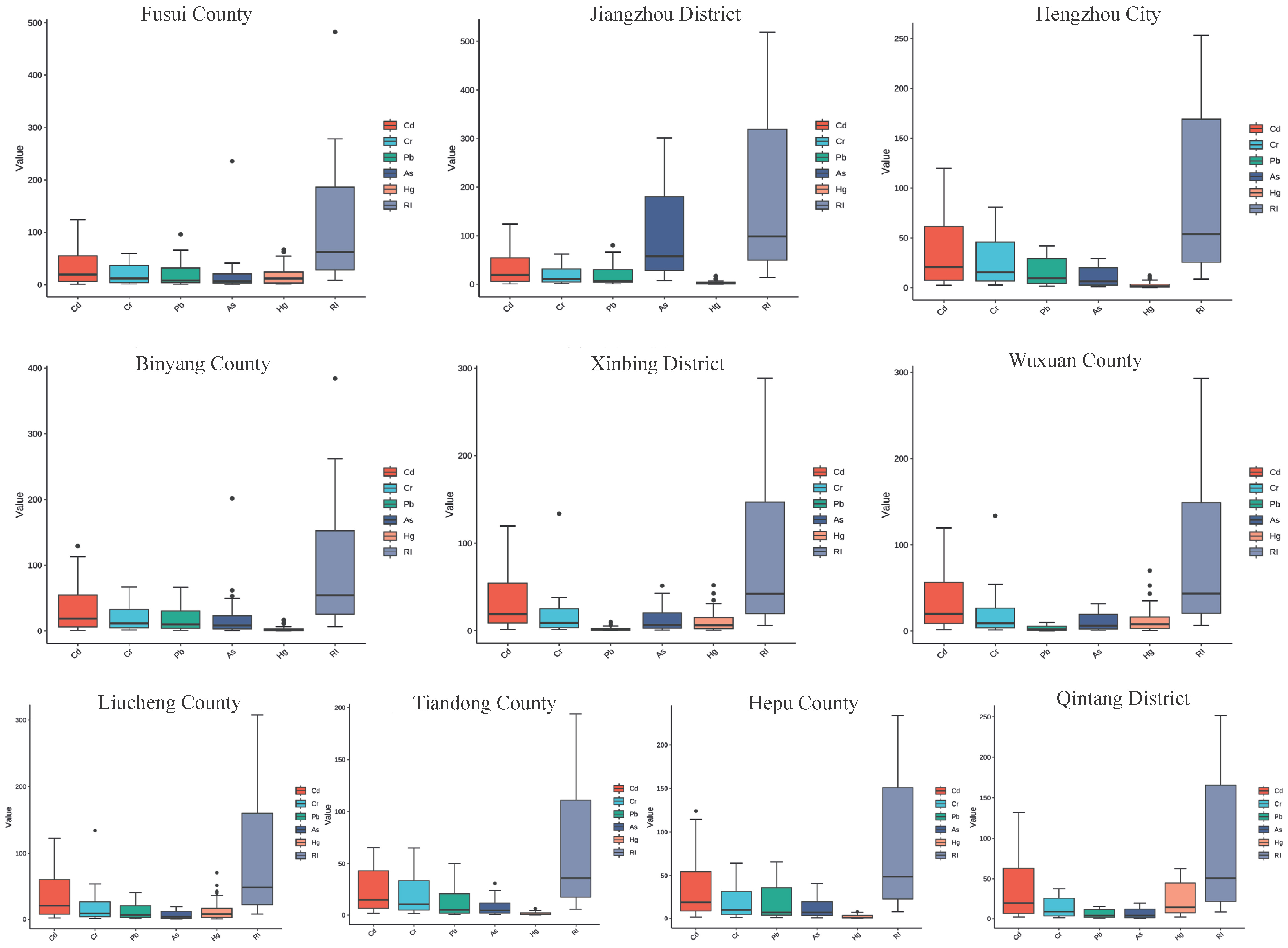
3.5. Assessment of Potential Ecological Risks in Major Sugarcane-Producing Areas in Guangxi
3.6. Correlation Among pH, Organic Matter, and Total and Available Heavy Metals
4. Discussion
5. Conclusions
Author Contributions
Funding
Data Availability Statement
Acknowledgments
Conflicts of Interest
References
- Li, Y.-R.; Zhang, B.-Q.; Song, X.-P.; Liang, Q.; Verma, K.K.; Li, D.-M. Development of sugar industry in China: R&D priorities for sustainable sugarcane production. Sugar Tech 2024, 26, 972–981. [Google Scholar] [CrossRef]
- Yan, C.; Li, X.; Zhan, L.; Li, Z.; Wen, J. Measurement of Production Efficiency and Analysis of Influencing Factors in Major Sugarcane-Producing Regions of China. Agriculture 2025, 15, 885. [Google Scholar] [CrossRef]
- Shukla, S.; Solomon, S.; Sharma, L.; Jaiswal, V.; Pathak, A.; Singh, P. Green technologies for improving cane sugar productivity and sustaining soil fertility in sugarcane-based cropping system. Sugar Tech 2019, 21, 186–196. [Google Scholar] [CrossRef]
- Misra, S.; Singh, B.P. Impact of heavy metal toxicity on sugarcane growth, development and productivity. In Agro-Industrial Perspectives on Sugarcane Production Under Environmental Stress; Springer: Berlin/Heidelberg, Germany, 2023; pp. 159–169. [Google Scholar]
- Liao, J.; Wang, T.; Fan, Y.; He, J.; Huang, F.; Mo, L. Effects of cadmium contamination on sugarcane growth, soil microorganism and soil enzyme activity. Agric. Sci. Technol. 2017, 18, 2378–2382. [Google Scholar]
- Zeng, Q.; Ling, Q.; Wu, J.; Yang, Z.; Liu, R.; Qi, Y. Excess copper-induced changes in antioxidative enzyme activity, mineral nutrient uptake and translocation in sugarcane seedlings. Bull. Environ. Contam. Toxicol. 2019, 103, 834–840. [Google Scholar] [CrossRef] [PubMed]
- Yadav, D.; Jain, R.; Rai, R. Impact of heavy metals on sugarcane. In Soil Heavy Metals; Springer: Berlin/Heidelberg, Germany, 2009; pp. 339–367. [Google Scholar]
- Xia, H.; Hai-rong, G.; Gui-ping, X.; Xiao-fei, W. Evaluation of heavy metal contamination to the irrigated sugarcane farmland soil in Guangxi. J. South. Agric. 2014, 45, 2183. [Google Scholar]
- He, D.M.; Wang, X.F.; Chen, L.J.; Su, R. Assessment on heavy metals contaminations of sugarcane soil in Guangxi Province by the geo-accumulation index and potential ecological risk index. J. Agric. Resour. Environ. 2014, 31, 126–131. [Google Scholar]
- Sun, X.B.; Gao, H.F.; Wang, X.M.; Lu, W.Y.; Guo, S. Analysis and Evaluation of Heavy Metal from Soil of Sugarcane Field in Xingbin District of Laibin City. Guangdong Chem. Ind. 2021, 48, 241–243+226. [Google Scholar]
- United States Department of Agriculture, Foreign Agricultural Service. Sugar Annual; CH2025-0086; United States Department of Agriculture: Washington, DC, USA, 2025.
- Tang, M.; Lu, G.; Fan, B.; Xiang, W.; Bao, Z. Bioaccumulation and risk assessment of heavy metals in soil-crop systems in Liujiang karst area, Southwestern China. Environ. Sci. Pollut. Res. 2021, 28, 9657–9669. [Google Scholar] [CrossRef]
- Zhong, X.-M.; Xia, D.-S.; Song, B.; Chen, T.-B. Review on soil cadmium study and risk assessment in Guangxi. J. Nat. Resour. 2017, 32, 1256–1270. [Google Scholar]
- da Silva, F.B.V.; do Nascimento, C.W.A.; Araújo, P.R.M.; da Silva, L.H.V.; da Silva, R.F. Assessing heavy metal sources in sugarcane Brazilian soils: An approach using multivariate analysis. Environ. Monit. Assess. 2016, 188, 457. [Google Scholar] [CrossRef]
- Alcívar, M.; Vinueza, E.; Pernía, B.; Álvarez-Montero, X.; Gallardo, A. Contamination by Cadmium and Lead in Sugarcane and Its Derived Products in Ecuador. Agriculture 2024, 14, 2121. [Google Scholar] [CrossRef]
- Pandey, B.; Suthar, S.; Singh, V. Accumulation and health risk of heavy metals in sugarcane irrigated with industrial effluent in some rural areas of Uttarakhand, India. Process Saf. Environ. Prot. 2016, 102, 655–666. [Google Scholar] [CrossRef]
- Ernesto, R.-A.; Harlen, C.-R. Historical review of the last 50 years of research on heavy metal pollution in Mexico. Environ. Earth Sci. 2025, 84, 397. [Google Scholar] [CrossRef]
- Ogidi, O.A.; Danja, B.; Sanusi, K.; Samuel, N.S.; Abubakar, A.; Hammashi, H. Heavy Metal Content of Agricultural Soils at Tumu, Akko Local Government Area of Gombe State, Nigeria. Int. J. Sci. Res. Publ. 2019, 9, 745–749. [Google Scholar] [CrossRef]
- Khan, M.J.; Azeem, M.T.; Jan, M.T.; Perveen, S. Effect of amendments on chemical immobilization of heavy metals in sugar mill contaminated soils. Soil Environ. 2012, 31, 55. [Google Scholar]
- Bridhikitti, A.; Kaewsuk, J.; Karaket, N.; Somchat, K.; Friend, R.; Sallach, B.; Chong, J.P.; Redeker, K.R. Sources and Magnitude of Heavy Metals in Sugarcane Plantation Soils with Different Agricultural Practices and Their Implications on Sustainable Waste-to-Foods Strategy in the Sugar–Ethanol Industry. Sustainability 2023, 15, 14816. [Google Scholar] [CrossRef]
- Kowalska, J.B.; Mazurek, R.; Gąsiorek, M.; Zaleski, T. Pollution indices as useful tools for the comprehensive evaluation of the degree of soil contamination–A review. Environ. Geochem. Health 2018, 40, 2395–2420. [Google Scholar] [CrossRef]
- Sakurai, K.; Ohdate, Y.; Kyuma, K. Comparison of salt titration and potentiometric titration methods for the determination of zero point of charge (ZPC). Soil Sci. Plant Nutr. 1988, 34, 171–182. [Google Scholar] [CrossRef]
- HJ 615-2011; Soil–Determination of Organic Carbon–Potassium Dichromate Oxidation Spectrophotometric Method. Ministry of Environmental Protection: Beijing, China, 2011; 9p.
- GB 5009.268-2025; National Food Safety Standard—Determination of Multi-Elements in Foods. National Health Commission of the People’s Republic of China: Beijing, China, 2025; 25p.
- GB 5009.17-2021; National Food Safety Standard—Determination of Total Mercury and Organic-mercury in Food. National Health Commission of the People’s Republic of China: Beijing, China, 2022; 25p.
- Gzar, H.A.; Abdul-Hameed, A.S.; Al-Taie, A. Extraction of lead, cadmium and nickel from contaminated soil using acetic acid. Open J. Soil Sci. 2014, 4, 207–214. [Google Scholar] [CrossRef]
- Zhang, Y.; Cao, Y.; Feng, N.; Liu, Y.; Zhang, Y.; Wang, Q.; Liu, J. Risk assessment of heavy metals in the soil of an abandoned coal mine area. J. China Coal Soc. 2024, 49, 3188–3198. [Google Scholar]
- GB 15618-2018; Soil environmental quality—Risk control standard for soil contamination of agricultural land. Ministry of Ecology and Environment: Beijing, China, 2018; 11p.
- Wang, W.; Wang, X.; Gao, S.; Sun, T.; Yuebing, S. Spatial distribution and ecological risk assessment of heavy metals in soil at the field scale. J. Agric. Resour. Environ. 2022, 39, 475. [Google Scholar]
- Muller, G. Index of geoaccumulation in sediments of the Rhine River. Geo J. 1969, 2, 108–118. [Google Scholar]
- Hakanson, L. An ecological risk index for aquatic pollution control. A sedimentological approach. Water Res. 1980, 14, 975–1001. [Google Scholar] [CrossRef]
- Xu, Z.Q.; Ni, S.J.; Tuo, X.; Zhang, C.J. Calculation of heavy metals’ toxicity coefficient in the evaluation of potential ecological risk index. Environ. Sci. Technol. 2008, 31, 112–115. [Google Scholar]
- Peterson, B.; Carl, P.; Boudt, K.; Bennett, R.; Ulrich, J.; Zivot, E.; Cornilly, D.; Hung, E.; Lestel, M.; Balkissoon, K. Package ‘PerformanceAnalytics’, R Team Cooperation: Vienna, Austria, 2018; Volume 3, pp. 13–14.
- Guo, J.W.; Zhang, Y.B.; Liu, S.C. Study on the distribution of soil organic matter and available nutrients in the main sugarcane producing areas of Yunnan. Soil Bull. 2010, 41, 872–876. [Google Scholar]
- Meng, B.; Zhou, Y.F.; Zhan, J.; Yang, L.S.; Deng, Y. Investigation on soil fertility and leaf nutrient status in sugarcane areas of Guangxi. Soil Fertil. China 2022, 55, 181–188. [Google Scholar]
- Yan, Z.; Rulin, X.; Jiayu, P.; Jinsheng, H.; Xiaowei, S. Analysis on soil acidification characteristics in the main sugarcane producing areas of Guangxi. South. J. Agric. 2024, 55, 2623–2631. [Google Scholar]
- Yuan, X.; Luo, Y.; Liang, R.; Ma, L.; Ren, X.; He, T.; Liang, Y.; Chen, B.; Wang, Z.; Yao, W. Neutral soil supports better growth and productivity of sugarcane (Saccharum officinarum L.) than acidic soil in China. J. Agric. Food Res. 2025, 23, 102265. [Google Scholar] [CrossRef]
- Gerke, J. The central role of soil organic matter in soil fertility and carbon storage. Soil Syst. 2022, 6, 33. [Google Scholar] [CrossRef]
- McCray, M.; Swanson, S. Soil Organic Matter Impacts on Sugarcane Production on Florida Mineral Soils: SS-AGR-442/AG441, 2/2020. EDIS 2020, 2020. [Google Scholar] [CrossRef]
- Pahalvi, H.N.; Rafiya, L.; Rashid, S.; Nisar, B.; Kamili, A.N. Chemical fertilizers and their impact on soil health. In Microbiota and Biofertilizers, Vol 2: Ecofriendly Tools for Reclamation of Degraded Soil Environs; Springer: Berlin/Heidelberg, Germany, 2021; pp. 1–20. [Google Scholar]
- Wen, S.B.; Ge, C.; Li, M.; Zou, Y.K.; Hou, X.W. Effects of different returning field methods on soil nutrient of sugarcane. J. Trop. Crops 2017, 38, 1423–1426. [Google Scholar]
- Zhou, Y.; Aamir, M.; Liu, K.; Yang, F.; Liu, W. Status of mercury accumulation in agricultural soil across China: Spatial distribution, temporal trend, influencing factor and risk assessment. Environ. Pollut. 2018, 240, 116–124. [Google Scholar] [CrossRef] [PubMed]
- Huang, Y.; Wang, L.; Wang, W.; Li, T.; He, Z.; Yang, X. Current status of agricultural soil pollution by heavy metals in China: A meta-analysis. Sci. Total Environ. 2019, 651, 3034–3042. [Google Scholar] [CrossRef]
- Zhang, B.; Hou, H.; Huang, Z.; Zhao, L. Estimation of heavy metal soil contamination distribution, hazard probability, and population at risk by machine learning prediction modeling in Guangxi, China. Environ. Pollut. 2023, 330, 121607. [Google Scholar] [CrossRef]
- Alloway, B.J. Sources of heavy metals and metalloids in soils. In Heavy Metals in Soils: Trace Metals and Metalloids in Soils and Their Bioavailability; Springer: Berlin/Heidelberg, Germany, 2012; pp. 11–50. [Google Scholar]
- Ghadeer, A.; Ibrahim, A.; Al-Masri, M. Geochemistry of uranium and thorium in phosphate deposits at the Syrian coastal area (Al-Haffah and Al-Qaradaha) and their environmental impacts. Environ. Geochem. Health 2019, 41, 1861–1873. [Google Scholar] [CrossRef]
- Kim, B.S.M.; Angeli, J.L.F.; Ferreira, P.A.L.; de Mahiques, M.M.; Figueira, R.C.L. Critical evaluation of different methods to calculate the Geoaccumulation Index for environmental studies: A new approach for Baixada Santista–Southeastern Brazil. Mar. Pollut. Bull. 2018, 127, 548–552. [Google Scholar] [CrossRef]
- Jia, Z.; Wang, J.; Li, B.; Li, Y.; Zhou, Y.; Tong, G.; Yan, D.; Zhou, S. An integrated methodology for improving heavy metal risk management in soil-rice system. J. Clean. Prod. 2020, 273, 122797. [Google Scholar] [CrossRef]
- Cong, D.; Zhiliang, C.; He, L.; Xiaochun, P.; Haolin, F.; Yuenan, Z.; Guojian, L.; Shuhua, Z. Correlation analysis between total and available content of heavy metals in agricultural soils in Changsha, Zhuzhou and Xiangtan areas. J. Ecol. Environ. 2012, 21, 2002–2006. [Google Scholar]
- Jin, H.; Cheng, J.M. Study on basic properties of soil under different tillage methods. Anhui Agric. Sci. 2012, 40, 3322–3323. [Google Scholar]
- Li, Z.Y.; Zhang, C.L.; Deng, C.B.; Gu, M.H.; Li, L.; Liu, M. Analysis on the spatial distribution of available heavy metals and their influencing factors in farmland soils in lead-zinc mining areas. J. Ecol. Environ. 2009, 18, 5. [Google Scholar]
- McBride, M. Reactions controlling heavy metal solubility in soils. In Advances in Soil Science; Springer: Berlin/Heidelberg, Germany, 1989; Volume 10, pp. 1–56. [Google Scholar]
- Kirkham, M.B. Cadmium in plants on polluted soils: Effects of soil factors, hyperaccumulation, and amendments. Geoderma 2006, 137, 19–32. [Google Scholar] [CrossRef]
- Kubier, A.; Wilkin, R.T.; Pichler, T. Cadmium in soils and groundwater: A review. Appl. Geochem. 2019, 108, 104388. [Google Scholar] [CrossRef] [PubMed]
- Zhong, C.; Lin, Z.; Hu, W.; Xu, Z. Evaluating the long-term stability of iron oxide-adsorbed cadmium: The role of organic acids and microbial agents in re-mobilization dynamics. J. Environ. Chem. Eng. 2025, 13, 115502. [Google Scholar] [CrossRef]




| Single-Factor Pollution Index | Pollution Level | Nemerow Comprehensive Pollution Index | Pollution Level | Geo-Accumulation Index | Pollution Level |
|---|---|---|---|---|---|
| Pi ≤ 1.0 | Clean | PN ≤ 0.7 | Safe | Igeo ≤ 0 | No pollution |
| 1.0 < Pi ≤ 2.0 | Slightly polluted | 0.7 < PN ≤ 1 | Warning level | 0 < Igeo ≤ 1 | Light pollution |
| 2.0 < Pi ≤ 3.0 | Slightly polluted | 1 < PN ≤ 2 | Mild pollution | 1 < Igeo ≤ 2 | Moderate pollution |
| 3.0 < Pi ≤ 5.0 | Moderately polluted | 2 < PN ≤ 3 | Moderate pollution | 2 < Igeo ≤ 3 | High pollution |
| Pi > 5.0 | Heavily polluted | PN > 3 | Severe pollution | Igeo > 3 | Severe pollution |
| Ecological Risk Level of a Single Heavy Metal | Comprehensive Pollution Potential Ecological Risk Level | ||
|---|---|---|---|
| < 40 | low ecological risk | RI < 150 | low ecological risk |
| 40 ≤ < 80 | moderate ecological risk | 150 ≤ RI < 300 | moderate ecological risk |
| 80 ≤ < 160 | higher ecological risk | 300 ≤ RI < 600 | higher ecological risk |
| 160 ≤ < 320 | high ecological risk | 600 ≤ RI < 1200 | high ecological risk |
| ≥ 320 | extremely high ecological risk | RI ≥ 1200 | extremely high ecological risk |
| Sugarcane Area → | Fusui County | Jiangzhou District | Yokoshu City | Binyang County | Xingbin District | Wuxuan County | Liucheng County | Tiandong County | Hepu County | Qintang District | |
|---|---|---|---|---|---|---|---|---|---|---|---|
| pH and Organic Matter ↓ | |||||||||||
| pH value | maximum value | 5.12 | 5.13 | 6.5 | 5.95 | 6.54 | 4.25 | 6.15 | 5.36 | 5.42 | 6.52 |
| minimum value | 4.07 | 4.02 | 4.94 | 4.85 | 4.22 | 6.5 | 5.03 | 4.13 | 4.12 | 4.92 | |
| average value | 4.69 | 4.69 | 5.64 | 5.45 | 5.15 | 5.17 | 5.45 | 4.67 | 4.63 | 5.64 | |
| <4.5 samples | 15 | 12 | 0 | 0 | 3 | 3 | 0 | 19 | 25 | 0 | |
| ≥6.5 samples | 0 | 0 | 1 | 0 | 1 | 0 | 0 | 0 | 0 | 1 | |
| organic matter | maximum value (g/kg) | 3.2 | 3.21 | 3.27 | 3.25 | 3.25 | 3.29 | 3.92 | 1.79 | 2.85 | 3.23 |
| minimum value (g/kg) | 1.43 | 1.43 | 1.64 | 2.02 | 1.68 | 1.61 | 1.97 | 2.83 | 1.57 | 1.64 | |
| average value (g/kg) | 2.24 | 2.27 | 2.43 | 2.66 | 2.4 | 2.4 | 2.77 | 2.42 | 2.07 | 2.45 | |
| standard deviation | 0.42 | 0.41 | 0.4 | 0.29 | 0.42 | 0.41 | 0.4 | 0.22 | 0.36 | 0.41 | |
| coefficient of variation | 18.88 | 18.14 | 16.25 | 10.94 | 17.32 | 17.12 | 14.31 | 9.06 | 17.31 | 16.57 | |
| Sugarcane Area → | Fusui County | Jiangzhou District | Yokoshu City | Binyang County | Xingbin District | Wuxuan County | Liucheng County | Tiandong County | Hepu County | Qintang District | |
|---|---|---|---|---|---|---|---|---|---|---|---|
| Content (mg/kg) ↓ | |||||||||||
| Cd | Max. value | 0.99 | 0.97 | 0.92 | 0.99 | 0.99 | 0.99 | 0.98 | 0.49 | 0.99 | 0.99 |
| Min. value | 0.13 | 0.13 | 0.21 | 0.15 | 0.21 | 0.21 | 0.24 | 0.21 | 0.21 | 0.31 | |
| Avg. value | 0.60 | 0.59 | 0.59 | 0.57 | 0.6 | 0.62 | 0.63 | 0.42 | 0.62 | 0.60 | |
| Over-limit ratio (%) | 86 | 84 | 96 | 86 | 86 | 90 | 96 | 94 | 94 | 100 | |
| Cr | Max. value | 252.21 | 302.71 | 303.11 | 261.61 | 503.12 | 503.12 | 503.12 | 255.05 | 255.03 | 171.61 |
| Min. value | 105.54 | 115.58 | 201.23 | 107.52 | 71.61 | 101.71 | 101.71 | 104.55 | 104.78 | 101.27 | |
| Avg. value | 165.85 | 163.08 | 226.74 | 173.61 | 130.74 | 144.57 | 144.57 | 162.11 | 159.83 | 124.86 | |
| Over-limit rate (%) | 68 | 62 | 100 | 76 | 2 | 20 | 20 | 64 | 56 | 2 | |
| Pb | Max. value | 801 | 703.1 | 275.1 | 603.2 | 75.1 | 73.6 | 267.2 | 339.5 | 439.8 | 99.8 |
| Min. value | 116.1 | 43.6 | 211.5 | 136.1 | 11.5 | 24.6 | 124.7 | 31.3 | 131.7 | 90.1 | |
| Avg. value | 277.5 | 270 | 233.22 | 272.8 | 34.4 | 49.8 | 180.92 | 162.27 | 262.3 | 95 | |
| Over-limit rate (%) | 48 | 60 | 16 | 50 | 0 | 0 | 6 | 12 | 54 | 0 | |
| As | Max. value | 314.4 | 390.1 | 29.7 | 301.7 | 57.4 | 30 | 20.7 | 34.3 | 44.3 | 19.9 |
| Min. value | 10.2 | 140.2 | 20.1 | 11.1 | 15.8 | 19.4 | 10.3 | 6.5 | 16.8 | 10.2 | |
| Avg. value | 33.5 | 273.6 | 25.34 | 52.46 | 29.1 | 25.5 | 16.04 | 18.3 | 28.28 | 15.35 | |
| Over-limit rate (%) | 12 | 100 | 0 | 24 | 14 | 0 | 0 | 0 | 10 | 0 | |
| Hg | Max. value | 0.939 | 0.171 | 0.095 | 0.128 | 0.39 | 0.727 | 0.791 | 0.062 | 0.072 | 0.49 |
| Min. value | 0.055 | 0.009 | 0.014 | 0.008 | 0.074 | 0.048 | 0.052 | 0.004 | 0.013 | 0.33 | |
| Avg. value | 0.35 | 0.059 | 0.058 | 0.047 | 0.184 | 0.251 | 0.266 | 0.026 | 0.036 | 0.44 | |
| Over-limit rate (%) | 50 | 0 | 0 | 0 | 6 | 22 | 24 | 0 | 0 | 100 | |
| Sugarcane Area | Fusui County | Jiangzhou District | Yokoshu City | Binyang County | Xingbin District | Wuxuan County | Liucheng County | Tiandong County | Hepu County | Qintang District | |
|---|---|---|---|---|---|---|---|---|---|---|---|
| Sample Quantity | |||||||||||
| Cd | Pi ≤ 1, clean | 7 | 8 | 2 | 7 | 7 | 5 | 2 | 3 | 3 | 0 |
| 1.0 < Pi ≤ 2.0, slightly polluted | 17 | 16 | 25 | 22 | 19 | 20 | 23 | 47 | 21 | 26 | |
| 2.0 < Pi ≤ 3.0, mildly polluted | 18 | 19 | 22 | 15 | 16 | 17 | 16 | 0 | 18 | 23 | |
| 3.0 < Pi ≤ 5.0, moderately polluted | 8 | 7 | 1 | 6 | 8 | 8 | 9 | 0 | 8 | 1 | |
| Avg. Pi | 2.00 | 1.96 | 1.98 | 1.91 | 2.01 | 2.07 | 2.1 | 1.41 | 2.07 | 1.98 | |
| Over-limit rate (%) | 86 | 84 | 96 | 86 | 86 | 90 | 96 | 94 | 94 | 100 | |
| Cr | Pi ≤ 1, clean | 16 | 19 | 0 | 12 | 49 | 40 | 40 | 18 | 22 | 49 |
| 1.0 < Pi ≤ 2.0, slightly polluted | 34 | 30 | 49 | 38 | 0 | 9 | 9 | 32 | 28 | 1 | |
| 2.0 < Pi ≤ 3.0, mildly polluted | 0 | 1 | 1 | 0 | 0 | 0 | 0 | 0 | 0 | 0 | |
| 3.0 < Pi ≤ 5.0, moderately polluted | 0 | 0 | 0 | 0 | 1 | 1 | 1 | 0 | 0 | 0 | |
| Avg. Pi | 1.11 | 1.09 | 1.50 | 1.16 | 0.87 | 0.96 | 0.96 | 1.08 | 1.07 | 0.83 | |
| Over-limit rate (%) | 68 | 62 | 100 | 76 | 2 | 20 | 20 | 64 | 56 | 2 | |
| Pb | Pi ≤ 1, clean | 26 | 25 | 42 | 25 | 50 | 0 | 47 | 44 | 23 | 50 |
| 1.0 < Pi ≤ 2.0, slightly polluted | 21 | 22 | 8 | 23 | 0 | 0 | 3 | 6 | 27 | 0 | |
| 2.0 < Pi ≤ 3.0, mildly polluted | 2 | 3 | 0 | 2 | 0 | 0 | 0 | 0 | 0 | 0 | |
| 3.0 < Pi ≤ 5.0, moderately polluted | 1 | 0 | 0 | 0 | 0 | 0 | 0 | 0 | 0 | 9 | |
| Avg. Pi | 1.11 | 1.08 | 0.93 | 1.09 | 0.14 | 0.20 | 0.72 | 0.65 | 1.05 | 0.38 | |
| Over-limit rate (%) | 48 | 50 | 16 | 50 | 0 | 0 | 6 | 12 | 54 | 0 | |
| As | Pi ≤ 1, clean | 44 | 0 | 0 | 38 | 42 | 0 | 50 | 50 | 45 | 0 |
| 1.0 < Pi ≤ 2.0, slightly polluted | 5 | 0 | 0 | 5 | 8 | 0 | 0 | 0 | 5 | 0 | |
| 2.0 < Pi ≤ 3.0, mildly polluted | 0 | 0 | 0 | 1 | 0 | 0 | 0 | 0 | 0 | 0 | |
| 3.0 < Pi ≤ 5.0, moderately polluted | 0 | 9 | 0 | 2 | 0 | 0 | 0 | 0 | 0 | 0 | |
| Avg. Pi | 1 | 41 | 0 | 4 | 0 | 0 | 0 | 0 | 0 | 0 | |
| Over-limit rate (%) | 0.84 | 5.94 | 0.64 | 1.31 | 0.73 | 0.64 | 0.40 | 0.46 | 0.71 | 0.39 | |
| Pi ≤ 1, clean | 12 | 100 | 0 | 24 | 16 | 0 | 0 | 0 | 10 | 0 | |
| Hg | Pi ≤ 1, clean | 25 | 0 | 0 | 50 | 47 | 39 | 38 | 0 | 0 | 1 |
| 1.0 < Pi ≤ 2.0, slightly polluted | 18 | 0 | 0 | 0 | 3 | 7 | 8 | 0 | 0 | 49 | |
| 2.0 < Pi ≤ 3.0, mildly polluted | 6 | 0 | 0 | 0 | 0 | 4 | 4 | 0 | 0 | 0 | |
| 3.0 < Pi ≤ 5.0, moderately polluted | 1 | 0 | 0 | 0 | 0 | 0 | 0 | 0 | 0 | 0 | |
| Avg. Pi | 1.17 | 0.20 | 0.19 | 0.16 | 0.73 | 0.83 | 0.89 | 0.09 | 0.12 | 1.46 | |
| Over-limit rate (%) | 50 | 0 | 0 | 0 | 6 | 22 | 24 | 0 | 0 | 98 | |
| Sugarcane Area | Number of Samples (% Share) | P Comprehensive Average | ||||
|---|---|---|---|---|---|---|
| P total ≤ 0.7, Safe | 0.7 < P Total ≤ 1.0, Warning Line | 1.0 < P < 2.0, Mild | 2.0 < P-Sum ≤ 3.0, Moderate | P-Sum > 3.0, Severe | ||
| Fusui County | 0 (0) | 0 (0) | 32 (64) | 17 (34) | 1 (2) | 1.90 |
| Jiangzhou District | 0 (0) | 0 (0) | 0 (0) | 4 (8) | 46 (92) | 4.45 |
| Hengzhou City | 0 (0) | 44 (88) | 6 (12) | 0 (0) | 0 (0) | 1.62 |
| Binyang County | 0 (0) | 1 (2) | 34 (68) | 9 (18) | 6 (12) | 1.97 |
| Xingbin District | 0 (0) | 8 (16) | 29 (58) | 13 (26) | 0 (0) | 1.58 |
| Wuxuan County | 0 (0) | 7 (14) | 29 (58) | 14 (28) | 0 (0) | 1.66 |
| Liucheng County | 0 (0) | 2 (4) | 33 (66) | 15 (30) | 0 (0) | 1.71 |
| Tiandong County | 0 (0) | 5 (10) | 45 (90) | 0 (0) | 0 (0) | 1.15 |
| Hepu County | 0 (0) | 0 (0) | 37 (74) | 13 (26) | 0 (0) | 1.67 |
| Qintang District | 0 (0) | 0 (0) | 41 (82) | 9 (18) | 0 (0) | 1.62 |
Disclaimer/Publisher’s Note: The statements, opinions and data contained in all publications are solely those of the individual author(s) and contributor(s) and not of MDPI and/or the editor(s). MDPI and/or the editor(s) disclaim responsibility for any injury to people or property resulting from any ideas, methods, instructions or products referred to in the content. |
© 2026 by the authors. Licensee MDPI, Basel, Switzerland. This article is an open access article distributed under the terms and conditions of the Creative Commons Attribution (CC BY) license.
Share and Cite
Luo, Y.; Yang, C.; Zhou, S.; Zhang, B.; Su, S.; Lu, S.; Yang, Z.; Feng, B.; Liu, S.; Liu, L.; et al. Evaluation of Soil Heavy Metals in Major Sugarcane-Growing Areas of Guangxi, China. Agronomy 2026, 16, 185. https://doi.org/10.3390/agronomy16020185
Luo Y, Yang C, Zhou S, Zhang B, Su S, Lu S, Yang Z, Feng B, Liu S, Liu L, et al. Evaluation of Soil Heavy Metals in Major Sugarcane-Growing Areas of Guangxi, China. Agronomy. 2026; 16(2):185. https://doi.org/10.3390/agronomy16020185
Chicago/Turabian StyleLuo, Yawei, Cuifang Yang, Shan Zhou, Baoqing Zhang, Shuquan Su, Shanyu Lu, Zuli Yang, Bin Feng, Shiping Liu, Limin Liu, and et al. 2026. "Evaluation of Soil Heavy Metals in Major Sugarcane-Growing Areas of Guangxi, China" Agronomy 16, no. 2: 185. https://doi.org/10.3390/agronomy16020185
APA StyleLuo, Y., Yang, C., Zhou, S., Zhang, B., Su, S., Lu, S., Yang, Z., Feng, B., Liu, S., Liu, L., & Gao, Y. (2026). Evaluation of Soil Heavy Metals in Major Sugarcane-Growing Areas of Guangxi, China. Agronomy, 16(2), 185. https://doi.org/10.3390/agronomy16020185
