Soil Environmental Factors Dominate over Nitrifier and Denitrifier Abundances in Regulating Nitrous Oxide Emissions Following Nutrient Additions in Alpine Grassland
Abstract
1. Introduction
2. Materials and Methods
2.1. Experimental Site and Design
2.2. N2O Flux Determination
2.3. Soil and Plant Collection
2.4. Soil Chemical Analysis
2.5. Determination of Denitrifying and Nitrifying Enzyme Activity
2.6. Soil DNA Extraction and Quantitative PCR
2.7. Statistical Analysis
3. Results
3.1. Environmental Condition
3.2. N2O Flux and Plant Biomass
3.3. Soil Chemical Characteristics
3.4. Nitrifying Enzyme Activity and Denitrifying Enzyme Activity
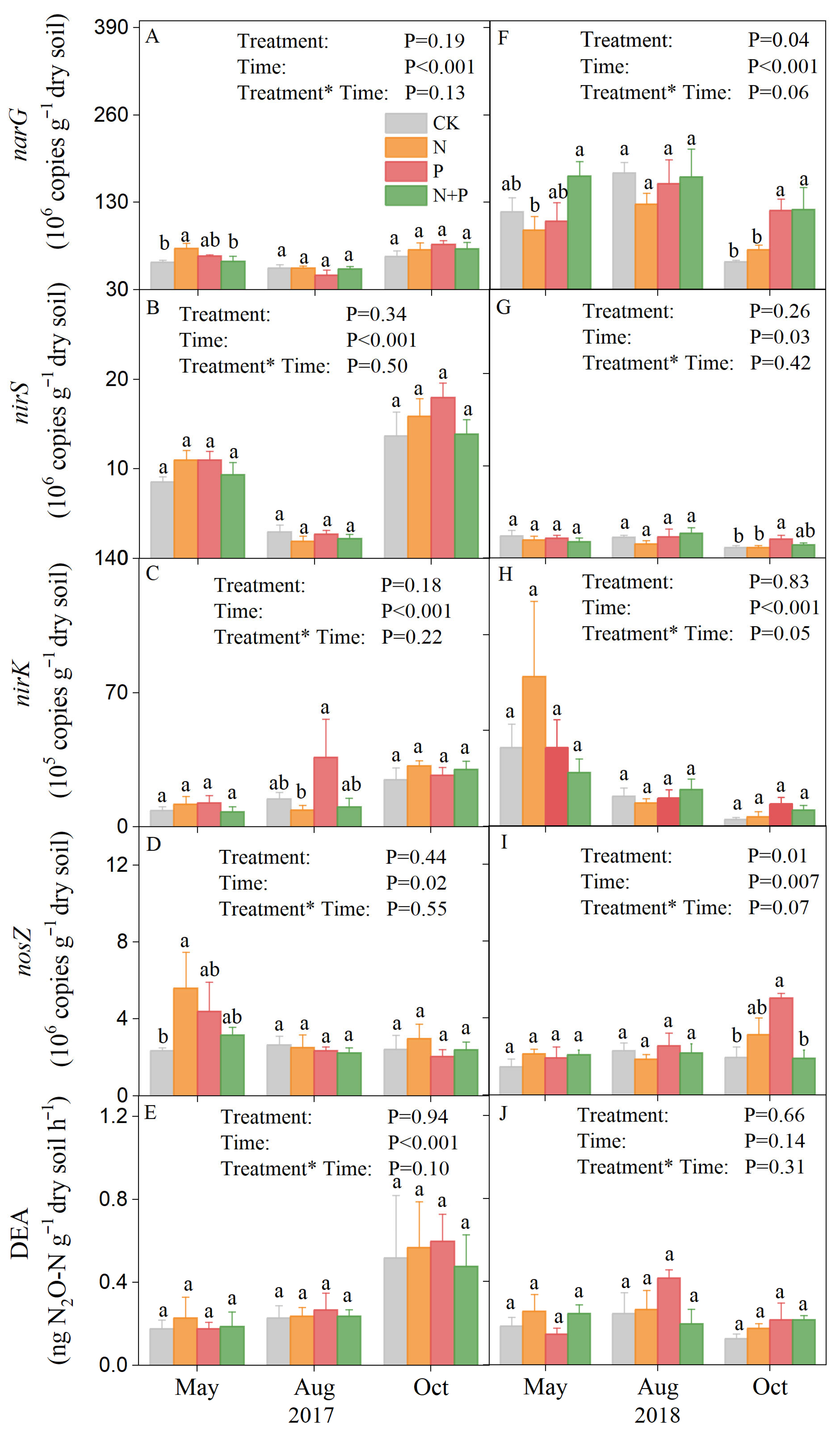
3.5. Abundance of Functional Genes
3.6. Relationships Between N2O Emissions, Soil Properties, and Functional Gene Abundance
4. Discussion
4.1. Effect of N and P Additions on N2O Emissions
4.2. Impact of N and P Additions on the Abundance and Activity of Nitrifiers and Denitrifiers
4.3. Linkage Between Functional Genes and N2O Flux
5. Conclusions
Supplementary Materials
Author Contributions
Funding
Data Availability Statement
Conflicts of Interest
References
- NOAA Global Monitoring Laboratory. Nitrous Oxide Trends. National Oceanic and Atmospheric Administration, 2025. National Oceanic and Atmospheric Administration. Available online: https://gml.noaa.gov/ccgg/trends_n2o/ (accessed on 1 January 2025).
- IPCC. Climate Change 2013: The Physical Science Basis; Cambridge University Press: New York, NY, USA, 2013. [Google Scholar]
- Smil, V. Phosphorus in the environment: Natural flows and human interferences. Annu. Rev. Energy Environ. 2000, 25, 53–88. [Google Scholar] [CrossRef]
- de Groot, C.C.; Marcelis, L.F.; van den Boogaard, R.; Kaiser, W.M.; Lambers, H. Interaction of nitrogen and phosphorus nutrition in determining growth. Plant Soil 2003, 248, 257–268. [Google Scholar] [CrossRef]
- Wolf, B.; Zheng, X.; Bruggemann, N.; Chen, W.; Dannenmann, M.; Han, X.; Sutton, M.A.; Wu, H.; Yao, Z.; Butterbach-Bahl, K. Grazing-induced reduction of natural nitrous oxide release from continental steppe. Nature 2010, 464, 881–884. [Google Scholar] [CrossRef] [PubMed]
- Bünemann, E.K.; Oberson, A.; Frossard, E. Phosphorus in Action: Biological Processes in Soil Phosphorus Cycling; Springer Science and Business Media: Berlin/Heidelberg, Germany, 2010. [Google Scholar]
- Baral, B.R.; Kuyper, T.W.; van Groenigen, J.W. Liebig’s law of the minimum applied to a greenhouse gas: Alleviation of P-limitation reduces soil N2O emission. Plant Soil 2014, 374, 539–548. [Google Scholar] [CrossRef]
- Mori, T.; Ohta, S.; Ishizuka, S.; Konda, R.; Wicaksono, A.; Heriyanto, J. Phosphorus application reduces N2O emissions from tropical leguminous plantation soil when phosphorus uptake is occurring. Biol. Fertil. Soils 2013, 50, 45–51. [Google Scholar] [CrossRef]
- Chen, J.; Ma, X.; Lu, X.; Xu, H.; Chen, D.; Li, Y.; Zhou, Z.; Li, Y.; Ma, S.; Yakov, K. Long-term phosphorus addition alleviates CO2 and N2O emissions via altering soil microbial functions in secondary rather than primary tropical forests. Environ. Pollut. 2023, 323, 121295. [Google Scholar] [CrossRef]
- Mehnaz, K.R.; Dijkstra, F.A. Denitrification and associated N2O emissions are limited by phosphorus availability in a grassland soil. Geoderma 2016, 284, 34–41. [Google Scholar] [CrossRef]
- He, M.; Dijkstra, F.A. Phosphorus addition enhances loss of nitrogen in a phosphorus-poor soil. Soil Biol. Biochem. 2015, 82, 99–106. [Google Scholar] [CrossRef]
- Mehnaz, K.R.; Keitel, C.; Dijkstra, F.A. Effects of carbon and phosphorus addition on microbial respiration, N2O emission, and gross nitrogen mineralization in a phosphorus-limited grassland soil. Biol. Fertil. Soils 2018, 54, 481–493. [Google Scholar] [CrossRef]
- Zheng, M.H.; Zhang, T.; Li, L.; Zhu, W.X.; Zhang, W.; Mo, J.M. Effects of nitrogen and phosphorus additions on nitrous oxide emission in a nitrogen-rich and two nitrogen-limited tropical forests. Biogeosciences 2016, 13, 3503–3517. [Google Scholar] [CrossRef]
- Kuypers, M.M.M.; Marchant, H.K.; Kartal, B. The microbial nitrogen-cycling network. Nat. Rev. Microbiol. 2018, 16, 263–276. [Google Scholar] [CrossRef] [PubMed]
- Kowalchuk, G.A.; Stephen, J.R. Ammonia-oxidizing bacteria: A model for molecular microbial ecology. Annu. Rev. Microbiol. 2001, 55, 485. [Google Scholar] [CrossRef] [PubMed]
- Simon, J.; Klotz, M.G. Diversity and evolution of bioenergetic systems involved in microbial nitrogen compound transformations. Biochim. Biophys. Acta 2013, 1827, 114–135. [Google Scholar] [CrossRef] [PubMed]
- Butterbach-Bahl, K.; Baggs, E.M.; Dannenmann, M.; Kiese, R.; Zechmeister-Boltenstern, S. Nitrous oxide emissions from soils: How well do we understand the processes and their controls? Philos. Trans. R. Soc. Lond. B Biol. Sci. 2013, 368, 20130122. [Google Scholar] [CrossRef]
- Chen, H.; Zhang, W.; Gurmesa, G.A.; Zhu, X.; Li, D.; Mo, J. Phosphorus addition affects soil nitrogen dynamics in a nitrogen-saturated and two nitrogen-limited forests. Eur. J. Soil Sci. 2017, 68, 472–479. [Google Scholar] [CrossRef]
- Romero, I.C.; Jacobson, M.; Fuhrman, J.A.; Fogel, M.; Capone, D.G. Long-term nitrogen and phosphorus fertilization effects on N2 fixation rates and nifH gene community patterns in mangrove sediments. Mar. Ecol. 2012, 33, 117–127. [Google Scholar] [CrossRef]
- You, L.; Ros, G.H.; Chen, Y.; Yang, X.; Cui, Z.; Liu, X.; Jiang, R.; Zhang, F.; Vries, W.D. Global meta-analysis of terrestrial nitrous oxide emissions and associated functional genes under nitrogen addition. Soil Biol. Biochem. 2022, 165, 108523. [Google Scholar] [CrossRef]
- Song, L.; Niu, S. Increased soil microbial AOB amoA and narG abundances sustain long-term positive responses of nitrification and denitrification to N deposition. Soil Biol. Biochem. 2022, 166, 108539. [Google Scholar] [CrossRef]
- Chen, Y.L.; Hu, H.W.; Han, H.Y.; Du, Y.; Wan, S.Q.; Xu, Z.W.; Chen, B.D. Abundance and community structure of ammonia-oxidizing archaea and bacteria in response to fertilization and mowing in a temperate steppe in Inner Mongolia. FEMS Microbiol. Ecol. 2014, 89, 67–79. [Google Scholar] [CrossRef]
- Wei, X.; Hu, Y.; Peng, P.; Zhu, Z.; Atere, C.T.; O’Donnell, A.G.; Wu, J.; Ge, T. Effect of P stoichiometry on the abundance of nitrogen-cycle genes in phosphorus-limited paddy soil. Biol. Fertil. Soils 2017, 53, 767–776. [Google Scholar] [CrossRef]
- Tang, Y.; Yu, G.; Zhang, X.; Wang, Q.; Tian, D.; Tian, J.; Niu, S.; Ge, J. Environmental variables better explain changes in potential nitrification and denitrification activities than microbial properties in fertilized forest soils. Sci. Total Environ. 2019, 647, 653–662. [Google Scholar] [CrossRef] [PubMed]
- Domeignoz-Horta, L.A.; Philippot, L.; Peyrard, C.; Bru, D.; Breuil, M.C.; Bizouard, F.; Justes, E.; Mary, B.; Leonard, J.; Spor, A. Peaks of in situ N2O emissions are influenced by N2O-producing and reducing microbial communities across arable soils. Glob. Chang. Biol. 2018, 24, 360–370. [Google Scholar] [CrossRef] [PubMed]
- Liu, Y.; Li, L.; Li, X.; Yue, Z.; Liu, B. Effect of nitrogen and phosphorus addition on leaf nutrient concentrations and nutrient resorption efficiency of two dominant alpine grass species. J. Arid Land 2021, 13, 1041–1053. [Google Scholar] [CrossRef]
- Liu, Y.; Liu, B.; Yue, Z.; Zeng, F.; Li, X.; Li, L. Effects of short-term nitrogen and phosphorus addition on leaf stoichiometry of a dominant alpine grass. PeerJ 2021, 9, e12611. [Google Scholar] [CrossRef]
- Carter, M.R. Soil sampling and methods of analysis. J. Environ. Qual. 1993, 38, 15–24. [Google Scholar]
- Yue, P.; Li, K.; Gong, Y.; Hu, Y.; Mohammat, A.; Christie, P.; Liu, X. A five-year study of the impact of nitrogen addition on methane uptake in alpine grassland. Sci. Rep. 2016, 6, 32064. [Google Scholar] [CrossRef]
- Pedersen, A.R. R Package, Version 0.3.1; HMR: Flux Estimation with Static Chamber Data. 2011. Available online: https://cran.r-project.org/web/packages/HMR/index.html (accessed on 10 February 2018).
- Dong, J.; Che, R.; Jia, S.; Wang, F.; Zhang, B.; Cui, X.; Wang, S.; Wang, S. Responses of ammonia-oxidizing archaea and bacteria to nitrogen and phosphorus amendments in an alpine steppe. Eur. J. Soil Sci. 2019, 71, 940–954. [Google Scholar] [CrossRef]
- Hart, S.C.; Stark, J.M.; Davidson, E.A.; Firestone, M.K. Nitrogen mineralization, immobilization, and nitrification. In Methods of Soil Analysis: II. Microbiological and Biochemical Properties; Weaver, R.W., Ed.; SSSA: Madison, WI, USA, 1994; pp. 985–1018. [Google Scholar]
- Beauchamp, E.G.; Bergstrom, D.W. Denitrification. In Soil Sampling and Methods of Analysis; Carter, M.R., Ed.; Lewis Publishers: Boca Raton, FL, USA, 1993; pp. 351–357. [Google Scholar]
- Wang, Z.; Li, T.; Wen, X.; Liu, Y.; Han, J.; Liao, Y.; DeBruyn, J.M. Fungal communities in rhizosphere soil under conservation tillage shift in response to plant growth. Front. Microbiol. 2017, 8, 1301. [Google Scholar] [CrossRef]
- Schermelleh-Engel, K.; Moosbrugger, H.; Müller, H. Evaluating the fit of structural equation models: Tests of significance and descriptive goodness-of-fit measures. Methods Psychol. Res. 2003, 8, 23–74. [Google Scholar] [CrossRef]
- Yin, M.; Gao, X.; Tenuta, M.; Li, L.; Gui, D.; Li, X.; Zeng, F. Enhancement of N2O emissions by grazing is related to soil physicochemical characteristics rather than nitrifier and denitrifier abundances in alpine grassland. Geoderma 2020, 375, 114511. [Google Scholar] [CrossRef]
- Zhang, J.; Han, X. N2O emission from the semi-arid ecosystem under mineral fertilizer (urea and superphosphate) and increased precipitation in northern China. Atmos. Environ. 2008, 42, 291–302. [Google Scholar] [CrossRef]
- Yan, Y.; Ganjurjav, H.; Hu, G.; Liang, Y.; Li, Y.; He, S.; Danjiu, L.; Yang, J.; Gao, Q. Nitrogen deposition induced significant increase of N2O emissions in a dry alpine meadow on the central Qinghai–Tibetan Plateau. Agric. Ecosyst. Environ. 2018, 265, 45–53. [Google Scholar] [CrossRef]
- Jin, T.; Shimizu, M.; Marutani, S.; Desyatkin, A.R.; Iizuka, N.; Hata, H.; Hatano, R. Effect of chemical fertilizer and manure application on N2O emission from reed canary grassland in Hokkaido, Japan. Soil Sci. Plant Nutr. 2010, 56, 53–65. [Google Scholar] [CrossRef]
- Wu, Y.; Gao, X.; Cao, D.; Li, L.; Li, X.; Zeng, F. Nitrous oxide emissions from an alpine grassland as affected by nitrogen addition. Atmosphere 2021, 12, 976. [Google Scholar] [CrossRef]
- Peng, Q.; Qi, Y.; Dong, Y.; Xiao, S.; He, Y. Soil nitrous oxide emissions from a typical semiarid temperate steppe in Inner Mongolia: Effects of mineral nitrogen fertilizer levels and forms. Plant Soil 2011, 342, 345–357. [Google Scholar] [CrossRef]
- Gu, X.; Wang, Y.; Laanbroek, H.J.; Xu, X.; Song, B.; Huo, Y.; Chen, S.; Li, L.; Zhang, L. Saturated N2O emission rates occur above the nitrogen deposition level predicted for the semi-arid grasslands of Inner Mongolia, China. Geoderma 2019, 341, 18–25. [Google Scholar] [CrossRef]
- Linn, D.M.; Doran, J.W. Effect of water-filled pore space on carbon dioxide and nitrous oxide production in tilled and nontilled soils. Soil Sci. Soc. Am. J. 1984, 48, 1267–1272. [Google Scholar] [CrossRef]
- Granli, T.; Bockman, O.C. Nitrous oxide from agriculture. Norw. J. Agric. Sci. 1994, 12, 1–128. [Google Scholar]
- Lin, Z.; Shi, L.; Wei, X.; Han, B.; Peng, C.; Yao, Z.; He, Y.; Xiao, Q.; Lu, X.; Deng, Y. Soil properties and fungal community jointly explain N2O emissions following N and P enrichment in an alpine meadow. Environ. Pollut. 2024, 344, 123344. [Google Scholar] [CrossRef]
- Mori, T.; Ohta, S.; Ishizuka, S.; Konda, R.; Wicaksono, A.; Heriyanto, J.; Hardjono, A. Effects of phosphorus addition on N2O and NO emissions from soils of an Acacia mangium plantation. Soil Sci. Plant Nutr. 2010, 56, 782–788. [Google Scholar] [CrossRef]
- Martinson, G.O.; Corre, M.D.; Veldkamp, E. Responses of nitrous oxide fluxes and soil nitrogen cycling to nutrient additions in montane forests along an elevation gradient in southern Ecuador. Biogeochemistry 2012, 112, 625–636. [Google Scholar] [CrossRef]
- Zhang, W.; Zhu, X.; Luo, Y.; Rafique, R.; Chen, H.; Huang, J.; Mo, J. Responses of nitrous oxide emissions to nitrogen and phosphorus additions in two tropical plantations with N-fixing vs. non-N-fixing tree species. Biogeosciences 2014, 11, 4941–4951. [Google Scholar] [CrossRef]
- Sundareshwar, P.V.; Morris, J.T.; Koepfler, E.K.; Fornwalt, B. Phosphorus limitation of coastal ecosystem processes. Science 2003, 299, 563–565. [Google Scholar] [CrossRef] [PubMed]
- Di, H.J.; Cameron, K.C.; Shen, J.P.; Winefield, C.S.; O’Callaghan, M.; Bowatte, S.; He, J.Z. Nitrification driven by bacteria and not archaea in nitrogen-rich grassland soils. Nat. Geosci. 2009, 2, 621–624. [Google Scholar] [CrossRef]
- Wertz, S.; Leigh, A.K.K.; Grayston, S.J. Effects of long-term fertilization of forest soils on potential nitrification and on the abundance and community structure of ammonia oxidizers and nitrite oxidizers. FEMS Microbiol. Ecol. 2012, 79, 142–154. [Google Scholar] [CrossRef]
- Prosser, J.I.; Nicol, G.W. Archaeal and bacterial ammonia-oxidisers in soil: The quest for niche specialisation and differentiation. Trends Microbiol. 2012, 20, 523–531. [Google Scholar] [CrossRef]
- Simonin, M.; Le Roux, X.; Poly, F.; Lerondelle, C.; Hungate, B.A.; Nunan, N.; Niboyet, A. Coupling between and among ammonia oxidizers and nitrite oxidizers in grassland mesocosms submitted to elevated CO2 and nitrogen supply. Microb. Ecol. 2015, 70, 809–818. [Google Scholar] [CrossRef]
- Tang, Y.; Zhang, X.; Li, D.; Wang, H.; Chen, F.; Fu, X.; Fang, X.; Sun, X.; Yu, G. Impacts of nitrogen and phosphorus additions on the abundance and community structure of ammonia oxidizers and denitrifying bacteria in Chinese fir plantations. Soil Biol. Biochem. 2016, 103, 284–293. [Google Scholar] [CrossRef]
- Wang, Y.; Ji, H.; Wang, R.; Guo, S. Responses of nitrification and denitrification to nitrogen and phosphorus fertilization: Does the intrinsic soil fertility matter? Plant Soil 2019, 440, 443–456. [Google Scholar] [CrossRef]
- Chen, Z.; Zhang, N.; Li, Y.; Xu, S.; Liu, Y.; Miao, S.; Ding, W. Extreme rainfall amplified the stimulatory effects of soil carbon availability on N2O emissions. Glob. Change Biol. 2025, 31, e70164. [Google Scholar] [CrossRef]
- Peng, Y.; Wang, G.; Li, F.; Zhou, G.; Yang, G.; Fang, K.; Liu, L.; Qin, S.; Zhang, D.; Yang, Y. Soil temperature dynamics modulate N2O flux response to multiple nitrogen additions in an alpine steppe. J. Geophys. Res. Biogeosci. 2018, 123, 3308–3319. [Google Scholar] [CrossRef]
- Kandeler, E.; Deiglmayr, K.; Tscherko, D.; Bru, D.; Philippot, L. Abundance of narG, nirS, nirK, and nosZ genes of denitrifying bacteria during primary successions of a glacier foreland. Appl. Environ. Microbiol. 2006, 72, 5957–5962. [Google Scholar] [CrossRef] [PubMed]
- Mergel, A.; Schmitz, O.; Mallmann, T.; Bothe, H. Relative abundance of denitrifying and dinitrogen-fixing bacteria in layers of a forest soil. FEMS Microbiol. Ecol. 2001, 36, 33–42. [Google Scholar] [CrossRef] [PubMed]
- Zhang, Y.; Zhang, F.; Abalos, D.; Luo, Y.; Hui, D.; Hungate, B.A.; García-Palacios, P.; Kuzyakov, Y.; Olesen, J.E.; Jørgensen, U.; et al. Stimulation of ammonia oxidizer and denitrifier abundances by nitrogen loading: Poor predictability for increased soil N2O emission. Glob. Change Biol. 2022, 28, 2158–2168. [Google Scholar] [CrossRef] [PubMed]
- Yang, Y.; Liu, L.; Zhang, F.; Zhang, X.; Xu, W.; Liu, X.; Wang, Z.; Xie, Y. Soil nitrous oxide emissions by atmospheric nitrogen deposition over global agricultural systems. Environ. Sci. Technol. 2021, 55, 4420–4429. [Google Scholar] [CrossRef]
- Francis, C.A.; Roberts, K.J.; Beman, J.M.; Santoro, A.E.; Oakley, B.B. Ubiquity and diversity of ammonia-oxidizing archaea in water columns and sediments of the ocean. Proc. Natl. Acad. Sci. USA 2005, 102, 14683–14688. [Google Scholar] [CrossRef]
- Rotthauwe, J.H.; Witzel, K.P.; Liesack, W. The ammonia monooxygenase structural gene amoA as a functional marker: Molecular fine scale analysis of natural ammonia oxidizing populations. Appl. Environ. Microbiol. 1997, 63, 4704–4712. [Google Scholar] [CrossRef]
- Wertz, S.; Poly, F.; Le Roux, X.; Degrange, V. Development and application of a PCR denaturing gradient gel electrophoresis tool to study the diversity of Nitrobacter like nxrA sequences in soil. FEMS Microbiol. Ecol. 2008, 63, 261–271. [Google Scholar] [CrossRef]
- Bru, D.; Sarr, A.; Philippot, L. Relative abundances of proteobacterial membrane bound and periplasmic nitrate reductases in selected environments. Appl. Environ. Microbiol. 2007, 73, 5971–5974. [Google Scholar] [CrossRef]
- Throbäck, I.N.; Enwall, K.; Jarvis, A.; Hallin, S. Reassessing PCR primers targeting nirS, nirK and nosZ genes for community surveys of denitrifying bacteria with DGGE. FEMS Microbiol. Ecol. 2004, 49, 401–417. [Google Scholar] [CrossRef]
- Scala, D.J.; Kerkhof, L.J. Nitrous oxide reductase (nosZ) gene specific PCR primers for detection of denitrifiers and three nosZ genes from marine sediments. FEMS Microbiol. Lett. 1998, 162, 61–68. [Google Scholar] [CrossRef]






| ƩN2O (g N2O-N ha−1) | CV (%) | |
|---|---|---|
| Year | ||
| 2017 | 643 ± 171 | 75.3 |
| 2018 | 477 ± 141 | 83.7 |
| Treatment | ||
| CK | 347 ± 24 b | 19.9 |
| N | 1039 ± 243 a | 66.2 |
| P | 355 ± 31 b | 24.7 |
| N+P | 498 ± 54 ab | 30.7 |
| ANOVA p value | ||
| Treatment (T) | 0.003 | |
| Year (Y) | 0.093 | |
| T × Y | 0.165 | |
| Treatment | Plant Above-Ground Biomass (g m−2) | CV (%) | ||
|---|---|---|---|---|
| June | July | August | ||
| CK | 100.2 ± 10.8 b | 157.6 ± 12.7 c | 258.7 ± 6.4 c | 41.2 |
| N | 159.7 ± 28.7 ab | 314.0 ± 26.9 a | 381.5 ± 36.2 ab | 39.2 |
| N+P | 211.7 ± 24.0 a | 250.4 ± 9.5 ab | 459.3 ± 48.3 a | 41.4 |
| P | 126.1 ± 9.2 b | 230.7 ± 38.6 b | 349.7 ± 22.1 bc | 45.2 |
Disclaimer/Publisher’s Note: The statements, opinions and data contained in all publications are solely those of the individual author(s) and contributor(s) and not of MDPI and/or the editor(s). MDPI and/or the editor(s) disclaim responsibility for any injury to people or property resulting from any ideas, methods, instructions or products referred to in the content. |
© 2026 by the authors. Licensee MDPI, Basel, Switzerland. This article is an open access article distributed under the terms and conditions of the Creative Commons Attribution (CC BY) license.
Share and Cite
Yin, M.; Gao, X.; Wu, Y.; Li, Y.; Kuang, W.; Li, L.; Zeng, F. Soil Environmental Factors Dominate over Nitrifier and Denitrifier Abundances in Regulating Nitrous Oxide Emissions Following Nutrient Additions in Alpine Grassland. Agronomy 2026, 16, 168. https://doi.org/10.3390/agronomy16020168
Yin M, Gao X, Wu Y, Li Y, Kuang W, Li L, Zeng F. Soil Environmental Factors Dominate over Nitrifier and Denitrifier Abundances in Regulating Nitrous Oxide Emissions Following Nutrient Additions in Alpine Grassland. Agronomy. 2026; 16(2):168. https://doi.org/10.3390/agronomy16020168
Chicago/Turabian StyleYin, Mingyuan, Xiaopeng Gao, Yufeng Wu, Yanyan Li, Wennong Kuang, Lei Li, and Fanjiang Zeng. 2026. "Soil Environmental Factors Dominate over Nitrifier and Denitrifier Abundances in Regulating Nitrous Oxide Emissions Following Nutrient Additions in Alpine Grassland" Agronomy 16, no. 2: 168. https://doi.org/10.3390/agronomy16020168
APA StyleYin, M., Gao, X., Wu, Y., Li, Y., Kuang, W., Li, L., & Zeng, F. (2026). Soil Environmental Factors Dominate over Nitrifier and Denitrifier Abundances in Regulating Nitrous Oxide Emissions Following Nutrient Additions in Alpine Grassland. Agronomy, 16(2), 168. https://doi.org/10.3390/agronomy16020168

