Sign in to use this feature.

Years

Between: -

Subjects

remove_circle_outline
remove_circle_outline
remove_circle_outline
remove_circle_outline
remove_circle_outline
remove_circle_outline
remove_circle_outline
remove_circle_outline
remove_circle_outline

Journals

remove_circle_outline
remove_circle_outline
remove_circle_outline
remove_circle_outline
remove_circle_outline
remove_circle_outline
remove_circle_outline
remove_circle_outline
remove_circle_outline
remove_circle_outline
remove_circle_outline
remove_circle_outline
remove_circle_outline
remove_circle_outline
remove_circle_outline

Article Types

Countries / Regions

remove_circle_outline
remove_circle_outline
remove_circle_outline
remove_circle_outline
remove_circle_outline
remove_circle_outline
remove_circle_outline

Search Results (1,130)

Search Parameters:
Keywords = small plots

Order results
Result details
Results per page
Select all
Export citation of selected articles as:
22 pages, 4884 KB  
Article
Integrating Microtopographic Engineering with Native Plant Functional Diversity to Support Restoration of Degraded Arid Ecosystems
by Yassine Fendane, Mohamed Djamel Miara, Hassan Boukcim, Sami D. Almalki, Shauna K. Rees, Abdalsamad Aldabaa, Ayman Abdulkareem and Ahmed H. Mohamed
Land 2025, 14(12), 2445; https://doi.org/10.3390/land14122445 - 18 Dec 2025
Abstract
Active restoration structures such as microtopographic water-harvesting designs are widely implemented in dryland ecosystems to improve soil moisture, reduce erosion, and promote vegetation recovery. We assessed the combined effects of planted species identity, planting diversity (mono-, bi- and multi-species mixtures), and micro-catchment (half-moon) [...] Read more.
Active restoration structures such as microtopographic water-harvesting designs are widely implemented in dryland ecosystems to improve soil moisture, reduce erosion, and promote vegetation recovery. We assessed the combined effects of planted species identity, planting diversity (mono-, bi- and multi-species mixtures), and micro-catchment (half-moon) structures on seedling performance and spontaneous natural regeneration in a hyper-arid restoration pilot site in Sharaan National Park, northwest Saudi Arabia. Thirteen native plant species, of which four—Ochradenus baccatus, Haloxylon persicum, Haloxylon salicornicum, and Acacia gerrardii—formed the dominant planted treatments, were established in 18 half-moons and monitored for survival, growth, and natural recruitment. Seedling survival after 20 months differed significantly among planting treatments, increasing from 58% in mono-plantings to 69% in bi-plantings and 82% in multi-plantings (binomial GLMM, p < 0.001), indicating a positive effect of planting diversity on establishment. Growth traits (height, collar diameter, and crown dimensions) were synthesized into an Overall Growth Index (OGI) and an entropy-weighted OGI (EW-OGI). Mixed-effects models revealed strong species effects on both indices (F12,369 ≈ 7.2, p < 0.001), with O. baccatus and H. persicum outperforming other taxa and cluster analysis separating “fast expanders”, “moderate growers”, and “decliners”. Trait-based modeling showed that lateral crown expansion was the main driver of overall performance, whereas stem thickening and fruit production contributed little. Between 2022 and 2024, half-moon soils exhibited reduced electrical conductivity and exchangeable Na, higher organic carbon, and doubled available P, consistent with emerging positive soil–plant feedbacks. Spontaneous recruits were dominated by perennials (≈67% of richness), with perennial dominance increasing from mono- to multi-plantings, although Shannon diversity differences among treatments were small and non-significant. The correlation between OGI and spontaneous richness was positive but weak (r = 0.29, p = 0.25), yet plots dominated by O. baccatus hosted nearly two additional spontaneous species relative to other plantings, highlighting its strong facilitative role. Overall, our results show that half-moon micro-catchments, especially when combined with functionally diverse native plantings, can simultaneously improve soil properties and promote biotic facilitation, fostering a transition from active intervention to passive, self-sustaining restoration in hyper-arid environments. Full article
Show Figures

Figure 1

22 pages, 1130 KB  
Article
Climate-Driven Conflicts in Nigeria: Farmers’ Strategies for Coping with Herders’ Incursion on Crop Lands
by Okechukwu George Eke, Jan Moudry, Festus Onyebuchi Eze, Sunday Alagba Obazi, Ifechukwu Precious Ifoh, Chisenga Emmanuel Mukosha, Marie Grace Ntezimana and Atif Muhammad
Sustainability 2025, 17(24), 11316; https://doi.org/10.3390/su172411316 - 17 Dec 2025
Abstract
Conflicts between crop farmers and herdsmen in Nigeria have intensified in recent decades, posing a danger to agricultural sustainability, rural livelihoods, and food security. This study investigated coping strategies that arable crop farmers have adopted in Enugu State, Nigeria, against herders’ incursions. Data [...] Read more.
Conflicts between crop farmers and herdsmen in Nigeria have intensified in recent decades, posing a danger to agricultural sustainability, rural livelihoods, and food security. This study investigated coping strategies that arable crop farmers have adopted in Enugu State, Nigeria, against herders’ incursions. Data were collected through the use of a structured questionnaire. According to the result, herders’ activities, including crop destruction, assaults on women, and intimidation, have severely affected livelihoods, which has resulted in reduced income and declining productivity. In response, most farmers applied some measures such as fencing, group farming, and cultivating small plots near homesteads to avoid clashing with the marauding Fulani pastoralists. Among all the measures adopted by the farmers, results reveal that only collective strategies, such as group farming and cultivating small plots close to homesteads, were sustainable. The study pointed out the limited capacity of rural households to cope alone and suggested the need for government assistance, such as the provision of less expensive protective infrastructure and stronger community security arrangements. The study recommends that the government should ensure and employ conflict management strategies through empowering traditional institutions with delegated legislation to ameliorate further occurrences. The research contributes to the body of literature by revealing the farmers’ viewpoints and strategies within the broader discourse on farmer–herder conflicts in Nigeria. Full article
(This article belongs to the Section Air, Climate Change and Sustainability)
Show Figures

Figure 1

22 pages, 7205 KB  
Article
Integrating UAV-LiDAR and Field Experiments to Survey Soil Erosion Drivers in Citrus Orchards Using an Exploratory Machine Learning Approach
by Jesús Rodrigo-Comino, Laura Cambronero-Ruiz, Lucía Moreno-Cuenca, Jesús González-Vivar, María Teresa González-Moreno and Víctor Rodríguez-Galiano
Water 2025, 17(24), 3541; https://doi.org/10.3390/w17243541 - 14 Dec 2025
Viewed by 177
Abstract
Citrus orchards are especially vulnerable owing to low inter-row vegetation cover, and frequent tillage. Here, we combine controlled field experiments with proximal remote sensing–derived geomorphometric variables and machine learning (ML) to identify key factors of erosion in a Mediterranean climate citrus plantation located [...] Read more.
Citrus orchards are especially vulnerable owing to low inter-row vegetation cover, and frequent tillage. Here, we combine controlled field experiments with proximal remote sensing–derived geomorphometric variables and machine learning (ML) to identify key factors of erosion in a Mediterranean climate citrus plantation located close to Seville and the National Park of Doñana (Southern Spain) on Gleyic Regosols (clayic, arenic). We conducted rainfall simulations with 30 s sampling, measured infiltration (mini-disc infiltrometer), saturated hydraulic conductivity (Kfs; Guelph permeameter), compaction (penetrologger), and soil respiration (gas analyzer) at multiple points, and derived high resolution morphometric indices from proximal sensing (UAV-LiDAR). Linear models and Random Forests were trained to explain three responses: soil loss, sediment concentration (SC), and runoff. Results show that soil loss is most strongly associated with maximum compaction and Kfs (multiple regression: R2 = 0.68; adjusted R2 = 0.52; p = 0.063), while SC increases with surface compaction and exhibits weak relationships with topographic metrics. Runoff decreases with average infiltration, which is related to compaction (β = −4.83 ± 2.38; R2 = 0.34; p = 0.077). Diagnostic checks indicate centered residuals with mild heteroscedasticity and a few high leverage observations. Random Forests captured part of the variance for soil loss (≈29%) but performed poorly for runoff, consistent with limited sample size and modest nonlinear signal. Morphometric analysis revealed gentle relief but pronounced convergent–divergent patterns that modulate hydrological connectivity. There were strong differences in the experiments conducted close to the trees and in the tractor trails. We conclude that compaction and near surface hydraulic properties are the most influential and measurable controls of erosion at plot scale and the UAV-LiDAR could not give us extra-insights. We highlight that integrating standardized field protocols with proximal morphometrics and ML can be the best method to prioritize a small set of explanatory variables, helping to reduce experimental effort while maintaining explanatory power. Full article
Show Figures

Figure 1

17 pages, 1782 KB  
Systematic Review
Why Method Matters: A Systematic Review and Meta-Analysis of the Marketing Capability–Performance Relationship
by Mohammed Ali Sharafuddin and Sathyapriya Janarthanam
Encyclopedia 2025, 5(4), 212; https://doi.org/10.3390/encyclopedia5040212 - 11 Dec 2025
Viewed by 250
Abstract
This systematic review and meta-analysis synthesises 88 effect sizes from 88 peer-reviewed journal articles to evaluate the association between marketing capability and firm performance. Studies were identified in Scopus and Dimensions for the period 2000–2025 and were eligible if they reported a construct [...] Read more.
This systematic review and meta-analysis synthesises 88 effect sizes from 88 peer-reviewed journal articles to evaluate the association between marketing capability and firm performance. Studies were identified in Scopus and Dimensions for the period 2000–2025 and were eligible if they reported a construct identifiable as marketing capability, at least one firm performance outcome, and sufficient statistics to compute a correlation. Random-effects pooling indicates a positive and practically meaningful correlation between marketing capability and performance (r = 0.44, 95% CI [0.40, 0.48]), with a 95% prediction interval from 0.06 to 0.71, indicating that marketing capability is an important correlate of performance outcomes. Subgroup analyses show stronger correlations for reflective first-order models, weaker estimates for higher-order and formative specifications, and wider prediction intervals when confirmatory factor analysis (CFA) is reported. Contextual differences are also evident: business-to-consumer samples exhibit the largest effects, business-to-business samples moderate effects, and mixed samples smaller effects. Small-study patterns were examined with funnel plots, Egger’s test and trim-and-fill, and sensitivity analyses using Restricted Maximum Likelihood (REML), Hartung–Knapp, and multilevel models produced similar pooled estimates. Most included studies were cross-sectional, which limits causal interpretation, so the findings should be read as consistent associations rather than proven effects. Taken together, the review shows that construct design, validation practice, and market setting systematically shape both the size and spread of the marketing capability–performance association and provides benchmarks and prediction intervals that future studies can use for theory development and research design. Full article
(This article belongs to the Section Social Sciences)
Show Figures

Figure 1

17 pages, 1330 KB  
Systematic Review
Chitosan-Based Nanoparticles and Biomaterials for Pulp Capping and Regeneration: A Systematic Review with Quantitative and Evidence-Mapping Synthesis
by Saleh Ali Alqahtani, Mohammad Alamri, Ghadeer Alwadai, Naif N. Abogazalah, Vinod Babu Mathew and Betsy Joseph
Biomimetics 2025, 10(12), 822; https://doi.org/10.3390/biomimetics10120822 - 9 Dec 2025
Viewed by 202
Abstract
Preserving dental pulp vitality is a key goal in minimally invasive dentistry. Conventional materials such as calcium hydroxide and mineral trioxide aggregate (MTA) are effective but limited in bioactivity and mechanical strength. This systematic review evaluated the biological efficacy of chitosan-based nanoparticles and [...] Read more.
Preserving dental pulp vitality is a key goal in minimally invasive dentistry. Conventional materials such as calcium hydroxide and mineral trioxide aggregate (MTA) are effective but limited in bioactivity and mechanical strength. This systematic review evaluated the biological efficacy of chitosan-based nanoparticles and biomaterials for pulp capping and regeneration. Following PRISMA 2020 guidelines, electronic searches were conducted across five databases up to April 2025. Controlled in vitro and animal studies using chitosan-based nanoparticles, hydrogels, or composite scaffolds were included. Risk of bias was assessed using SYRCLE (animal) and ToxRTool (in vitro), and certainty of evidence was rated via the GRADE-Preclinical framework. Due to methodological heterogeneity, data were synthesized using direction-of-effect coding and visualized through Albatross and heatmap plots. Sixteen studies met the criteria, consistently demonstrating enhanced cell viability, mineralization, and upregulation of odontogenic and angiogenic markers (BMP-2, TGF-β1, VEGF, DSPP) compared with MTA or calcium hydroxide. Animal models confirmed improved angiogenesis, reparative dentin formation, and pulp vitality preservation. Despite uniformly positive biological outcomes, the overall certainty was rated Low to Very Low owing to small samples and unclear randomization. Chitosan-based biomaterials show promising regenerative potential, warranting well-designed preclinical and clinical studies for translational validation. Full article
(This article belongs to the Section Biomimetics of Materials and Structures)
Show Figures

Graphical abstract

25 pages, 3692 KB  
Article
Design and Simulation of Suspension Leveling System for Small Agricultural Machinery in Hilly and Mountainous Areas
by Peng Huang, Qiang Luo, Quan Liu, Yao Peng, Shijie Zheng and Jiukun Liu
Sensors 2025, 25(24), 7447; https://doi.org/10.3390/s25247447 - 7 Dec 2025
Viewed by 287
Abstract
To address issues such as chassis attitude deviation, reduced operational efficiency, and diminished precision when agricultural machinery operates in complex terrains—including steep slopes and fragmented plots in hilly and mountainous regions—a servo electric cylinder-based active suspension levelling system has been designed. Real-time dynamic [...] Read more.
To address issues such as chassis attitude deviation, reduced operational efficiency, and diminished precision when agricultural machinery operates in complex terrains—including steep slopes and fragmented plots in hilly and mountainous regions—a servo electric cylinder-based active suspension levelling system has been designed. Real-time dynamic control is achieved through a fuzzy PID algorithm. Firstly, the suspension’s mechanical structure and key parameters were determined, employing a ‘servo electric cylinder-spring-shock absorber series’ configuration to achieve load support and passive vibration damping. Secondly, a kinematic and dynamic model of the quarter-link suspension was established. Finally, Simulink simulations were conducted to model the agricultural machinery traversing mountainous, uneven terrain at segmented stable operating speeds, thereby validating the suspension’s control performance. Simulation results demonstrate that the system maintains chassis height error within ±0.05 m, chassis height change rate within ±0.2 m/s, and response time ≤ 0.8 s. It rapidly and effectively counteracts terrain disturbances, achieving precise chassis height control. This provides theoretical support for designing whole-vehicle levelling systems for small agricultural machinery in hilly and mountainous terrains. Full article
(This article belongs to the Section Smart Agriculture)
Show Figures

Figure 1

17 pages, 1383 KB  
Article
Exploratory Immunohistochemical Profiling of FOXP3, PD-1 and CD32B in Resectable Lung Adenocarcinoma
by Long-Wei Lin, Hong-Jing Chuang, Kuan-Hsun Lian, Yu-Ting Tseng and Chung-Yu Chen
Cancers 2025, 17(23), 3886; https://doi.org/10.3390/cancers17233886 - 4 Dec 2025
Viewed by 253
Abstract
Background: Regulatory T cells (FOXP3+), checkpoint signaling (PD-1), and inhibitory B-cell signaling (CD32B/FCGR2B) may shape recurrence risk after resection of lung adenocarcinoma, but small, stage-heterogeneous cohorts complicate inference. Methods: We profiled 21 resected lung adenocarcinomas by immunohistochemistry (IHC) for CD3, CD8, [...] Read more.
Background: Regulatory T cells (FOXP3+), checkpoint signaling (PD-1), and inhibitory B-cell signaling (CD32B/FCGR2B) may shape recurrence risk after resection of lung adenocarcinoma, but small, stage-heterogeneous cohorts complicate inference. Methods: We profiled 21 resected lung adenocarcinomas by immunohistochemistry (IHC) for CD3, CD8, FOXP3, PD-1, CD19, and CD32B. Five systematically sampled 200× fields per stain were quantified in ImageJ to derive continuous percentages and prespecified ratios: FOXP3/CD8 and CD32B/CD19 (primary), and PD-1/CD8 (exploratory). Analyses emphasized effect sizes with exact non-parametric tests for clinicopathologic associations and Cox time-to-event models for disease-free survival (DFS). Kaplan–Meier plots used median splits for visualization only. Results: Higher immunosuppressive balance associated with adverse features and shorter DFS. Patients with higher FOXP3/CD8 and CD32B/CD19 had markedly shorter DFS on K-M displays (FOXP3/CD8: 18.9 vs. 45.6 months; CD32B/CD19: 25.0 vs. 72.8 months). In Cox models, each ratio was associated with increased hazard of recurrence (FOXP3+PD-1/CD8, HR 2.03, 95% CI 1.26–3.29; CD32B/CD19, HR 1.98, 95% CI 1.16–3.37). Conclusions: In this hypothesis-generating pilot, an immunosuppressive tumor microenvironment, indexed by higher FOXP3 (relative to CD8) and higher CD32B (relative to CD19), portends earlier recurrence after surgery. These results support external validation in larger, stage-balanced cohorts and motivate incorporation of quantitative IHC ratios into postoperative risk stratification. Full article
(This article belongs to the Special Issue Lung Cancer—Advances in Therapy and Prognostic Prediction)
Show Figures

Figure 1

20 pages, 3583 KB  
Article
Beta-Effect of Internal Inertia–Gravity Waves in a Stratified Atmosphere in the Incompressible Fluid Approximation
by Robert G. Zakinyan, Andrey V. Chernyshov and Arthur R. Zakinyan
Atmosphere 2025, 16(12), 1361; https://doi.org/10.3390/atmos16121361 - 30 Nov 2025
Viewed by 166
Abstract
This paper presents a mathematical model that describes the propagation of internal inertia–gravity waves in a stratified atmosphere under the approximations of an incompressible fluid and a traditional β-plane. It demonstrates that, in the incompressible fluid approximation, the temperature field is inconsistent with [...] Read more.
This paper presents a mathematical model that describes the propagation of internal inertia–gravity waves in a stratified atmosphere under the approximations of an incompressible fluid and a traditional β-plane. It demonstrates that, in the incompressible fluid approximation, the temperature field is inconsistent with the heat conduction equation. The system of equations that describes internal inertia–gravity waves is considered in the general case, taking into account the buoyancy force, and reduced to a single equation. The solution is sought in the form of traveling plane waves. A dispersion relation has been obtained in the form of a cubic equation that represents a hypersurface in wave number space, without the assumption of small vertical wavelength. Cross-sections of this surface are plotted, and an extremum study is performed. This shows that a new frequency region appears in the low-frequency spectrum 0<ω<f0z that was not present in the f-plane approximation. Here, f0z=2ω0sin φ is the Coriolis parameter, and φ is the latitude. Furthermore, these waves only propagate in the negative direction of the x-axis, i.e., in the opposite direction of the Earth’s rotation. It is also shown that there is a region with a minimum frequency in the “high-frequency” spectrum determined by buoyancy ω<f0z, and that waves propagate in the negative direction as well. Thus, the dispersion surface is shown to have two extremum points. The first is a minimum in the “high-frequency” spectrum ω10.826f0z and the second is a maximum in the “low-frequency” spectrum ω20.564f0z. Full article
(This article belongs to the Section Atmospheric Techniques, Instruments, and Modeling)
Show Figures

Figure 1

17 pages, 4150 KB  
Article
Characterization of the Mitochondrial Genome of Cavariella salicicola: Insight into the Codon Usage Bias and Phylogenetic Implications in Aphidinae
by Tian-Xing Jing, Yan-Jin Zhang, Pei-Xuan Li, Qian Wang, Jin Yang, Hong-Hua Su and Shuai Zhang
Genes 2025, 16(12), 1427; https://doi.org/10.3390/genes16121427 - 29 Nov 2025
Viewed by 251
Abstract
Background: Cavariella salicicola (Hemiptera: Aphidinae) is a pest on Salix spp. and various Umbelliferae (Apiaceae) vegetables. However, the taxonomic status and phylogenetic relationship of the genus Cavariella within Aphidinae remain controversial due to the small body size and easily confused external morphology. [...] Read more.
Background: Cavariella salicicola (Hemiptera: Aphidinae) is a pest on Salix spp. and various Umbelliferae (Apiaceae) vegetables. However, the taxonomic status and phylogenetic relationship of the genus Cavariella within Aphidinae remain controversial due to the small body size and easily confused external morphology. Methods: The complete mitochondrial genome of C. salicicola collected from Oenanthe javanica was sequenced using the Illumina platform and compared with C. theobaldi. The codon usage bias of two Cavariella aphids was assessed through Enc plot, PR2 plot, and neutrality plot analyses. Furthermore, phylogenetic trees were constructed based on both Maximum Likelihood and Bayesian Inference analysis. Results: The C. salicicola mitochondrial genome comprises 15,720 bp and represents a typical circular DNA molecule with a high AT content of 83.8%. It contains the standard 37 genes, including 2 ribosomal RNAs (rRNAs), 13 protein-coding genes (PCGs), 22 transfer RNAs (tRNAs), and 2 long non-coding regions (control and repeat regions). Varying degrees of codon usage bias were found across different PCGs, and the bias was predominantly influenced by natural selection rather than mutational pressure. The ratio of nonsynonymous to synonymous substitutions (Ka/Ks) indicated that all PCGs in C. salicicola, as well as most other Aphidinae species, are under strong purifying selection. The phylogenetic analysis based on Maximum Likelihood and Bayesian Inference both strongly supported the monophyly of Aphidinae, Macrosiphini, and Aphidini. Crucially, the monophyletic genus Cavariella was resolved as a sister group to all other sampled species within the tribe Macrosiphini. Conclusions: This study provides new molecular data to support the sister relationship of the genus Cavariella to other Macrosiphini aphids. This study will enhance our understanding of phylogenetic relationships within the subfamily Aphidinae. Full article
Show Figures

Figure 1

30 pages, 9745 KB  
Article
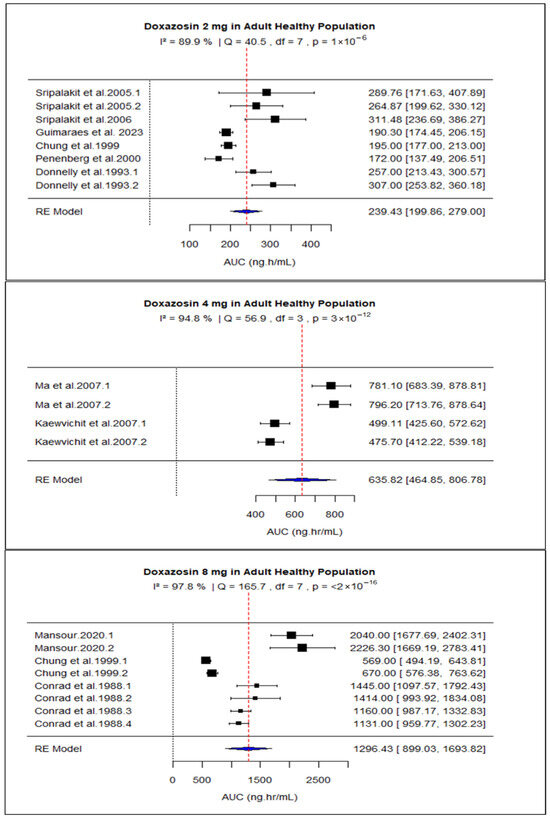
A Systematic Review and Meta-Analysis of Doxazosin Pharmacokinetics in Healthy and Diseased Populations
by Dania Fatima, Mohammed S. Alasmari, Yousef Alshomrani, Ammara Zamir, Faleh Alqahtani, Iltaf Hussain and Muhammad Fawad Rasool
Pharmaceuticals 2025, 18(12), 1825; https://doi.org/10.3390/ph18121825 - 29 Nov 2025
Viewed by 872
Abstract
Background: Doxazosin, an α1-adrenergic antagonist, is commonly used in the management of hypertension and benign prostatic hyperplasia (BPH). Pharmacokinetic (PK) variability across populations may affect drug exposure and clinical response. This systematic review and meta-analysis aimed to summarize PK differences and [...] Read more.
Background: Doxazosin, an α1-adrenergic antagonist, is commonly used in the management of hypertension and benign prostatic hyperplasia (BPH). Pharmacokinetic (PK) variability across populations may affect drug exposure and clinical response. This systematic review and meta-analysis aimed to summarize PK differences and generate pooled estimates of key parameters, including area under the curve (AUC) and maximum plasma concentration (Cmax). Methods: A systematic search of Google Scholar, PubMed, ScienceDirect, and the Cochrane Library identified 25 eligible studies reporting doxazosin PK data. All extracted AUC and Cmax values were dose-normalized prior to synthesis to ensure comparability across different doses and formulations. A random-effects meta-analysis was performed using the metafor package in R to estimate pooled dose-normalized AUC and Cmax while accounting for between-study variability. Heterogeneity was assessed using the I2 statistic. Sensitivity analyses—including leave-one-out diagnostics and Baujat plots—were used to identify influential studies. Publication bias and small-study effects were evaluated through funnel plots, trim-and-fill procedures, and Egger’s regression test. Meta-regression analyses examined the influence of age and body weight on PK parameters. Results: The meta-analysis produced pooled dose-normalized estimates for AUC and Cmax, with high heterogeneity across studies (I2 ≈ 90%). Leave-one-out analyses demonstrated stable pooled estimates; for dose-normalized AUC, exclusion of three influential studies reduced heterogeneity to 82% with only a modest decrease in the pooled mean. Baujat plots identified a small number of studies as key contributors to heterogeneity, while most exerted minimal influence. Funnel plots showed notable asymmetry for both AUC and Cmax, and trim-and-fill analyses suggested possible small-study effects; however, adjusted pooled estimates remained consistent. Egger’s regression confirmed significant asymmetry for dose-normalized AUC (t = 4.41, p = 0.0003) and Cmax (t = 4.35, p = 0.0001). Meta-regression revealed that body weight significantly reduced Cmax, whereas age had no significant effect on either AUC or Cmax. Conclusions: This systematic review and meta-analysis provide a comprehensive evaluation of doxazosin PK across diverse populations. Despite normalization, substantial variability remained in AUC and Cmax, related in part to ethnicity, hepatic impairment, dosage formulation, and body weight. While pooled estimates offer valuable summary reference points, the high heterogeneity and evidence of small-study effects highlight the need for more standardized PK trials and patient-level analyses to better support individualized dosing strategies. Full article
(This article belongs to the Special Issue Population Pharmacokinetics and Pharmacogenetics)
Show Figures

Graphical abstract

21 pages, 1530 KB  
Review
Cardiac Metabolomic Alterations in Diabetes: Interplay with Lipoprotein Lipase—A Systematic Review
by Jiarui Gu, Xumeng Han, Xiaoli Chen, Aiping Lyu and Kenneth C. P. Cheung
Int. J. Mol. Sci. 2025, 26(23), 11501; https://doi.org/10.3390/ijms262311501 - 27 Nov 2025
Viewed by 280
Abstract
We conducted a systematic review on cardiac metabolomic alterations in type 2 diabetes and the interplay with lipoprotein lipase (LPL). To synthesize evidence on LPL activity, cardiac metabolomics, and cardiovascular outcomes in type 2 diabetes. EMBASE, PsycINFO, AMED, LILACS, and Web of Science [...] Read more.
We conducted a systematic review on cardiac metabolomic alterations in type 2 diabetes and the interplay with lipoprotein lipase (LPL). To synthesize evidence on LPL activity, cardiac metabolomics, and cardiovascular outcomes in type 2 diabetes. EMBASE, PsycINFO, AMED, LILACS, and Web of Science were searched from January 2000 to August 2025; last searches: EMBASE [22 August 2025], PsycINFO [22 August 2025], AMED [22 August 2025], LILACS [22 August 2025], Web of Science [22 August 2025]. Original human studies in type 2 diabetes reporting cardiac metabolomics and LPL activity; no language restrictions. Two reviewers independently screened records/reports and extracted data; risk of bias was assessed with RoB 2 (randomized trials), ROBINS-I (nonrandomized studies), and the Newcastle–Ottawa Scale (observational). We planned random-effects meta-analyses using mean difference/standardized mean difference or risk ratio, quantified heterogeneity with I2 and τ2, examined small-study effects with funnel plots/Egger’s test, and rated certainty with GRADE. We included 11 studies (n = 541). LPL modulation was associated with improved triglycerides, LDL-C, HDL-C, and selected metabolomic markers; heterogeneity ranged I2 = [97–99]%. Heterogeneous metabolomic platforms and LPL assays; several small observational studies. The review was registered in PROSPERO, ID: CRD42025632960. Full article
(This article belongs to the Special Issue Molecular Metabolism in Human Health and Disease)
Show Figures

Figure 1

26 pages, 2588 KB  
Article
Epiphytic Habit and Spatial Distribution Patterns of Phalaenopsis deliciosa and Phalaenopsis hainanensis
by Haotian Zhong, Wenchang Li, Zhiheng Chen and Zhe Zhang
Diversity 2025, 17(12), 818; https://doi.org/10.3390/d17120818 - 27 Nov 2025
Viewed by 279
Abstract
Epiphytic orchids are the largest group of epiphytes and are important components of forest species diversity. Epiphytic orchids show host preferences. Their spatial distribution is shaped by microhabitat preferences, host tree characteristics, and mycorrhizal associations. In this study, the habitat community structure and [...] Read more.
Epiphytic orchids are the largest group of epiphytes and are important components of forest species diversity. Epiphytic orchids show host preferences. Their spatial distribution is shaped by microhabitat preferences, host tree characteristics, and mycorrhizal associations. In this study, the habitat community structure and epiphytic habits of epiphytic orchids, Phalaenopsis deliciosa and Phalaenopsis hainanensis, distributed on Hainan Island were investigated. The results show that the vascular plant genera in the communities of P. deliciosa and P. hainanensis are characterized by biogeographical affinities dominated by tropical Asian and pantropical elements, accounting for 30.60% and 21.64% in the P. deliciosa community and 26.42% and 24.53% in the P. hainanensis community, respectively. Within the surveyed plots of this study, 41 epiphytic host species were recorded for P. deliciosa and 17 for P. hainanensis. Both P. deliciosa and P. hainanensis showed a high epiphytic preference for Streblus ilicifolius, with selectivity index values of 21.89 and 26.00, respectively. Both P. deliciosa and P. hainanensis exhibited clear small-scale aggregated horizontal distributions, with the O-ring analysis indicating statistically significant clustering (p < 0.05). Specifically, P. hainanensis showed aggregation within the 0.25–0.75 m range, whereas P. deliciosa displayed aggregation at radii of 0.25–2.25 m. In the vertical distribution, individuals of P. deliciosa occurred below 5 m and were concentrated at heights of 1–1.9 m. Individuals of P. hainanensis were distributed below 4 m, with no significant differences among height classes, although the highest abundances occurred at heights of 0–0.9 m and 2–2.9 m. Heights of 0–0.9 m and 2–2.9 m were the most abundant. In summary, individuals of both Phalaenopsis species were predominantly distributed at lower height ranges. The protection of the habitat plant community, especially the preferred epiphytic tree species or companion plants, should be strengthened to conserve the Phalaenopsis species. Full article
(This article belongs to the Section Plant Diversity)
Show Figures

Figure 1

23 pages, 4338 KB  
Article
Efficacy of Mini Wheel-Driven Sweet Potato Transplanting Machine for Mulched Raised Beds
by Tengfei He, Hu Liu, Yupeng Shi, Baoqing Wang, Hui Li, Xiuwen Zhang and Song Shi
Agriculture 2025, 15(23), 2434; https://doi.org/10.3390/agriculture15232434 - 25 Nov 2025
Viewed by 218
Abstract
The mechanized transplanting of sweet potato slips onto mulched raised beds in China’s Huang-Huai-Hai region faces significant challenges due to fragmented smallholder farms and the specific agronomic requirement of “boat-shaped” horizontal planting. To address this gap, this study aimed to develop a compact, [...] Read more.
The mechanized transplanting of sweet potato slips onto mulched raised beds in China’s Huang-Huai-Hai region faces significant challenges due to fragmented smallholder farms and the specific agronomic requirement of “boat-shaped” horizontal planting. To address this gap, this study aimed to develop a compact, cost-effective transplanter that meets the “boat-shaped” planting agronomy and adapts to small plots. We designed the 2CGX-1 mini wheel-driven transplanter coupled with a tractor. This machine features a compact chassis (<1.5 m length) for enhanced maneuverability on small plots, a novel five-bar taking-planting mechanism optimized for boat-shaped placement (achieving a stem-soil angle of 56.2° and planting depth of 110 mm), and an integrated spring buffer system. Transmission design ensures precise synchronization between the dual-chain seedling feeding mechanism and planting actions, allowing plant spacing adjustment from 18 to 30 cm. Coupled Adams–EDEM simulations demonstrated that the buffer system reduces maximum resistance on the clip fingers by 37.8% when encountering obstacles. Field validation under optimal parameters (0.55 km/h operating speed, 30 plants/min transplanting frequency) showed high consistency: average planting depth 101.3 mm (SD 1.38), plant spacing 330.3 mm (SD 11.24), seedling length under the film 185 mm (SD 3.65), and stem-soil angle 47.9° (SD 3.41), with qualification rates exceeding 91.9% for all key parameters except submerged length (82.5%). Compared with manual planting (≤0.1 ha/day per person, labor cost > ¥800/ha), this transplanter achieves a daily operational efficiency of ~0.35 ha/day (calculated by 0.55 km/h speed × 0.8 m working width × 8 h daily working time). Meanwhile, the consistency of its key planting indicators and the planting qualification rate are significantly superior to those of manual planting, while improving operational quality and significantly reducing labor cost input. Deviations in individual indicators mainly stem from planting positioning deviations induced by terrain undulations in hilly test areas, and sweet potato seedlings’ tendency to fall off during clamping due to mechanical vibration. However, these errors are within the acceptable agricultural operation range and do not compromise the machine’s overall compliance with agronomic requirements. The transplanter effectively meets agronomic requirements while offering a cost-effective, adapted solution for small-scale sweet potato production systems, significantly advancing mechanization capabilities for mulched cultivation. Full article
(This article belongs to the Section Agricultural Technology)
Show Figures

Figure 1

15 pages, 1070 KB  
Article
Exploring the Role of CT-Based Delta-Radiomics in Unresectable Vulvar Cancer
by Abdulla Alzibdeh, Bara M. Hammadeh, Rahaf Alnajjar, Mohammad Abd Al-Raheem, Rima Mheidat, Alzahra’a Al Matairi, Mohamed Qamber, Hanan Almasri, Bayan Altalla’, Amal Al-Omari and Fawzi Abuhijla
Diagnostics 2025, 15(23), 2972; https://doi.org/10.3390/diagnostics15232972 - 23 Nov 2025
Viewed by 472
Abstract
Background/Objectives: To explore the prognostic potential of gross tumor volume (GTV)-based delta-radiomic features from CT simulation scans in patients with locally advanced unresectable vulvar cancer. Methods: A total of 21 patients (between 2019 and 2024) undergoing definitive radiotherapy were included, with baseline and [...] Read more.
Background/Objectives: To explore the prognostic potential of gross tumor volume (GTV)-based delta-radiomic features from CT simulation scans in patients with locally advanced unresectable vulvar cancer. Methods: A total of 21 patients (between 2019 and 2024) undergoing definitive radiotherapy were included, with baseline and post-phase I (after 25 fractions) CT simulation scans analyzed. Radiomic features (n = 107) were extracted from GTVs using PyRadiomics, and delta features were calculated as the relative change between scans. A multi-step selection pipeline (univariable Cox screening (p < 0.10), correlation filtering, and Lasso–Cox) was applied for each endpoint: local control (LC), regional control, distant metastasis-free survival, progression-free survival, and overall survival (OS). Model discrimination was assessed via 500-iteration bootstrapped concordance index (C-index), and calibration was plotted at 24 months. Results: Median follow-up was 50.0 months. The 2-year LC and OS rates were 56.2% and 55.9%, respectively. Final multivariable models retained a sole texture Δ feature for LC (HR = 2.62, 95% CI = 1.05–6.52, p = 0.039; C-index = 0.748) and six Δ features for OS (C-index = 0.864). No features were retained for other endpoints. For LC, increased run-length non-uniformity after phase I predicted poorer control. For OS, increased texture/shape complexity predicted worse survival, whereas increased uniformity predicted better survival. Conclusions: CT-based delta-radiomic features, particularly shape and texture metrics, may predict LC and OS in unresectable vulvar cancer. Despite the small sample size, these findings highlight the potential for delta-radiomics as a noninvasive biomarker for risk stratification. Validation in larger cohorts and exploring potential in adaptive radiotherapy are warranted. Full article
(This article belongs to the Special Issue Medical Image Analysis and Machine Learning)
Show Figures

Figure 1

15 pages, 2415 KB  
Article
Prognostic Significance of Complete Blood Count-Derived Inflammatory Biomarkers in Patients with Small Cell Neuroendocrine Carcinoma of the Cervix
by Mingxuan Zhu, Jing Liu, Yuqin Wang, Huaiwu Lu and Qin Xu
Curr. Oncol. 2025, 32(12), 654; https://doi.org/10.3390/curroncol32120654 - 21 Nov 2025
Viewed by 250
Abstract
Background: Small cell neuroendocrine carcinoma of the cervix (SCNEC) is a rare and highly aggressive malignancy with limited prognostic biomarkers available for clinical use. Inflammatory markers derived from complete blood count (CBC) have been shown to reflect the systemic immune response and tumor [...] Read more.
Background: Small cell neuroendocrine carcinoma of the cervix (SCNEC) is a rare and highly aggressive malignancy with limited prognostic biomarkers available for clinical use. Inflammatory markers derived from complete blood count (CBC) have been shown to reflect the systemic immune response and tumor progression in various cancers, but their prognostic value in SCNEC remains unclear. Methods: We retrospectively analyzed clinical data from patients diagnosed with SCNEC between 2004 and 2024 across two centers. Internal validation was performed by dividing patients into training and test cohorts. Cox regression analyses and Kaplan–Meier survival analyses were used to evaluate prognostic factors and treatment outcomes. Inverse probability of treatment weighting (IPTW) was applied to reduce baseline imbalances. Patients were randomly divided into training and test cohorts. A nomogram was constructed to predict 3-year and 5-year progression-free survival (PFS) with performance evaluated using receiver operating characteristic (ROC) curves, calibration plots, and decision curve analysis (DCA). Results: 196 participants were included in the study. Age, FIGO 2018 stage, surgery, neutrophil-to-lymphocyte ratio (NLR), and monocyte-to-lymphocyte ratio (MLR) were independently associated with PFS. High MLR (>0.19) was significantly linked to shorter PFS. After IPTW adjustment, the protective effect of low MLR on PFS remained significant (p = 0.029). The constructed nomogram demonstrated excellent predictive performance, with area under the curve (AUC) values of 0.799 and 0.787 for 3-year and 5-year PFS in the training cohort, and 0.802 for endpoints in the test cohort. Conclusions: MLR was identified as an independent prognostic biomarker for PFS in SCNEC, with potential value in risk stratification and personalized treatment strategies. Additionally, we developed a reliable nomogram that accurately predicts 3-year and 5-year PFS, serving as a practical tool for individualized prognosis and clinical decision-making. Full article
(This article belongs to the Section Gynecologic Oncology)
Show Figures

Figure 1

Back to TopTop