Why Method Matters: A Systematic Review and Meta-Analysis of the Marketing Capability–Performance Relationship
Abstract
1. Introduction
2. Literature Review
2.1. Theoretical Foundation and Application in Marketing Studies
2.2. Measurement Models and Challenges
2.3. Performance Outcomes and Their Measurement
2.4. Measurement Quality and Validity Evidence
2.5. Market Settings and Boundary Conditions
2.6. Hypotheses
3. Method
3.1. Review Protocol and Governance
3.2. Effect Size Computation
3.3. Meta-Analytic Model
3.4. Moderator Analysis
3.5. Small-Study and Sensitivity Assessments
4. Results
4.1. Overall Association
4.2. Construct Specification (H2)
4.3. Measurement Validation Within Reflective Models (H3)
4.4. Market Setting (H4)
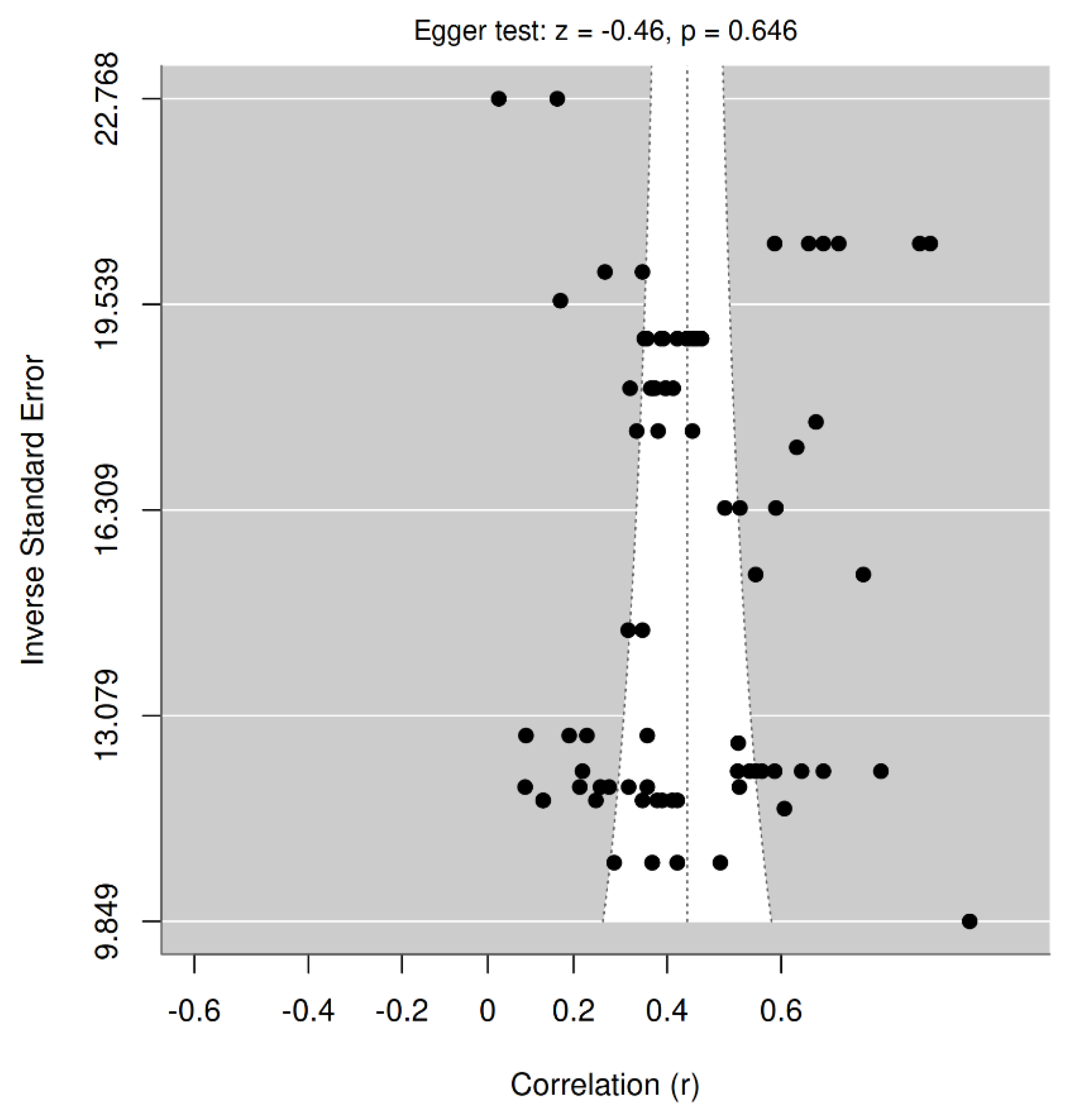
4.5. Small-Study Patterns and Influence
5. Discussion
5.1. Theoretical Contributions
5.2. Managerial Implications
5.3. Limitations and Directions for Future Research
6. Conclusions
6.1. Theoretical Implications
6.2. Practical Implications
6.3. Future Directions
7. Conceptual Diagram
Supplementary Materials
Author Contributions
Funding
Institutional Review Board Statement
Informed Consent Statement
Data Availability Statement
Conflicts of Interest
References
- Day, G.S. The Capabilities of Market-Driven Organizations. J. Mark. 1994, 58, 37–52. [Google Scholar] [CrossRef]
- Morgan, N.A.; Vorhies, D.W.; Mason, C.H. Market orientation, marketing capabilities, and firm performance. Strateg. Manag. J. 2009, 30, 909–920. [Google Scholar] [CrossRef]
- Vorhies, D.W.; Morgan, N.A. Benchmarking marketing capabilities for sustainable competitive advantage. J. Mark. 2005, 69, 80–94. [Google Scholar] [CrossRef]
- Teece, D.J.; Pisano, G.; Shuen, A. Dynamic capabilities and strategic management. Strateg. Manag. J. 1997, 18, 509–533. [Google Scholar] [CrossRef]
- Krasnikov, A.; Jayachandran, S. The Relative Impact of Marketing, Research-and-Development, and Operations Capabilities on Firm Performance. J. Mark. 2008, 72, 1–11. [Google Scholar] [CrossRef]
- Jarvis, C.B.; MacKenzie, S.B.; Podsakoff, P.M. A Critical Review of Construct Indicators and Measurement Model Misspecification in Marketing and Consumer Research. J. Consum. Res. 2003, 30, 199–218. [Google Scholar] [CrossRef]
- Diamantopoulos, A.; Winklhofer, H.M. Index Construction with Formative Indicators: An Alternative to Scale Development. J. Mark. Res. 2001, 38, 269–277. [Google Scholar] [CrossRef]
- Narer, J.C.; Slater, S.F. The Effect of a Market Orientation on Business Profitability. J. Mark. 1990, 54, 20–35. [Google Scholar] [CrossRef]
- Reimann, C.; Carvalho, F.; Duarte, M. The influence of dynamic and adaptive marketing capabilities on the performance of Portuguese SMEs in the B2B international market. Sustainability 2021, 13, 579. [Google Scholar] [CrossRef]
- Shoham, A.; Asseraf, Y.; Lev, S.; Fiegenbaum, A. Marketing and Technological Absorptive Capacities: Environmental Antecedents and Performance Outcomes in High-Tech Firms. J. Bus.-Bus. Mark. 2017, 24, 165–182. [Google Scholar] [CrossRef]
- Yusr, M.M.; Othman, A.R.; Mokhtar, S.S.M. Assessing the mediating role of marketing capability in the relationship between TQM practices and innovation performance dynamic capabilities approach. Int. J. Bus. Soc. Sci. 2012, 3, 165–176. [Google Scholar]
- Nuseir, M.; Refae, G.E. The effect of digital marketing capabilities on business performance enhancement: Mediating the role of customer relationship management (CRM). Int. J. Data Netw. Sci. 2022, 6, 295–304. [Google Scholar] [CrossRef]
- Tarsakoo, P.; Charoensukmongkol, P. Contribution of marketing capability to social media business performance. ASEAN J. Manag. Innov. 2019, 6, 75–87. [Google Scholar] [CrossRef]
- Zahara, Z.; Ikhsan Santi, I.N.; Farid. Entrepreneurial marketing and marketing performance through digital marketing capabilities of SMEs in post-pandemic recovery. Cogent Bus. Manag. 2023, 10, 2204592. [Google Scholar] [CrossRef]
- Massiera, P.; Trinchera, L.; Russolillo, G. Evaluating the presence of marketing capabilities: A multidimensional, hierarchical index. Rech. Appl. Mark. 2018, 33, 30–52. [Google Scholar] [CrossRef]
- Wilden, R.; Gudergan, S. Service-dominant orientation, dynamic capabilities and firm performance. J. Serv. Theory Pract. 2017, 27, 808–832. [Google Scholar] [CrossRef]
- Barney, J. Firm Resources and Sustained Competitive Advantage. J. Manag. 1991, 17, 99–120. [Google Scholar] [CrossRef]
- Barney, J.B. Is the Resource-Based “View” a Useful Perspective for Strategic Management Research? Yes. Acad. Manag. Rev. 2001, 26, 41–56. [Google Scholar] [CrossRef]
- Peteraf, M.A. The cornerstones of competitive advantage: A resource-based view. Strateg. Manag. J. 1993, 14, 179–191. [Google Scholar] [CrossRef]
- Wernerfelt, B. A resource-based view of the firm. Strateg. Manag. J. 1984, 5, 171–180. [Google Scholar] [CrossRef]
- Eisenhardt, K.; Martin, J. Dynamic capability: What are they. Strateg. Manag. J. 2000, 21, 1105–1121. [Google Scholar] [CrossRef]
- Teece, D.J. Explicating dynamic capabilities: The nature and microfoundations of (sustainable) enterprise performance. Strateg. Manag. J. 2007, 28, 1319–1350. [Google Scholar] [CrossRef]
- Teece, D.J. Business models and dynamic capabilities. Long Range Plan. 2018, 51, 40–49. [Google Scholar] [CrossRef]
- Trainor, K.J.; Rapp, A.; Beitelspacher, L.S.; Schillewaert, N. Integrating information technology and marketing: An examination of the drivers and outcomes of e-Marketing capability. Ind. Mark. Manag. 2011, 40, 162–174. [Google Scholar] [CrossRef]
- Cassia, F.; Magno, F. Cross-border e-commerce as a foreign market entry mode among SMEs: The relationship between export capabilities and performance. Rev. Int. Bus. Strategy 2022, 32, 267–283. [Google Scholar] [CrossRef]
- Choi, S.-K.; Han, S.; Kwak, K.-T. Innovation Capabilities and the Performance of Start-Ups in Korea: The Role of Government Support Policies. Sustainability 2021, 13, 6009. [Google Scholar] [CrossRef]
- Zhang, H.; Wang, Y.; Song, M. Does Competitive Intensity Moderate the Relationships between Sustainable Capabilities and Sustainable Organizational Performance in New Ventures? Sustainability 2020, 12, 253. [Google Scholar] [CrossRef]
- Takahashi, A.R.W.; Bulgacov, S.; Semprebon, E.; Giacomini, M.M. Dynamic capabilities, marketing capability and organizational performance. BBR Braz. Bus. Rev. 2017, 14, 466–478. [Google Scholar] [CrossRef]
- Tarsakoo, P.; Charoensukmongkol, P. Dimensions of social media marketing capabilities and their contribution to business performance of firms in Thailand. J. Asia Bus. Stud. 2020, 14, 441–461. [Google Scholar] [CrossRef]
- Asgarnezhad Nouri, B.; Sanayei, A.; Fathi, S.; Kazemi, A. The effect of marketing tactical capabilities on the financial performance of the firms: Meta-analysis approach. Interdiscip. J. Manag. Stud. (Former. Known Iran. J. Manag. Stud.) 2015, 8, 73–96. [Google Scholar]
- Shanka, M.S.; Ness, H.; Sandvik, K. Examining the linkage between strategic orientations and firm performance: A meta-analysis on the role of marketing capabilities and cultural and environmental contingencies. Eur. Bus. Rev. 2025, 37, 810–834. [Google Scholar] [CrossRef]
- Ellis, P.D. Market Orientation and Performance: A Meta-Analysis and Cross-National Comparisons. J. Manag. Stud. 2006, 43, 1089–1107. [Google Scholar] [CrossRef]
- Kirca, A.H.; Jayachandran, S.; Bearden, W.O. Market Orientation: A Meta-Analytic Review and Assessment of its Antecedents and Impact on Performance. J. Mark. 2005, 69, 24–41. [Google Scholar] [CrossRef]
- Fainshmidt, S.; Pezeshkan, A.; Lance Frazier, M.; Nair, A.; Markowski, E. Dynamic Capabilities and Organizational Performance: A Meta-Analytic Evaluation and Extension. J. Manag. Stud. 2016, 53, 1348–1380. [Google Scholar] [CrossRef]
- Haddaway, N.R.; Page, M.J.; Pritchard, C.C.; McGuinness, L.A. PRISMA2020: An R package and Shiny app for producing PRISMA 2020-compliant flow diagrams, with interactivity for optimised digital transparency and Open Synthesis. Campbell Syst. Rev. 2022, 18, e1230. [Google Scholar] [CrossRef]
- Page, M.J.; McKenzie, J.E.; Bossuyt, P.M.; Boutron, I.; Hoffmann, T.C.; Mulrow, C.D.; Shamseer, L.; Tetzlaff, J.M.; Akl, E.A.; Brennan, S.E.; et al. The PRISMA 2020 statement: An updated guideline for reporting systematic reviews. BMJ 2021, 372, n71. [Google Scholar] [CrossRef]
- Pearson, K., VII. Note on regression and inheritance in the case of two parents. In Proceedings of the Royal Society of London, London, UK, 25 April–20 June 1895; Volume 58, pp. 240–242. [Google Scholar] [CrossRef]
- Fisher, R.A. Frequency distribution of the values of the correlation coeffients in samples from an indefinitely large population. Biometrika 1915, 10, 507–521. [Google Scholar] [CrossRef]
- DerSimonian, R.; Laird, N. Meta-analysis in clinical trials. Control. Clin. Trials 1986, 7, 177–188. [Google Scholar] [CrossRef]
- Higgins, J.P.T.; Thompson, S.G. Quantifying heterogeneity in a meta-analysis. Stat. Med. 2002, 21, 1539–1558. [Google Scholar] [CrossRef]
- Riley, R.D.; Higgins, J.P.; Deeks, J.J. Interpretation of random effects meta-analyses. BMJ 2011, 342, d549. [Google Scholar] [CrossRef]
- Egger, M.; Davey Smith, G.; Schneider, M.; Minder, C. Bias in meta-analysis detected by a simple, graphical test. BMJ 1997, 315, 629–634. [Google Scholar] [CrossRef]
- Duval, S.; Tweedie, R. Trim and fill: A simple funnel-plot–based method of testing and adjusting for publication bias in meta-analysis. Biometrics 2000, 56, 455–463. [Google Scholar] [CrossRef] [PubMed]
- Jaworski, B.J.; Kohli, A.K. Market Orientation: Antecedents and Consequences. J. Mark. 1993, 57, 53–70. [Google Scholar] [CrossRef]
- Abadie, A. Using synthetic controls: Feasibility, data requirements, and methodological aspects. J. Econ. Lit. 2021, 59, 391–425. [Google Scholar] [CrossRef]
- Baron, R.M.; Kenny, D.A. The moderator–mediator variable distinction in social psychological research: Conceptual, strategic, and statistical considerations. J. Personal. Soc. Psychol. 1986, 51, 1173–1182. [Google Scholar] [CrossRef] [PubMed]
- Hayes, A.F. Partial, conditional, and moderated moderated mediation: Quantification, inference, and interpretation. Commun. Monogr. 2018, 85, 4–40. [Google Scholar] [CrossRef]





| Model | k | r | 95% CI (r) | Q | df | I2 (%) | τ2 | 95% PI (r) |
|---|---|---|---|---|---|---|---|---|
| Overall | 88 | 0.44 | [0.40, 0.48] | 1064.7 | 87 | 91.83 | 0.04 | [0.06, 0.71] |
| Group | k | r | 95% CI (r) |
|---|---|---|---|
| Reflective first-order | 74 | 0.46 | [0.42, 0.50] |
| Reflective second-order | 4 | 0.25 | [0.06, 0.43] |
| Formative first-order | 2 | 0.43 | [−0.01, 0.73] |
| Formative second-order | 8 | 0.31 | [0.23, 0.39] |
| Group | k | r | 95% CI (r) | I2 (%) | τ2 | 95% PI (r) |
|---|---|---|---|---|---|---|
| CFA reported | 44 | 0.44 | [0.37, 0.50] | 95.09 | 0.07 | [−0.05, 0.76] |
| Other | 43 | 0.45 | [0.41, 0.48] | 76.5 | 0.01 | [0.24, 0.61] |
| Group | k | r | 95% CI (r) | I2 (%) | τ2 | 95% PI (r) |
|---|---|---|---|---|---|---|
| B2B | 36 | 0.44 | [0.37, 0.50] | 93.22 | 0.06 | [−0.01, 0.74] |
| B2C | 17 | 0.53 | [0.44, 0.61] | 90.44 | 0.05 | [0.12, 0.78] |
| Mixed | 33 | 0.41 | [0.37, 0.45] | 80.77 | 0.01 | [0.20, 0.58] |
| Test/Diagnostic | Statistic | p-Value | Interpretation |
|---|---|---|---|
| Egger regression test | z = −0.46 | 0.65 | No evidence of funnel plot asymmetry |
| Baujat plot (Figure 3) | - | - | Studies 22, 32, 75, 76 contributed most to Q |
| Radial plot (Figure 4) | - | - | Same studies showed higher influence on effect |
Disclaimer/Publisher’s Note: The statements, opinions and data contained in all publications are solely those of the individual author(s) and contributor(s) and not of MDPI and/or the editor(s). MDPI and/or the editor(s) disclaim responsibility for any injury to people or property resulting from any ideas, methods, instructions or products referred to in the content. |
© 2025 by the authors. Licensee MDPI, Basel, Switzerland. This article is an open access article distributed under the terms and conditions of the Creative Commons Attribution (CC BY) license (https://creativecommons.org/licenses/by/4.0/).
Share and Cite
Sharafuddin, M.A.; Janarthanam, S. Why Method Matters: A Systematic Review and Meta-Analysis of the Marketing Capability–Performance Relationship. Encyclopedia 2025, 5, 212. https://doi.org/10.3390/encyclopedia5040212
Sharafuddin MA, Janarthanam S. Why Method Matters: A Systematic Review and Meta-Analysis of the Marketing Capability–Performance Relationship. Encyclopedia. 2025; 5(4):212. https://doi.org/10.3390/encyclopedia5040212
Chicago/Turabian StyleSharafuddin, Mohammed Ali, and Sathyapriya Janarthanam. 2025. "Why Method Matters: A Systematic Review and Meta-Analysis of the Marketing Capability–Performance Relationship" Encyclopedia 5, no. 4: 212. https://doi.org/10.3390/encyclopedia5040212
APA StyleSharafuddin, M. A., & Janarthanam, S. (2025). Why Method Matters: A Systematic Review and Meta-Analysis of the Marketing Capability–Performance Relationship. Encyclopedia, 5(4), 212. https://doi.org/10.3390/encyclopedia5040212

