Due to scheduled maintenance work on our servers, there may be short service disruptions on this website between 11:00 and 12:00 CEST on March 28th.
Sign in to use this feature.

Years

Between: -

Subjects

remove_circle_outline
remove_circle_outline
remove_circle_outline
remove_circle_outline
remove_circle_outline
remove_circle_outline
remove_circle_outline
remove_circle_outline
remove_circle_outline

Journals

remove_circle_outline
remove_circle_outline
remove_circle_outline

Article Types

Countries / Regions

remove_circle_outline
remove_circle_outline
remove_circle_outline
remove_circle_outline
remove_circle_outline

Search Results (562)

Search Parameters:
Keywords = sea surface salinity

Order results
Result details
Results per page
Select all
Export citation of selected articles as:
21 pages, 2453 KB  
Article
Comparing Sea Surface Salinity Variability from Spaceborne and In Situ Data: The North Atlantic and Western Mediterranean in Fall 2021
by Antonino Ian Ferola, Roberto Sabia, Yuri Cotroneo, Cinzia Cesarano, Estrella Olmedo, Veronica González-Gambau, Peter Wadhams and Giuseppe Aulicino
Remote Sens. 2026, 18(5), 797; https://doi.org/10.3390/rs18050797 - 5 Mar 2026
Viewed by 239
Abstract
Sea surface salinity (SSS) is a critical climate variable influencing ocean circulation, deep water formation, and the global hydrological cycle. This study evaluates a broad suite of satellite-derived SSS products against in situ measurements collected at 4.5 m depth along a transect conducted [...] Read more.
Sea surface salinity (SSS) is a critical climate variable influencing ocean circulation, deep water formation, and the global hydrological cycle. This study evaluates a broad suite of satellite-derived SSS products against in situ measurements collected at 4.5 m depth along a transect conducted in 2021 from western Greenland to Sardinia, spanning the subpolar North Atlantic and western Mediterranean Sea. All satellite products capture the large-scale salinity increase from high latitudes to the Mediterranean and show generally high correlations with in situ data. However, differences exist among specific products and at different latitudes. Multi-mission and optimally interpolated global products exhibit the smallest discrepancies, remaining close to the in situ reference along most of the transect, whereas single-mission Soil Moisture Active Passive (SMAP) and Soil Moisture Ocean Salinity (SMOS) products show larger and more variable differences, especially in dynamically complex or coastal areas. Regional products provide additional insights: the European Space Agency (ESA) CCI-Salinity Northern Hemisphere product and the Barcelona Expert Center Arctic Version 4 dataset are examined near Greenland and the subpolar North Atlantic, while the ESA 4D Mediterranean V3 product performs consistently in the western Mediterranean, highlighting scale and representativeness effects. A simple multi-product ensemble approach reduces product-specific noise and provides a balanced representation across diverse regimes and latitudes. These findings underline persistent regional challenges in satellite SSS retrievals and emphasise the need for more in situ observations and for further development of multi-product approaches. Full article
(This article belongs to the Section Ocean Remote Sensing)
Show Figures

Figure 1

20 pages, 4504 KB  
Article
SSS Retrieval Using C- and X-Band Microwave Radiometer Observations in Coastal Oceans
by Xinyu Li, Xinhao Zuo and Jin Wang
Atmosphere 2026, 17(3), 250; https://doi.org/10.3390/atmos17030250 - 27 Feb 2026
Viewed by 280
Abstract
This study proposes a method for retrieving ocean sea surface salinity (SSS) using C/X-band ocean emissivities in coastal regions, aiming to verify the performance of these unconventional frequencies for SSS retrieval in warm, high-salinity-variation coastal oceans. Since C/X-band brightness temperatures are less sensitive [...] Read more.
This study proposes a method for retrieving ocean sea surface salinity (SSS) using C/X-band ocean emissivities in coastal regions, aiming to verify the performance of these unconventional frequencies for SSS retrieval in warm, high-salinity-variation coastal oceans. Since C/X-band brightness temperatures are less sensitive to sea surface salinity than L-band brightness temperatures, it becomes particularly important to develop a sophisticated and effective method for extracting salinity-related signals from C/X-band brightness temperatures. To this end, a wind effect correction process is developed to remove rough sea surface emissivity contributions from total emissivity and derive calm sea emissivity from WindSat’s brightness temperatures. The wind-induced effects are modeled with a third-order polynomial. Then, based on emissivity analysis, a weighted combination of C/X-band calm sea emissivities (with parameter λ) is introduced to reduce SST sensitivity. This λ-based combination is used to retrieve SSS in the Bay of Bengal. Based on the triple-match method and buoy data, the salinity retrieval results are verified and compared with the Soil Moisture Active Passive (SMAP) SSS and Argo in situ SSS. The results show that the use of parameter λ reduces the RMS error of SSS by 0.1–0.2 psu. The RMSE of SSS retrieval is about 0.64 psu, which is comparable to the error of SMAP data. Simultaneously, the SSS retrieval accuracy is significantly influenced by offshore distance. At an offshore distance of 100 km, the salinity retrieval error exceeds 1 psu, while when the offshore distance exceeds 500 km, the salinity retrieval error is better than 0.6 psu. Full article
(This article belongs to the Section Atmospheric Techniques, Instruments, and Modeling)
Show Figures

Figure 1

28 pages, 5285 KB  
Article
Large-Scale Niche Analysis of Phytoplankton Cell Shapes and Their Spatial Distribution in Transitional Water Ecosystems in the Framework of Global Warming
by Lorenzo Liberatore, Jessica Titocci, Teodoro Semeraro, Flavio Monti, Angela Maria Scardia Scardia and Alberto Basset
Water 2026, 18(5), 553; https://doi.org/10.3390/w18050553 - 26 Feb 2026
Viewed by 352
Abstract
Climate change is a key driver of changes to abiotic niche dimensions such as water temperature in aquatic ecosystems. This study focuses on phytoplankton cell shapes in response to global warming. It quantifies spatial niche models of phytoplankton cell shape and applies these [...] Read more.
Climate change is a key driver of changes to abiotic niche dimensions such as water temperature in aquatic ecosystems. This study focuses on phytoplankton cell shapes in response to global warming. It quantifies spatial niche models of phytoplankton cell shape and applies these trends to current and future scenarios at the global scale. This study was carried out based on (1) six phytoplankton datasets accounting for 127,311 specimens, belonging to 306 taxa and 35 cell shape categories covering transitional aquatic ecosystems in the Northeast Atlantic, Mediterranean, Southwest Atlantic, Indian Ocean, and South Pacific, and (2) a unified dataset for all geographical areas including sea surface temperature, salinity, depth, primary production and coastal distance with data derived from GMEDs. Species distribution and niche models have been used to characterize the niches of 24 out of the 35 phytoplankton cell shapes and evaluate their current and future spatial distribution range. The predicted future scenario showed a reduction in the potential spatial distribution of four predominantly elongated shapes, representing 4.42% of all taxa in the datasets; we observed an increase for 15 simple cell shapes (67.51%) and no change for 5 shapes (23.03%). The results achieved suggest that phytoplankton taxa with simple body shapes will expand their distribution range in warmer coastal ecosystems. Full article
(This article belongs to the Section Biodiversity and Functionality of Aquatic Ecosystems)
Show Figures

Figure 1

27 pages, 5201 KB  
Article
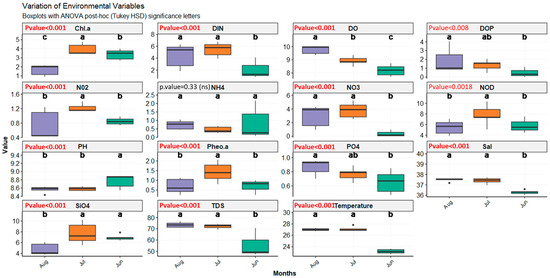
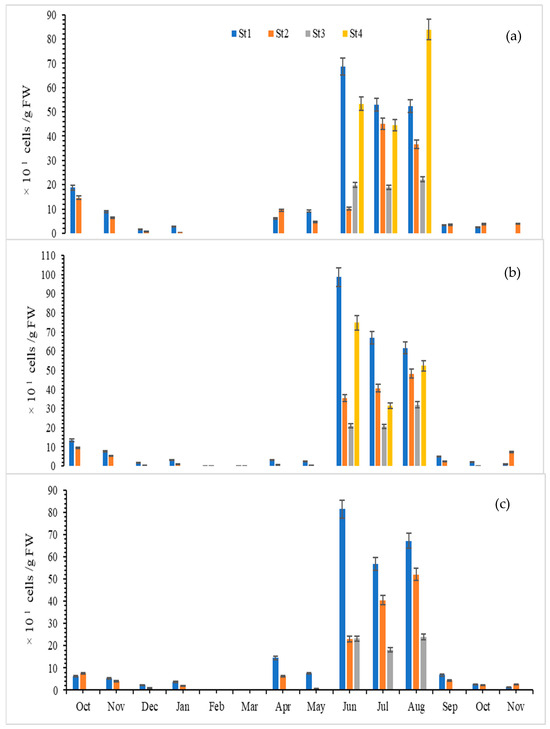
Spatiotemporal Dynamics of the Thermophilic Benthic Harmful Dinoflagellates in Annaba Bay (Southern Mediterranean): Influence of Environmental Factors and Macrophyte Substrates
by Ouafa Sad Laib, Aicha Beya Amira, Hocine Frihi, Mounia Aouissi and Mohamed Laabir
J. Mar. Sci. Eng. 2026, 14(4), 398; https://doi.org/10.3390/jmse14040398 - 22 Feb 2026
Viewed by 424
Abstract
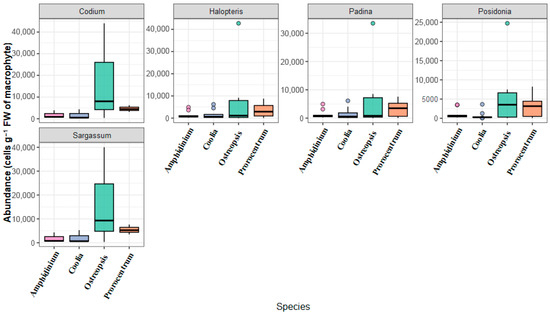
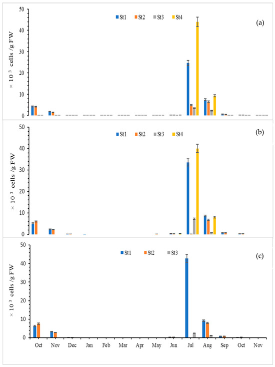
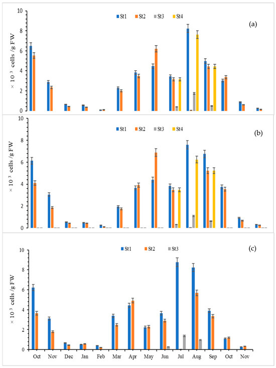
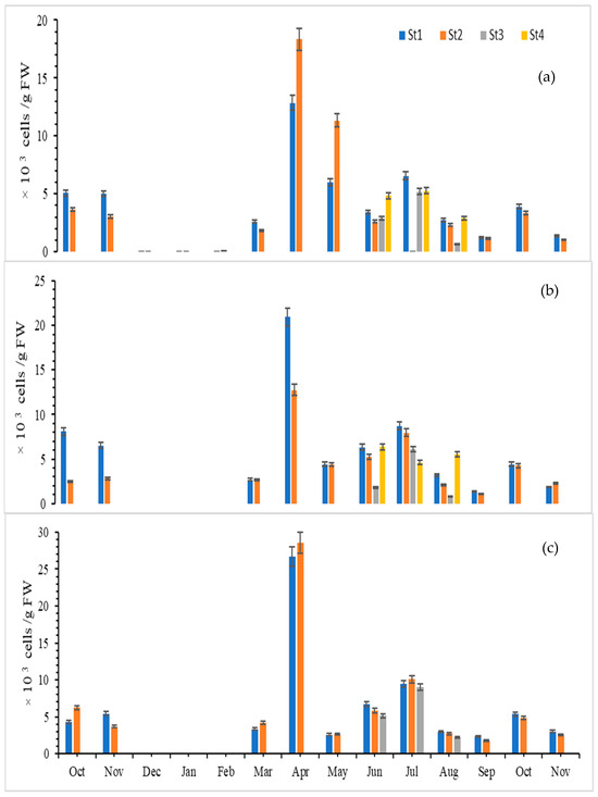
For the first time in the bay of Annaba (Southern Mediterranean), we studied the spatiotemporal distribution of potentially toxic benthic dinoflagellates: Ostreopsis cf. ovata, Prorocentrum lima, Coolia monotis, and Amphidinium carterae, hosted by the dominant macrophytes Posidonia oceanica, [...] Read more.
For the first time in the bay of Annaba (Southern Mediterranean), we studied the spatiotemporal distribution of potentially toxic benthic dinoflagellates: Ostreopsis cf. ovata, Prorocentrum lima, Coolia monotis, and Amphidinium carterae, hosted by the dominant macrophytes Posidonia oceanica, Padina pavonica, Codium fragile, and Halopteris scoparia. Sampling of these macrophytes was conducted weekly during spring and summer as well as bi-weekly in autumn and winter, from October 2022 to November 2023, at contrasting sites within Annaba Bay. The measured environmental parameters included temperature, pH, dissolved oxygen, salinity, ammonium, nitrate, nitrite, dissolved organic nitrogen, dissolved inorganic nitrogen, phosphate, dissolved organic phosphorus, silicate, and chlorophyll a. A proliferation of O. cf. ovata was recorded in July 2023, coinciding with a marked increase in temperature, with a maximum abundance exceeding 40 × 103 cells g−1 of fresh weight (FW) on H. scoparia and C. fragile. The maximum abundance of P. lima reached 8700 cells g−1 FW on H. scoparia during July and August 2023. Coolia monotis exhibited a peak of 2800 cells g−1 FW on H. scoparia. The abundance of A. carterae increased with temperature, reaching a maximum of 980 cells g−1 FW on P. pavonica. The distribution of epiphytic dinoflagellates varied according to the macrophyte substrate. Overall, statistical analyses indicate that benthic dinoflagellate community structure is shaped by the combined effects of temperature, nutrient availability, and ecological niche differentiation, with temperature emerging as the dominant driver. This suggests that climate-driven increases in Mediterranean Sea surface temperatures are likely to extend the seasonal window of harmful benthic algal blooms, thereby enhancing ecological disturbances and potential risks to human health. This study provides the first assessment of BHAB dynamics along the Eastern Algerian coast, highlighting the role of ongoing regional warming in shaping future bloom patterns. Full article
(This article belongs to the Special Issue Impacts of Climate Change on Marine Life)
Show Figures

Figure 1

25 pages, 8942 KB  
Article
Environmental Controls on Benthic Ostracod Assemblages in a Mangrove-Fringed Lagoon: Insights from Sharm El-Luli, Red Sea Coast, Egypt
by Ramadan M. El-Kahawy, Petra Heinz, Ammar Mannaa, Mostafa M. Sayed, Rabea A. Haredy and Dina M. Sayed
Diversity 2026, 18(2), 130; https://doi.org/10.3390/d18020130 - 21 Feb 2026
Cited by 1 | Viewed by 375
Abstract
Sharm El-Luli, located along the southern Red Sea coast of Egypt, is a semi-enclosed, shallow, mangrove-fringed lagoon characterized by limited hydrodynamic exchange, high salinity, and low terrigenous input. This study investigates the influence of sediment properties, hydrodynamic gradients, and mangrove-associated microhabitats on the [...] Read more.
Sharm El-Luli, located along the southern Red Sea coast of Egypt, is a semi-enclosed, shallow, mangrove-fringed lagoon characterized by limited hydrodynamic exchange, high salinity, and low terrigenous input. This study investigates the influence of sediment properties, hydrodynamic gradients, and mangrove-associated microhabitats on the spatial distribution of benthic ostracod assemblages within this lagoonal system. Eighteen surface sediment samples (W1–W18) were collected along an onshore–offshore gradient and analyzed for ostracod composition, sediment texture, carbonate and organic matter content, and water parameters including temperature, salinity, dissolved oxygen, pH, redox potential, and total dissolved solids. Thirty-four ostracod taxa were identified, revealing a pronounced inner–outer ecological partitioning across the lagoon. Redundancy analysis (RDA) demonstrates that ostracod distribution is primarily controlled by substrate heterogeneity, organic enrichment, salinity, and conductivity-related variables. The inner, low-energy mangrove margin is dominated by Aglaiocypris triebeli, Paranesidea fracticorallicola, and Hiltermannicythere rubrimaris, reflecting stressed, low-diversity conditions associated with organic-rich sediments and restricted circulation. In contrast, mid- and outer-lagoon stations host more diverse assemblages dominated by Xestoleberis spp., Neonesidea schulzi, Loxocorniculum ghardaquensis, and Jugosocythereis borchersi, indicative of better-flushed environments with higher carbonate content and stable marine salinity. These results demonstrate that benthic ostracods respond sensitively to fine-scale environmental gradients in mangrove-fringed lagoons, underscoring their value for assessing ecological health and sedimentary dynamics in semi-enclosed Red Sea coastal systems. Full article
(This article belongs to the Section Marine Diversity)
Show Figures

Figure 1

23 pages, 2725 KB  
Article
Multidimensional Drivers of Fish Community Assembly Across Seasonal and Hydrographic Gradients in the Yangtze River Estuary and Adjacent East China Sea: Insights from eDNA Analyses
by Yiran Tang, Cheng Zhang, Yanlong He, Shouhai Liu, Baoliang Li, Weimin Yao and Ming Yang
Biology 2026, 15(4), 337; https://doi.org/10.3390/biology15040337 - 14 Feb 2026
Viewed by 539
Abstract
Marine fish communities in the Yangtze River Estuary and Adjacent East China Sea (YRE-ECS) are subject to complex environmental gradients; however, their multidimensional assembly mechanisms remain insufficiently resolved. Here, we integrated environmental DNA (eDNA) metabarcoding, co-occurrence network analysis, and environmental profiling to examine [...] Read more.
Marine fish communities in the Yangtze River Estuary and Adjacent East China Sea (YRE-ECS) are subject to complex environmental gradients; however, their multidimensional assembly mechanisms remain insufficiently resolved. Here, we integrated environmental DNA (eDNA) metabarcoding, co-occurrence network analysis, and environmental profiling to examine fish community structure across vertical layers, hydrographic zones, and seasons. Vertically, surface communities dominated by pelagic-associated Perciformes and Clupeiformes showed more variable assembly patterns, whereas bottom communities enriched in Gobiiformes and Pleuronectiformes were more strongly associated with temperature and dissolved oxygen. Horizontally, among three zones delineated by salinity and hydrographic characteristics, the Mixed Transitional Water (MTW) supported the most diverse and interactive assemblages and functioned as an ecological connector between estuarine (EHSW) and offshore (OWSW) waters. Seasonally, community structure shifted markedly: spring communities exhibited higher diversity and denser trophic networks supported by zooplankton-rich, phototrophic plankton (e.g., Arthropoda, Bacillariophyta), whereas autumn communities were simpler, dominated by Chlorophyta and microbial taxa, with fish assemblages showing increased modularity and reliance on fewer planktonic groups. This seasonal pattern suggests a transition from diversified energy pathways to more constrained trophic coupling. βNTI and Mantel analyses jointly revealed a stratified environment-response-feedback framework driving community differentiation through combined stochastic and deterministic mechanisms. These findings highlight the importance of integrated spatial-temporal monitoring and suggest that protecting transitional zones and spring food-web integrity is critical for ecosystem resilience in the YRE-ECS. Full article
Show Figures

Graphical abstract

26 pages, 6581 KB  
Article
FWinFormer: A Frequency-Domain Deep Learning Framework for 3D Ocean Subsurface Temperature Prediction
by Juntong Wu, Miao Hu, Xiulin Geng and Xun Zhang
Remote Sens. 2026, 18(4), 575; https://doi.org/10.3390/rs18040575 - 12 Feb 2026
Viewed by 242
Abstract
Subsurface temperature is an important parameter for characterizing oceanic physical processes, and accurate prediction of subsurface temperature is essential for understanding oceanic changes. Existing methods primarily focus on spatial modeling but offer limited characterization of the spatiotemporal structure and frequency features of sea [...] Read more.
Subsurface temperature is an important parameter for characterizing oceanic physical processes, and accurate prediction of subsurface temperature is essential for understanding oceanic changes. Existing methods primarily focus on spatial modeling but offer limited characterization of the spatiotemporal structure and frequency features of sea temperature. They also suffer from restricted receptive fields and limited ability to model long-term dependencies. In this study, we propose a deep learning model named Fourier Window Transformer (FWinFormer), which integrates frequency-domain modeling to predict the three-dimensional subsurface temperature over the next 24 days. The model incorporates both temporal and frequency characteristics to enhance prediction accuracy. It consists of three modules: a Spatial Block Encoder, a Translator, and a Spatial Block Decoder. The spatial encoding and decoding modules are designed to extract spatial features, while the Translator models multi-scale temporal features based on the features extracted by the encoding and decoding modules. The input consists of 24 days of historical satellite observations, including sea-surface temperature (SST), salinity (SSS), eastward velocity (SSU), northward velocity (SSV) and height (SSH). We compared the model predictions with reanalysis data and evaluated performance from the perspectives of temporal evolution, spatial distribution, and vertical structure. Additionally, we validated the predicted temperatures against in situ observations. The results show that the model achieves strong and consistent performance across various temporal scales and spatial regions, with MAE, RMSE, and R2 values of 0.529, 0.785, and 0.994, respectively, for the 24-day average prediction. Full article
(This article belongs to the Special Issue Artificial Intelligence for Ocean Remote Sensing (Second Edition))
Show Figures

Figure 1

25 pages, 4800 KB  
Article
Vegetation Succession Dynamics and Drivers in Accretional Salt Marshes: A 34-Year Case Study in Hangzhou Bay
by Xiao Wang, Yan Bai, Xianqiang He, Bozhong Zhu, Xiaosong Ding, Teng Li, Xuchen Jin and Fang Gong
Remote Sens. 2026, 18(3), 461; https://doi.org/10.3390/rs18030461 - 1 Feb 2026
Viewed by 427
Abstract
In naturally accretional salt marshes, pioneer species typically expand seaward and colonize tidal flats. However, this process can be influenced by disturbances such as human activities and species invasions. Understanding the spatiotemporal patterns and driving mechanisms of vegetation succession in salt marshes is [...] Read more.
In naturally accretional salt marshes, pioneer species typically expand seaward and colonize tidal flats. However, this process can be influenced by disturbances such as human activities and species invasions. Understanding the spatiotemporal patterns and driving mechanisms of vegetation succession in salt marshes is critical for wetland conservation, restoration, and management. Using southern Hangzhou Bay as a case study, we developed a remote sensing algorithm to distinguish the dominant species Scirpus mariqueter (S. mariqueter) and Spartina alterniflora (S. alterniflora). Based on long-term time-series remote sensing data (1990–2023) and twelve parameters representing environmental variables, human activity, and interspecific competition, we analyzed the seaward expansion of the dominant salt marsh species and quantified the effects of various drivers on vegetation. The results showed that as a pioneer species, S. mariqueter expanded at a rate of 0.26 km2 yr−1 and was gradually replaced by S. alterniflora, which expanded at a rate of 0.52 km2 yr−1. Over the 34-year period, both species exhibited phased expansion–decline–recovery dynamics. During the relatively stable periods (1990–2003 and 2015–2023), temperature, sea level anomaly, and sea surface salinity were the key drivers of vegetation succession. During the disturbance period (2004–2014), S. mariqueter remained primarily influenced by environmental factors, whereas S. alterniflora was primarily influenced by human activities. This study provides the first satellite-based analysis of salt marsh species dynamics in southern Hangzhou Bay over a 34-year period, revealing nonlinear, staged, and species-specific succession patterns and providing new perspectives for invasive species management and the conservation of dynamic coastal wetlands. Full article
Show Figures

Figure 1

23 pages, 2429 KB  
Article
Development and Field Testing of a Cavitation-Based Robotic Platform for Sustainable In-Water Hull Cleaning
by Uroš Puc, Andreja Abina, Edvin Salvi, Vlado Malačič, Janja Francé, Riccardo Zanelli and Aleksander Zidanšek
J. Mar. Sci. Eng. 2026, 14(2), 227; https://doi.org/10.3390/jmse14020227 - 21 Jan 2026
Viewed by 430
Abstract
Biofouling on ship hulls significantly increases hydrodynamic drag, fuel consumption, and greenhouse gas emissions, while also facilitating the spread of invasive species in regional and global waters, thereby threatening marine biodiversity. To address these environmental and economic issues, we developed an innovative robotic [...] Read more.
Biofouling on ship hulls significantly increases hydrodynamic drag, fuel consumption, and greenhouse gas emissions, while also facilitating the spread of invasive species in regional and global waters, thereby threatening marine biodiversity. To address these environmental and economic issues, we developed an innovative robotic platform for in-water hull cleaning. The platform utilizes a cavitation-based cleaning module that removes biofouling while minimizing hull surface damage and preventing the spread of detached particles into the marine environment. This paper describes the design, operation, and testing of a developed robotic cleaning system prototype. Emphasis is placed on integrating components and sensors for continuous monitoring of key seawater parameters (temperature, salinity, turbidity, dissolved oxygen, chlorophyll-a, etc.) before, during, and after underwater cleaning. Results from real-sea trials show the platform’s effectiveness in removing biofouling and its minimal environmental impact, confirming its potential as a sustainable solution for in-water hull cleaning. Full article
(This article belongs to the Section Ocean Engineering)
Show Figures

Figure 1

25 pages, 6613 KB  
Article
Satellite-Based Assessment of Marine Environmental Indicators and Their Variability in the South Pacific Island Regions: A National-Scale Perspective
by Qunfei Hu, Teng Li, Yan Bai, Xianqiang He, Xueqian Chen, Liangyu Chen, Xiaochen Huang, Meng Huang and Difeng Wang
Remote Sens. 2026, 18(1), 165; https://doi.org/10.3390/rs18010165 - 4 Jan 2026
Viewed by 598
Abstract
The marine environment in the South Pacific Island Countries (SPICs) is sensitive and vulnerable to climate change. While large-scale changes in this region are well-documented, national-scale analyses that address management needs remain limited. This study evaluated the performance of satellite-derived datasets—including sea surface [...] Read more.
The marine environment in the South Pacific Island Countries (SPICs) is sensitive and vulnerable to climate change. While large-scale changes in this region are well-documented, national-scale analyses that address management needs remain limited. This study evaluated the performance of satellite-derived datasets—including sea surface temperature (SST), sea surface salinity (SSS), Secchi disk depth (SDD), chlorophyll-a (Chl-a), net primary production (NPP), and sea level anomaly (SLA)—against in situ observations, and analyzed their spatial and temporal variability across 12 national Exclusive Economic Zones (EEZs) during 1998–2023. Validation results presented that current satellite datasets could provide applicable information for EEZ-scale analyses. In the past decades, the SPICs experienced a general increase in SST and SLA, accompanied by marked within-EEZ heterogeneity in Chl-a and NPP variations, with Papua New Guinea exhibiting the largest within-EEZ inter-annual variability. In addition to monitoring, satellite data would help to constrain the uncertainty of CMIP6 results in the SPICs, subject to the accuracy of specific products. By 2100, Nauru might experience the most vulnerable EEZ, while the marine environment in the French Polynesian EEZ can keep relatively stable among all 12 EEZs. Meanwhile, CMIP6 projections in the Southeastern EEZs are more sensitive to satellite-based constraints, showing pronounced adjustments. Our results demonstrate the potential of combining validated satellite data with CMIP6 models to provide national-scale decision support for climate adaptation and marine resource management in the SPICs. Full article
(This article belongs to the Special Issue Remote Sensing Applications in Ocean Observation (Third Edition))
Show Figures

Figure 1

27 pages, 10128 KB  
Article
Late Pleistocene to Holocene Depositional Environments in Foredeep Basins: Coastal Plain Responses to Sea-Level and Tectonic Forcing—The Metaponto Area (Southern Italy)
by Agostino Meo and Maria Rosaria Senatore
Geosciences 2026, 16(1), 5; https://doi.org/10.3390/geosciences16010005 - 20 Dec 2025
Cited by 1 | Viewed by 705
Abstract
The Metaponto coastal plain (Ionian margin, Southern Italy) records the Late Pleistocene–Holocene evolution of a foredeep coastal system shaped by relative sea-level change, vertical land motion, and compaction. We analyze a 22 m continuous core (Meta 1) using lithofacies logging, grain size statistics [...] Read more.
The Metaponto coastal plain (Ionian margin, Southern Italy) records the Late Pleistocene–Holocene evolution of a foredeep coastal system shaped by relative sea-level change, vertical land motion, and compaction. We analyze a 22 m continuous core (Meta 1) using lithofacies logging, grain size statistics and cumulative curves, multivariate analysis of grain size distributions (PCA and k-means clustering), and three AMS 14C ages, and we compare the record with a nearby borehole (MSB) and a global eustatic curve. Four depositional units document a shift from lower-shoreface–offshore deposition to lagoon–barrier/aeolian systems, culminating in late Holocene near-surface progradation. Textural end members (mud-rich offshore/lagoonal, traction-dominated, and sand-rich) are coherent across classical parameters, Visher-type curves, PCA, and k-means clusters. Depth–age comparisons suggest net uplift during the Late Glacial, followed by near-present relative sea level and a Late Holocene onset of modest net subsidence; a compaction contribution is plausible but unquantified. Subsidence/uplift rates therefore remain upper-bound estimates owing to sparse chronological control and the lack of glacio-isostatic and compaction modeling. Together with the MSB emerged-beach tie-point, the record constrains shoreline position and progradation. The inferred Mid- to Late-Holocene stabilization and progradational trends are consistent with other Italian and wider Mediterranean coastal plains. Additional dating and quantitative paleoecological proxies (e.g., foraminifera/ostracods/molluscs) are key to independently constrain salinity and water-depth changes and to refine the partitioning between subsidence and compaction. Full article
Show Figures

Figure 1

26 pages, 10794 KB  
Article
An Adaptive Nudging Scheme with Spatially Varying Gain for Improving the Ability of Ocean Temperature Assimilation in SPEEDY-NEMO
by Yushan Wang, Fei Zheng, Changxiang Yan and Muhammad Adnan Abid
J. Mar. Sci. Eng. 2026, 14(1), 1; https://doi.org/10.3390/jmse14010001 - 19 Dec 2025
Viewed by 377
Abstract
Nudging remains a cost-effective data assimilation technique in coupled climate models, yet conventional schemes with fixed spatial strengths struggle to represent heterogeneous ocean processes. This study introduces an adaptive nudging framework in which a spatially varying gain matrix dynamically balances model and observational [...] Read more.
Nudging remains a cost-effective data assimilation technique in coupled climate models, yet conventional schemes with fixed spatial strengths struggle to represent heterogeneous ocean processes. This study introduces an adaptive nudging framework in which a spatially varying gain matrix dynamically balances model and observational errors, providing a more physically consistent determination of nudging coefficients. Implemented in the SPEEDY-NEMO coupled model, the method is systematically evaluated against a traditional latitude-dependent scheme. Results show substantial improvements in subsurface temperature assimilation across key regions, including the Niño3.4, tropical Indian Ocean, North Pacific, North Atlantic, and northeastern Pacific. The most pronounced gains occur above and within the thermocline, where strong stratification renders fixed nudging strengths inadequate, yielding a 20–30% reduction in RMSE and a 30–50% increase in correlation. In mid- to high-latitude regions, improvements extend to greater depths, consistent with deeper thermocline structures. The adaptive framework corrects both systematic bias and variance, enhancing not only the mean state but also variability representation. Additional benefits are found in salinity, currents, and sea surface height, demonstrating that spatially adaptive nudging provides a more effective and practical alternative for improving ocean state estimation in coupled models. Full article
(This article belongs to the Section Physical Oceanography)
Show Figures

Figure 1

20 pages, 9313 KB  
Article
Microplastic Distribution and Transport Mechanisms in the South Sea and East China Sea of Korea
by Byeongkyu Min, Huiho Jeong, Chon-Rae Cho and Hyeon-Seo Cho
Toxics 2025, 13(12), 1070; https://doi.org/10.3390/toxics13121070 - 12 Dec 2025
Viewed by 854
Abstract
Microplastic distribution off the coast of Korea was investigated by collecting and analyzing surface seawater and sediment samples from the South Sea and East China Sea during the summer. Microplastic abundance was found to be highest in the YE area, followed by the [...] Read more.
Microplastic distribution off the coast of Korea was investigated by collecting and analyzing surface seawater and sediment samples from the South Sea and East China Sea during the summer. Microplastic abundance was found to be highest in the YE area, followed by the EC area and the SS area in both seawater and sediment matrices. The dominant microplastic shapes and sizes were fragments and small particles (0.02–0.3 mm), respectively. This distribution pattern is explained by the transport of low-density, small-sized microplastics from other seas via the high salinity Taiwan Warm Current and Tsushima Warm Current flowing northward from the southern waters of the study area. In contrast, microplastics originating from the Korean landmass along the southern coast were less abundant, likely due to their dispersal by the strong currents of the Jeju Warm Current, Taiwan Warm Current, and Tsushima Warm Current, which carry microplastics toward the Korean Strait. This study highlights the critical role of prevailing ocean currents in shaping the spatial distribution of microplastics, providing insight into sources and transport mechanisms relevant for regional marine pollution management in the Korean coastal waters. Full article
Show Figures

Figure 1

27 pages, 3256 KB  
Article
Ecotoxicity of 5-Fluorouracil Towards Diatoms from Brackish Coastal Shallows
by Filip F. Pniewski, Ewelina Sowa and Bartosz Tylkowski
Water 2025, 17(24), 3506; https://doi.org/10.3390/w17243506 - 11 Dec 2025
Viewed by 583
Abstract
Cytostatics are contaminants of emerging concern. Their increasing presence in waste- and surface water is becoming a risk to aquatic life. Among them, 5-fluorouracil (5-FU) is one of the most frequently prescribed cytostatic drugs. 5-FU inhibits the thymidylate synthase activity, causing the depletion [...] Read more.
Cytostatics are contaminants of emerging concern. Their increasing presence in waste- and surface water is becoming a risk to aquatic life. Among them, 5-fluorouracil (5-FU) is one of the most frequently prescribed cytostatic drugs. 5-FU inhibits the thymidylate synthase activity, causing the depletion of thymidine nucleotides and misincorporation of uracil, and thus blocks DNA synthesis and replication. This study focuses on the influence of 5-FU on brackish and marine diatoms from the Baltic Sea, including Bacillaria cf. paxillifera, Gedaniella sp., Navicula perminuta, Nitzschia cf. aurariae, Skeletonema marinoi and Stephanocyclus meneghinianus, as well as natural microphytobenthos assemblages. The toxic effects of 5-FU were investigated in acute growth inhibition tests, which were performed using four types of media, i.e., artificial seawater with a salinity of 6.7, natural Baltic water, artificial seawater with a salinity of 22, and artificial seawater with the addition of cyclophosphamide and ifosfamide. The toxicity of 5-FU was checked for (1) each strain grown individually in all media, (2) six-strain mixed cultures grown in artificial seawater, and (3) natural microphytobenthic communities maintained in natural Baltic water. The diatom responses to 5-FU were species-specific. Growth conditions significantly modified the toxicity of 5-FU; tested strains were the most resistant to 5-FU when grown under optimal conditions, i.e., in natural Baltic water and/or at the optimal salinity. In the six-strain mixed cultures, higher 5-FU concentrations (>0.1 mg L−1) shifted the dominance of diatom strains; the most resilient diatom S. meneghinianus replaced two other fast-growing strains, i.e., B. cf. paxillifera and Gedaniella sp. In the tested microphytobenthos assemblages, the highest biomass and species diversity were observed under the highest 5-FU concentrations (>5 mg L−1). This indicated that the responses of complex species mixtures were governed by the ecophysiological features of their members and interactions among them, shaping the adaptive capacity of the entire assemblage. The introduction of the ecophysiological approach to toxicity testing seems to be crucial, and it would enable more realistic environmental risk assessment. Full article
(This article belongs to the Special Issue Water Resources and Environment)
Show Figures

Figure 1

20 pages, 10791 KB  
Article
Developing Integrated Supersites to Advance the Understanding of Saltwater Intrusion in the Coastal Plain Between the Brenta and Adige Rivers, Italy
by Luigi Tosi, Marta Cosma, Pablo Agustín Yaciuk, Iva Aljinović, Andrea Artuso, Jadran Čarija, Cristina Da Lio, Lorenzo Frison, Veljko Srzić, Fabio Tateo and Sandra Donnici
J. Mar. Sci. Eng. 2025, 13(12), 2328; https://doi.org/10.3390/jmse13122328 - 8 Dec 2025
Viewed by 370
Abstract
Saltwater intrusion increasingly jeopardizes groundwater in low-lying coastal plains worldwide, where the combined effects of sea-level rise, land subsidence, and hydraulic regulation further exacerbate aquifer vulnerability and threaten the long-term sustainability of freshwater supplies. To move beyond sparse and fragmented piezometric observations, we [...] Read more.
Saltwater intrusion increasingly jeopardizes groundwater in low-lying coastal plains worldwide, where the combined effects of sea-level rise, land subsidence, and hydraulic regulation further exacerbate aquifer vulnerability and threaten the long-term sustainability of freshwater supplies. To move beyond sparse and fragmented piezometric observations, we propose “integrated coastal supersites”: wells equipped with multiparametric sensors and multilevel piezometers that couple high-resolution vertical conductivity–temperature–depth (CTD) profiling with continuous hydro-meteorological time series to monitor the hydrodynamic behavior of coastal aquifers and saltwater intrusion. This study describes the installation of two supersites and presents early insights from the first monitoring period, which, despite a short observation window limited to the summer season (July–September 2025), demonstrate the effectiveness of this approach. Two contrasting supersites were deployed in the coastal plain between the Brenta and Adige Rivers (Italy): Gorzone, characterized by a thick, laterally persistent aquitard, and Buoro, where the aquitard is thinner and discontinuous. Profiles and fixed sensors at both sites reveal a consistent fresh-to-saline transition in the phreatic aquifers and a secondary freshwater lens capping the confined systems. At Gorzone, the confining layer hydraulically isolates the deeper aquifer, preserving low salinity beneath a saline, tidally constrained phreatic zone. Groundwater heads oscillate by about 0.2 m, and rainfall events do not dilute salinity; instead, pressure transients—amplified by drainage regulation and inland-propagating tides—induce short-lived EC increases via upconing. Buoro shows smaller water-level variations, not always linked to rainfall, and, in contrast, exhibits partial vertical connectivity and faster dynamics: phreatic heads respond chiefly to internal drainage and local recharge, with rises rapidly damped by pumping, while salinity remains steady without episodic peaks. The confined aquifer shows buffered, delayed responses to surface forcings. Although the monitoring window is currently limited to 2025 through the summer season, these results offer compelling evidence that coastal supersites are reliable, scalable, and management-critical relevance platforms for groundwater calibration, forecasting, and long-term assessment. Full article
(This article belongs to the Special Issue Monitoring Coastal Systems and Improving Climate Change Resilience)
Show Figures

Graphical abstract

Back to TopTop