Spatiotemporal Dynamics of the Thermophilic Benthic Harmful Dinoflagellates in Annaba Bay (Southern Mediterranean): Influence of Environmental Factors and Macrophyte Substrates
Abstract
1. Introduction
2. Materials and Methods
2.1. Description and Geographic Location of the Study Area
2.2. Sampling Frequency and Collection of Macrophytes
2.3. Physicochemical Parameters
2.4. Enumeration, Identification, and Cellular Concentration
2.5. Statistical Analyses
3. Results
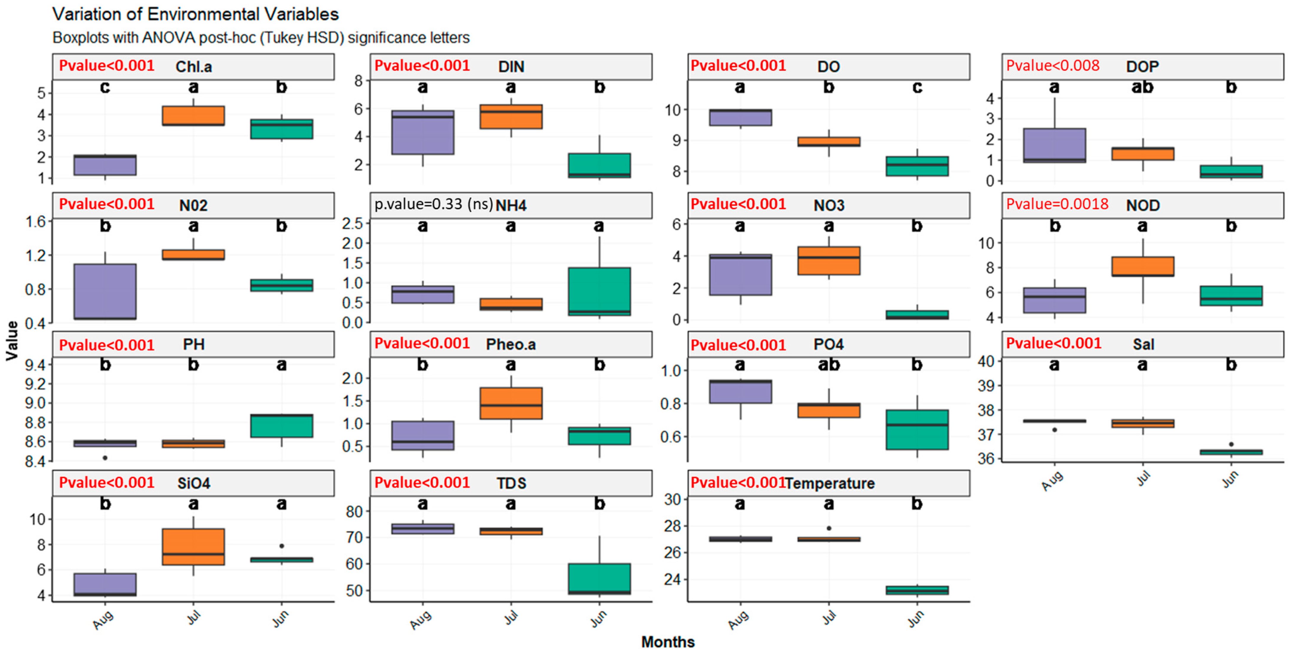
3.1. Seasonal Variation in Physicochemical Parameters
3.2. Seasonal Dynamics of Nutrients
3.3. Biological Indicators
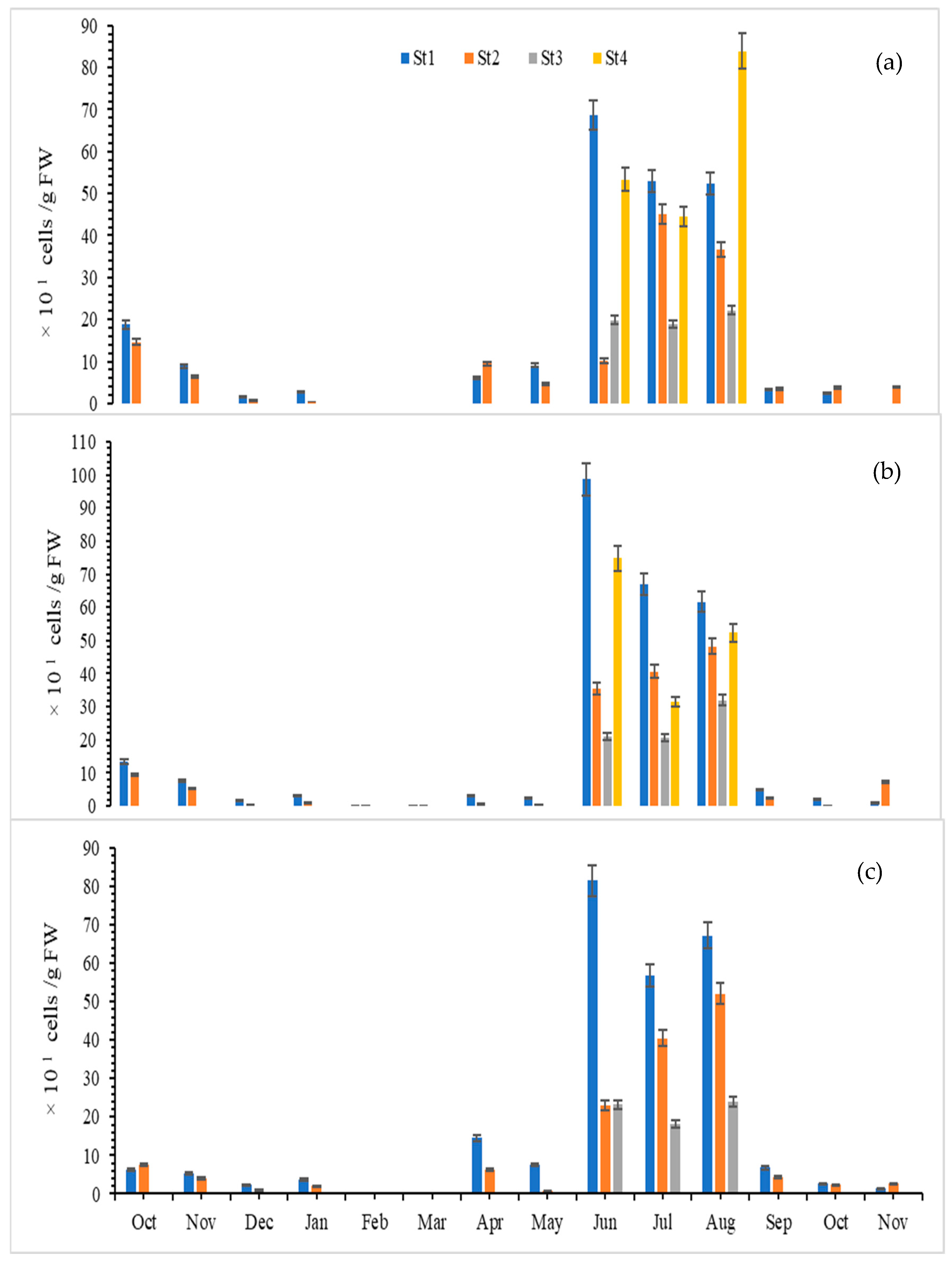
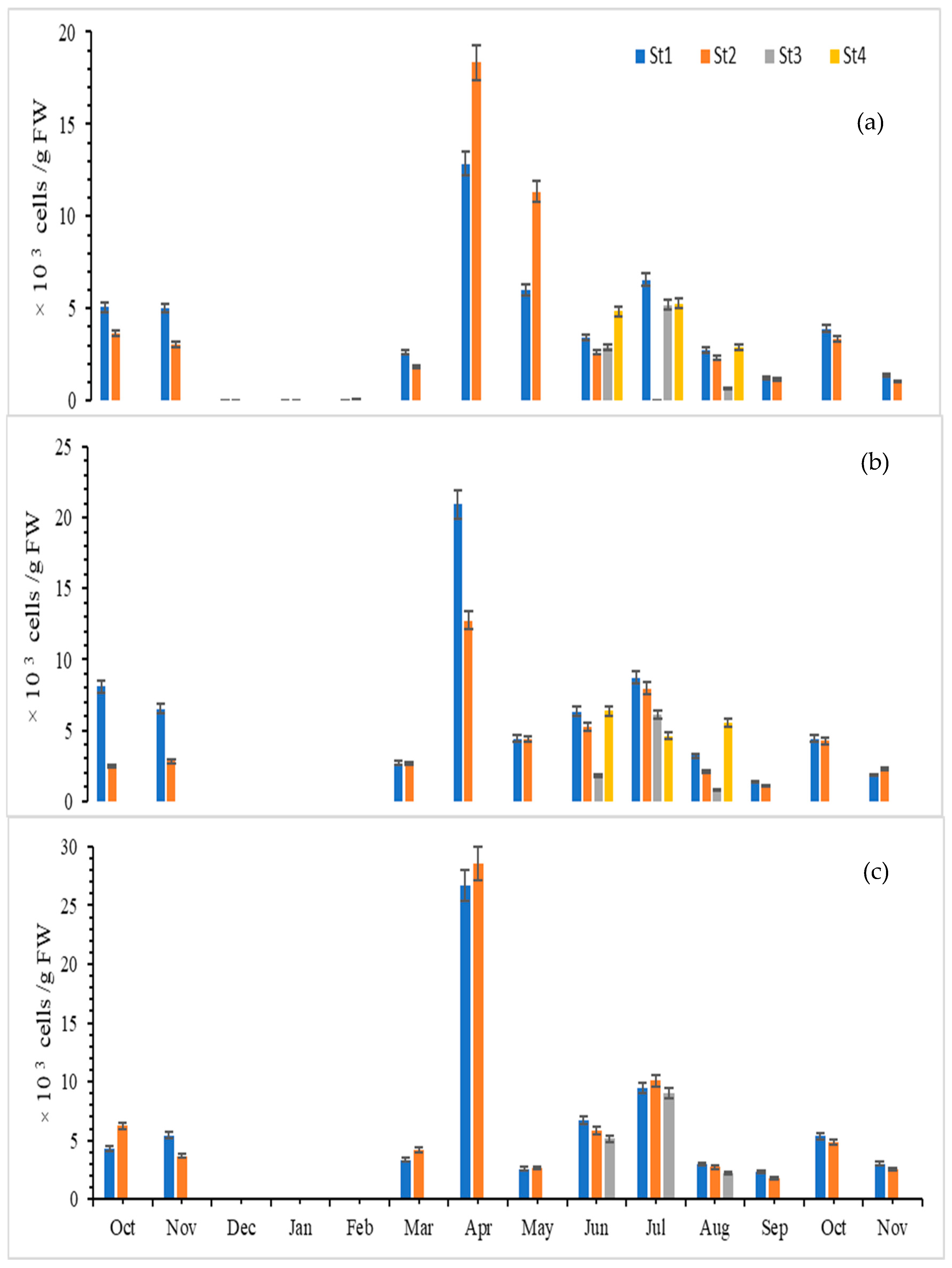
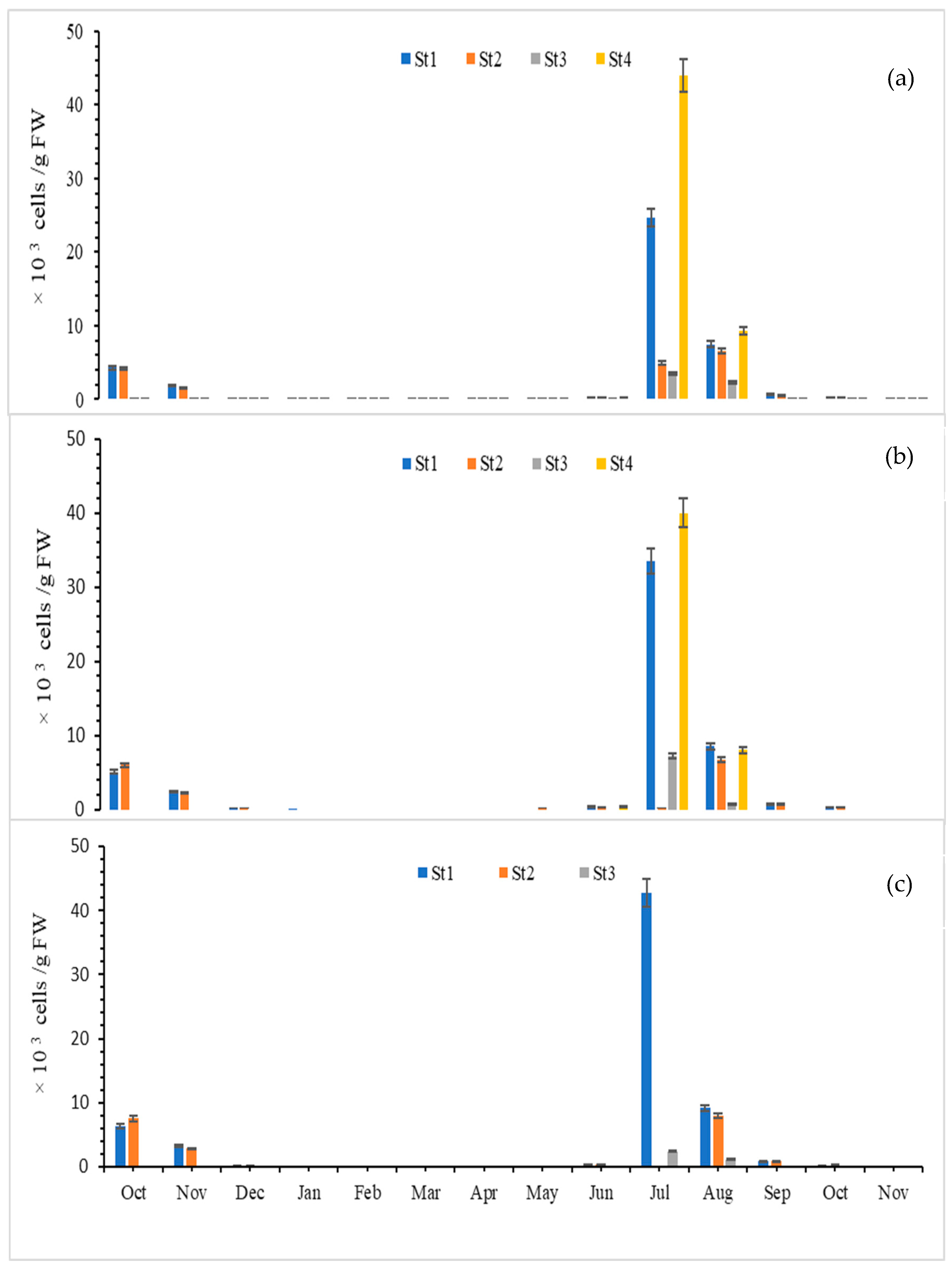
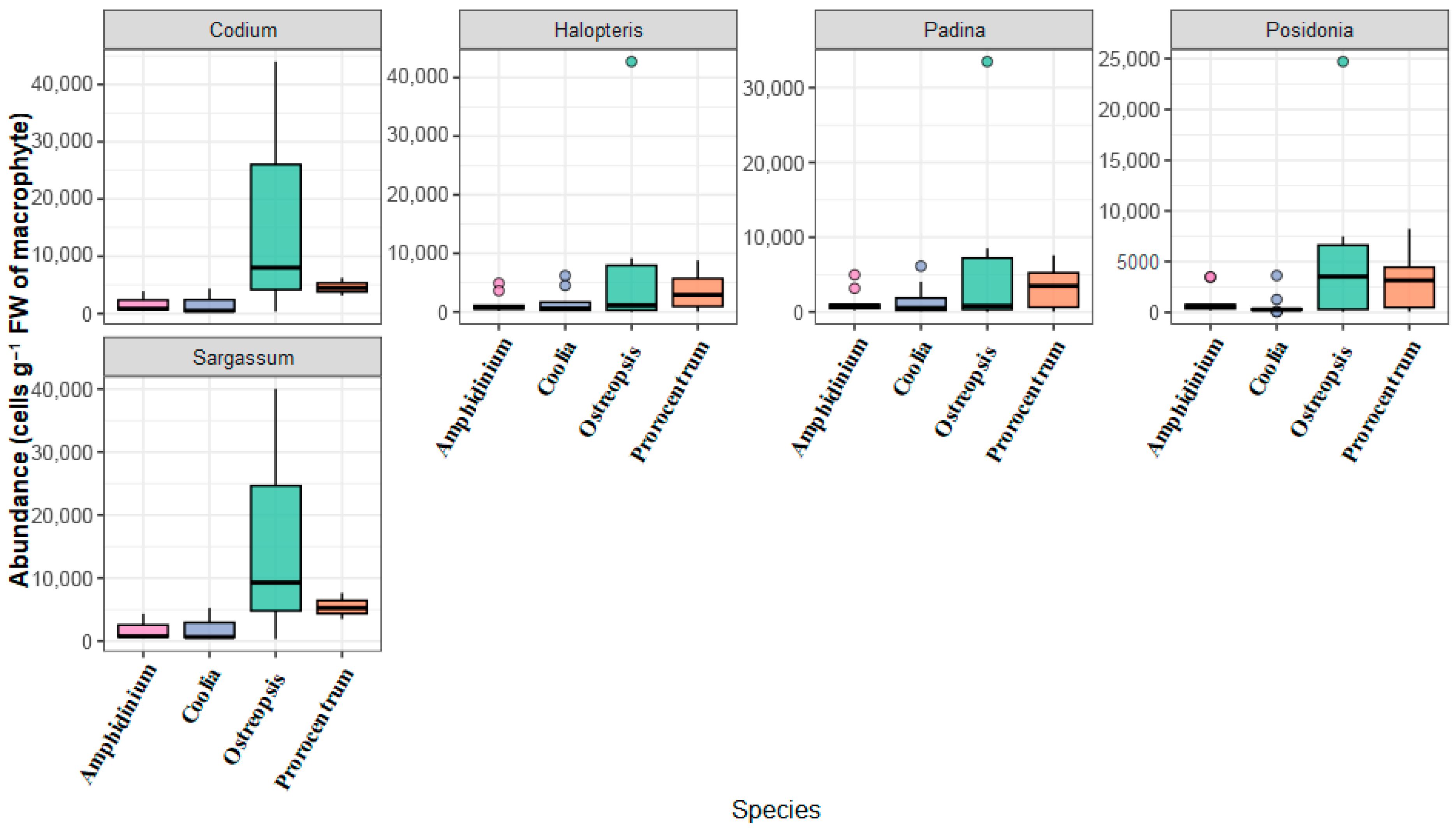
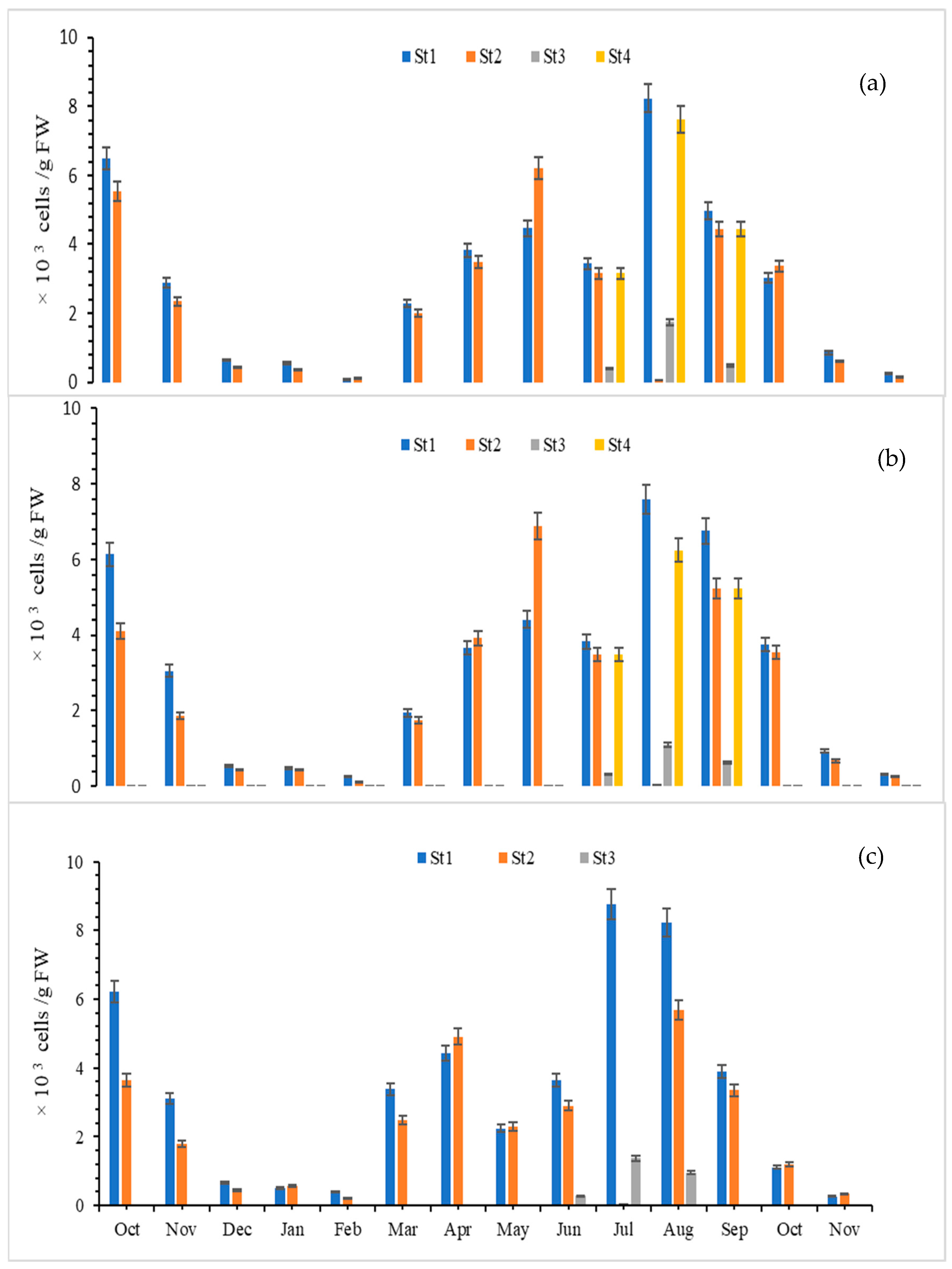
3.4. Epibenthic Assemblage
3.5. Influence of Biotic and Abiotic Parameters on BHAB Dynamics
4. Discussion
4.1. Occurrence of Benthic Harmful Algal Blooms (BHABs) in Annaba Bay
4.2. Spatial and Seasonal Variability of Ostreopsis cf. ovata Abundance
4.3. Dynamics of Prorocentrum lima, Coolia monotis, and Amphidinium carterae
4.4. Role of Temperature in Shaping BHAB Dynamics
4.5. Nutrient Availability and Benthic Dinoflagellate Responses
4.6. Influence of Macrophyte Substrates
4.7. Environmental Gradients Structuring Benthic Dinoflagellate Communities Revealed by Redundancy Analysis
5. Conclusions
Author Contributions
Funding
Data Availability Statement
Acknowledgments
Conflicts of Interest
Appendix A
| Months | Stations | |
|---|---|---|
| T° | 0.000 *** | 0.175 ns |
| S | 0.000 *** | 0.972 ns |
| OD | 0.005 ** | 0.183 ns |
| TDS | 0.002 ** | 0.421 ns |
| PH | 0.000 *** | 0.762 ns |
| NO2 | 0.003 ** | 0.213 ns |
| NO3 | 0.028 * | 0.377 ns |
| NH4 | 0.076 ns | 0.045 * |
| DON | 0.002 ** | 0.069 ns |
| DIN | 0.004 ** | 0.341 ns |
| DOP | 0.797 ns | 0.420 ns |
| PO4 | 0.095 ns | 0.680 ns |
| SiO4 | 0.000 *** | 0.003 ** |
| Chl a | 0.000 *** | 0.007 ** |


References
- Vila, M.; Garcés, E.; Masó, M. Assemblages of potentially toxic epiphytic dinoflagellates on macroalgae in the northwestern Mediterranean Sea. Aquat. Microb. Ecol. 2001, 26, 51–60. [Google Scholar] [CrossRef]
- Mafra, L.L., Jr.; Sunesen, I.; Pires, E.; Nascimento, S.M.; Álvarez, G.; Mancera-Pineda, J.E.; Torres, G.; Carnicer, O.; Galindo, J.A.H.; Ramirez, S.S.; et al. Benthic harmful microalgae and their impacts in South America. Harmful Algae 2023, 127, 102478. [Google Scholar] [CrossRef] [PubMed]
- Martinez-Mercado, M.A.; Cembella, A.D.; Sanchez-Castrejon, E.; Saavedra-Flores, A.; Galindo-Sanchez, C.E.; Duran-Riveroll, L.M. Functional diversity of bacterial microbiota associated with the toxigenic benthic dinoflagellate Prorocentrum. PLoS ONE 2024, 19, e0306108. [Google Scholar] [CrossRef]
- Lee, J.S.; Igarashi, T.; Fraga, S.; Dahl, E.; Hovgaard, P.; Yasumoto, T. Determination of diarrhetic shellfish toxins in various dinoflagellate species. J. Appl. Phycol. 1989, 1, 147–152. [Google Scholar] [CrossRef]
- Hoppenrath, M.; Murray, S.A.; Chomérat, N.; Horiguchi, T. Marine Benthic Dinoflagellates–Unveiling their Worldwide Biodiversity; Schweizerbart’sche Verlagsbuchhandlung: Stuttgart, Germany, 2014. [Google Scholar]
- Berdalet, E.; Tester, P.A.; Chinain, M.; Fraga, S.; Lemée, R.; Litaker, W.; Penna, A.; Usup, G.; Vila, M.; Zingone, A. Harmful algal blooms in benthic systems: Recent progress and future research. Oceanography 2017, 30, 36–45. [Google Scholar] [CrossRef]
- Perkins, J.C.; Zenger, K.R.; Capper, A.; Liu, Y.; Strugnell, J.M. Characteristics of Benthic Toxic Dinoflagellate Communities within Three Coastal Regions of the Great Barrier Reef, Australia. Mar. Pollut. Bull. 2025, 210, 117319. [Google Scholar] [CrossRef]
- Gamarro, E.G.; Englander, K. Joint FAO-IOC-IAEA technical guidance for the implementation of early warning systems for harmful algal blooms. FAO Fish. Aquac. Tech. Pap. 2023, 690, I-202. [Google Scholar] [CrossRef]
- Berdalet, E.; McManus, M.A.; Ross, O.N.; Burchard, H.; Chavez, F.P.; Jaffe, J.S.; Yamazaki, H. Understanding harmful algae in stratified systems: Review of progress and future directions. Deep Sea Res. Part II Top. Stud. Oceanogr. 2014, 101, 4–20. [Google Scholar] [CrossRef]
- Ben Gharbia, H.; Laabir, M.; Ben Mhamed, A.; Gueroun, S.K.M.; Daly Yahia, M.N.; Nouri, H.; M’rabet, C.; Shili, A.; Yahia, O.K.D. Occurrence of epibenthic dinoflagellates in relation to biotic substrates and to environmental factors in Southern Mediterranean (Bizerte Bay and Lagoon, Tunisia): An emphasis on the harmful Ostreopsis spp., Prorocentrum lima and Cool. monotis. Harmful Algae 2019, 90, 101704. [Google Scholar] [CrossRef] [PubMed]
- Zingone, A.; Escalera, L.; Aligizaki, K.; Fernández-Tejedor, M.; Ismael, A.; Montresor, M.; Mozetič, P.; Taş, S.; Totti, C. Toxic marine microalgae and noxious blooms in the Mediterranean Sea: A contribution to the Global HAB Status Report. Harmful Algae 2021, 102, 101843. [Google Scholar] [CrossRef] [PubMed]
- Gollasch, S.; Lenz, J.; Dammer, M.; Andres, H.G. Survival of tropical ballast water organisms during a cruise from the Indian Ocean to the North Sea. J. Plankton Res. 2000, 22, 923–937. [Google Scholar] [CrossRef]
- Hallegraeff, G.M.; Anderson, D.M.; Belin, C.; Bottein, M.Y.D.; Bresnan, E.; Chinain, M.; Enevoldsen, H.; Iwataki, M.; Karlson, B.; McKenzie, C.H.; et al. Perceived global increase in algal blooms is attributable to intensified monitoring and emerging bloom impacts. Commun. Earth Environ. 2021, 2, 117. [Google Scholar] [CrossRef]
- Anderson, D.M.; Glibert, P.M.; Burkholder, J.M. Harmful algal blooms and eutrophication: Nutrient sources, composition, and consequences. Estuaries 2002, 25, 704–726. [Google Scholar] [CrossRef]
- Hallegraeff, G.M. Ocean climate change, phytoplankton community responses, and harmful algal blooms: A formidable predictive challenge. J. Phycol. 2010, 46, 220–235. [Google Scholar] [CrossRef]
- Kibler, S.R.; Tester, P.A.; Kunkel, K.E.; Moore, S.K.; Litaker, R.W. Effects of ocean warming on growth and distribution of dinoflagellates associated with ciguatera fish poisoning in the Caribbean. Ecol. Model. 2015, 316, 194–210. [Google Scholar] [CrossRef]
- Wells, M.L.; Karlson, B. Harmful algal blooms in a changing ocean. In Global Ecology and Oceanography of Harmful Algal Blooms; Springer International Publishing: Cham, Switzerland, 2018; pp. 77–90. [Google Scholar] [CrossRef]
- Fraga, S.; Rodríguez, F.; Bravo, I.; Zapata, M.; Marañón, E. Review of the main ecological features affecting benthic dinoflagellate blooms. Cryptogam. Algol. 2012, 33, 171–179. [Google Scholar] [CrossRef]
- Ben-Gharbia, H.; Yahia, O.K.D.; Amzil, Z.; Chomérat, N.; Abadie, E.; Masseret, E.; Sibat, M.; Zmerli Triki, H.; Nouri, H.; Laabir, M. Toxicity and growth assessments of three thermophilic benthic dinoflagellates (Ostreopsis cf. ovata, Prorocentrum lima and Coolia monotis) developing in the Southern Mediterranean basin. Toxins 2016, 8, 297. [Google Scholar] [CrossRef]
- Berdalet, E.; Tester, P.A. Key questions and recent research advances on harmful algal blooms in benthic systems. In Global Ecology and Oceanography of Harmful Algal Blooms; Springer: Cham, Switzerland, 2018; pp. 261–286. [Google Scholar] [CrossRef]
- Anderson, D.M. The Ecology and Oceanography of Harmful Algal Blooms: Multidisciplinary Approaches to Research and Management; Intergovernmental Oceanographic Commission: Paris, France, 2007. [Google Scholar]
- Parsons, M.L.; Preskitt, L.B. A survey of epiphytic dinoflagellates from the coastal waters of the island of Hawaii. Harmful Algae 2007, 6, 658–669. [Google Scholar] [CrossRef]
- Aligizaki, K.; Nikolaidis, G. The presence of the potentially toxic genera Ostreopsis and Coolia (Dinophyceae) in the North Aegean Sea, Greece. Harmful Algae 2006, 5, 717–730. [Google Scholar] [CrossRef]
- Cohu, S.; Thibaut, T.; Mangialajo, L.; Labat, J.P.; Passafiume, O.; Blanfuné, A.; Simon, N.; Cottalorda, J.M.; Lemée, R. Occurrence of the toxic dinoflagellate Ostreopsis cf. ovata in relation with environmental factors in Monaco (NW Mediterranean). Mar. Pollut. Bull. 2011, 62, 2681–2691. [Google Scholar] [CrossRef] [PubMed]
- Cohu, S.; Mangialajo, L.; Thibaut, T.; Blanfuné, A.; Marro, S.; Lemée, R. Proliferation of the toxic dinoflagellate Ostreopsis cf. ovata in relation to depth, biotic substrate and environmental factors in the North West Mediterranean Sea. Harmful Algae 2013, 24, 32–44. [Google Scholar] [CrossRef]
- Dhib, A.; Frossard, V.; Turki, S.; Aleya, L. Dynamics of harmful dinoflagellates driven by temperature and salinity in a northeastern Mediterranean lagoon. Environ. Monit. Assess. 2013, 185, 3369–3382. [Google Scholar] [CrossRef]
- Carnicer, O.; Guallar, C.; Andree, K.B.; Diogène, J.; Fernández-Tejedor, M. Ostreopsis cf. ovata dynamics in the NW Mediterranean Sea in relation to biotic and abiotic factors. Environ. Res. 2015, 143, 89–99. [Google Scholar] [CrossRef]
- Carnicer, O.; García-Altares, M.; Andree, K.B.; Tartaglione, L.; Dell’Aversano, C.; Ciminiello, P.; de la Iglesia, P.; Diogène, J.; Fernández-Tejedor, M. Ostreopsis cf. ovata from the western Mediterranean Sea: Physiological responses under different temperature and salinity conditions. Harmful Algae 2016, 57, 98–108. [Google Scholar] [CrossRef]
- Casabianca, S.; Capellacci, S.; Ricci, F.; Andreoni, F.; Russo, T.; Scardi, M.; Penna, A. Structure and environmental drivers of phytoplanktonic resting stage assemblages in the central Mediterranean Sea. Mar. Ecol. Prog. Ser. 2020, 639, 73–89. [Google Scholar] [CrossRef]
- Glibert, P.M.; Heil, C.A.; Wilkerson, F.P.; Dugdale, R.C. Nutrients and Harmful Algal Blooms: Dynamic Kinetics and Flexible Nutrition. In Global Ecology and Oceanography of Harmful Algal Blooms; Springer International Publishing: Cham, Switzerland, 2018; pp. 93–112. [Google Scholar] [CrossRef]
- Ras, M.; Steyer, J.P.; Bernard, O. Temperature effect on microalgae: A crucial factor for outdoor production. Rev. Environ. Sci. Bio/Technol. 2013, 12, 153–164. [Google Scholar] [CrossRef]
- Besada, E.G.; Loeblich, L.A.; Loeblich, A.R., III. Observations on tropical, benthic dinoflagellates from ciguatera-endemic areas: Coolia, Gambierdiscus, and Ostreopsis. Bull. Mar. Sci. 1982, 32, 723–735. [Google Scholar]
- Faust, M.A. Observation of sand-dwelling toxic dinoflagellates (Dinophyceae) from widely differing sites, including two new species. J. Phycol. 1995, 31, 996–1003. [Google Scholar] [CrossRef]
- Laza-Martinez, A.; Orive, E.; Miguel, I. Morphological and genetic characterization of benthic dinoflagellates of the genera Coolia, Ostreopsis and Prorocentrum from the south-eastern Bay of Biscay. Eur. J. Phycol. 2011, 46, 45–65. [Google Scholar] [CrossRef]
- Mangialajo, L.; Ganzin, N.; Accoroni, S.; Asnaghi, V.; Blanfuné, A.; Cabrini, M.; Cattaneo-Vietti, R.; Chavanon, F.; Chiantore, M.; Cohu, S.; et al. Trends in Ostreopsis proliferation along the Northern Mediterranean coasts. Toxicon 2011, 57, 408–420. [Google Scholar] [CrossRef] [PubMed]
- Ibghi, M.; El kbiach, M.L.B.; Rijal Leblad, B.; Aboualaalaa, H.; Hervé, F.; Sibat, M.; Laabir, M. Occurrence of three dominant epibenthic dinoflagellates (Ostreopsis spp., Coolia monotis and Prorocentrum lima) in relation to biotic substrates and environmental factors in a highly dynamic ecosystem: The Strait of Gibraltar (Southwestern Mediterranean). Environ. Monit. Assess. 2022, 194, 810. [Google Scholar] [CrossRef]
- Carlson, R.D.; Tindall, D.R. Distribution and periodicity of toxic dinoflagellates in the Virgin Islands. In Toxic Dinoflagellates; Elsevier Scientific: New York, NY, USA, 1985; pp. 171–176. [Google Scholar]
- Laabir, M.; Grignon-Dubois, M.; Masseret, E.; Rezzonico, B.; Soteras, G.; Rouquette, M.; Rieuvilleneuve, F.; Cecchi, P. Algicidal effects of Zostera marina L. and Zostera noltii Hornem. extracts on the neuro-toxic bloom-forming dinoflagellate Alexandrium catenella. Aquat. Bot. 2013, 111, 16–25. [Google Scholar] [CrossRef]
- Mabrouk, L.; Ben Brahim, M.; Hamza, A.; Mahfoudhi, M.; Bradai, M.N. A comparison of abundance and diversity of epiphytic microalgal assemblages on the leaves of the seagrasses Posidonia oceanica (L.) and Cymodocea nodosa (Ucria) Asch in Eastern Tunisia. J. Mar. Sci. 2014, 2014, 275305. [Google Scholar] [CrossRef]
- Accoroni, S.; Percopo, I.; Cerino, F.; Romagnoli, T.; Pichierri, S.; Perrone, C.; Totti, C. Allelopathic interactions between the HAB dinoflagellate Ostreopsis cf. ovata and macroalgae. Harmful Algae 2015, 49, 147–155. [Google Scholar] [CrossRef]
- Pichierri, S.; Accoroni, S.; Pezzolesi, L.; Guerrini, F.; Romagnoli, T.; Pistocchi, R.; Totti, C. Allelopathic effects of diatom filtrates on the toxic benthic dinoflagellate Ostreopsis cf. ovata. Mar. Environ. Res. 2017, 131, 116–122. [Google Scholar] [CrossRef] [PubMed]
- Penna, A.; Vila, M.; Fraga, S.; Giacobbe, M.G.; Andreoni, F.; Riobó, P.; Vernesi, C. Characterization of Ostreopsis and Coolia (Dinophyceae) isolates in the western Mediterranean Sea based on morphology, toxicity and internal transcribed spacer 5.8S rDNA sequences. J. Phycol. 2005, 41, 212–225. [Google Scholar] [CrossRef]
- Aligizaki, K.; Nikolaidis, G.; Katikou, P.; Baxevanis, A.D.; Abatzopoulos, T.J. Potentially toxic epiphytic Prorocentrum (Dinophyceae) species in Greek coastal waters. Harmful Algae 2009, 8, 299–311. [Google Scholar] [CrossRef]
- Totti, C.; Accoroni, S.; Cerino, F.; Cucchiari, E.; Romagnoli, T. Ostreopsis ovata bloom along the Conero Riviera (northern Adriatic Sea): Relationships with environmental conditions and substrata. Harmful Algae 2010, 9, 233–239. [Google Scholar] [CrossRef]
- Illoul, H.; Hernández, F.R.; Vila, M.; Adjas, N.; Bournissa, M.; Koroghli, A.; Marouf, N.; Rabia, S.; Ameur, F.L.K. The genus Ostreopsis along the Algerian coastal waters (SW Mediterranean Sea) associated with a human respiratory intoxication episode. Cryptogam. Algol. 2012, 33, 209–216. [Google Scholar] [CrossRef]
- Sahraoui, I.; Bouchouicha, D.; Mabrouk, H.H.; Hlaili, A.S. Driving factors of the potentially toxic and harmful species of Prorocentrum Ehrenberg in a semi-enclosed Mediterranean lagoon (Tunisia, SW Mediterranean). Mediterr. Mar. Sci. 2013, 14, 353–362. [Google Scholar] [CrossRef]
- Ismael, A.A. First observation of Coolia monotis Meunier along the coast of Alexandria, Egypt. Egypt. J. Aquat. Res. 2014, 40, 19–25. [Google Scholar] [CrossRef]
- Blanfuné, A.; Boudouresque, C.F.; Grossel, H.; Thibaut, T. Distribution and abundance of Ostreopsis spp. and associated species (Dinophyceae) in the northwestern Mediterranean: The region and the macroalgal substrate matter. Environ. Sci. Pollut. Res. 2015, 22, 12332–12346. [Google Scholar] [CrossRef]
- Abdennadher, M.; Zouari, A.B.; Sahnoun, W.F.; Alverca, E.; Penna, A.; Hamza, A. Ostreopsis cf. ovata in the Gulf of Gabès (south-eastern Mediterranean Sea): Morphological, molecular and ecological characterization. Harmful Algae 2017, 63, 56–67. [Google Scholar] [CrossRef]
- Moncer, M.; Hamza, A.; Feki-Sahnoun, W.; Mabrouk, L.; Hassen, M.B. Variability patterns of epibenthic microalgae in eastern Tunisian coasts. Sci. Mar. 2017, 81, 487–498. [Google Scholar] [CrossRef]
- Hachani, M.A.; Dhib, A.; Fathalli, A.; Ziadi, B.; Turki, S.; Aleya, L. Harmful epiphytic dinoflagellate assemblages on macrophytes in the Gulf of Tunis. Harmful Algae 2018, 77, 29–42. [Google Scholar] [CrossRef]
- Hosny, S.; Labib, W. Ecology of the epiphytic potentially harmful dinoflagellate Ostreopsis cf. ovata (Fukuyo) from coastal waters off Alexandria, Egypt. J. Oceanogr. Mar. Res. 2019, 7, 191. [Google Scholar] [CrossRef]
- Ibghi, M.; Rijal Leblad, B.; L’bachir El Kbiach, M.; Aboualaalaa, H.; Daoudi, M.; Masseret, E.; Laabir, M. Molecular Phylogeny, Morphology, Growth and Toxicity of Three Benthic Dinoflagellates Ostreopsis sp. 9, Prorocentrum lima and Coolia monotis Developing in Strait of Gibraltar, Southwestern Mediterranean. Toxins 2024, 16, 49. [Google Scholar] [CrossRef] [PubMed]
- Brescianini, C.; Grillo, C.; Melchiorre, N.; Bertolotto, R.; Ferrari, A.; Vivaldi, B.; Icardi, G.; Gramaccioni, L.; Funari, E.; Scardala, S. Ostreopsis ovata algal blooms affecting human health in Genova, Italy, 2005 and 2006. Eurosurveillance 2006, 11, e060907.3. [Google Scholar] [CrossRef] [PubMed]
- Bravo, I.; Vila, M.; Casabianca, S.; Rodriguez, F.; Rial, P.; Riobó, P.; Penna, A. Life cycle stages of the benthic palytoxin-producing dinoflagellate Ostreopsis cf. ovata (Dinophyceae). Harmful Algae 2012, 18, 24–34. [Google Scholar] [CrossRef]
- Ingarrao, C.; Pagliani, T. First report of an Ostreopsis ovata bloom on Abruzzo coast (W Adriatic) associated with human respiratory intoxication. Harmful Algae News 2014, 48, 3. [Google Scholar]
- Poli, M.; Ruiz-Olvera, P.; Nalca, A.; Ruiz, S.; Livingston, V.; Frick, O.; Dyer, D.; Schellhase, C.; Raymond, J.; Kulis, D.; et al. Toxicity and pathophysiology of palytoxin congeners after intraperitoneal and aerosol administration in rats. Toxicon 2018, 150, 235–250. [Google Scholar] [CrossRef]
- Pavaux, A.S.; Berdalet, E.; Lemée, R. Chemical Ecology of the Benthic Dinoflagellate Genus Ostreopsis: Review of Progress and Future Directions. Front. Mar. Sci. 2020, 7, 498. [Google Scholar] [CrossRef]
- Tubaro, A.; Durando, P.; Del Favero, G.; Ansaldi, F.; Icardi, G.; Deeds, J.R.; Sosa, S. Case definitions for human poisonings postulated to palytoxins exposure. Toxicon 2011, 57, 478–495. [Google Scholar] [CrossRef] [PubMed]
- Brissard, C.; Herrenknecht, C.; Séchet, V.; Hervé, F.; Pisapia, F.; Harcouet, J.; Lémée, R.; Chomérat, N.; Hess, P.; Amzil, Z. Complex toxin profile of French Mediterranean Ostreopsis cf. ovata strains, seafood accumulation and ovatoxins prepurification. Mar. Drugs 2014, 12, 2851–2876. [Google Scholar] [CrossRef]
- Ciminiello, P.; Dell’Aversano, C.; Fattorusso, E.; Forino, M.; Tartaglione, L.; Grillo, C.; Melchiorre, N. Putative palytoxin and its new analogue, ovatoxin-a, in Ostreopsis ovata collected along the Ligurian coasts during the 2006 toxic outbreak. J. Am. Soc. Mass Spectrom. 2008, 19, 111–120. [Google Scholar] [CrossRef] [PubMed]
- Rossi, R.; Castellano, V.; Scalco, E.; Serpe, L.; Zingone, A.; Soprano, V. New palytoxin-like molecules in Mediterranean Ostreopsis cf. ovata (dinoflagellates) and in Palythoa tuberculosa detected by liquid chromatography–electrospray ionization time-of-flight mass spectrometry. Toxicon 2010, 56, 1381–1387. [Google Scholar] [CrossRef]
- Guerrini, F.; Pezzolesi, L.; Feller, A.; Riccardi, M.; Ciminiello, P.; Dell’Aversano, C.; Tartaglione, L.; Dello Iacovo, E.; Fattorusso, E.; Forino, M.; et al. Comparative growth and toxin profile of cultured Ostreopsis ovata from the Tyrrhenian and Adriatic Seas. Toxicon 2010, 55, 211–220. [Google Scholar] [CrossRef]
- Gemin, M.P.; Lanceleur, R.; Meslier, L.; Herve, F.; Reveillon, D.; Amzil, Z.; Ternon, E.; Thomas, O.P.; Fessard, V. Toxicity of palytoxin, purified ovatoxin-a, ovatoxin-d and extracts of Ostreopsis cf. ovata on the Caco-2 intestinal barrier model. Environ. Toxicol. Pharmacol. 2022, 94, 103909. [Google Scholar] [CrossRef]
- Li, Y.Y.; Tian, X.Q.; Lu, Y.N.; Han, Q.H.; Ma, L.Y.; Fa, C.Q. Toxins and other chemical constituents from Prorocentrum lima. Biochem. Syst. Ecol. 2020, 89, 104015. [Google Scholar] [CrossRef]
- Nakajima, I.; Oshima, Y.; Yasumoto, T. Toxicity of benthic dinoflagellates in Okinawa. Nippon Suisan Gakkaishi 1981, 47, 1029–1033. [Google Scholar] [CrossRef]
- Holmes, M.J.; Lewis, R.J.; Jones, A.; Hoy, A.W.W. Cooliatoxin, the first toxin from Coolia monotis (Dinophyceae). Nat. Toxins 1995, 3, 355–362. [Google Scholar] [CrossRef]
- Phua, Y.H.; Roy, M.C.; Lemer, S.; Husnik, F.; Wakeman, K.C. Diversity and toxicity of Pacific strains of the benthic dinoflagellate Coolia (Dinophyceae), with a look at the Coolia canariensis species complex. Harmful Algae 2021, 109, 102120. [Google Scholar] [CrossRef]
- Junqueira, C.E.; Tibiriçá, A.; Sibat, M.; Fernandes, L.F.; Bilien, G.; Chomérat, N.; Hess, P.; Mafra, L.L. Diversity and Toxicity of the Genus Coolia Meunier in Brazil, and Detection of 44-methyl Gambierone in Coolia tropicalis. Toxins 2020, 12, 327. [Google Scholar] [CrossRef]
- Lounas, R.; Kasmi, H.; Chernai, S.; Amarni, N.; Hamdi, B. Dynamics of the genus Ostreopsis (Gonyaulacales, Dinophyceae) in a Mediterranean fish farm. Environ. Monit. Assess. 2021, 193, 333. [Google Scholar] [CrossRef]
- Frehi, H.; Couté, A.; Mascarell, G.; Perrette-Gallet, C.; Ayada, M.; Kara, M.H. Dinoflagellés toxiques et/ou responsables de blooms dans la baie d’Annaba (Algérie). Comptes Rendus Biol. 2007, 330, 615–628. [Google Scholar] [CrossRef]
- Hadjadji, I.; Frehi, H.; Ayada, L.; Abadie, E.; Collos, Y. Comparative analysis of Alexandrium catenella/tamarense blooms in Annaba Bay (Algeria) and in the Thau Lagoon (France): Phosphorus limitation as a triggering factor. Comptes Rendus Biol. 2014, 337, 117–122. [Google Scholar] [CrossRef]
- Hadjadji, I.; Laabir, M.; Frihi, H.; Collos, Y.; Shao, Z.J.; Berrebi, P.; Abadie, E.; Amzil, Z.; Chomérat, N.; Rolland, J.L.; et al. Unsuspected intraspecific variability in the toxin production, growth and morphology of the dinoflagellate Alexandrium pacificum RW Litaker (Group IV) blooming in a South Western Mediterranean marine ecosystem, Annaba Bay (Algeria). Toxicon 2020, 180, 79–88. [Google Scholar] [CrossRef]
- Frehi, H. Study of the Structure and Functioning of the Phytoplankton System in a Coastal Marine Ecosystem. Eutrophication of the Annaba Bay. Master’s Thesis, Badji-Mokhtar University, Annaba, Algeria, 1995. [Google Scholar]
- Amira, A.B.; Bougdah, M. Influence of Mafragh and Seybouse inputs (sediment and salts) on the productivity of Annaba Bay. Aquac. Aquar. Conserv. Legis. 2018, 11, 653–665. [Google Scholar]
- Derbal, F.; Kara, M.H. Composition et variations du peuplement ichtyologique de l’herbier superficiel à Posidonia oceanica (L.) Delile, dans la baie d’Annaba (Algérie). Rev. D’écologie 2010, 65, 39–149. [Google Scholar] [CrossRef]
- Aminot, A.; Chaussepied, M. Manual of Chemical Analysis in the Marine Environment; CNEXO: Paris, France, 1983. [Google Scholar]
- Rodier, J.; Bernard, L.; Nicole, M. Water Analysis, 8th ed.; Dunod: Paris, France, 1966. [Google Scholar]
- Lorenzen, C.J. Determination of chlorophyll and pheo-pigments: Spectrophotometric equations 1. Limnol. Oceanogr. 1967, 12, 343–346. [Google Scholar] [CrossRef]
- Meunier, A. Microplankton de la Mer Flamande. III. Les Péridiniens; Hayez, M., Ed.; Mémoires du Musée Royal d’Histoire Naturelle de Belgique: Bruxelles, Belgium, 1919. [Google Scholar]
- Fukuyo, Y. Taxonomical Study on Benthic Dinoflagellates Collected in Coral Reefs. Bull. Jpn. Soc. Sci. Fish. 1981, 47, 967–978. [Google Scholar] [CrossRef]
- Faust, M.A.; Gulledge, R.A. Identifying Harmful Marine Dinoflagellates; Contributions from the United States National Herbarium, National Museum of Natural History: Washington, DC, USA, 2002; Volume 42, pp. 1–144. [Google Scholar]
- Nagahama, Y.; Fukuyo, Y. Redescription of Cryptomonas lima, collected from Sorrento, Italy, the basionym of Prorocentrum lima. Plankton Biol. Ecol. 2005, 52, 100–106. [Google Scholar]
- Gárate-Lizárraga, I.; González-Armas, R.; Verdugo-Díaz, G.; Okolodkov, Y.B.; Pérez-Cruz, B.; Díaz-Ortíz, J.A. Seasonal dynamics of the dinoflagellate Amphidinium cf. carterae (Dinophyceae: Amphidiniales) in Bahía de la Paz, Gulf of California. Mar. Pollut. Bull. 2019, 146, 532–541. [Google Scholar] [CrossRef] [PubMed]
- Hoppenrath, M.; Chomérat, N.; Horiguchi, T.; Schweikert, M.; Nagahama, Y.; Murray, S. Taxonomy and phylogeny of the benthic Prorocentrum species (Dinophyceae)—A proposal and review. Harmful Algae 2013, 27, 1–28. [Google Scholar] [CrossRef]
- Utermöhl, H. Zur vervollkommnung der quantitativen phytoplankton-methodik. Int. Ver. Für Theor. Und Angew. Limnol. Mitteilungen 1958, 9, 1–38. [Google Scholar] [CrossRef]
- Amzil, Z.; Sibat, M.; Chomerat, N.; Grossel, H.; Marco-Miralles, F.; Lemee, R.; Nezan, E.; Sechet, V. Ovatoxin-a and palytoxin accumulation in seafood in relation to Ostreopsis cf. ovata blooms on the French Mediterranean coast. Mar. Drugs 2012, 10, 477–496. [Google Scholar] [CrossRef] [PubMed]
- Vila, M.; Abós-Herràndiz, R.; Isern-Fontanet, J.; Àlvarez, J.; Berdalet, E. Establishing the link between Ostreopsis cf. ovata blooms and human health impacts using ecology and epidemiology. Sci. Mar. 2016, 80, 107–115. [Google Scholar] [CrossRef]
- Rhodes, L.L.; Smith, K.F.; Munday, R.; Selwood, A.I.; McNabb, P.S.; Holland, P.T.; Bottein, M.Y. Toxic dinoflagellates (Dinophyceae) from Rarotonga, Cook Islands. Toxicon 2010, 56, 751–758. [Google Scholar] [CrossRef]
- Pagliara, P.; Caroppo, C. Toxicity assessment of Amphidinium carterae, Coolia cfr. monotis and Ostreopsis cfr. ovata isolated from the northern Ionian Sea (Mediterranean Sea). Toxicon 2012, 60, 1203–1214. [Google Scholar] [CrossRef]
- Echigoya, R.; Rhodes, L.; Oshima, Y.; Satake, M. The structures of five new antifungal and hemolytic amphidinol analogs from Amphidinium carterae collected in New Zealand. Harmful Algae 2005, 4, 383–389. [Google Scholar] [CrossRef]
- Karafas, S.; Teng, S.T.; Leaw, C.P.; Alves-de-Souza, C. An evaluation of the genus Amphidinium (Dinophyceae) combining evidence from morphology, phylogenetics, and toxin production, with the introduction of six novel species. Harmful Algae 2017, 68, 128–151. [Google Scholar] [CrossRef] [PubMed]
- Di Franco, E.; Di Franco, A.; Calò, A.; Di Lorenzo, M.; Mangialajo, L.; Bussotti, S.; Guidetti, P. Relations incohérentes entre la protection, l’assemblage benthique, la complexité de l’habitat et la biomasse des poissons dans les récifs rocheux tempérés méditerranéens. Ecol. Indic. 2021, 128, 107850. [Google Scholar] [CrossRef]
- Turki, S. Distribution of toxic dinoflagellates along the leaves of seagrass Posidonia oceanica and Cymodocea nodosa from the Gulf of Tunis. Cah. De Biol. Mar. 2005, 46, 29–34. [Google Scholar]
- Monti, M.; Minocci, M.; Beran, A.; Iveša, L. First record of Ostreopsis cf. ovata on macroalgae in the Northern Adriatic Sea. Mar. Pollut. Bull. 2007, 54, 598–601. [Google Scholar] [CrossRef]
- Accoroni, S.; Romagnoli, T.; Colombo, F.; Pennesi, C.; Di Camillo, C.G.; Marini, M.; Battocchi, C.; Ciminiello, P.; Dell’Aversano, C.; Iacovo, E.D.; et al. Ostreopsis cf. ovata bloom in the northern Adriatic Sea during summer 2009: Ecology, molecular characterization and toxin profile. Mar. Pollut. Bull. 2011, 62, 2512–2519. [Google Scholar] [CrossRef]
- Accoroni, S.; Romagnoli, T.; Penna, A.; Capellacci, S.; Ciminiello, P.; Dell’Aversano, C.; Totti, C. Ostreopsis fattorussoi sp. nov. (Dinophyceae): A new benthic toxic Ostreopsis species from the eastern Mediterranean Sea. J. Phycol. 2016, 52, 1064–1084. [Google Scholar] [CrossRef]
- Momigliano, P.; Sparrow, L.; Blair, D.; Heimann, K. The Diversity of Coolia spp. (Dinophyceae: Ostreopsidaceae) in the Central Great Barrier Reef Region. PLoS ONE 2013, 8, e79278. [Google Scholar] [CrossRef]
- Rhodes, L.; Smith, K.; Papiol, G.G.; Adamson, J.; Harwood, T.; Munday, R. Epiphytic dinoflagellates in sub-tropical New Zealand, in particular the genus Coolia Meunier. Harmful Algae 2014, 34, 36–41. [Google Scholar] [CrossRef]
- Mandal, S.K.; Singh, R.P.; Patel, V. Isolation and characterization of exopolysaccharide secreted by a toxic dinoflagellate, Amphidinium carterae Hulburt 1957 and its probable role in harmful algal blooms (HABs). Microb. Ecol. 2011, 62, 518–527. [Google Scholar] [CrossRef]
- Murray, S.A.; Garby, T.; Hoppenrath, M.; Neilan, B.A. Genetic diversity, morphological uniformity and polyketide production in dinoflagellates (Amphidinium, Dinoflagellata). PLoS ONE 2012, 7, e38253. [Google Scholar] [CrossRef]
- Meroni, L.; Chiantore, M.; Petrillo, M.; Asnaghi, V. Habitat effects on Ostreopsis cf. ovata bloom dynamics. Harmful Algae 2018, 80, 64–71. [Google Scholar] [CrossRef] [PubMed]
- Pezzolesi, L.; Guerrini, F.; Ciminiello, P.; Dell’Aversano, C.; Iacovo, E.D.; Fattorusso, E.; Forino, M.; Tartaglione, L.; Pistocchi, R. Influence of temperature and salinity on Ostreopsis cf. ovata growth and evaluation of toxin content through HR LC-MS and biological assays. Water Res. 2012, 46, 82–92. [Google Scholar] [CrossRef] [PubMed]
- Mabrouk, L.; Hamza, A.; Brahim, M.B.; Bradai, M.N. Temporal and depth distribution of microepiphytes on Posidonia oceanica (L.) Delile leaves in a meadow off Tunisia. Mar. Ecol. 2011, 32, 148–161. [Google Scholar] [CrossRef]
- Raine, R. Selection mechanisms controlling harmful algal blooms in coastal marine ecosystems. Oceanography 2014, 27, 66–77. [Google Scholar] [CrossRef]
- Fricke, A.; Pey, A.; Gianni, F.; Lemée, R.; Mangialajo, L. Multiple stressors and harmful benthic algal blooms (BHABs): Potential effects of temperature increase and nutrient enrichment. Mar. Pollut. Bull. 2018, 131, 552–564. [Google Scholar] [CrossRef]











| Station | Location | GPS Coordinates | Anthropogenic Impact | Hydrodynamics | Dominant Substrate | Sampling Frequency |
|---|---|---|---|---|---|---|
| ST1 | La Caroube Beach | 36°55′22.42″ N; 7°46′59.45″ E | High (densely urbanized area) | Low (Sheltered) | Rocky systems (H. scoparia, P. pavonica) | Monthly (October 2022–November 2023) |
| ST2 | Belvedere Beach | 36°55′25.59″ N; 7°46′12.19″ E | Moderate (Residential area) | Low (Sheltered) | Rocky systems (P. oceanica, P. pavonica) | Monthly (October 2022–November 2023) |
| ST3 | Cap de Garde | 36°58′3.59″ N; 7°47′1.39″ E | Low (Remote/Natural site) | High (Strong currents) | Rocky (Sargassum sp.) | Seasonal (June–July– August 2023) |
| ST4 | Fellah Rachid Beach | 36°54′11.45″ N; 7°45′32.61″ E | High (High summer tourism) | Low (Sheltered beach area) | Sandy/Rocky (C. fragile) | Seasonal (June–July– August 2023) |
| T | Sal | DO | pH | NO3 | NH4 | DON | DIN | DOP | PO4 | SiO4 | TDN | TDP | |
|---|---|---|---|---|---|---|---|---|---|---|---|---|---|
| C° | mg L−1 | µmol L−1 | µmol L−1 | µmol L−1 | µmol L−1 | µmol L−1 | µmol L−1 | µmol L−1 | µmol L−1 | µmol L−1 | |||
| St 1 | |||||||||||||
| Mean | 21.72 | 36.84 | 8.91 | 8.49 | 2.46 | 2.30 | 20.42 | 5.31 | 2.32 | 0.66 | 3.49 | 25.73 | 2.98 |
| Max | 26.98 | 37.81 | 10.58 | 8.89 | 6.50 | 7.44 | 39.00 | 10.59 | 9.38 | 2.10 | 6.90 | 43.81 | 10.37 |
| Min | 15.29 | 35.63 | 7.71 | 8.14 | 0.80 | 0.60 | 2.94 | 1.86 | 0.00 | 0.00 | 0.10 | 8.56 | 0.07 |
| Sd | 4.07 | 0.77 | 0.72 | 0.21 | 1.82 | 1.73 | 13.01 | 2.67 | 2.94 | 0.57 | 2.07 | 13.50 | 3.14 |
| % | 9.57 | 8.92 | 79.37 | 20.63 | 77.83 | 22.17 | |||||||
| St 2 | |||||||||||||
| Mean | 21.86 | 36.98 | 9.64 | 8.54 | 3.58 | 1.37 | 28.53 | 5.35 | 1.10 | 0.49 | 3.44 | 33.88 | 1.59 |
| Max | 27.30 | 37.90 | 12.07 | 8.92 | 10.74 | 3.25 | 66.49 | 14.06 | 4.27 | 1.15 | 7.23 | 69.43 | 5.01 |
| Min | 15.10 | 35.77 | 7.22 | 8.32 | 0.17 | 0.15 | 3.37 | 0.61 | 0.00 | 0.00 | 0.74 | 6.78 | 0.11 |
| Sd | 4.10 | 0.82 | 1.25 | 0.21 | 3.35 | 1.02 | 22.63 | 3.74 | 1.33 | 0.39 | 2.35 | 22.78 | 1.51 |
| % | 10.57 | 4.04 | 84.20 | 15.80 | 68.95 | 31.05 | |||||||
| St 3 | |||||||||||||
| Mean | 25.43 | 36.94 | 9.35 | 8.61 | 1.18 | 0.27 | 5.23 | 2.22 | 0.87 | 0.61 | 7.40 | 7.45 | 1.47 |
| Max | 26.93 | 37.50 | 9.96 | 8.65 | 2.52 | 0.46 | 7.35 | 3.93 | 1.57 | 0.70 | 9.23 | 11.28 | 2.21 |
| Min | 22.65 | 36.04 | 8.73 | 8.59 | 0.06 | 0.09 | 3.87 | 0.88 | 0.16 | 0.47 | 6.09 | 5.34 | 0.63 |
| Sd | 2.41 | 0.79 | 0.61 | 0.03 | 1.25 | 0.19 | 1.86 | 1.56 | 0.70 | 0.12 | 1.64 | 3.32 | 0.79 |
| % | 15.79 | 3.60 | 70.16 | 29.84 | 58.93 | 41.07 | |||||||
| St 4 | |||||||||||||
| Mean | 26.17 | 36.92 | 8.61 | 8.50 | 1.79 | 0.59 | 5.14 | 3.43 | 1.00 | 0.79 | 7.82 | 8.57 | 1.79 |
| Max | 27.83 | 37.18 | 9.37 | 8.55 | 3.13 | 0.67 | 5.46 | 5.20 | 2.07 | 0.90 | 10.23 | 10.30 | 2.96 |
| Min | 23.65 | 36.59 | 8.00 | 8.43 | 0.06 | 0.52 | 4.87 | 1.46 | 0.03 | 0.57 | 5.34 | 6.92 | 0.60 |
| Sd | 2.22 | 0.30 | 0.70 | 0.06 | 1.57 | 0.08 | 0.30 | 1.88 | 1.02 | 0.19 | 2.45 | 1.69 | 1.18 |
| % | 20.82 | 6.90 | 59.98 | 40.02 | 55.93 | 44.07 |
Disclaimer/Publisher’s Note: The statements, opinions and data contained in all publications are solely those of the individual author(s) and contributor(s) and not of MDPI and/or the editor(s). MDPI and/or the editor(s) disclaim responsibility for any injury to people or property resulting from any ideas, methods, instructions or products referred to in the content. |
© 2026 by the authors. Licensee MDPI, Basel, Switzerland. This article is an open access article distributed under the terms and conditions of the Creative Commons Attribution (CC BY) license.
Share and Cite
Sad Laib, O.; Amira, A.B.; Frihi, H.; Aouissi, M.; Laabir, M. Spatiotemporal Dynamics of the Thermophilic Benthic Harmful Dinoflagellates in Annaba Bay (Southern Mediterranean): Influence of Environmental Factors and Macrophyte Substrates. J. Mar. Sci. Eng. 2026, 14, 398. https://doi.org/10.3390/jmse14040398
Sad Laib O, Amira AB, Frihi H, Aouissi M, Laabir M. Spatiotemporal Dynamics of the Thermophilic Benthic Harmful Dinoflagellates in Annaba Bay (Southern Mediterranean): Influence of Environmental Factors and Macrophyte Substrates. Journal of Marine Science and Engineering. 2026; 14(4):398. https://doi.org/10.3390/jmse14040398
Chicago/Turabian StyleSad Laib, Ouafa, Aicha Beya Amira, Hocine Frihi, Mounia Aouissi, and Mohamed Laabir. 2026. "Spatiotemporal Dynamics of the Thermophilic Benthic Harmful Dinoflagellates in Annaba Bay (Southern Mediterranean): Influence of Environmental Factors and Macrophyte Substrates" Journal of Marine Science and Engineering 14, no. 4: 398. https://doi.org/10.3390/jmse14040398
APA StyleSad Laib, O., Amira, A. B., Frihi, H., Aouissi, M., & Laabir, M. (2026). Spatiotemporal Dynamics of the Thermophilic Benthic Harmful Dinoflagellates in Annaba Bay (Southern Mediterranean): Influence of Environmental Factors and Macrophyte Substrates. Journal of Marine Science and Engineering, 14(4), 398. https://doi.org/10.3390/jmse14040398

