Next Article in Journal
Time Series Prediction of the AQI in Wuhan City via a Hybrid Prophet–LSTM Model with an Improved PSO Algorithm
Previous Article in Journal
Air Quality Index Prediction Based on Transformer Encoder–CNN–BiLSTM Model
 
 
Font Type:
Arial Georgia Verdana
Font Size:
Aa Aa Aa
Line Spacing:
Column Width:
Background:
Article

SSS Retrieval Using C- and X-Band Microwave Radiometer Observations in Coastal Oceans

College of Physics, Qingdao University, Qingdao 266071, China
*
Author to whom correspondence should be addressed.
Atmosphere 2026, 17(3), 250; https://doi.org/10.3390/atmos17030250
Submission received: 31 December 2025 / Revised: 15 February 2026 / Accepted: 25 February 2026 / Published: 27 February 2026
(This article belongs to the Section Atmospheric Techniques, Instruments, and Modeling)

Abstract

This study proposes a method for retrieving ocean sea surface salinity (SSS) using C/X-band ocean emissivities in coastal regions, aiming to verify the performance of these unconventional frequencies for SSS retrieval in warm, high-salinity-variation coastal oceans. Since C/X-band brightness temperatures are less sensitive to sea surface salinity than L-band brightness temperatures, it becomes particularly important to develop a sophisticated and effective method for extracting salinity-related signals from C/X-band brightness temperatures. To this end, a wind effect correction process is developed to remove rough sea surface emissivity contributions from total emissivity and derive calm sea emissivity from WindSat’s brightness temperatures. The wind-induced effects are modeled with a third-order polynomial. Then, based on emissivity analysis, a weighted combination of C/X-band calm sea emissivities (with parameter λ) is introduced to reduce SST sensitivity. This λ-based combination is used to retrieve SSS in the Bay of Bengal. Based on the triple-match method and buoy data, the salinity retrieval results are verified and compared with the Soil Moisture Active Passive (SMAP) SSS and Argo in situ SSS. The results show that the use of parameter λ reduces the RMS error of SSS by 0.1–0.2 psu. The RMSE of SSS retrieval is about 0.64 psu, which is comparable to the error of SMAP data. Simultaneously, the SSS retrieval accuracy is significantly influenced by offshore distance. At an offshore distance of 100 km, the salinity retrieval error exceeds 1 psu, while when the offshore distance exceeds 500 km, the salinity retrieval error is better than 0.6 psu.

1. Introduction

Sea surface salinity (SSS), as well as sea surface temperature (SST), is a key parameter for understanding the ocean better [1,2]. Since the launch of Seasat satellite in 1978, SST remote sensing based on spaceborne microwave radiometers have lasted for nearly 50 years [3]. Unlike SST, SSS has only become feasible in the past 15 years, since the European Space Agency (ESA) lunched the Soil Moisture and Ocean Salinity (SMOS) satellite in late 2009 [4]. Afterwards, the Aquarius/Satélite de Aplicaciones Científicas-D (SAC-D) mission and NASA’s Soil Moisture Active Passive (SMAP) were launched in 2011 and 2015 [5,6], respectively. Benefiting from a relatively high sensitivity of L-band brightness temperature (TB) to SSS variation, these satellites provide the scientific community with an unprecedented SSS remote-sensed products and improve our understanding of the global water cycle, climate changes, and ocean circulation [7]. Despite their advancements, spaceborne L-band radiometers remain constrained by a critical temporal limitation: with the earliest such instrument, SMOS, launched only in late 2009, a continuous, satellite-derived SSS record is unavailable for the decades prior to 2010. This gap presents a significant barrier to long-term oceanic and climate studies. Conversely, spaceborne C/X-band microwave radiometers—the primary sensors for sea surface temperature (SST) remote sensing—possess an extensive legacy data archive spanning nearly 50 years. Leveraging this historical data set for SSS retrieval, therefore, holds the transformative potential to extend the satellite salinity record backward in time, offering unprecedented insights into pre-2010 ocean dynamics and climate variability. However, harnessing C/X-band observations for this purpose is inherently challenging due to their fundamentally lower sensitivity to SSS variations compared to the L-band. Compounding this difficulty is the dramatically heightened sensitivity of C/X-band brightness temperature (TB) to SST—by approximately an order of magnitude—and its susceptibility to contamination from surface roughness effects. These factors collectively act to mask the already faint salinity signature. Consequently, successfully retrieving SSS from these bands necessitates a more sophisticated and finely-tuned approach than that required for L-band. It demands the development of advanced TB correction methodologies to isolate the salinity signal from the dominant SST influence and surface noise, as well as the design of robust, physically-constrained retrieval models capable of performing accurately under these observation conditions. Addressing these challenges is central to unlocking the value of historical microwave data for constructing a long-term, multi-decadal SSS product. While previous researchers have made valuable attempts at retrieving salinity using C/X-band brightness temperature, their studies were limited by the data sources and algorithm design employed. As a result, they could only produce monthly averaged salinity data and were unable to provide Level-2 along-track swath salinity retrieval results [8].
In this work, based on an analysis of the sensitivity of C/X-band sea surface emissivity to SST and SSS, we develop a λ-based combination of C/X-band calm sea surface emissivity that is insensitive to SST variations, and further retrieve the SSS in the Bay of Bengal (BOB). Additionally, based on the triple-match method, we compare the SSS retrieval results with Array for Real-time Geostrophic Oceanography (Argo), mooring buoys (MRBs), and SMAP SSS data to verify the performance of the salinity retrieval model. The article is organized as follows: Section 2 introduces the data sources and methods. Section 3 discusses the results of emissivity sensitivity analysis and SSS retrieval. Section 4 summarizes the conclusions.

2. Materials and Methods

2.1. Study Area

Given the relatively low sensitivity of C/X-band observations to salinity variations, this study focuses on the Bay of Bengal (BOB; 77°–100° E, 5°–25° N), a tropical hotspot characterized by pronounced spatiotemporal salinity gradients and warm water, as shown in Figure 1. As a semi-enclosed basin in the northeastern Indian Ocean, the BOB exhibits remarkable salinity variability, driven by complex interactions between monsoon dynamics, major riverine inputs, precipitation–evaporation patterns, and ocean circulation [9]. The spatial distribution of salinity reveals distinct regional contrasts: Northern and eastern coastal waters typically show lower salinity (<30 psu during the peak monsoon) due to massive freshwater discharge from the Ganges–Brahmaputra–Meghna and Irrawaddy River systems [10,11]. In contrast, southern and western regions maintain higher salinity (>34 psu), influenced by high-salinity water masses from the Arabian Sea [12]. The basin exhibits exceptional salinity contrasts, with seasonal amplitudes reaching 6 psu and north–south gradients exceeding 10 psu. Considering that the main motivation of this study is to develop a C/X-band-based salinity retrieval method applicable at least in regions with high SST and high SSS variations, the BOB is an appropriate study area for our study.

2.2. SSS Data Sets

2.2.1. SMAP SSS

Soil Moisture Active Passive (SMAP) is a NASA satellite mission which focuses on measuring soil moisture and SSS from space [13]. Launched in January 2015, SMAP operates in a near-polar, sun-synchronous orbit with the ascending and descending nodes at 6:00 AM and 6:00 PM (local time) respectively. With a 1000 km swath width, SMAP can map the global ocean in three days. SSS products from the SMAP mission are developed and publicly distributed by Remote Sensing System (RSS) [14]. These products include two primary formats: Level 2C (L2C) products are instantaneous retrievals along the satellite swath, preserving the original information from each sensor scan but exhibiting spatial discontinuities with gaps between orbits. Level 3 (L3) products are spatially and temporally averaged onto a regular 0.25° grid, including 8-day running averages and monthly means. This gridding process eliminates orbital gaps to produce continuous maps, facilitating spatial analysis and time-series studies. The product format of SMAP data is NetCDF, which contains longitude, latitude, observation time, quality control flags, SSS, auxiliary data and TB observations of SMAP radiometry. All data sets are interpolated onto a fixed 0.25° × 0.25° latitude–longitude grid. SMAP has a 6 m diameter mesh antenna, and the footprint size is about 40 km. Therefore, the raw spatial resolution of SMAP SSS is 40 km. Considering the 40 km SSS observations are noisy, RSS averages the 40 km SSS to 70 km SSS using optimal interpolation techniques. This smoothing process reduces the random noise in raw SSS observations. RSS recommends the 70 km product as the official product and takes the 40 km product as an experimental product. However, in this study, we use the 40 km SSS to construct the SSS retrieval model because, compared with the 70 km product, the spatial scale of the 40 km product is closer to the spatial resolution of C/X-band TB data.

2.2.2. In Situ SSS

Array for Real-time Geostrophic Oceanography (Argo) and mooring buoys (MRBs) in situ SSS data are used as the validation data set in this study. Argo is an international program that collects information in the upper ocean using an array of more than 3000 profiling floats [15]. It is regarded as a window into the global ocean. Every ten days, Argo buoys can measure the profile of temperature, salinity and depth from the sea surface to a depth of 2000 decibars [16]. The Argo data are collected and made freely available to public by several global data assembly centers (DACs). In this study, we use the Argo product provide by Institute Français de Recherche pour l’Exploitation de la Mer (IFRMER). The information of longitude, latitude, time, depth, quality flag, salinity, and temperature from 2017 to 2019 are extracted from the raw Argo profiles. All data are filtered using the quality flag and observing depth. Only shallow observations within the first 5 m of the sea surface—with a quality flag set to 1 (indicating good data)—are included in our study. MRB data are provided by the National Centers for Environmental Information (NCEI) of the NOAA for the BOB region during 2017–2019. We extracted the buoys’ latitude, longitude, observation datetime, and near-sea-surface salinity values from the raw MRB data.

2.3. C/X-Band TB Data

We use C/X-band top-of-atmosphere (TOA) TB of WindSat’s observations. WindSat is a spaceborne microwave radiometer aboard the Coriolis satellite, which was launched in January 2003 [17]. It is the first spaceborne microwave radiometer capable of measuring all four Stokes components of sea surface radiation. Because the third and fourth Stokes components are associated with the asymmetry in ocean surface roughness structures, WindSat can thus observe the ocean surface wind vector (both speed and direction) from space. WindSat operates at five discrete frequencies. Three frequency channels (10.7 GHz, 18.7 GHz and 37.0 GHz) are fully polarimetric that can measure all four components of Stokes vectors. The other two channels (6.8 GHz and 23.8 GHz) operate in dual-polarization mode (V/H) [18]. WindSat remained operational until October 2020, providing fully polarimetric TB measurements of the ocean surface for more than 17 years. In this study, we use the V-pol 6.8 GHz (C-band) and 10.7 GHz (X-band) TOA TB of WindSat product.

2.4. Data Filtering and Matching

Considering the quite different spatiotemporal resolution, observation location and time of satellite and in situ data, spatiotemporal matching and data filtering is a key procedure to obtain reliable match-up data sets for SSS retrieval and validation. Researchers have found that collocation procedures significantly affect error estimations [19,20]. Fortunately, RSS provides the match-up data set of SMAP and WindSat during the period 2017–2019 [21]. We argue that using this data set allows our work to focus on the development of salinity retrieval algorithms rather than letting different spatiotemporal matching strategies affect the salinity retrieval results. It is also convenient for other researchers to reproduce our results. RSS collocates SMAP and WindSat observations in a time window of 60 min. The daily match-up data are organized into maps on a regular 0.25-degree Earth grid and separated into ascending/descending swaths and fore/aft looks. The match-up data sets are stored in NetCDF format containing several data fields including SMAP SSS, WindSat TOA TB and ancillary environmental data (SST, wind speed and direction, columnar water vapor and liquid cloud water). We extract the 40 km resolution SMAP SSS, C/X-band TOA TB of WindSat, and observing location and time from the raw data set. All satellite data are filtered using the quality control flags. Data suffering high wind speed (>20 m/s), low SST (<0 °C) land or sea ice contamination, RFI, sun glint, moon glint, high reflected galaxy, or rain events are excluded. Thanks to the similar overpass times of WindSat and SMAP, the number of valid matched data sets from the two satellites in the BOB region during 2017–2019 reaches 1.2 million. We also collocate Argo and MRB SSS in situ data spatiotemporally with the SMAP–WindSat match-up data allowing a time interval of 12 h and spatial interval of 0.125 degree. The number of matched data sets between Argo salinity data and WindSat is 1240, while that between MRB salinity data and WindSat is 451. All data processing was performed using MATLAB R2024b programming.
In a previous study, researchers use the match-up data set of SMAP and AMSR2 to retrieve the monthly SSS field in BOB [8]. However, the equatorial crossing time of ASMR2 is 01:33 and 13:33 [22]. Therefore, there is a four-and-a-half-hour time interval between SMAP and AMSR2 observations. This limits their model to retrieving only monthly SSS, not swath SSS. In this study, we use the match-up data set of WindSat and SMAP because these two satellites have the same equatorial crossing times (6:00 for ascending orbits and 18:00 for descending orbits) and similar orbital inclination angles (98.8° for WindSat and 98.1° for SMAP). This orbital configuration ensures substantial spatiotemporal overlap between the two satellites’ observations. Based on the match-up data set of WindSat and SMAP, we can retrieve SSS in swath observation mode, similar to a typical satellite L2 product.

2.5. Sea Surface Roughness Effects Correction

The top-of-atmosphere TB of spaceborne radiometers comprises multiple contributing components, including upwelling and downwelling TB of the atmosphere; radiation from the sea surface through the atmosphere; radiation of the cosmos background, the galaxy, and the sun system; and reflection by the sea surface [23]. Based on the radiative transfer model (RTM), the top-of-atmosphere brightness temperature ( T TOA ) can be described as
T TOA = T U + τ E total T S + R T D + τ T C + τ Ω T C + Ω T D Ω T C
The parameters in this formulation are defined as follows: τ is the atmospheric transmittance. E total represents the total ocean surface emissivity at f frequency and p polarization. R is the ocean surface reflectivity. T S stands for SST. T U indicates the upwelling atmospheric TB at the top of the atmosphere, and T D is the downwelling atmospheric TB reflected at the ocean surface. The Ω term is a correction factor representing the atmospheric path length modification intensity parameter, which depends on atmospheric conditions and rough surface emissivity. T C represents the cosmic background radiation temperature with a constant value of 2.7 K.
The combined effects of these factors in TB observations make it a challenging task to retrieve specific information from satellite TB data. The fundamental question is choosing the observation frequency f based on the sensitivity analysis of TB to oceanic and atmospheric parameters [24]. An optimal observation frequency means a bigger SNR (Signal to Noise Ratio) and, usually, a better accuracy. Then, even if the sensitive frequency band is used, a TB correction procedure is still necessary to remove redundant TB components from raw TB data. For SSS retrieval, it means determining the contribution of the emissivity of flat sea surface ( E flat ) to the total emissivity of the sea surface ( E total ).
In this study, the RTM developed by RSS (MW2012) is used to determine the emissivity of sea surface from the TOA TB. The MW2012 model (Meissner and Wentz, 2012 [23]) is an ocean surface emissivity model developed specifically for satellite microwave radiometers. It provides the forward relationship between geophysical parameters (SST, SSS, wind speed) and brightness temperatures, explicitly accounting for surface roughness effects across a wide frequency range (6–90 GHz) [23]. The RTM establishes functional relationships between ocean surface emissivity and key geophysical parameters. Based on this framework, E total can be expressed as
E total = E rough + E flat = 1 T TOA T U τ T s τ T D + τ T c ( 1 + Ω ) Ω T c τ T s
Equation (2) removes all redundant TB components from the TOA TB observations and results in the total emissivity of sea surface, which is the sum of emissivity of flat sea surface ( E flat ) and wind-induced rough sea surface ( E rough ). For calm sea surface, the emissivity is described by the Fresnel equations, the dielectric constant of seawater ε r and the incidence angle θ :
E flat = 1 ρ ( θ ) = 1 ε r cos θ ε r sin 2 θ ε r cos θ + ε r sin 2 θ 2
The dielectric constant is typically derived using the single Debye equation or double Debye equation, and empirical models include the Klein–Swift (KS) model, Meissner–Wentz (MW) model, and the George Washington University (GWU) model [25,26,27]. In this study, we use the MW dielectric constant model integrated in MW 2012 RTM to calculate the emissivity of flat sea surface. E flat is related to the SST and SSS through the dielectric constant of seawater ε r . Research has demonstrated that the sea surface roughness contribution E rough is primarily correlated with surface wind field, atmospheric water vapor, and SST. Therefore, for SSS retrieval, this roughness-induced emission contribution must be effectively removed as a noise. Researchers have developed various rough sea models to describe E rough , including a two-scale model [28], small-slope approximations [29], and empirical geophysical model functions [30]. These models have been evaluated in the global open oceans and been used to retrieve SSS in current satellite missions. However, this study focuses on the SSS retrieval in the coastal region of the BOB. The strong SSS horizontal variation caused by strong freshwater inputs from major rivers and complex air–sea interactions in this region motivate us to develop a regional GMF instead of using those global models. We use Equations (2) and (3) to calculate the rough sea surface emissivity E rough from WindSat TOA TB and model it as a function of 10 m wind speed (U10).

2.6. Combination of C/X-Band Emissivity

As mentioned earlier, the sensitivity of TB to the retrieved parameters is the primary factor in frequency band selection. For L-band TB, the sensitivity to SSS is about 0.2–0.8 K/psu. The sensitivity of C/X to SSS is even one order of magnitude smaller than L-band [8]. Meanwhile, the dynamic range of SSS in oceans is only several psu. These factors make it a very challenging and tricky task to retrieve SSS using C-band and X-band emissivity. A previous study uses the difference of C-band and X-band flat sea emissivity to reduce the SST signal in TB data and retrieve SSS in a coastal area [8]. However, as we will discuss in Section 3.2, C-band and X-band emissivity show different responses to SST variations. Consequently, there is still a residual SST effect in the difference between C-band and X-band calm sea emissivity. In this study, instead of using the direct difference between C/X-band emissivity, we introduce a weighting parameter λ and develop a λ-based combination between these two frequencies to effectively reduce SST sensitivity. The combination is expressed as
Δ E flat = λ E X , flat E C , flat
where E C , flat and E X , flat represent vertically polarized (V-pol) ocean surface emissivity at the C-band and X-band, respectively. λ is the weighting coefficient to be determined by Equation (5). Clearly, as Equation (5) suggests, the combination of emissivity of C/X-band will be unrelated to SST variation if the coefficient λ is set to be the ratio of partial derivative of C-band emissivity to SST and X-band emissivity to SST:
Δ E flat S S T = 0 λ E X , fla t S S T = E C , flat S S T

3. Results

3.1. Rough Sea Surface Emissivity Correction

Physically, the emissivity of rough sea surfaces E rough is related to sea surface roughness and scattering, which is mainly affected by sea surface wind field, wave, and precipitation. However, studies also find a relationship between rough sea surface radiation and SST and atmospheric parameters [31]. Therefore, before developing the correction model, the correlation between C/X-band rough sea emissivity and several geophysical parameters (U10, SST, WV, and CLW) is studied. The correlation coefficients of sea surface emissivity E rough to geophysical parameters are shown in Table 1.
Clearly, for both C- and X-band, the rough sea emissivity shows the highest correlation to 10 m wind speed than SST, WV, and CLW. Table 1 presents some interesting results. It is not surprising that the emissivity of rough sea surfaces is related to sea surface wind speed according to the RTM. However, why the emissivity of rough sea surfaces is associated with SST and atmospheric parameters is a question worthy of discussion. The correlation between the emissivity of rough sea surfaces and SST, WV, and CLW may stem from the underlying relationship between the sea surface wind field and the above three parameters, rather than a direct correlation between the emissivity of rough sea surfaces and these three parameters. Therefore, we argue that establishing an empirical correction model for the emissivity of rough sea surfaces and wind speed can “explain” most of the correlation between the emissivity of rough sea surfaces and ocean–atmospheric parameters. If that is correct, the correlation between the emissivity residual and other parameters will be significantly reduced after wind speed correction. To verify our hypothesis, we analyze the correlations between the corrected residual emissivity E rough and the four air–sea parameters. The results are also presented in Table 1. The results show that, after correction, the correlation between the emissivity residual and sea surface wind speed is significantly reduced. This verifies the effectiveness of the wind speed-related emissivity correction model established in this study. Meanwhile, the correlations between the corrected residual emissivity and SST, WV, and CLW also decrease significantly. This confirms our hypothesis: the simultaneous correlation of rough sea surface emissivity with the four air–sea parameters arises from two sources—the direct correlation between emissivity and wind speed, and the indirect correlation between wind speed and the other three parameters.
We use a polynomial fitting function to correct wind effect in TB data. To do this, the rough sea emissivity of C- and X-band E rough are averaged in the wind speed range of 0–16 m/s with a bin width of 1 m/s. An important issue for polynomial fitting is the selection of the maximum order. While high-order polynomials offer better data fitting, they tend to cause overfitting. Thus, we need to strike a reasonable balance between reducing fitting errors and avoiding overfitting. To verify the robustness of polynomials of different orders, we used polynomials from the 1st to the 5th order and conducted 100 numerical fitting experiments for each. In each numerical experiment, 70% of the data was randomly sampled from the entire data set of 2018 to construct the fitting polynomial, while the remaining 30% was used as the test data set to calculate the RMSE (Figure 2a) and coefficient of determination R2 (Figure 2b) of the fitting polynomial. Meanwhile, we also calculated the probability that each order of polynomial becomes the optimal polynomial (with an RMSE smaller than that of the other four polynomials) during 100 numerical experiments (Figure 2c). We also computed the mean value and standard deviation of fitting errors for each polynomial across these numerical experiments, so as to reflect the sensitivity of polynomials of different orders to the randomness of the modelling data (Figure 2d).
In Figure 2a,b, the 1st-order (blue line) and 2nd-order (red line) polynomials struggle to accurately characterize the relationship between the rough sea surface emissivity and the sea surface wind speed. For polynomials of the 3rd-order and above, their RMSE values and coefficients of determination are close to each other. It can be seen from Figure 2c that in all 100 numerical experiments, the probability of the 3rd-order polynomial being the optimal fitting polynomial is only slightly lower than that of the 5th-order polynomial and higher than that of the polynomials of other orders. Meanwhile, Figure 2d shows that the average fitting errors of the 3rd-order polynomial is slightly higher than that of the 4th-order and 5th-order polynomials. However, the stability of fitting errors (characterized by the standard deviation) is better than that of the 4th-order and 5th-order polynomials. Consequently, after comprehensively considering the accuracy and robustness of the fitting polynomials, we select the 3rd-order polynomial to fit the relationship between the rough sea surface emissivity and wind speed. The relationship between rough sea emissivity and wind speed is expressed using a 3rd-order polynomial in Equation (6). And the fitting coefficients are listed in Appendix A, Table A1.
E u 10 = i = 0 3 a i , f u 10 i
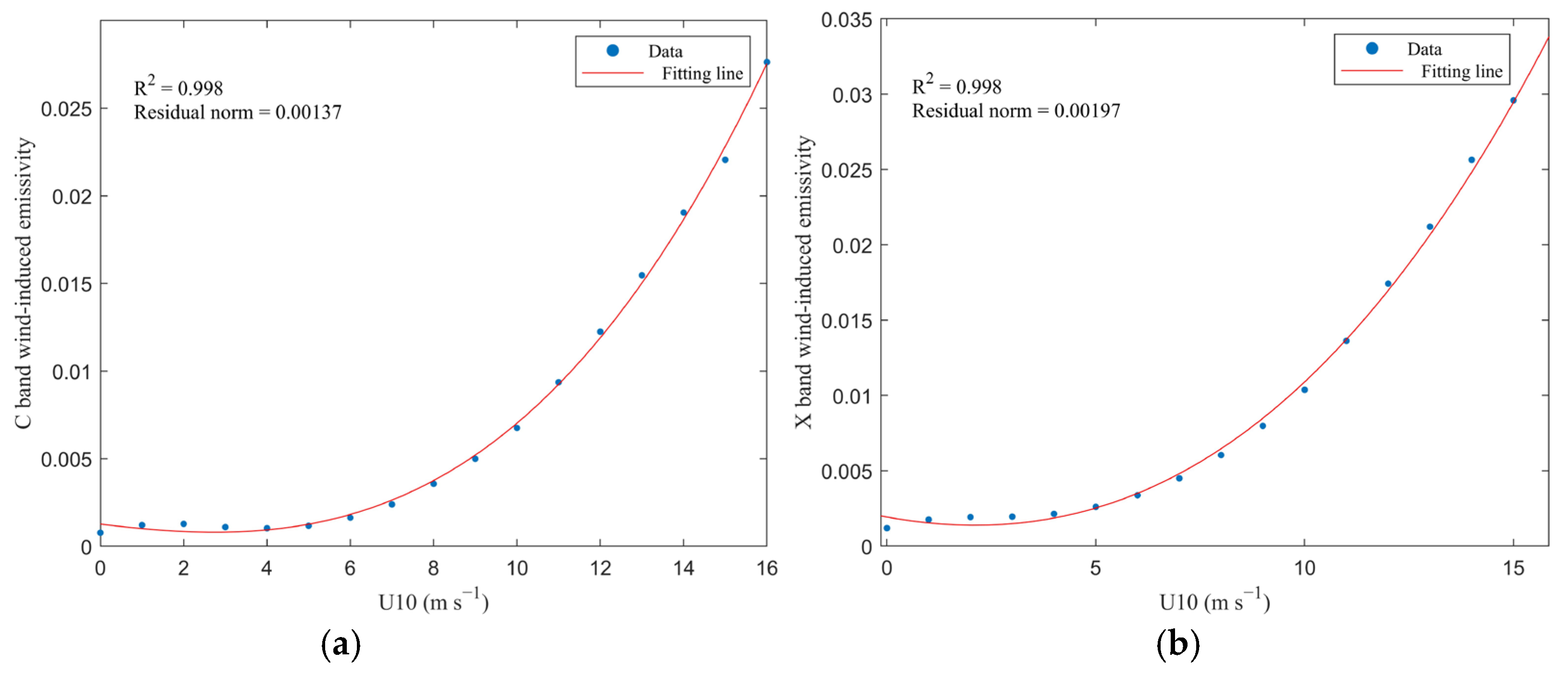
The fitting functions are shown in Figure 3 as red curves. Clearly, all data points match with the fitted curve very well. The deviation between data points and predicted values is better than 0.002. Meanwhile, data points and fitting curve also show high correlation, and the correlation coefficient is higher than 0.998 for both C- and X-bands.
As we have discussed above, after correcting for wind-induced roughness emissivity, the remaining emissivity residual does not show clear dependence on WV, SST, and CLW. The correlation coefficients of the residual with respect to SST, WV, and CLW are less than 0.1. This indicates that the emissivity residual after correcting for wind-induced effects has a weak correlation with SST, WV, and CLW. Moreover, from a physical perspective, the emissivity of a rough sea surface should be independent of SST and atmospheric parameters. Therefore, we use Equation (6) to correct for the sea surface roughness effect.
Applying Equation (6) to the test data set, the rough sea emissivity is calculated and subtracted from the total sea surface emissivity. Therefore, the flat sea surface emissivity extracted from WindSat data E flat sat is expressed as
E flat sat = E total E u 10
To validate the accuracy of the rough sea emissivity correction model, the flat sea emissivity extracted from satellite data E flat sat using Equation (7) is compared with modeled E flat mod , the flat sea emissivity calculated by the dielectric constant model of sea water developed by Meissner and Wentz. The results are shown in Figure 4. Clearly, the flat emissivity extracted from satellite data coincides with the theoretical values well, and most data points cluster around the 1:1 line. The RMS is about 0.001, and the correlation coefficient is considerably high.

3.2. λ-Based Emissivity Combination

As is discussed in previous sections, C- and X-band TB mainly focuses on SST retrieval. Therefore, if C- and X-band TB are directly used to retrieve SSS, the strong SST signal in these bands will mask the weak SSS information. In this section, the sensitivity of C/X-band emissivity to SST and SSS are discussed. We try to find a reasonable combination of C- and X-band emissivity to eliminate their sensitivity to SST.
Based on the MW dielectric constant model of sea water, the flat sea surface emissivity of C- and X-bands under different SST and SSS conditions are calculated and shown in Figure 5. These figures reveal an obvious dependence of C/X-band to SST variations, which is expected, since these two bands are the primary channels for SST retrieval. Meanwhile, these bands also show sensitivity to SSS variations, especially under high SST conditions. The magnitude of the sensitivity of flat sea emissivity to SST is similar to that to SSS. Considering that the TB of a calm sea surface can be expressed as the product of the emissivity of the calm sea surface and the SST, we believe that the sensitivity of the C/X-band TB to SST arises more from the influence of the SST factor in the TB but not the emissivity. This also prompts us to use the emissivity of calm sea surfaces rather than TB for SSS retrieval. In a previous study, researchers use the difference between C- and X-band emissivity to retrieve SSS in the BOB [8]. However, as Figure 5 shows, the difference between these emissivities are still sensitive to SST changes. Simply subtracting C-band emissivity from X-band does not bring sufficient advantages to salinity retrieval. However, Equation (5) suggest that, by introducing a parameter λ, the dependence of λ-based emissivity combination on SST will be greatly weakened. Therefore, using the flat sea emissivities modelled by the MW dielectric constant model under various SST and SSS conditions, we calculate the partial derivatives of C/X-band emissivity with respect to SST, and the ratio of these two derivatives, i.e., the parameter λ. Note that we find the parameter λ is related to SSS, and it is necessary to determine a parameter λ that depends on SSS, rather than simply setting it as a fixed value. Consequently, we generate a lookup table for parameter λ and World Ocean Atlas (WOA) climatological monthly SSS field data [32], where the SSS ranges from 25 to 40 psu with an interval of 0.5 psu. The λ-based combination of calm sea emissivities are shown in Figure 5d. Evidently, the sensitivity of the λ-based combination of emissivities to SST has been basically eliminated, while the λ-based combination retains its sensitivity to SSS.
It is necessary to discuss the differences between the emissivity combination based on parameter λ and the linear combination method that directly subtracts the C-band emissivity from the X-band emissivity. Although the introduction of the parameter λ appears to constitute a “linear combination” of the C/X-band emissivities, we argue that this is not a true linear combination. By definition, λ equals the ratio of the partial derivatives of the C- and X-band emissivities with respect to SST. Thus, the nonlinear responses of the C/X-band emissivities to SST are inherently embedded in the definition of λ. This nonlinear relationship results in λ being not a constant but a variable related to the WOA salinity climatology data. Consequently, the emissivity combination we constructed is not a linear combination but one that inherently incorporates the nonlinear relationship between emissivity and SST.
Regarding the use of WOA monthly SSS field data that may prevent the salinity retrieval algorithm from capturing small-scale salinity signals, it should be noted that, in our method, the use of WOA SSS is relatively indirect. The WOA SSS is only used to choose the appropriate λ and is not directly involved in the calculation of SSS values. Meanwhile, the mean value, standard deviation, and dynamic range of Argo, WOA, and WindSat (our method) SSS in the BOB during 2017–2019 are displayed in Table 2. Clearly, the mean values of all three SSS data sets are similar, which suggests our method has no systematic errors. The standard deviation and dynamic range of SSS can reflect the ability of salinity data to characterize salinity variations in the BOB. It is obvious that the standard deviation and dynamic range of WindSat SSS are larger than WOA SSS and similar to Argo SSS. Considering the Argo SSS is pointwise, these data naturally tend to reflect small-scale salinity variations. These results suggest that the introduction of the parameter λ related to WOA SSS does not exert a significant negative impact on WindSat SSS’s ability to characterize small-scale SSS variations.

3.3. Salinity Retrieval and Validation

Based on the λ-based combination of calm sea emissivity differences Δ E flat , we developed an empirical model function relating SSS to SST and Δ E flat through multivariate regression analysis:
SSS = i = 0 2 j = 0 2 γ i , j Δ E flat i T S j
where γ i , j is the fitting coefficient, and i and j are the orders of the combination of the V-pol calm sea emissivity Δ E flat and sea surface temperature TS. The fitting coefficients are listed in Appendix A Table A2. Note that the parameter λ in Δ E flat is a quantity related to salinity, and the appropriate selection of its value has a significant impact on the results of salinity retrieval. Clearly, using Argo or SMAP salinity data to select an appropriate λ may lead to the problem of data independence. Therefore, as a trade-off between maintaining data independence and selecting an appropriate value for λ, we use the monthly climatological salinity data from WOA to determine the value of λ, and then retrieve the SSS. Using the matched data set of SMAP and WindSat from 2017 to 2019 obtained in Section 2.4, we randomly selected 70% of the 2018 data as the training data set, and the remaining 30% as the test data set. Meanwhile, to test the generalization ability of the SSS retrieval model, we used the data of 2017 and 2019 as the validation data set. The figures below show the salinity retrieval results of WindSat in the BOB region for the four seasons (Spring: Mar–May, Summer: Jun–Aug, Autumn: Sep–Nov, Winter: Dec–Feb). Observations reveal a nuanced seasonal and spatial pattern of SSS. Spring (Figure 6a) is characterized by relatively homogeneous SSS across the bay, with weak horizontal gradients. This is attributed to negligible precipitation and river discharge, strong evaporation, and an anticyclonic circulation that advects high-salinity water northward, homogenizing the salinity field. In summer (Figure 6b), a distinct low-salinity patch emerges in the northern bay (SSS < 31 psu) associated with peak Ganges–Brahmaputra discharge, while offshore regions experience elevated SSS due to enhanced evaporation. Autumn (Figure 6c) exhibits a considerable low-salinity area, as freshwater accumulated during summer spreads southeastward, covering a vast area in the northeastern bay with moderately low SSS. In winter (Figure 6d), a remnant freshwater plume persists in the northeast, maintaining a stable north–south salinity gradient with lower values in the north and higher values in the south. A common feature across all figures is a persistent year-round low-salinity region in the southeastern Bay of Bengal, likely sustained by local precipitation, runoff from Myanmar, or exchange with the Andaman Sea.
Regarding the validation of the salinity retrieval model, since the SMAP satellite salinity data itself has an error of 0.6–0.8 psu, a direct comparison between the WindSat salinity retrieval results and the SMAP salinity data cannot provide a good estimate of the WindSat salinity retrieval error. To address this issue, we adopt two methods to validate the WindSat salinity retrieval results. First, direct comparison is conducted between WindSat data and the in situ observation data from Argos and MRBs. Second, the Argo/WindSat/SMAP matched data set and the triple collocation method is used to simultaneously estimate the errors of both WindSat and SMAP salinity data.
Using the spatiotemporal matching window of 12 h and spatial interval of 0.125 degrees, we collocate the WindSat SSS and the in situ data from Argos and MRBs during 2017–2019. Meanwhile, we adopted the same spatiotemporal matching strategy to match the salinity values retrieved by directly subtracting WindSat C/X-band emissivities, as well as the SMAP salinity values, with the in situ observation data. For all matched data sets, we calculated the mean bias, standard deviation, RMSE, and correlation coefficient as evaluation metrics. The results are shown in Table 3. The results show that compared with the salinity retrieval results without using the parameter λ (where the calm sea surface emissivities of the C-band and X-band are directly subtracted), the use of λ reduces the salinity retrieval RMS error by approximately 0.1–0.2 psu, and the correlation coefficient is also significantly improved. This indicates that the introduction of parameter λ effectively enhances the sensitivity of the C/X-band difference to salinity and improves the accuracy of salinity retrieval. The RMSE of SMAP salinity data is slightly higher than that of WindSat salinity data; however, SMAP salinity shows a better correlation with in situ observation data. Meanwhile, it is noteworthy that the number of matched data points between SMAP and the in situ observation data is smaller than that between WindSat and the latter, indicating that the number of valid observations from WindSat is also superior to that from SMAP. We consider it beneficial to discuss the sensitivity of salinity inversion results to the value of lambda. Therefore, we introduced a ±10% variation in the parameter λ to analyze the sensitivity of the SSS retrieval results to the value of λ. The results show that the RMSE of SSS retrieved using the modified λ ranges from 0.96 to 1.14 psu, which is an increase of 0.24–0.42 psu compared to the original SSS error. These findings indicate that the SSS retrieval results are sensitive to the choice of λ, which motivates the present study to develop a delicate and effective method for determining λ. Meanwhile, the above results demonstrate that the SSS retrieval errors are larger than those obtained with the original λ value after either increasing or decreasing λ by 10%, validating the effectiveness of the method proposed in this paper.
The scatter plots of WindSat SSS versus in situ salinity data are illustrated in Figure 7. Note the WindSat salinity values show greater dispersion in the low salinity range below 31 psu. As shown in Figure 6, salinity values below 31 psu mainly occur in the coastal areas of the northern BOB. These regions receive freshwater input from multiple rivers, including the Ganges and Brahmaputra, resulting in a significant vertical salinity gradient. Under such conditions, the difference between the observation depth of microwave radiometers (approximately 1 cm) and that of buoy data (1 m to several meters) leads to a vertical representativeness discrepancy between the two salinity data sources, thereby causing greater dispersion of WindSat observations relative to in situ measurements in low-salinity areas. Meanwhile, these low-salinity areas are close to the northern coast of the BOB, and the TB data observed by the radiometer are susceptible to land contamination. This leads to a decline in the quality of TB data, which in turn affects the accuracy of salinity retrieval.
We discussed the validation of WindSat SSS data using Argo and MRB in situ buoys above. In fact, the direct comparison between satellite remote sensing data and in situ measurements tends to overestimate the errors of satellite data because the direct comparison method attributes all differences between satellite and in situ data to the errors of satellite data, ignoring the inherent errors of in situ observations and the spatial representativeness discrepancy between in situ and satellite data. In contrast, the triple collocation method estimates the random errors of each of the three spatiotemporally matched data sources by utilizing the variances of each data source and the covariances between every pair of data sources. The triple collocation equations can be expressed as follows:
S 1 = α 1 S + β 1 + δ 1 S 2 = α 2 S + β 2 + δ 2 S 3 = α 3 S + β 3 + δ 3
where α i and β i are the scale and offset factors of system i. δ i is the random error of system i. S is the true salinity signal that can be observed by all four systems. S i is the ith SSS observation system (Argo, WindSat, and SMAP). It is evident that for the triple collocation method to yield robust results, the salinity observations provided by the three spatiotemporally matched systems should be consistent. Based on the three systems simultaneously capturing a stable and dominant true salinity signal S, their respective random errors δ i are relatively small, leading to comparable variances and covariances among the three salinity data sets. Conversely, if the data variance of one salinity observation system is significantly different from that of the other two, or if the covariance between the observations of one system and the others is notably small, it indicates a substantial discrepancy and low correlation between the observations of this system and the others. Introducing such a data source into the triple collocation method will compromise the robustness of the error assessment results. We reconstructed a triple collocation data set (Argo/WindSat/SMAP). Before applying the triple collocation method, we calculated the variances of the four salinity data sets (Argo SSS, WindSat SSS with λ, WindSat SSS without λ, SMAP SSS) and the covariances between them. The covariance matrix is presented in the Table 4.
As is clearly shown in Table 4, the salinity retrieval results obtained by directly subtracting C/X-band emissivities (WindSat without λ) exhibit significantly lower variance and covariances with all other data sets. Based on our previous discussion, this indicates that the statistical characteristics of the WindSat without λ salinity retrieval results are significantly different from those of the other data sets. In contrast, the variance and covariances of the salinity data incorporating the parameter λ (WindSat with λ) are comparable to those of the Argo and SMAP salinity data sets. The above results demonstrate that the introduction of the parameter λ can effectively improve the quality of salinity retrieval data. Therefore, in the triple collocation calculation, we excluded the WindSat without λ salinity data and used the remaining three data sets for computation; the results are presented in Table 5.
It can be seen that compared with the results of the direct comparison between satellite data and Argo data in Table 4, the random errors of WindSat and SMAP salinity in Table 5 have both decreased by approximately 0.1 psu. Notably, the error of Argo salinity is significantly overestimated. This result is not unexpected, as it reflects the spatial representativeness discrepancy between buoy data and satellite data. Buoys provide pointwise observations that can capture small-scale spatial salinity variations, whereas satellite data represent the average value within their antenna footprints (on the order of tens of kilometers) and thus struggle to resolve sub-footprint variability (SFV). Consequently, small-scale salinity signals detected only by buoys but not by satellites are interpreted as errors of the buoy data in the triple collocation method. Clearly, this is not a true error but rather a representativeness error caused by differences in spatial representativeness across multiple data sources. However, based on a previous study by the authors [33], under such conditions, although the error of the high-resolution data set (i.e., Argo) tends to be overestimated, the triple collocation method still yields robust error estimates for the other two data sets. Therefore, we consider the results in Table 5 to be a reliable estimate of the errors of WindSat and SMAP salinity data.
Due to the limitation of its tens of kilometers antenna footprint size, the data quality of microwave radiometers in coastal regions is significantly lower than that in open oceans, which in turn affects the accuracy of retrieved ocean parameters. Enlightened by the reviewer’s suggestion, we used a 0.5-resolution offshore distance look-up table to calculate the offshore distance for all matched data between WindSat salinity and Argo salinity. Then, within the offshore distance range of 100 km to 500 km, we binned the data at 100 km intervals and analyzed the variation of salinity retrieval error with offshore distance. The results are shown in the figure below. As shown in the figure, the salinity retrieval error decreases sharply with increasing offshore distance. At an offshore distance of 100 km, the SSS error exceeds 1 psu, while at 500 km offshore, the error falls below 0.6 psu (Figure 8).

4. Discussion and Conclusions

This study presents a method to retrieve SSS in the coastal oceans using C/X-band observations from WindSat. Given the low sensitivity of C/X-band TB to SSS compared to L-band TB, we use C/X-band calm sea surface emissivity rather than TB for SSS retrieval because the former has similar sensitivity to SST and SSS, while the latter is more sensitive to sea surface temperature. We develop a three-step procedure to remove the contribution of rough sea surface emissivity from the total sea surface emissivity and retrieve SSS from the WindSat TB. First, the wind-induced effects were modelled using a third-order polynomial. Second, based on the emissivity analysis, a combination of C/X-band calm sea emissivity with a salinity-dependent parameter λ is developed to minimize SST sensitivity, derived from partial derivatives of emissivity with respect to SST. And then, the λ-based combination of C/X-band emissivity is used to retrieve the SSS in the region of the Bay of Bengal. Based on the triple-match method, the SSS retrieval results are validated by Argo and mooring buoy in situ data. The results show that the use of parameter λ reduces the RMS error of salinity retrieval by approximately 0.1–0.2 psu. The RMSE of SSS retrieval is about 0.64 psu, which is comparable to the salinity retrieval error of SMAP.
It is noted that the present method is only developed and validated in an area with warm water and high SSS variations, both of which have a positive impact on improving the accuracy of SSS retrieval, especially for the SSS retrieval using C/X-band data with weak response to SSS. Whether this model can be applied to global marine areas, especially low-temperature ocean areas, remains to be studied. We believe that deep learning methods such as U-Net, due to their excellent ability to characterize the nonlinear relationships among multiple parameters under weak SNR, are promising candidates for achieving global SSS retrieval based on C/X-bands. For example, ref. [34] used the U-Net model and K/Ka-band TB to retrieve global SST in global marine areas. We are also conducting research on retrieving global SSS based on deep learning methods. The results are encouraging but very preliminary, and further work is needed to make these results more reliable.

Author Contributions

Conceptualization, J.W.; methodology, X.L.; validation, X.L. and X.Z.; data curation, X.L. and X.Z.; writing—original draft preparation, X.L. and J.W.; writing—review and editing, J.W.; supervision, J.W.; funding acquisition, J.W. All authors have read and agreed to the published version of the manuscript.

Funding

This research was funded by the Shandong Provincial Natural Science Foundation, China, grant number ZR2025MS561. The APC was funded by the Shandong Provincial Natural Science Foundation, China.

Institutional Review Board Statement

Not applicable.

Informed Consent Statement

Not applicable.

Data Availability Statement

The original contributions presented in this study are included in the article. Further inquiries can be directed to the corresponding author.

Acknowledgments

The authors gratefully thank the anonymous reviewers for their constructive comments, and RSS, IFRMER, and NCEI for providing the data used in this study.

Conflicts of Interest

The authors declare no conflicts of interest.

Abbreviations

The following abbreviations are used in this manuscript:
ArgoArray for Real-time Geostrophic Oceanography
BOBBay of Bengal
CLWCloud liquid water
DACsData assembly centers
GWUGeorge Washington University
IFRMERInstitute Français de Recherche pour l’Exploitation de la Mer
KSKlein–Swift
MRBMooring buoys
MWMeissner–Wentz
NCEINational Canters for Environmental Information
RSSRemote sensing system
RTMRadiative transfer model
SFVSub-footprint variability
SMAPSoil moisture active passive
SMOSSoil moisture and ocean salinity
SNRSignal to noise ratio
SSSSea surface salinity
SSTSea surface temperature
TBBrightness temperature
TOATop-of-atmosphere
U1010 m wind speed
WOAWorld Ocean Atlas
WVColumnar water vapor

Appendix A

Table A1. Fitting coefficients for rough sea surface emissivity.
Table A1. Fitting coefficients for rough sea surface emissivity.
ai,f6.8 GHz10.7 GHz
i = 01.266 × 10−31.926 × 10−3
i = 1−2.946 × 10−4−4.954 × 10−4
i = 23.019 × 10−51.069 × 10−4
i = 35.680 × 10−63.232 × 10−6
Table A2. Coefficient γ i , j in salinity retrieval formula.
Table A2. Coefficient γ i , j in salinity retrieval formula.
(i, j) γ i , j
(0, 0)−5134.938
(0, 1)381.681
(0, 2)−7.134
(1, 0)8696.895
(1, 1)−645.108
(1, 2)12.088
(2, 0)−3659.191
(2, 1)272.601
(2, 2)−5.120

References

  1. Yu, L.; Josey, S.A.; Bingham, F.M.; Lee, T. Intensification of the global water cycle and evidence from ocean salinity: A synthesis review. Ann. N. Y. Acad. Sci. 2020, 1472, 76–94. [Google Scholar] [CrossRef]
  2. Reul, N.; Grodsky, S.A.; Arias, M.; Boutin, J.; Catany, R.; Chapron, B.; D’Amico, F.; Dinnat, E.; Donlon, C.; Fore, A. Sea surface salinity estimates from spaceborne L-band radiometers: An overview of the first decade of observation (2010–2019). Remote Sens. Environ. 2020, 242, 37. [Google Scholar] [CrossRef]
  3. Evans, D.L.; Alpers, W.; Cazenave, A.; Elachi, C.; Farr, T.; Glackin, D.; Holt, B.; Jones, L.; Liu, W.T.; McCandless, W. Seasat—A 25-year legacy of success. Remote Sens. Environ. 2005, 94, 384–404. [Google Scholar] [CrossRef]
  4. Font, J.; Camps, A.; Borges, A.; Martín-Neira, M.; Boutin, J.; Reul, N.; Kerr, Y.H.; Hahne, A.; Mecklenburg, S. SMOS: The Challenging Sea Surface Salinity Measurement From Space. Proc. IEEE 2010, 98, 649–665. [Google Scholar] [CrossRef]
  5. Le Vine, D.M.; Lagerloef, G.S.E.; Torrusio, S.E. Aquarius and Remote Sensing of Sea Surface Salinity from Space. Proc. IEEE 2010, 98, 688–703. [Google Scholar] [CrossRef]
  6. Fore, A.G.; Yueh, S.H.; Tang, W.Q.; Stiles, B.W.; Hayashi, A.K. Combined Active/Passive Retrievals of Ocean Vector Wind and Sea Surface Salinity With SMAP. IEEE Trans. Geosci. Remote Sens. 2016, 54, 7396–7404. [Google Scholar] [CrossRef]
  7. Sabia, R.; Boutin, J.; Reul, N.; Lee, T.; Yueh, S.H. The Bright Decade of Ocean Salinity from Space. Remote Sens. 2025, 17, 2261. [Google Scholar] [CrossRef]
  8. Montero, M.; Reul, N.; Montégut, C.D.; Vialard, J.; Brachet, S.; Guimbard, S.; Vandemark, D.; Tournadre, J. SSS Estimates From AMSR-E Radiometer in the Bay of Bengal: Algorithm Principles and Limits. IEEE Trans. Geosci. Remote Sens. 2023, 61, 21. [Google Scholar] [CrossRef]
  9. Rao, R.R.; Kumar, M.S.G.; Ravichandran, M.; Rao, A.R.; Gopalakrishna, V.V.; Thadathil, P. Interannual variability of Kelvin wave propagation in the wave guides of the equatorial Indian Ocean, the coastal Bay of Bengal and the southeastern Arabian Sea during 1993–2006. Deep. Sea Res. Part I Oceanogr. Res. Pap. 2010, 57, 1–13. [Google Scholar] [CrossRef]
  10. Shetye, S.R.; Gouveia, A.D.; Shankar, D.; Shenoi, S.S.C.; Vinayachandran, P.N.; Sundar, D.; Michael, G.S.; Nampoothiri, G. Hydrography and circulation in the western Bay of Bengal during the northeast monsoon. J. Geophys. Res.-Oceans 1996, 101, 14011–14025. [Google Scholar] [CrossRef]
  11. Vinayachandran, P.N.; Murty, V.S.N.; Babu, V.R. Observations of barrier layer formation in the Bay of Bengal during summer monsoon. J. Geophys. Res.-Oceans 2002, 107, 9. [Google Scholar] [CrossRef]
  12. Shenoi, S.S.C.; Shankar, D.; Shetye, S.R. Differences in heat budgets of the near-surface Arabian Sea and Bay of Bengal: Implications for the summer monsoon. J. Geophys. Res.-Oceans 2002, 107, 14. [Google Scholar] [CrossRef]
  13. Tang, W.Q.; Fore, A.; Yueh, S.; Lee, T.; Hayashi, A.; Sanchez-Franks, A.; Martinez, J.; King, B.; Baranowski, D. Validating SMAP SSS with in situ measurements. Remote Sens. Environ. 2017, 200, 326–340. [Google Scholar] [CrossRef]
  14. Meissner, T.; Wentz, F.; Manaster, A.; Lindsley, R.; Brewer, M.; Densberger, M. NASA/RSS SMAP Salinity: Version 6.0 Validated Release. 2024. Available online: https://data.remss.com/smap/SSS/V06.0/documents/Release_V6.0.pdf (accessed on 25 December 2025).
  15. Roemmich, D.; Owens, B. The Argo Project: Global Ocean Observations for Understanding and Prediction of Climate Variability. Oceanography 2000, 13, 45–50. [Google Scholar] [CrossRef]
  16. Wong, A.P.S.; Wijffels, S.E.; Riser, S.C.; Pouliquen, S.; Hosoda, S.; Roemmich, D.; Gilson, J.; Johnson, G.C.; Martini, K.; Murphy, D.J. Argo Data 1999-2019: Two Million Temperature-Salinity Profiles and Subsurface Velocity Observations From a Global Array of Profiling Floats. Front. Mar. Sci. 2020, 7, 23. [Google Scholar] [CrossRef]
  17. Gaiser, P.W.; St Germain, K.M.; Twarog, E.M.; Poe, G.A.; Purdy, W.; Richardson, D.; Grossman, W.; Jones, W.L.; Spencer, D.; Golba, G. The WindSat spaceborne polarimetric microwave radiometer: Sensor description and early orbit performance. IEEE Trans. Geosci. Remote Sens. 2004, 42, 2347–2361. [Google Scholar] [CrossRef]
  18. Yueh, S.H.; Wilson, W.J.; Dinardo, S.J.; Hsiao, S.V. Polarimetric microwave wind radiometer model function and retrieval testing for WindSat. IEEE Trans. Geosci. Remote Sens. 2006, 44, 584–596. [Google Scholar] [CrossRef]
  19. Westbrook, E.E.; Bingham, F.M.; Fournier, S.; Hayashi, A. Matchup Strategies for Satellite Sea Surface Salinity Validation. Remote Sens. 2023, 15, 1242. [Google Scholar] [CrossRef]
  20. Bingham, F.M.; Fournier, S.; Brodnitz, S.; Ulfsax, K.; Zhang, H. Matchup Characteristics of Sea Surface Salinity Using a High-Resolution Ocean Model. Remote Sens. 2021, 13, 2995. [Google Scholar] [CrossRef]
  21. Meissner, T. RSS SMAP—WindSat TB Match-Ups on Daily 0.25 Grid, Version 1.0. 2023. Available online: https://data.remss.com/TB/RSS_SMAP_WindSat_TB/smap_windsat_matchups_TB_maps_daily_025deg/ (accessed on 25 December 2025).
  22. Okuyama, A.; Imaoka, K. Intercalibration of Advanced Microwave Scanning Radiometer-2 (AMSR2) Brightness Temperature. IEEE Trans. Geosci. Remote Sens. 2015, 53, 4568–4577. [Google Scholar] [CrossRef]
  23. Meissner, T.; Wentz, F.J. The Emissivity of the Ocean Surface Between 6 and 90 GHz Over a Large Range of Wind Speeds and Earth Incidence Angles. IEEE Trans. Geosci. Remote Sens. 2012, 50, 3004–3026. [Google Scholar] [CrossRef]
  24. Alsweiss, S.; Jelenak, Z.; Chang, P.S. Extending the Usability of Radiometer Ocean Surface Wind Measurements to All-Weather Conditions for NOAA Operations: Application to AMSR2. IEEE Trans. Geosci. Remote Sens. 2023, 61, 12. [Google Scholar] [CrossRef]
  25. Klein, L.; Swift, C. An improved model for the dielectric constant of sea water at microwave frequencies. IEEE Trans. Antennas Propag. 1977, 25, 104–111. [Google Scholar] [CrossRef]
  26. Meissner, T.; Wentz, F.J. The complex dielectric constant of pure and sea water from microwave satellite observations. IEEE Trans. Geosci. Remote Sens. 2004, 42, 1836–1849. [Google Scholar] [CrossRef]
  27. Zhou, Y.W.; Lang, R.H.; Dinnat, E.P.; Le Vine, D.M. L-Band Model Function of the Dielectric Constant of Seawater. IEEE Trans. Geosci. Remote Sens. 2017, 55, 6964–6974. [Google Scholar] [CrossRef]
  28. Yueh, S.H. Modeling of wind direction signals in polarimetric sea surface brightness temperatures. IEEE Trans. Geosci. Remote Sens. 1997, 35, 1400–1418. [Google Scholar] [CrossRef]
  29. Johnson, J.T.; Zhang, M. Theoretical study of the small slope approximation for ocean polarimetric thermal emission. IEEE Trans. Geosci. Remote Sens. 1999, 37, 2305–2316. [Google Scholar] [CrossRef]
  30. Yueh, S.H.; Tang, W.Q.; Fore, A.G.; Neumann, G.; Hayashi, A.; Freedman, A.; Chaubell, J.; Lagerloef, G.S.E. L-Band Passive and Active Microwave Geophysical Model Functions of Ocean Surface Winds and Applications to Aquarius Retrieval. IEEE Trans. Geosci. Remote Sens. 2013, 51, 4619–4632. [Google Scholar] [CrossRef]
  31. Yueh, S.; Tang, W.Q.; Fore, A.; Hayashi, A.; Song, Y.T.; Lagerloef, G. Aquarius geophysical model function and combined active passive algorithm for ocean surface salinity and wind retrieval. J. Geophys. Res.-Oceans 2014, 119, 5360–5379. [Google Scholar] [CrossRef]
  32. Zweng, M.M.; Reagan, J.R.; Seidov, D.; Boyer, T.P.; Locarnini, R.A.; Garcia, H.E.; Mishonov, A.V.; Baranova, O.K.; Weathers, K.W.; Paver, C.R. World Ocean Atlas 2018, Volume 2: Salinity; Report No. NOAA Atlas NESDIS 82. 2019. Available online: https://www.ncei.noaa.gov/sites/default/files/2022-06/woa18_vol2.pdf (accessed on 25 December 2025).
  33. Wang, J.; Li, Y.; Zhou, W. Representativeness Error Estimated From SSS Products Based on Quadruple Collocation Analysis. IEEE Trans. Geosci. Remote Sens. 2024, 62, 1–10. [Google Scholar] [CrossRef]
  34. Mao, P.; Yin, X.; Zhang, Y.; Ma, X.; Wang, N.; Li, Y.; Xu, Q.; Jiang, X. Sea Surface Temperature Retrievals Using K- and Ka-Bands With Weak Brightness Temperature Response Residual Neural Networks. IEEE Trans. Geosci. Remote Sens. 2024, 62, 1–15. [Google Scholar]
Figure 1. Map of the study area in the Bay of Bengal (77°–100° E, 5°–25° N). Land is shown in gray, ocean in white. The black line indicates the coastline.
Figure 1. Map of the study area in the Bay of Bengal (77°–100° E, 5°–25° N). Land is shown in gray, ocean in white. The black line indicates the coastline.
Atmosphere 17 00250 g001
Figure 2. Performance analysis of polynomials with different fitting orders: (a) RMSE; (b) R2; (c) probability of optimal correction; (d) sensitivity analysis fitting errors.
Figure 2. Performance analysis of polynomials with different fitting orders: (a) RMSE; (b) R2; (c) probability of optimal correction; (d) sensitivity analysis fitting errors.
Atmosphere 17 00250 g002aAtmosphere 17 00250 g002b
Figure 3. Rough sea emissivity E rough and 10 m wind speed U10: (a) C-band; (b) X-band.
Figure 3. Rough sea emissivity E rough and 10 m wind speed U10: (a) C-band; (b) X-band.
Atmosphere 17 00250 g003
Figure 4. Comparison of flat emissivity E flat sat and E flat mod : (a) 6.8 GHz; (b) 10.7 GHz (The blue line is the diagonal line).
Figure 4. Comparison of flat emissivity E flat sat and E flat mod : (a) 6.8 GHz; (b) 10.7 GHz (The blue line is the diagonal line).
Atmosphere 17 00250 g004
Figure 5. C/X-band flat sea emissivity: (a) E C , flat ; (b) E X , flat ; (c) their difference; (d) the λ-based combination of C/X-band flat sea emissivity.
Figure 5. C/X-band flat sea emissivity: (a) E C , flat ; (b) E X , flat ; (c) their difference; (d) the λ-based combination of C/X-band flat sea emissivity.
Atmosphere 17 00250 g005
Figure 6. WindSat SSS in BOB: (a) spring; (b) summer; (c) autumn; (d) winter. (Black: Land, White: Ocean).
Figure 6. WindSat SSS in BOB: (a) spring; (b) summer; (c) autumn; (d) winter. (Black: Land, White: Ocean).
Atmosphere 17 00250 g006
Figure 7. Scatter plot of WindSat SSS and in situ data: (a) Argo; (b) mooring buoy (The red line is the diagonal line. The black line is the regression line.).
Figure 7. Scatter plot of WindSat SSS and in situ data: (a) Argo; (b) mooring buoy (The red line is the diagonal line. The black line is the regression line.).
Atmosphere 17 00250 g007
Figure 8. Relationship between SSS RMSE and offshore distance.
Figure 8. Relationship between SSS RMSE and offshore distance.
Atmosphere 17 00250 g008
Table 1. Correlation between rough sea emissivity and geophysical parameters.
Table 1. Correlation between rough sea emissivity and geophysical parameters.
EmissivityU10SSTWVCLW
E C , rough 0.770.050.350.24
E C , res −0.110.040.080.04
E X , rough 0.830.100.350.24
E X , res −0.17−0.010.03−0.01
Table 2. Statistics of salinity data in the BOB region.
Table 2. Statistics of salinity data in the BOB region.
Data SourceMean Value (psu)STD (psu)Dynamic Range (psu)
Argo SSS32.900.927.88
WOA SSS32.800.826.80
WindSat SSS32.830.967.44
Table 3. Evaluation metrics of the different SSS data sets.
Table 3. Evaluation metrics of the different SSS data sets.
Data SetData AmountMean Bias (psu)STD (psu)RMS (psu)Correlation Coefficient
WindSat–MRB4510.130.480.500.64
WindSat without λ-MRB4510.060.570.570.35
SMAP–MRB167−0.010.640.640.66
WindSat–Argo1240−0.060.720.720.71
WindSat without λ-Argo1240−0.010.920.920.21
SMAP–Argo473−0.010.820.820.79
Table 4. Covariance matrix of different SSS data sets (units: psu2).
Table 4. Covariance matrix of different SSS data sets (units: psu2).
ArgoWindSat with λWindSat Without λSMAP
Argo0.970.740.081.04
WindSat with λ0.741.060.150.92
WindSat without λ0.080.150.150.11
SMAP1.040.920.111.77
Table 5. SSS validation results from triple collocation method.
Table 5. SSS validation results from triple collocation method.
Data SourceArgoWindSatSMAP
SSS sigma (psu)0.370.640.69
Disclaimer/Publisher’s Note: The statements, opinions and data contained in all publications are solely those of the individual author(s) and contributor(s) and not of MDPI and/or the editor(s). MDPI and/or the editor(s) disclaim responsibility for any injury to people or property resulting from any ideas, methods, instructions or products referred to in the content.

Share and Cite

MDPI and ACS Style

Li, X.; Zuo, X.; Wang, J. SSS Retrieval Using C- and X-Band Microwave Radiometer Observations in Coastal Oceans. Atmosphere 2026, 17, 250. https://doi.org/10.3390/atmos17030250

AMA Style

Li X, Zuo X, Wang J. SSS Retrieval Using C- and X-Band Microwave Radiometer Observations in Coastal Oceans. Atmosphere. 2026; 17(3):250. https://doi.org/10.3390/atmos17030250

Chicago/Turabian Style

Li, Xinyu, Xinhao Zuo, and Jin Wang. 2026. "SSS Retrieval Using C- and X-Band Microwave Radiometer Observations in Coastal Oceans" Atmosphere 17, no. 3: 250. https://doi.org/10.3390/atmos17030250

APA Style

Li, X., Zuo, X., & Wang, J. (2026). SSS Retrieval Using C- and X-Band Microwave Radiometer Observations in Coastal Oceans. Atmosphere, 17(3), 250. https://doi.org/10.3390/atmos17030250

Note that from the first issue of 2016, this journal uses article numbers instead of page numbers. See further details here.

Article Metrics

Back to TopTop