Sign in to use this feature.

Years

Between: -

Subjects

remove_circle_outline
remove_circle_outline
remove_circle_outline
remove_circle_outline
remove_circle_outline
remove_circle_outline
remove_circle_outline
remove_circle_outline
remove_circle_outline

Journals

remove_circle_outline
remove_circle_outline
remove_circle_outline
remove_circle_outline
remove_circle_outline
remove_circle_outline
remove_circle_outline
remove_circle_outline
remove_circle_outline
remove_circle_outline
remove_circle_outline

Article Types

Countries / Regions

remove_circle_outline
remove_circle_outline
remove_circle_outline
remove_circle_outline
remove_circle_outline
remove_circle_outline

Search Results (1,961)

Search Parameters:
Keywords = sand content

Order results
Result details
Results per page
Select all
Export citation of selected articles as:
24 pages, 22342 KB  
Article
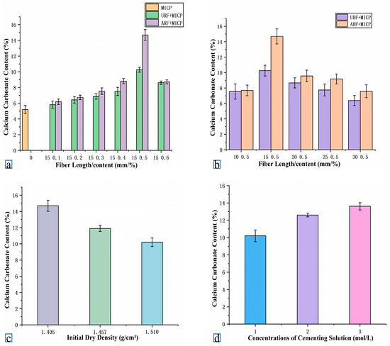
Study on the Adsorption Characteristics of Microbial-Reed Fiber and Its MICP Solidified Saline Soil Test
by Yimo Du, Zhenyu Bai, Xiaoli Wang, Ruze Wang and Wen Zhang
Appl. Sci. 2025, 15(20), 11198; https://doi.org/10.3390/app152011198 (registering DOI) - 19 Oct 2025
Abstract
In response to the issues of increased brittleness and insufficient toughness in microbially solidified saline sandy soils in cold and arid plateau regions, this study investigated saline sandy soils and indigenous microorganisms from the Qaidam Basin, Qinghai. A dual-reinforcement method combining microbial-induced calcium [...] Read more.
In response to the issues of increased brittleness and insufficient toughness in microbially solidified saline sandy soils in cold and arid plateau regions, this study investigated saline sandy soils and indigenous microorganisms from the Qaidam Basin, Qinghai. A dual-reinforcement method combining microbial-induced calcium carbonate precipitation (MICP) with alkali-modified reed fiber (ARF) was proposed to enhance both strength and ductility. The study explored the adsorption characteristics and solidification mechanisms of this approach. Key innovations include: (1) alkali modification significantly improved the interfacial bonding between reed fibers and sand particles, with pull-out tests indicating a 1.24-fold increase in adhesion strength; (2) an orthogonal experimental design identified optimal parameters—fiber length of 15 mm, fiber content of 0.5%, and cementation solution concentration of 3 mol/L—leading to the development of a synergistic “microbial cementation–fiber bridging” enhancement model. Experimental results showed that the proposed method increased the unconfined compressive strength (UCS) of the solidified soil to 2082.85 kPa, 2.99 times higher than that of traditional MICP-treated soil, while it significantly enhanced the ductility of the soil. This approach offers a mechanically robust and environmentally adaptive solution within the ambient temperature range of 0–35 °C for the ecological restoration of saline soils in high-altitude regions. Full article
(This article belongs to the Special Issue Advanced Technology in Geotechnical Engineering)
Show Figures

Figure 1

14 pages, 2903 KB  
Article
Conversion of Potato Peel into Solid Biofuel Through Torrefaction in a Fluidized Bed of Olivine Sand
by Rafail Isemin, Mathieu Brulé, Dmitry Klimov, Oleg Milovanov, Alexander Mikhalev, Carlos Eduardo de Farias Silva, Sergey Kuzmin, Kirill Milovanov and Xianhua Guo
Energies 2025, 18(20), 5496; https://doi.org/10.3390/en18205496 (registering DOI) - 18 Oct 2025
Abstract
Potato peels are a waste product accounting for 15–40% of the mass of raw potatoes, depending on the processing method employed. The production of solid biofuel from potato peel was investigated in a superheated-steam fluidized bed filled with olivine sand. The co-fluidization of [...] Read more.
Potato peels are a waste product accounting for 15–40% of the mass of raw potatoes, depending on the processing method employed. The production of solid biofuel from potato peel was investigated in a superheated-steam fluidized bed filled with olivine sand. The co-fluidization of dried, crushed potato peels together with olivine sand was also investigated. Stable co-fluidization of olivine sand and crushed potato peels can be achieved when the mass fraction of potato peels in the fluidized bed does not exceed 3% (w/w). In a fluidized bed containing 3% % (w/w) potato peel, increasing the operational temperature of torrefaction from 200 to 300 °C with a processing duration of 30 min resulted in a 1.35-fold increase in HHV from 20.68 MJ/kg up to 27.93 MJ/kg based on ash-free dry mass. The effects of torrefaction temperature and duration on 5-hydroxymethylfurfural and furfural contents in condensable gaseous torrefaction products were studied, along with changes in the chemical composition of potato peel ash as a result of torrefaction. Furthermore, we analyzed the bed agglomeration index (BAI) predicting the possibility of agglomerate formation during combustion of torrefied potato peel in a fluidized bed and found that the probability of agglomeration may decrease along with increasing temperature and duration of the torrefaction process. Nevertheless, only the most severe torrefaction conditions of 300 °C for 30 min may completely prevent the risk of agglomerate formation during the subsequent combustion of torrefied potato peels as a solid biofuel. The proposed potato peel processing technology may be used in future frozen and fried potato factories in order to solve waste disposal issues while also reducing the costs of heat and electricity generation, as well as allowing for the recovery of high-value biochemicals from the torrefaction condensate. Full article
Show Figures

Figure 1

17 pages, 2912 KB  
Article
Environmental Influences on Growth and Secondary Metabolite Accumulation in Eleutherococcus sessiliflorus Across Korean Cultivation Sites
by Yonghwan Son, Dong Hwan Lee, Jun Hyuk Jang, Hyun-Jun Kim and Ji Ah Kim
Plants 2025, 14(20), 3175; https://doi.org/10.3390/plants14203175 - 16 Oct 2025
Viewed by 99
Abstract
Eleutherococcus sessiliflorus is a medicinal shrub widely used in East Asian traditional medicine, yet field-based studies on environmental influences remain limited. In this study, branches from 26 cultivation sites across South Korea were analyzed for relationships among growth traits, soil and climatic conditions, [...] Read more.
Eleutherococcus sessiliflorus is a medicinal shrub widely used in East Asian traditional medicine, yet field-based studies on environmental influences remain limited. In this study, branches from 26 cultivation sites across South Korea were analyzed for relationships among growth traits, soil and climatic conditions, and two major compounds, chlorogenic acid (CGA) and eleutheroside E (EleuE). Growth traits varied widely, with plant height ranging from 1.06 to 4.20 m. CGA content was relatively stable across sites (0.292–0.708 mg/g), while EleuE showed greater variability (0.038–0.264 mg/g). The combined content of CGA and EleuE showed a weak positive correlation with thorn density (r = 0.236, p = 0.037). Plant height and basal diameter were positively correlated with temperature indices (annual average temperature r = 0.410, p < 0.001; annual maximum temperature r = 0.341, p = 0.002), whereas thorn density decreased with soil electrical conductivity, potassium, and magnesium but increased with sand and precipitation. Principal component analysis and correlation networks highlighted distinct clusters separating growth traits from EleuE–environment associations. These findings demonstrate that growth performance in E. sessiliflorus is strongly influenced by thermal regimes, while EleuE accumulation responds to soil texture and light availability, providing an empirical foundation for site-specific cultivation strategies and standardized quality management. Full article
(This article belongs to the Section Plant Physiology and Metabolism)
Show Figures

Figure 1

13 pages, 3223 KB  
Article
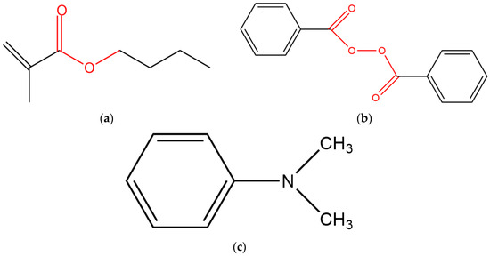
Influence of Initiator Content and Polymerization Conditions on the Properties of Polyacrylate Mortar
by Zhengqiang Huang, Chong Han, Tianhang Zhang, Dongyang Guo, Yonggui Dai and Wencheng Ding
Materials 2025, 18(20), 4737; https://doi.org/10.3390/ma18204737 - 16 Oct 2025
Viewed by 200
Abstract
An experimental investigation was conducted to study the effect of initiator content and polymerization temperature on the mechanical and bonding properties of polyacrylate mortar. Initiator content was controlled in 0.1, 0.2, 0.3, 0.4, 0.5, 0.6, 0.7, 0.8, 0.9 and 1.0% and polymerization temperature [...] Read more.
An experimental investigation was conducted to study the effect of initiator content and polymerization temperature on the mechanical and bonding properties of polyacrylate mortar. Initiator content was controlled in 0.1, 0.2, 0.3, 0.4, 0.5, 0.6, 0.7, 0.8, 0.9 and 1.0% and polymerization temperature was set at −20, 0, 20, 40, and 60 °C in aggregation process, respectively. The mixture of butyl methacrylate (BMA), benzoyl peroxide (BPO) and N, N-dimethylaniline (DMA) was added to the aggregate composed of quartz sand and silica fume (SF) according to the ratio of monomer to aggregate of 1:4. Results showed that compressive, flexural, tensile, and bonding strengths of polyacrylate mortar decreased with increasing temperature but increased with higher initiator content. The optimal initiator content was 0.6%. Although the highest strength was observed at −20 °C, this curing condition is not easy to achieve in practice and should be considered as laboratory optimization. According to the room temperature, 20 °C can be selected as the best polymerization temperature. SEM observations indicated that the polyacrylate cementitious material cross-linked to form a film, with a dense polymer distribution at the interface that improved interfacial continuity. These findings provide mechanistic insight for optimizing initiator content and curing conditions to enhance the mechanical and bonding performance of polyacrylate-based cementitious composites. Full article
(This article belongs to the Section Construction and Building Materials)
Show Figures

Graphical abstract

14 pages, 1479 KB  
Article
Transport of Phosphorus from Three Fertilizers Through High- and Low-Phosphorus Soils
by Lily DuPlooy, Joshua Heitman, Luke Gatiboni and Aziz Amoozegar
Agronomy 2025, 15(10), 2395; https://doi.org/10.3390/agronomy15102395 - 15 Oct 2025
Viewed by 155
Abstract
Chemical fertilizers are commonly used to supply phosphorus and other nutrients to crops, but due to high affinity of soils for P fixation, over-application of P fertilizer is common, which may result in groundwater and surface water pollution. To increase P use efficiency, [...] Read more.
Chemical fertilizers are commonly used to supply phosphorus and other nutrients to crops, but due to high affinity of soils for P fixation, over-application of P fertilizer is common, which may result in groundwater and surface water pollution. To increase P use efficiency, different strategies, including different fertilizer formulations and types, have been developed. Two struvite-based fertilizers, Crystal Green® (CG) and Crystal Green Pearl® (CGP), are touted as environmentally safe, because they are insoluble in water but soluble in organic acids exuded from crop roots. The objective of this study was to assess fate and transport of P from diammonium phosphate (DAP), CG, and CGP through two loam soils with a significant difference in their initial P content. Two loamy soils, one collected from an experimental field receiving fertilizer continuously since 1985 and one from an adjacent area receiving no fertilizer, and a pure sand control were packed in 5 cm diameter and 5 cm long columns. Several grains equivalent to approximately 80 mg P from each fertilizer were imbedded at the bottom of the column. Distilled water was passed through the soil columns from the bottom at a relatively constant rate, and the outflow was collected every two hours using a fraction collector. Outflow samples from each treatment combination were analyzed for P by the colorimetric method, and the amount of P retained by the soils along the column at the end of the water application was determined by the nitric acid digestion method. Approximately 91% of P in DAP, 34% in CG, and only 3.8% in CGP was transported through the sand column. In contrast, the amounts of P transported were approximately 42.2% for DAP, 6.4% for CG, and 0.4% for CGP through the high-P soil and 22.4% for DAP, 0.6% for CG, and almost zero for CGP through the low-P soil. Overall, the results show a high solubility and transport for DAP, very low transport for CGP, and somewhat low to medium transport for CG fertilizers. In addition, the results show that even the high-P soil that has received fertilizer for about 40 years has the capacity to fix significant amounts of P. Full article
(This article belongs to the Special Issue Conventional and Alternative Fertilization of Crops)
Show Figures

Figure 1

14 pages, 845 KB  
Article
Observations with Soil Surfactant Applications to Amenity Turfgrass During Higher-than-Normal Precipitation Conditions
by John Dempsey, Michael Fidanza and Stanley Kostka
Grasses 2025, 4(4), 42; https://doi.org/10.3390/grasses4040042 - 15 Oct 2025
Viewed by 160
Abstract
Soil surfactants are essential tools for enhancing irrigation water efficiency and improving the quality and functionality of amenity turfgrass. They play a crucial role in sports turf management by reducing soil water repellency, which helps prevent dry spots, ensures even moisture distribution, and [...] Read more.
Soil surfactants are essential tools for enhancing irrigation water efficiency and improving the quality and functionality of amenity turfgrass. They play a crucial role in sports turf management by reducing soil water repellency, which helps prevent dry spots, ensures even moisture distribution, and supports water conservation efforts. Most research on soil surfactants and amenity turfgrasses focuses on their effects on soil moisture, infiltration, and addressing localized dry spots during drought conditions, with limited studies on their impact under wet or saturated conditions. This study aimed to evaluate the impact of soil surfactants on the quality and health of turfgrass under wet conditions. Field studies were conducted over a span of five years, beginning in the USA in 2019 and continuing in Ireland from 2020 to 2023. The research in Ireland was conducted at three locations, each featuring different rootzones: a “push-up” green with loam soil, USGA-specification sand, and natural link sand. The site in the USA was a native loam soil. The study compared a commercial soil surfactant (ProWet Evolve; PWE) and a non-treated control (NT) in a randomized complete block design with four replications, with sequential applications starting in June and continuing until mid-September each year. The rootzone volumetric water content (VWC%), turfgrass quality, and normalized difference vegetation index (NDVI) were measured bi-weekly. Environmental conditions, with above-average precipitation each year, significantly influenced results. Although there were no significant or consistent differences in VWC% between the soil surfactant and NT-treated plots, turfgrass quality was significantly enhanced in the soil surfactant-treated plots and supported by higher NDVI values. Even in prolonged wet conditions with high VWC%, improved turfgrass quality was consistently observed in soil surfactant-treated plots across multiple locations in both countries over the five-year study period. Full article
Show Figures

Figure 1

16 pages, 1984 KB  
Article
Development and Evaluation of a Slow-Release Occluded Fertilizer Employing Functionalized Biosolids as a Support Matrix
by Rodrigo Ramírez Palacios, Nora Restrepo-Sánchez, Rosember Ramirez, Isabel Acevedo Restrepo and Carlos Peláez Jaramillo
Plants 2025, 14(20), 3154; https://doi.org/10.3390/plants14203154 - 13 Oct 2025
Viewed by 216
Abstract
In this study, a slow-release fertilizer (SRF) was obtained by occluding NPK 10–10–10 into two matrices and compared with the uncoated mineral fertilizer (F). The first matrix, FOMI, used biosolids/paper sludge at 3:1 (w/w); the second, FOMII, used biosolids/clay [...] Read more.
In this study, a slow-release fertilizer (SRF) was obtained by occluding NPK 10–10–10 into two matrices and compared with the uncoated mineral fertilizer (F). The first matrix, FOMI, used biosolids/paper sludge at 3:1 (w/w); the second, FOMII, used biosolids/clay at 1:1 (w/w). Materials and pellets were physiochemically and microbiologically characterized. Release kinetics were evaluated in water and in soil columns packed with acid-washed sand; matrix-only controls and sand blanks confirmed negligible background N, P, and K. The uncoated mineral fertilizer (F) showed a rapid burst, whereas occlusion slowed release. FOMII reduced release relative to F, and FOMI produced the slowest, controlled profiles: kinetic fits yielded lower k values for FOMI than for FOMII and F. FOMI also exhibited higher water-retention capacity (WRC) and cation-exchange capacity (CEC), consistent with its greater organic-matter content. In soil, FOMI released less than 15% at 48 h and no more than 75% at 30 d, meeting European Committee for Standardization (CEN) SRF criteria; FOMII released faster than FOMI but slower than F, which exceeded 90% within the test period. Therefore, FOMI is a biodegradable, low-cost SRF that improves fertilizer-use efficiency while returning organic matter to agricultural soils; FOMII shows intermediate yet beneficial performance. Full article
(This article belongs to the Section Plant Nutrition)
Show Figures

Figure 1

18 pages, 3724 KB  
Article
Reservoir Characteristics of Tight Sandstone in Different Sedimentary Microfacies: A Case Study of the Triassic Chang 8 Member in Longdong Area, Ordos Basin
by Jianchao Shi, Likun Cao, Baishun Shi, Shuting Shi, Xinjiu Rao, Xinju Liu, Wangyikun Fan, Sisi Chen and Hongyan Yu
Processes 2025, 13(10), 3246; https://doi.org/10.3390/pr13103246 - 12 Oct 2025
Viewed by 260
Abstract
The complexity of tight sandstone reservoirs challenges effective oil and gas exploration. The Chang 8 Member of the Yanchang Formation in the Longdong area of the Ordos Basin has significant exploration potential. However, its reservoir characteristics are controlled by two distinct provenance systems [...] Read more.
The complexity of tight sandstone reservoirs challenges effective oil and gas exploration. The Chang 8 Member of the Yanchang Formation in the Longdong area of the Ordos Basin has significant exploration potential. However, its reservoir characteristics are controlled by two distinct provenance systems and diverse sedimentary microfacies. The specific impacts of these factors on reservoir quality and their relative importance have remained unclear. This study employs an integrated analytical approach combining casting thin sections, conventional porosity-permeability measurements, and Nuclear Magnetic Resonance (NMR) to systematically investigate the petrological characteristics, pore structure, and physical properties of the Chang 8 reservoirs. Our findings reveal that the entire section of Chang 8 is a delta front subfacies, with sub sections of Chang 81 and 82 developing microfacies such as underwater distributary channels, underwater natural levees, sheet sand and mouth bars. The tight sandstone reservoir is mainly composed of lithic arkose and feldspathic litharenite, with its porosity dominated by dissolution and intergranular types. These secondary pores, particularly those resulting from feldspar dissolution, are of great importance. The underwater distributary channels have the best pores, followed by sheet sands, and underwater natural levees the worst. Compaction in Chang 82 is stronger than in Chang 81, leading to smaller pores. The northwest provenance is characterized by high clay content and small pores, while the southwest provenance has coarser grain size and better-preserved intergranular pores. Reservoir properties improve toward the lake but deteriorate at the lake-proximal end due to more small pores. This study reveals the control laws of sedimentary microfacies, provenance, and diagenesis on the pore development of tight sandstone in the Longdong area, providing theoretical guidance for the exploration and development of tight sandstone oil and gas in the region. Full article
(This article belongs to the Section Energy Systems)
Show Figures

Figure 1

17 pages, 3272 KB  
Article
Assessing the Kynurenine–Tryptophan Ratio (KTR) and CYP1 Activity in Longnose (Catostomus catostomus) and White Suckers (Catostomus commersonii) Exposed to Petroleum-Derived Contaminants from the Alberta Oil Sands Region
by Laiba Jamshed, Amrita Debnath, Amica Marie-Lucas, Thane Tomy, Gregg T. Tomy, Tim J. Arciszewski, Mark E. McMaster and Alison C. Holloway
Toxics 2025, 13(10), 862; https://doi.org/10.3390/toxics13100862 - 11 Oct 2025
Viewed by 291
Abstract
In the Alberta Oil Sands Region (AOSR), environmental stressors linked to oil sands industrial activity may have significant and species-specific impacts on local wildlife. This study evaluated the kynurenine–tryptophan ratio (KTR) as a potential biomarker for environmental exposure in longnose suckers (Catostomus [...] Read more.
In the Alberta Oil Sands Region (AOSR), environmental stressors linked to oil sands industrial activity may have significant and species-specific impacts on local wildlife. This study evaluated the kynurenine–tryptophan ratio (KTR) as a potential biomarker for environmental exposure in longnose suckers (Catostomus catostomus) and white suckers (Catostomus commersonii) collected from various locations within the AOSR. The relationship between KTR and CYP1 enzyme activity (ethoxyresorufin-O-deethylase; EROD) was assessed alongside biometric indices, including gonadosomatic index (GSI), hepatic somatic index (HSI), and fat content. Both species exhibited increased EROD activity when exposed to oil sands natural deposits and potential industrial activity, indicating significant polycyclic aromatic compound (PAC) exposure. However, KTR changes were species-dependent: longnose suckers showed an inversely proportional relationship between KTR and EROD, while white suckers displayed a directly proportional correlation. Longnose suckers downstream of both municipal waste and industrial activity exhibited significant increases in GSI and fat content, with KTR varying more consistently by location rather than sex, suggesting that KTR may be a more reliable marker for location-based exposure. Species-specific differences in KTR and EROD relationships may be influenced by the distinct environmental requirements of each species, and their differing sensitivities to environmental conditions, including temperature, turbidity and flow conditions, during sampling periods. These findings illustrate the complexity of interpreting environmental biomarkers in wildlife and emphasize the need to consider ecological requirements and environmental conditions. Further research is necessary to validate this biomarker across different years and conditions and enhance its application in environmental monitoring and conservation efforts. Full article
(This article belongs to the Special Issue Fish Physiological Responses to Environmental Stressors)
Show Figures

Graphical abstract

27 pages, 8701 KB  
Article
Monotonic Behaviour and Physical Characteristics of Silty Sands with Kaolinite Clay
by Davor Marušić and Vedran Jagodnik
Geotechnics 2025, 5(4), 70; https://doi.org/10.3390/geotechnics5040070 - 9 Oct 2025
Viewed by 152
Abstract
This study investigates the behaviour of dense silty sands with kaolinite clay under static drained/undrained conditions at low confining stress. Conventional laboratory tests assessed the mixtures’ physical properties, but standard void ratio methods proved inadequate for silty sands with kaolinite. Despite targeting 80% [...] Read more.
This study investigates the behaviour of dense silty sands with kaolinite clay under static drained/undrained conditions at low confining stress. Conventional laboratory tests assessed the mixtures’ physical properties, but standard void ratio methods proved inadequate for silty sands with kaolinite. Despite targeting 80% relative density, specimens exhibited loose sand behaviour in both drained and undrained tests. With increasing kaolinite content, conventionally reconstituted mixtures exhibit reduced peak stress ratios up to 10% fines, with little change beyond, while critical ratios generally rise at 25 kPa but remain unchanged or decrease slightly at 50 kPa. Analytical redefinition of minimum/maximum void ratios (based on sand–clay volumetric fractions) improved specimen reconstitution, yielding dense behaviour matching that of the host sand. The alternatively reconstituted mixtures display increasing drained peaks and minor changes in undrained peaks with increasing kaolinite content, with critical ratios increasing markedly at 25 kPa and only slightly at 50 kPa. However, this analytical void ratio determination method is limited to non-expansive, low-plasticity clays. Void ratios in silty sands with clay mineras are influenced by confining stress, drainage, saturation, clay content, and the sand skeleton structure. Unlike pure sands, these mixtures exhibit variable void ratios due to changes in the clay phase under different saturation levels. A new evaluation method is needed that accounts for clay composition, saturation-dependent consistency, and initial sand skeleton configuration to characterise these soils accurately. The findings highlight the limitations of conventional approaches and stress the need for advanced frameworks to model complex soil behaviour in geotechnical applications. Full article
Show Figures

Figure 1

18 pages, 2167 KB  
Article
Turning Organic Waste into Energy and Food: Household-Scale Water–Energy–Food Systems
by Seneshaw Tsegaye, Terence Wise, Gabriel Alford, Peter R. Michael, Mewcha Amha Gebremedhin, Ankit Kumar Singh, Thomas H. Culhane, Osman Karatum and Thomas M. Missimer
Sustainability 2025, 17(19), 8942; https://doi.org/10.3390/su17198942 - 9 Oct 2025
Viewed by 469
Abstract
Population growth drives increasing energy demands, agricultural production, and organic waste generation. The organic waste contributes to greenhouse gas emissions and increasing landfill burdens, highlighting the need for novel closed-loop technologies that integrate water, energy, and food resources. Within the context of the [...] Read more.
Population growth drives increasing energy demands, agricultural production, and organic waste generation. The organic waste contributes to greenhouse gas emissions and increasing landfill burdens, highlighting the need for novel closed-loop technologies that integrate water, energy, and food resources. Within the context of the Water–energy–food Nexus (WEF), wastewater can be recycled for food production and food waste can be converted into clean energy, both contributing to environmental impact reduction and resource sustainability. A novel household-scale, closed-loop WEF system was designed, installed and operated to manage organic waste while retrieving water for irrigation, nutrients for plant growth, and biogas for energy generation. The system included a biodigester for energy production, a sand filter system to regulate nutrient levels in the effluent, and a hydroponic setup for growing food crops using the nutrient-rich effluent. These components are operated with a daily batch feeder coupled with automated sensors to monitor effluent flow from the biodigester, sand filter system, and the feeder to the hydroponic system. This novel system was operated continuously for two months using typical household waste composition. Controlled experimental tests were conducted weekly to measure the nutrient content of the effluent at four locations and to analyze the composition of biogas. Gas chromatography was used to analyze biogas composition, while test strips and In-Situ Aqua Troll Multi-Parameter Water Quality Sonde were employed for water quality measurements during the experimental study. Experimental results showed that the system consistently produced biogas with 76.7% (±5.2%) methane, while effluent analysis confirmed its potential as a nutrient source with average concentrations of phosphate (20 mg/L), nitrate (26 mg/L), and nitrite (5 mg/L). These nutrient values indicate suitability for hydroponic crop growth and reduced reliance on synthetic fertilizers. This novel system represents a significant step toward integrating waste management, energy production, and food cultivation at the source, in this case, the household. Full article
Show Figures

Figure 1

20 pages, 10430 KB  
Article
Modeling of Roughness Effects on Generic Gas Turbine Swirler via a Detached Eddy Simulation Low-y+ Approach
by Robin Vivoli, Daniel Pugh, Burak Goktepe and Philip J. Bowen
Energies 2025, 18(19), 5240; https://doi.org/10.3390/en18195240 - 2 Oct 2025
Viewed by 292
Abstract
The use of additive manufacturing (AM) has seen increased utilization over the last decade, thanks to well-documented advantages such as lower startup costs, reduced wastage, and the ability to rapidly prototype. The poor surface finish of unprocessed AM components is one of the [...] Read more.
The use of additive manufacturing (AM) has seen increased utilization over the last decade, thanks to well-documented advantages such as lower startup costs, reduced wastage, and the ability to rapidly prototype. The poor surface finish of unprocessed AM components is one of the major drawbacks of this technology, with the research literature suggesting a measurable impact on flow characteristics and burner operability. For instance, surface roughness has been shown to potentially increase resistance to boundary layer flashback—an area of high concern, particularly when utilizing fuels with high hydrogen content. A more detailed understanding of the underlying thermophysical mechanisms is, therefore, required. Computational fluid dynamics can help elucidate the impact of these roughness effects by enabling detailed data interrogation in locations not easily accessible experimentally. In this study, roughness effects on a generic gas turbine swirler were numerically modeled using a low-y+ detached eddy simulation (DES) approach. Three DES models were investigated utilizing a smooth reference case and two rough cases, the latter employing a literature-based and novel equivalent sand-grain roughness (ks) correlation developed for this work. Existing experimental isothermal and CH4 data were used to validate the numerical simulations. Detailed investigations into the effects of roughness on flow characteristics, such as swirl number and recirculation zone position, were subsequently performed. The results show that literature-based ks correlations are unsuitable for the current application. The novel correlation yields more promising outcomes, though its effectiveness depends on the chosen turbulence model. Moreover, it was demonstrated that, for identical ks values, while trends remained consistent, the extent to which they manifested differed under reacting and isothermal conditions. Full article
(This article belongs to the Special Issue Science and Technology of Combustion for Clean Energy)
Show Figures

Figure 1

21 pages, 3445 KB  
Article
Optimization of the Borehole Wall Protection Slurry Ratio and Film-Forming Mechanism in Water-Rich Sandy Strata
by Xiaodong Liu, Meng Li, Peiyue Qiu, Liyun Tang, Zhenghong Liu and Fusheng Zhang
Eng 2025, 6(10), 251; https://doi.org/10.3390/eng6100251 - 1 Oct 2025
Viewed by 237
Abstract
Conventional slurry wall protection exhibits reduced film performance upon exposure to water in saturated sand layers with high permeability, frequently resulting in hole wall instability. Optimizing the slurry ratio to enhance film performance is thus critical for borehole stability. A multiple regression model [...] Read more.
Conventional slurry wall protection exhibits reduced film performance upon exposure to water in saturated sand layers with high permeability, frequently resulting in hole wall instability. Optimizing the slurry ratio to enhance film performance is thus critical for borehole stability. A multiple regression model was developed to determine the optimal slurry ratio for saturated sand. Slurry permeability tests assessed filtration loss, film formation time, and film morphology changes. Scanning electron microscopy (SEM) further elucidated the film formation mechanism. Bentonite, clay, Na2CO3, and sodium carboxymethyl cellulose (CMC) significantly affected the slurry’s properties: specific gravity and sand content increased with bentonite/clay; viscosity increased with CMC; and pH increased with Na2CO3. The optimized slurry (water–bentonite–Na2CO3–clay–CMC = 1000:220:32:110:1; specific gravity, 1.20 g/cm3; viscosity, 29 s) demonstrated low filtration loss and stable film morphology. SEM revealed that simultaneous CMC and clay addition (ratio of 1:110) improved film surface flatness, reduced porosity and pore size, enhanced formation surface filling, and produced a denser film. The optimized slurry ratio significantly enhanced film performance in saturated sand layers. The findings provide a theoretical and engineering framework for bored pile wall protection slurry design and film formation mechanisms. Full article
(This article belongs to the Section Chemical, Civil and Environmental Engineering)
Show Figures

Figure 1

19 pages, 25806 KB  
Article
Optimizing the Y Content of Welding Wire for TIG Welding of Sand-Cast Mg-Y-RE-Zr Alloy
by Yikai Gong, Guangling Wei, Xin Tong, Guonan Liu, Yingxin Wang and Wenjiang Ding
Materials 2025, 18(19), 4549; https://doi.org/10.3390/ma18194549 - 30 Sep 2025
Viewed by 296
Abstract
The widespread application of WE43 (Mg-4Y-2Nd-1Gd-0.5Zr) alloy castings in aerospace components is hindered by the frequent formation of defects such as cracks, pores, and especially yttria inclusions. These defects necessitate subsequent welding. However, using homologous WE43 filler wires often exacerbates these issues, leading [...] Read more.
The widespread application of WE43 (Mg-4Y-2Nd-1Gd-0.5Zr) alloy castings in aerospace components is hindered by the frequent formation of defects such as cracks, pores, and especially yttria inclusions. These defects necessitate subsequent welding. However, using homologous WE43 filler wires often exacerbates these issues, leading to high crack susceptibility and reintroduction of inclusions. Herein, we propose a novel strategy of tailoring Y content in filler wires to achieve high-quality welded joint of WE43 sand castings. Systematic investigations reveal that reducing Y content to 2 wt.% (WE23) effectively suppresses oxide inclusion formation and significantly enhances the integrity of the joint. The fusion zone microstructure evolves distinctly with varying Y levels: grain size initially increases, peaking at 24 μm with WE43 wire, then decreases with further Y addition. Moreover, eutectic compounds transition from a semi-continuous to a continuous network structure with increasing Y content, deteriorating mechanical performance. Notably, joints welded with WE23 filler exhibit minimal performance loss, with ultimate tensile strength, yield strength, and elongation reaching 93.0%, 98.0%, and 97.4% of the sand-cast base metal, respectively. The underlying strengthening mechanisms and solute-second phase relationships are elucidated, highlighting the efficacy of optimizing Y content in welding wire design. This study provides valuable insights toward defect-free welding of high-performance Mg-RE alloy castings. Full article
Show Figures

Figure 1

22 pages, 4578 KB  
Article
Effects of Plastic Film and Gravel-Sand Mulching on Soil Moisture and Yield of Wolfberry Under Ridge-Furrow Planting in an Arid Desert Region of China’s Loess Plateau
by Xiaojuan Ma, Zhi Wang, Bo Ma, Luyao Zhang, Juncang Tian and Jinyu He
Agronomy 2025, 15(10), 2312; https://doi.org/10.3390/agronomy15102312 - 30 Sep 2025
Viewed by 536
Abstract
In arid areas, the combined use of plastic sheeting under gravel-sand mulch on ridge-furrow planting systems is an emerging practice to minimize soil water evaporation and micro-plastic pollution. In this study, we conducted a two-year field experiment near Gobi-Tengger Desert in Ningxia, China, [...] Read more.
In arid areas, the combined use of plastic sheeting under gravel-sand mulch on ridge-furrow planting systems is an emerging practice to minimize soil water evaporation and micro-plastic pollution. In this study, we conducted a two-year field experiment near Gobi-Tengger Desert in Ningxia, China, to evaluate the effects of a plastic film underneath a layer of pure sand (MS1), pure gravel (MS2) and mixed gravel-and-sand (MS3) mulch on the soil hydrothermal properties, water use efficiency, yield, and fruit quality of wolfberry, compared to bare soil (CK). The results showed that mulching significantly increased soil temperature and water content in the 0–20 cm surface layer, though the effects varied with soil depth and water availability between a supplemental irrigated year (2022) and a rain-fed year (2023). Mulching markedly altered soil water dynamics, enhancing the capture and retention of light-to-heavy rainfall events. Consequently, all mulches significantly increased seasonal water consumption (ET) and water use efficiency (WUE) compared to CK. The MS1 treatment consistently achieved the highest yield and WUE, and the highest accumulation of beneficial fruit compounds like polysaccharides and flavonoids. However, this treatment also resulted in elevated soil salinity. Our findings demonstrate that combined mulching, especially MS1, is a highly effective strategy for optimizing soil conditions, water productivity, and fruit quality in wolfberry cultivation, although long-term salinity management requires attention. Full article
(This article belongs to the Section Agroecology Innovation: Achieving System Resilience)
Show Figures

Figure 1

Back to TopTop