Reservoir Characteristics of Tight Sandstone in Different Sedimentary Microfacies: A Case Study of the Triassic Chang 8 Member in Longdong Area, Ordos Basin
Abstract
1. Introduction
2. Geological Setting
3. Materials and Methodology
3.1. Sampling and Petrophysical Properties
3.2. Nuclear Magnetic Resonance (NMR) Experiment
3.3. Petrological and Mineralogical Analysis
4. Results and Discussion
4.1. Depositional Facies
- Underwater distributary channels, composed of gray to dark-gray, medium- to fine-grained sandstones with massive bedding and frequent scour surfaces, which represent high-energy depositional conditions under strong traction currents. It exhibits a characteristic box-shaped gamma-ray (GR) log response (typically 65–90 API).
- Underwater natural levees consist of interbedded gray sandstones, siltstones, and gray-black mudstones, deposited under lower-energy conditions. It shows a bell-shaped GR response (typically 85–110 API). These deposits are characterized by limited thickness and restricted lateral continuity.
- Mouth bars composed mainly of fine-grained sandstones and siltstones, displaying a distinct coarsening-upward succession indicative of progradation and shallowing water depth. Typically reflected by a funnel-shaped GR log response (typically 70–100 API).
- Sheet sands formed by alternating sandstones, siltstones, and mudstones under low-energy, stable conditions. Represented by finger-like (or serrated) GR log signatures (typically 95–130 API).
4.2. Petrological Characteristics
4.3. Physical Properties
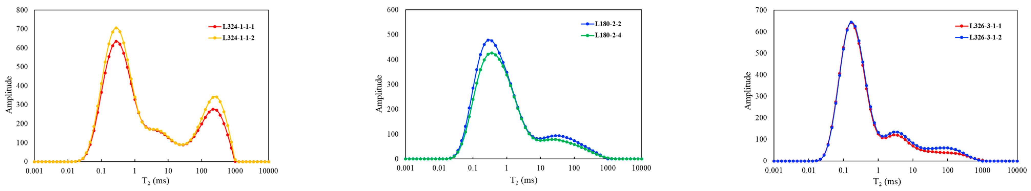
4.4. Pore Structures Characterization Under Different Microfacies
5. Conclusions
Author Contributions
Funding
Data Availability Statement
Conflicts of Interest
References
- Hu, C.; Lin, Z.; Li, X.; Quaye, J.; Fu, Z. Tight sandstone reservoirs in lacustrine environments: Review and perspectives. Int. Geol. Rev. 2025, 67, 2236–2263. [Google Scholar] [CrossRef]
- Ghanizadeh, A.; Clakson, C.; Aquino, S.; Ardakani, O.; Sanei, H. Petrophysical and geomechanical characteristics of Canadian tight oil and liquid-rich gas reservoirs: I. Pore network and permeability characterization. Fuel 2015, 153, 664–681. [Google Scholar] [CrossRef]
- Schmoker, J. Resource-assessment perspectives for unconventional gas systems. AAPG Bull. 2002, 86, 1993–1999. [Google Scholar] [CrossRef]
- Zou, C.; Zhu, R.; Liu, K.; Su, L.; Bai, B.; Zhang, X.; Yuan, X.; Wang, J. Tight gas sandstone reservoirs in China: Characteristics and recognition criteria. J. Petrol. Sci. Eng. 2012, 88–89, 82–91. [Google Scholar] [CrossRef]
- Lai, J.; Wang, G.; Ran, Y.; Zhou, Z. Predictive distribution of high-quality reservoirs of tight gas sandstones by linking diagenesis to depositional facies: Evidence from Xu-2 sandstones in the Penglai area of the central Sichuan basin, China. J. Nat. Gas Sci. Eng. 2015, 23, 97–111. [Google Scholar] [CrossRef]
- Su, S.; Jiang, Z.; Shan, X.; Zhu, Y.; Wang, P.; Luo, X.; Li, Z.; Zhu, R.; Wang, X. The wettability of shale by NMR measurements and its controlling factors. J. Petrol. Sci. Eng. 2018, 169, 309–316. [Google Scholar] [CrossRef]
- Hu, Y.; Ma, Y.; Guo, B.; Gao, Z.; He, W. Application of stratigraphic-sedimentological forward modeling of sedimentary processes to predict high-quality reservoirs within tight sandstone. Mar. Petrol. Geol. 2019, 101, 540–555. [Google Scholar] [CrossRef]
- Qiao, J.; Zeng, J.; Jiang, S.; Wang, Y. Impacts of sedimentology and diagenesis on pore structure and reservoir quality in tight oil sandstone reservoirs: Implications for macroscopic and microscopic heterogeneities. Mar. Petrol. Geol. 2020, 111, 279–300. [Google Scholar] [CrossRef]
- Liu, M.; Xiong, C. Diagenesis and reservoir quality of deep-lacustrine sandy-debris-flow tight sandstones in Upper Triassic Yanchang Formation, Ordos Basin, China: Implications for reservoir heterogeneity and hydrocarbon accumulation. J. Petrol. Sci. Eng. 2021, 202, 108548. [Google Scholar] [CrossRef]
- Yang, G.; Huang, D.; Huang, P.; Yan, W.; Yang, T.; Dai, H.; Lin, J. Control factors of high and stable production of Jurassic Da’anzhai Member tight oil in central Sichuan Basin, SW China. Petrol. Explor. Dev. 2017, 44, 866–875. [Google Scholar] [CrossRef]
- Song, P.; Shi, J.; Liu, X.; Zhou, Y.; Yang, W.; Li, S.; Zhou, S.; Yu, H. Comprehensive Evaluation Method of the Tight Oil Reservoir Quality in the Ordos Basin. Geofluids 2025, 1, 7745871. [Google Scholar] [CrossRef]
- Li, P.; Jia, C.; Jin, Z.; Liu, Q.; Zheng, M.; Huang, Z. The characteristics of movable fluid in the Triassic lacustrine tight oil reservoir: A case study of the Chang 7 member of Xin’anbian Block, Ordos Basin, China. Mar. Petrol. Geol. 2019, 102, 126–137. [Google Scholar] [CrossRef]
- Ming, D.; Chang, X.; Shang, F.; Zhang, P.; Xu, Y.; Qu, Y.; Gao, W.; Ge, T.; Zhao, H. Heterogeneity of Pore Structure in Braided River Delta Tight Sandstone Reservoirs: Implications for Tight Oil Enrichment in the Jurassic Badaowan Formation, Central Junggar Basin. Nat. Resour. Res. 2025, 34, 1743–1771. [Google Scholar] [CrossRef]
- Yao, Z.; Chen, D.; Tang, X.; Wang, Y.; Jiang, Z.; Yang, L.; Gao, Z. Pore Structure Formation Mechanism of Lacustrine Fine-Grained Sedimentary System in Fengcheng Formation, Junggar Basin, China. Energy Fuels 2025, 39, 7235–7253. [Google Scholar] [CrossRef]
- Peng, J.; Hu, Z.; Feng, D. Influence of quartz types on rock fabrics and bulk physical properties in organic-rich mudstone: A review. Earth-Sci. Rev. 2024, 249, 104670. [Google Scholar] [CrossRef]
- Wang, Z.; Zeng, L.; Chen, H.; He, F.; Liu, X. Impacts of Hydrocarbon Charging on Tight Sandstone Reservoirs: Chang 8 Member of Yanchang Formation in the Jinghe Oilfield, Southern Ordos Basin. Geol. J. 2025, 1–15. [Google Scholar] [CrossRef]
- Duan, Y.; Liu, X.; Wang, X.; Li, J.; Li, S.; Guo, R.; Chen, J.; Ma, X.; Li, X.; Zhang, S.; et al. Thermochronological Constraints on the Synchronisation of Reservoir Densification and Hydrocarbon Emplacement in the Upper Triassic Chang 8 Tight Sandstone, Ordos Basin. Geol. J. 2025, 1–36. [Google Scholar] [CrossRef]
- Zhang, K.; Li, S.; Zhong, G.; Feng, P.; Chang, C.; Li, H. Characteristics of in-situ stress field of coalbed methane reservoir in the eastern margin of Ordos basin. Int. J. Coal Geol. 2025, 301, 104715. [Google Scholar] [CrossRef]
- Liu, Q.; Jin, Z.; Liu, W.; Lu, L.; Meng, Q.; Tao, Y.; Han, P. Presence of carboxylate salts in marine carbonate strata of the Ordos Basin and their impact on hydrocarbon generation evaluation of low TOC, high maturity source rocks. Sci. China Earth Sci. 2013, 56, 2141–2149. [Google Scholar] [CrossRef]
- Feng, Z.; Dong, D.; Tian, J.; Zhou, S.; Wu, W.; Xie, C. Geochemical characteristics of the Paleozoic natural gas in the Yichuan-Huanglong area, southeastern margin of the Ordos Basin: Based on late gas generation mechanisms. Mar. Petrol. Geol. 2021, 124, 104867. [Google Scholar] [CrossRef]
- Li, S.; Yao, J.; Mou, W.; Luo, A.; Wang, Q.; Deng, X.; Chu, M.; Li, Y.; Yan, C. The dissolution characteristics of the Chang 8 tight reservoir and its quantitative influence on porosity in the Jiyuan area, Ordos Basin, China. J. Nat. Gas Geo. 2018, 3, 95–108. [Google Scholar] [CrossRef]
- Ji, L.; Yan, K.; Meng, F.; Zhao, M. The oleaginous botryococcus from the triassic Yanchang formationin Ordos Basin, Northwestern China: Morphology and its paleo environmental significance. J. Asian Earth Sci. 2010, 38, 175–185. [Google Scholar] [CrossRef]
- Shang, T.; Chu, M.; Zhang, X.; Wang, B.; Li, J.; Zhang, H.; Zhang, Z.; Liu, X. Quantitative analysis of pore evolution and its application in basin simulation: A case study of Chang 6 reservoir in Heshui area, Ordos Basin, NW China. Energy Geosci. 2025, 6, 100403. [Google Scholar] [CrossRef]
- Zhang, Q.; Yang, C.; Gu, Y.; Tian, Y.; Liu, H.; Xiao, W.; Wang, Z.; Mi, Z. Microscopic pore-throat structure and fluid mobility of tight sandstone reservoirs in multi-provenance systems, Triassic Yanchang formation, Jiyuan area, Ordos Basin. Energy Geosci. 2025, 6, 100407. [Google Scholar] [CrossRef]
- Wang, W.; Yue, D.; Zhao, J.; Li, W.; Wang, B.; Wu, S.; Li, S. Diagenetic alteration and its control on reservoir quality of tight sandstones in lacustrine deep-water gravity-flow deposits: A case study of the Yanchang Formation, southern Ordos Basin, China. Mar. Petrol. Geol. 2019, 110, 676–694. [Google Scholar] [CrossRef]
- Li, P.; Shen, B.; Liu, Y.; Bi, H.; Liu, Z.; Bian, R.; Wang, P.; Li, P. The fractal characteristics of the pore throat structure of tight sandstone and its influence on oil content: A case study of the Chang 7 Member of the Ordos Basin, China. Petrol. Sci. 2025, 22, 2262–2273. [Google Scholar] [CrossRef]
- Gao, J.; Jin, Z.; Liang, X. Lacustrine organic carbon sequestration driven by volcanism: A case study of the third submember of the Chang 7 Member of the Yanchang Formation in the Ordos Basin. Petrol. Sci. 2025, 22, 3497–3511. [Google Scholar] [CrossRef]
- Hou, X.; Hou, M.; Feng, Q.; Xiao, Y.; Lei, Z.; Lai, L.; Li, S.; Tian, H. High-resolution sequence stratigraphic framework and target sand bodies correlation of tight oil reservoirs in the Upper Triassic Yanchang Formation, Ordos Basin. Petrol. Sci. 2025, 1–15. [Google Scholar] [CrossRef]
- Wu, X.; Luo, H.; Zhang, J.; Chen, Q.; Fang, X.; Wang, W.; Li, W.; Shi, Z.; Zhang, Y. Volcanism-driven marine eutrophication in the end-Ordovician: Evidence from radiolarians and trace elements of black shale in South China. J. Asian Earth Sci. 2023, 253, 105687. [Google Scholar] [CrossRef]
- Lei, Y.; Luo, X.; Wang, X.; Zhang, L.; Jiang, C.; Yang, W.; Yu, Y.; Cheng, M.; Zhang, Y. Characteristics of silty laminae in Zhangjiatan Shale of southeastern Ordos Basin, China: Implications for shale gas formation. AAPG Bull. 2015, 99, 661–687. [Google Scholar] [CrossRef]
- Duan, Y. Geochemical characteristics of crude oil in fluvial deposits from Maling oilfield of Ordos Basin, China. Org. Geochem. 2012, 52, 35–43. [Google Scholar] [CrossRef]
- Xi, K.; Cao, Y.; Liu, K.; Wu, S.; Yuan, G.; Zhu, R.; Kashif, M.; Zhao, Y. Diagenesis of tight sandstone reservoirs in the Upper Triassic Yanchang Formation, southwestern Ordos Basin, China. Mar. Petrol. Geol. 2019, 99, 548–562. [Google Scholar] [CrossRef]
- Chen, S.; Yu, H.; Lu, M.; Lebedev, M.; Li, X.; Yang, Z.; Cheng, W.; Yuan, Y.; Ding, S.; Johnson, L. A new approach to calculate gas saturation in shale reservoirs. Energy Fuels 2022, 36, 1904–1915. [Google Scholar] [CrossRef]
- Wang, G.; Chang, X.; Yin, W.; Li, Y.; Song, T. Impact of diagenesis on reservoir quality and heterogeneity of the Upper Triassic Chang 8 tight oil sandstones in the Zhenjing area, Ordos Basin, China. Mar. Petrol. Geol. 2017, 83, 84–96. [Google Scholar] [CrossRef]
- Liu, H.; Yang, Y.; Wang, F.; Deng, X.; Liu, Y.; Nan, J.; Wang, J.; Zhang, H. Micro pore and throat characteristics and origin of tight sandstone reservoirs: A case study of the Triassic Chang 6 and Chang 8 members in Longdong area, Ordos Basin, NW China. Petrol. Explor. Dev. 2018, 45, 239–250. [Google Scholar] [CrossRef]
- Nie, H.; Liu, Q.; Li, P.; Li, P.; Ding, J.; Sun, C.; Zhai, C.; Zhao, J.; Jin, Z.; Dang, W. Quartz types, formation mechanism, and its effect on shale oil and gas enrichment: A review. Earth-Sci. Rev. 2025, 261, 105011. [Google Scholar] [CrossRef]
- Acuna-Uribe, M.; Lowe, D.; Azmy, K. Carbonate cement genesis and links to siliciclastic environments of deposition: Hibernia Formation, Jeanne d’Arc basin, offshore Newfoundland. Mar. Petrol. Geol. 2025, 177, 107379. [Google Scholar] [CrossRef]
- Luo, T.; Guo, X.; He, Z.; Tao, Z.; Yun, N.; Huang, Y.; Wang, F.; Zhao, J. Natural gas accumulation and modification in the Precambrian carbonate reservoirs of the southwestern Sichuan Basin, China: Insight from pore fluid overpressure reconstruction and simulation. J. Asian Earth Sci. 2025, 280, 106451. [Google Scholar] [CrossRef]
- Wang, Y.; Liu, L.; Li, S.; Ji, H.; Xu, Z.; Luo, Z.; Xu, T.; Li, L. The forming mechanism and process of tight oil sand reservoirs: A case study of Chang 8 oil layers of the Upper Triassic Yanchang Formation in the western Jiyuan area of the Ordos Basin, China. J. Petrol. Sci. Eng. 2017, 158, 29–46. [Google Scholar] [CrossRef]
- Li, M.; Guo, Y.; Li, Z.; Wang, H. The diagenetic controls of the reservoir heterogeneity in the tight sand gas reservoirs of the Zizhou Area in China’s east Ordos Basin: Implications for reservoir quality predictions. Mar. Petrol. Geol. 2020, 112, 104088. [Google Scholar] [CrossRef]
- Wang, S.; Shan, X.; Yang, Q.; Wang, P.; He, W.; Xiao, M.; Liu, C.; Ma, X. Tight gas accumulation in middle to deep successions of fault depression slopes: Northern slope of the Lishu Depression, Songliao Basin. Mar. Petrol. Geol. 2025, 174, 107302. [Google Scholar] [CrossRef]








| Microfacies | Lithology | GR Shape | GR (API) | Typical Thickness (m) |
|---|---|---|---|---|
| Underwater Distributary Channel | Medium- to fine-grained sandstone | Box-shaped | 65–90 | 5–12 |
| Underwater Natural Levee | Interbedded sandstone, siltstone and mudstone | Bell-shaped | 85–110 | 2–5 |
| Mouth Bar | Fine-grained sandstone and siltstone | Funnel-shaped | 70–100 | 3–8 |
| Sheet Sand | Argillaceous sandstone/silty mudstone | Finger-like | 95–130 | 1–4 |
Disclaimer/Publisher’s Note: The statements, opinions and data contained in all publications are solely those of the individual author(s) and contributor(s) and not of MDPI and/or the editor(s). MDPI and/or the editor(s) disclaim responsibility for any injury to people or property resulting from any ideas, methods, instructions or products referred to in the content. |
© 2025 by the authors. Licensee MDPI, Basel, Switzerland. This article is an open access article distributed under the terms and conditions of the Creative Commons Attribution (CC BY) license (https://creativecommons.org/licenses/by/4.0/).
Share and Cite
Shi, J.; Cao, L.; Shi, B.; Shi, S.; Rao, X.; Liu, X.; Fan, W.; Chen, S.; Yu, H. Reservoir Characteristics of Tight Sandstone in Different Sedimentary Microfacies: A Case Study of the Triassic Chang 8 Member in Longdong Area, Ordos Basin. Processes 2025, 13, 3246. https://doi.org/10.3390/pr13103246
Shi J, Cao L, Shi B, Shi S, Rao X, Liu X, Fan W, Chen S, Yu H. Reservoir Characteristics of Tight Sandstone in Different Sedimentary Microfacies: A Case Study of the Triassic Chang 8 Member in Longdong Area, Ordos Basin. Processes. 2025; 13(10):3246. https://doi.org/10.3390/pr13103246
Chicago/Turabian StyleShi, Jianchao, Likun Cao, Baishun Shi, Shuting Shi, Xinjiu Rao, Xinju Liu, Wangyikun Fan, Sisi Chen, and Hongyan Yu. 2025. "Reservoir Characteristics of Tight Sandstone in Different Sedimentary Microfacies: A Case Study of the Triassic Chang 8 Member in Longdong Area, Ordos Basin" Processes 13, no. 10: 3246. https://doi.org/10.3390/pr13103246
APA StyleShi, J., Cao, L., Shi, B., Shi, S., Rao, X., Liu, X., Fan, W., Chen, S., & Yu, H. (2025). Reservoir Characteristics of Tight Sandstone in Different Sedimentary Microfacies: A Case Study of the Triassic Chang 8 Member in Longdong Area, Ordos Basin. Processes, 13(10), 3246. https://doi.org/10.3390/pr13103246

