Sign in to use this feature.

Years

Between: -

Subjects

remove_circle_outline
remove_circle_outline
remove_circle_outline
remove_circle_outline
remove_circle_outline
remove_circle_outline
remove_circle_outline
remove_circle_outline
remove_circle_outline

Journals

Article Types

Countries / Regions

remove_circle_outline
remove_circle_outline
remove_circle_outline
remove_circle_outline
remove_circle_outline

Search Results (597)

Search Parameters:
Keywords = runoff yield

Order results
Result details
Results per page
Select all
Export citation of selected articles as:
25 pages, 7021 KB  
Article
Decadal Runoff Variability Under Moderate and Extreme Climate Scenarios: A SWAT Modeling Study for a Postglacial Lowland Catchment (NW Poland)
by Mikołaj Majewski, Witold Bochenek and Joanna Gudowicz
Water 2026, 18(3), 419; https://doi.org/10.3390/w18030419 - 5 Feb 2026
Abstract
The study investigates the projected impact of climate change on water runoff in the upper Parsęta catchment, a postglacial lowland basin located in northwestern Poland. In the first step of the analysis, hydrological simulations for the period 2005–2022 were conducted using the Soil [...] Read more.
The study investigates the projected impact of climate change on water runoff in the upper Parsęta catchment, a postglacial lowland basin located in northwestern Poland. In the first step of the analysis, hydrological simulations for the period 2005–2022 were conducted using the Soil and Water Assessment Tool (SWAT). Model calibration and validation, performed in SWAT-CUP with the SUFI2 algorithm, yielded satisfactory performance (R2 = 0.66–0.80; PBIAS = 0.43–13.87). Based on the calibrated model, projected simulations were performed for three future decades (2021–2030, 2031–2040, and 2041–2050) under two Representative Concentration Pathways (RCP4.5 and RCP8.5). Climate input data were derived from the KLIMADA 2.0 national database, which was developed using down-scaled regional climate model output from the EURO-CORDEX ensemble and statistical bias-correction methods to generate high-resolution projections. Under RCP4.5, mean annual runoff increased by approximately 13–26%, while under RCP8.5, the changes were more variable, ranging from 2% to 28% relative to the 2011–2020 baseline. Seasonal analyses revealed enhanced autumn–winter runoff and lower spring–summer flows. The findings highlight that moderate climate forcing can lead to substantial alterations in hydrological regimes in postglacial lowland catchments, in certain decades comparable in magnitude to those projected under extreme forcing, underscoring the need for adaptive water management in northern Poland. Full article
(This article belongs to the Section Water and Climate Change)
Show Figures

Figure 1

35 pages, 7867 KB  
Article
Inter-Comparison of Deep Learning Models for Flood Forecasting in Ethiopia’s Upper Awash Basin
by Girma Moges Mengistu, Addisu G. Semie, Gulilat T. Diro, Natei Ermias Benti, Emiola O. Gbobaniyi and Yonas Mersha
Water 2026, 18(3), 397; https://doi.org/10.3390/w18030397 - 3 Feb 2026
Abstract
Flood events driven by climate variability and change pose significant risks for socio-economic activities in the Awash Basin, necessitating advanced forecasting tools. This study benchmarks five deep learning (DL) architectures, Convolutional Neural Network (CNN), Long Short-Term Memory (LSTM), Gated Recurrent Unit (GRU), Bidirectional [...] Read more.
Flood events driven by climate variability and change pose significant risks for socio-economic activities in the Awash Basin, necessitating advanced forecasting tools. This study benchmarks five deep learning (DL) architectures, Convolutional Neural Network (CNN), Long Short-Term Memory (LSTM), Gated Recurrent Unit (GRU), Bidirectional LSTM (BiLSTM), and a Hybrid CNN–LSTM, for daily discharge forecasting for the Hombole catchment in the Upper Awash Basin (UAB) using 40 years of hydrometeorological observations (1981–2020). Rainfall, lagged discharge, and seasonal indicators were used as predictors. Model performance was evaluated against two baseline approaches, a conceptual HBV rainfall–runoff model as well as a climatology, using standard and hydrological metrics. Of the two baselines (climatology and HBV), the climatology showed limited skill with large bias and negative NSE, whereas the HBV model achieved moderate skill (NSE = 0.64 and KGE = 0.82). In contrast, all DL models substantially improved predictive performance, achieving test NSE values above 0.83 and low overall bias. Among them, the Hybrid CNN–LSTM provided the most balanced performance, combining local temporal feature extraction with long-term memory and yielding stable efficiency (NSE ≈ 0.84, KGE ≈ 0.90, and PBIAS ≈ −2%) across flow regimes. The LSTM and GRU models performed comparably, offering strong temporal learning and robust daily predictions, while BiLSTM improved flood timing through bidirectional sequence modeling. The CNN captured short-term variability effectively but showed weaker representation of extreme peaks. Analysis of peak-flow metrics revealed systematic underestimation of extreme discharge magnitudes across all models. However, a post-processing flow-regime classification based on discharge quantiles demonstrated high extreme-event detection skill, with deep learning models exceeding 89% accuracy in identifying extreme-flow occurrences on the test set. These findings indicate that, while magnitude errors remain for rare floods, DL models reliably discriminate flood regimes relevant for early warning. Overall, the results show that deep learning models provide clear improvements over climatology and conceptual baselines for daily streamflow forecasting in the UAB, while highlighting remaining challenges in peak-flow magnitude prediction. The study indicates promising results for the integration of deep learning methods into flood early-warning workflows; however, these results could be further improved by adopting a probabilistic forecasting framework that accounts for model uncertainty. Full article
(This article belongs to the Section Hydrology)
Show Figures

Figure 1

28 pages, 10120 KB  
Article
Change in the Intensity of Soil Erosion via Water in the Vistula River Basin in Future Climate: A Comparison of the RCP 4.5 and RCP 8.5 Scenarios (2021–2050) Using the MUSLE Model
by Damian Badora, Rafał Wawer, Aleksandra Król-Badziak, Beata Bartosiewicz and Jerzy Kozyra
Water 2026, 18(3), 391; https://doi.org/10.3390/w18030391 - 3 Feb 2026
Viewed by 36
Abstract
This study aims to assess how climate change will affect the intensity of soil erosion in the Vistula River basin by the mid-21st century. A simulation framework based on the SWAT–MUSLE model was applied, calibrated, and validated against observed streamflow data and driven [...] Read more.
This study aims to assess how climate change will affect the intensity of soil erosion in the Vistula River basin by the mid-21st century. A simulation framework based on the SWAT–MUSLE model was applied, calibrated, and validated against observed streamflow data and driven by climatic forcings from the EURO-CORDEX ensemble (the RACMO22E, HIRHAM5, and RCA4 models forced by EC-EARTH GCM) under the RCP 4.5 and RCP 8.5 scenarios. Simulations were conducted at a daily time step for the years 2021–2050 and compared to the reference period 2013–2018. The analysis included the decadal and seasonal aggregation of the sediment yield (SYLD, t ha−1 yr−1). The results indicate that, relative to the baseline value (~1.84 t ha−1 yr−1), the SYLD increases under both scenarios. In RCP 4.5, the rise culminates during 2031–2040 and then stabilizes in 2041–2050. Under RCP 8.5, a continuous upward trend is observed, with the highest values projected for 2041–2050, particularly for the HIRHAM5 realization. The largest relative increases occur in summer (JJA) and, in the final decade, also in autumn (SON); in the early horizon, autumn may locally exhibit declines that later shift to increases. The spread among RCM realizations remains significant and should be interpreted as an expression of projection uncertainty. The practical implications include prioritizing soil protection measures in sub-catchments with high LS factors and soils susceptible to water erosion, strengthening runoff and sediment control in summer, and planning maintenance of small-scale retention infrastructure. Study limitations arise from the inherent structure of the MUSLE model, bias correction procedures for climate data, and the representation of extreme events. Therefore, greater emphasis is placed on the direction and seasonality of changes rather than absolute numerical values. Full article
(This article belongs to the Section Water Erosion and Sediment Transport)
Show Figures

Figure 1

28 pages, 5404 KB  
Article
Multi-Source Joint Water Allocation and Route Interconnection Under Low-Flow Conditions: An IMWA-IRRS Framework for the Yellow River Water Supply Region Within Water Network Layout
by Mingzhi Yang, Xinyang Li, Keying Song, Rui Ma, Dong Wang, Jun He, Huan Jing, Xinyi Zhang and Liang Wang
Sustainability 2026, 18(3), 1541; https://doi.org/10.3390/su18031541 - 3 Feb 2026
Viewed by 42
Abstract
Under intensifying climate change and anthropogenic pressures, extreme low-flow events increasingly jeopardize water security in the Yellow River water supply region. This study develops the Inter-basin Multi-source Water Joint Allocation and Interconnected Routes Regulation System (IMWA-IRRS) to optimize spatiotemporal allocation of multi-source water [...] Read more.
Under intensifying climate change and anthropogenic pressures, extreme low-flow events increasingly jeopardize water security in the Yellow River water supply region. This study develops the Inter-basin Multi-source Water Joint Allocation and Interconnected Routes Regulation System (IMWA-IRRS) to optimize spatiotemporal allocation of multi-source water and simulate topological relationships in complex water networks. The model integrates system dynamics simulation with multi-objective optimization, validated through multi-criteria calibration using three performance indicators: correlation coefficient (R), Nash-Sutcliffe Efficiency (Ens), and percent bias (PBIAS). Application results demonstrated exceptional predictive performance in the study area: Monthly runoff simulations at four hydrological stations yielded R > 0.98 and Ens > 0.98 between simulated and observed data during both calibration and validation periods, with |PBIAS| < 10%; human-impacted runoff simulations at four hydrological stations achieved R > 0.8 between simulated and observed values, accompanied by PBIAS within ±10%; sectoral water consumption across the Yellow River Basin exhibited PBIAS < 5%, while source-specific water supply simulations maintained PBIAS generally within 10%. Comparative analysis revealed the IMWA-IRRS model achieves simulation performance comparable to the WEAP model for natural runoff, human-impacted runoff, water consumption, and water supply dynamics in the Yellow River Basin. The 2035 water allocation scheme for Yellow River water supply region projects total water supply of 59.691 billion m3 with an unmet water demand of 3.462 billion m3 under 75% low-flow conditions and 58.746 billion m3 with 4.407 billion m3 unmet demand under 95% low-flow conditions. Limited coverage of the South-to-North Water Diversion Project’s Middle and Eastern Routes constrains water supply security, necessitating future expansion of their service areas to leverage inter-route complementarity while implementing demand-side management strategies. Collectively, the IMWA-IRRS model provides a robust decision-support tool for refined water resources management in complex inter-basin diversion systems. Full article
(This article belongs to the Section Sustainable Water Management)
Show Figures

Figure 1

29 pages, 1239 KB  
Review
Potentially Toxic Element Contamination in Uganda’s Potable Water Sources: A Systematic Review of Concentrations, Health Risks, and Mitigation
by Gabson Baguma, Gadson Bamanya, Hannington Twinomuhwezi, Wycliffe Ampaire, Ivan Byaruhanga, Allan Gonzaga, Ronald Ntuwa and Wilber Waibale
Pollutants 2026, 6(1), 9; https://doi.org/10.3390/pollutants6010009 - 2 Feb 2026
Viewed by 131
Abstract
Contamination of drinking water by potentially toxic elements (PTEs) remains a critical public-health concern in Uganda. This systematic review compiled and harmonized quantitative concentrations (mg/L) for key PTEs, lead (Pb), cadmium (Cd), arsenic (As), chromium (Cr), mercury (Hg), copper (Cu), zinc (Zn), nickel [...] Read more.
Contamination of drinking water by potentially toxic elements (PTEs) remains a critical public-health concern in Uganda. This systematic review compiled and harmonized quantitative concentrations (mg/L) for key PTEs, lead (Pb), cadmium (Cd), arsenic (As), chromium (Cr), mercury (Hg), copper (Cu), zinc (Zn), nickel (Ni), cobalt (Co), manganese (Mn), and iron (Fe), across various potable and informal water sources used for drinking, including municipal tap water, boreholes, protected and unprotected springs, wells, rainwater, packaged drinking water, rivers, lakes, and wetlands. A comprehensive search of different databases and key institutional repositories yielded 715 records; after screening and eligibility assessment, 161 studies met the inclusion criteria, and were retained for final synthesis. Reported PTE concentrations frequently exceeded WHO and UNBS drinking water guidelines, with Pb up to 8.2 mg/L, Cd up to 1.4 mg/L, As up to 25.2 mg/L, Cr up to 148 mg/L, Fe up to 67.3 mg/L, and Mn up to 3.75 mg/L, particularly in high-risk zones such as Rwakaiha Wetland, Kasese mining affected catchments, and Kampala’s urban springs and drainage corridors. These hotspots are largely influenced by mining activities, industrial discharges, agricultural runoff, and corrosion of aging water distribution infrastructure, while natural geological conditions contribute to elevated background Fe and Mn in several regions. The review highlights associated health implications, including neurological damage, renal impairment, and cancer risks from chronic exposure, and identifies gaps in regulatory enforcement and routine monitoring. It concludes with practical recommendations, including stricter effluent control, expansion of low-cost adsorption and filtration options at household and community level, and targeted upgrades to water-treatment and distribution systems to promote safe-water access and support Uganda’s progress toward Sustainable Development Goal 6. Full article
Show Figures

Graphical abstract

23 pages, 6131 KB  
Article
Integration of Snowmelt Runoff Model (SRM) with GIS and Remote Sensing for Operational Forecasting in the Kırkgöze Watershed, Turkey
by Serkan Şenocak and Reşat Acar
Water 2026, 18(3), 335; https://doi.org/10.3390/w18030335 - 29 Jan 2026
Viewed by 201
Abstract
Accurate snowmelt runoff prediction is critical for water resource management in mountainous regions where seasonal snowpack constitutes the dominant water supply. This study demonstrates operational application of the degree-day-based Snowmelt Runoff Model (SRM) integrated with Geographic Information Systems (GIS) and multi-platform remote sensing [...] Read more.
Accurate snowmelt runoff prediction is critical for water resource management in mountainous regions where seasonal snowpack constitutes the dominant water supply. This study demonstrates operational application of the degree-day-based Snowmelt Runoff Model (SRM) integrated with Geographic Information Systems (GIS) and multi-platform remote sensing for discharge forecasting in the Kirkgoze Basin (242.7 km2, 1823–3140 m elevation), Eastern Anatolia, Turkey. Three automatic weather stations spanning 872 m elevation gradient provided meteorological forcing, while MODIS MOD10A2 8-day composite products supplied operational snow cover observations validated against Landsat-5/7 (30 m resolution, 87.3% agreement, Kappa = 0.73) and synthetic aperture radar imagery (RADARSAT-1 C-band, ALOS-PALSAR L-band). Uncalibrated model performance was modest (R2 = 0.384, volumetric difference = 29.78%), demonstrating necessity of site-specific calibration. Systematic adjustment of snowmelt and rainfall runoff coefficients yielded excellent calibrated performance for 2009 melt season: R2 = 0.8606, correlation coefficient R = 0.927, Nash–Sutcliffe efficiency = 0.854, and volumetric difference = 3.35%. Enhanced temperature lapse rate (0.75 °C/100 m vs. standard 0.65 °C/100 m) reflected severe continental climate. Multiple linear regression analysis identified temperature, snow-covered area, snow water equivalent, and calibrated runoff coefficients as significant discharge predictors (R2 = 0.881). Results confirm SRM’s operational feasibility for seasonal forecasting and flood warning in data-scarce snow-dominated basins, with modest requirements (daily temperature, precipitation, and satellite snow cover) aligning with operational monitoring capabilities. The methodology provides a transferable framework for regional water resource management in climatically vulnerable mountain environments where snowmelt supports agriculture, hydropower, and municipal supply. Full article
Show Figures

Graphical abstract

36 pages, 11192 KB  
Article
Orbital Forcing of Paleohydrology in a Marginal Sea Lacustrine Basin: Mechanisms and Sweet-Spot Implications for Eocene Shale Oil, Bohai Bay Basin
by Qinyu Cui, Yangbo Lu, Yiquan Ma, Mianmo Meng, Xinbei Liu, Kong Deng, Yongchao Lu and Wenqi Sun
J. Mar. Sci. Eng. 2026, 14(3), 273; https://doi.org/10.3390/jmse14030273 - 28 Jan 2026
Viewed by 197
Abstract
Investigating how climatic and hydrological conditions in ecological resource-enriched zones of marginal seas respond to external forcing, particularly during past greenhouse climates, holds considerable significance for understanding current environmental and resource challenges driven by global warming. In marginal seas, climatic hydrological states, including [...] Read more.
Investigating how climatic and hydrological conditions in ecological resource-enriched zones of marginal seas respond to external forcing, particularly during past greenhouse climates, holds considerable significance for understanding current environmental and resource challenges driven by global warming. In marginal seas, climatic hydrological states, including salinity, redox conditions, and productivity, are key environmental parameters controlling organic matter production, preservation, and ultimately the formation of high-quality shale. Herein, high-resolution cyclostratigraphic and multi-proxy geochemical analyses were conducted on a continuous core from the upper part of Member 4 of the Eocene Shahejie Formation (Es4cu) in Well NY1, Dongying Sag, Bohai Bay Basin. Based on these data, a refined astronomical timescale was accordingly established for the studied interval. By integrating sedimentological observations with multiple proxy indicators, including elemental geochemistry (e.g., Sr/Ba and Ca/Al ratios), organic geochemistry, and mineralogical data, the evolution of climate and paleo-water mass conditions during the study period was reconstructed. Spectral analyses revealed prominent astronomical periodicities in paleosalinity, productivity, and redox proxies, indicating that sedimentation was modulated by cyclic changes in eccentricity, obliquity, and precession. It was hereby proposed that orbital forcing governed periodic shifts in basin hydrology by regulating the intensity and seasonality of the East Asian monsoon. Intervals of enhanced summer monsoon associated with high eccentricity and obliquity were typically accompanied by increased sediment supply and intensified chemical weathering. Increased precipitation and runoff raised the lake level while promoting stronger connectivity with the ocean. In contrast, during weak seasonal monsoon intervals linked to eccentricity minima, basin conditions shifted from humid to arid, characterized by reduced precipitation, lower lake level, decreased sediment supply, and a concomitant decline in proxies for water salinity. The present results demonstrated orbital forcing as a primary external driver of cyclical changes in conditions favorable for resource formation in the Eocene lacustrine strata of the Bohai Bay Basin. Overall, this study yields critical paleoclimate evidence and a mechanistic framework for predicting the spatial-temporal distribution of high-quality shale under comparable astronomical-climate boundary conditions. Full article
(This article belongs to the Special Issue Advances in Offshore Oil and Gas Exploration and Development)
Show Figures

Figure 1

17 pages, 845 KB  
Article
Effects of Nitrogen Management Strategies on Nitrogen Losses via Leaching and Runoff from Paddy Fields Under Rainfall-Adapted Irrigation
by Shan Zhang, Yonggang Duan, Jianqiang Zhu, Weihan Wang and Dongliang Qi
Agronomy 2026, 16(3), 320; https://doi.org/10.3390/agronomy16030320 - 27 Jan 2026
Viewed by 248
Abstract
Rainfall-adapted irrigation (RAI), the application of controlled-release nitrogen fertilizer (CRNF), and deep placement of nitrogen fertilizer can contribute to the improvement of resource utilization efficiency. Nevertheless, the interactive effects of these factors on nitrogen loss via runoff and leaching from paddy fields remain [...] Read more.
Rainfall-adapted irrigation (RAI), the application of controlled-release nitrogen fertilizer (CRNF), and deep placement of nitrogen fertilizer can contribute to the improvement of resource utilization efficiency. Nevertheless, the interactive effects of these factors on nitrogen loss via runoff and leaching from paddy fields remain ambiguous. Consequently, a two-year field experiment was conducted to evaluate the interactive effects of four nitrogen management strategies on nitrogen losses through runoff and leaching from paddy fields and rice yield under RAI when compared to conventional flooding irrigation (CI). Compared to CI, RAI significantly reduced total nitrogen loss via runoff (−49.8%) and leaching (−35.9%) by lowering volume of runoff and leaching. Compared to conventional nitrogen application (surface application of common urea with 240 kg N ha−1), deep placement of CRNF with 192 kg N ha−1 decreased floodwater nitrogen concentration, reducing total nitrogen loss by 46.8% via runoff and 50.9% via leaching. Importantly, RAI combined with deep placement of CRNF with 192 kg N ha−1 minimized nitrogen losses through leaching and runoff from paddy fields and maximized grain yield (8251 kg ha−1) by improving nitrogen accumulation in rice. Collectively, RAI combined with deep-placed CRNF with an 80% nitrogen rate could reduce non-point source pollution from paddy fields. Full article
Show Figures

Figure 1

15 pages, 3237 KB  
Article
Integrating Satellite Remote Sensing and Field Measurements for Assessing Nitrogen and Phosphorus Dynamics in Tropical Freshwater Ecosystems of Thailand
by Chuti Rakasachat, Ratcha Chaichana, Peangtawan Phonmat, Pawee Klongvessa, Sitthisak Moukomla and Wirong Chanthorn
Environments 2026, 13(1), 57; https://doi.org/10.3390/environments13010057 - 21 Jan 2026
Viewed by 183
Abstract
Eutrophication increasingly threatens tropical freshwater systems, where nutrient enrichment drives harmful algal blooms and rapid water-quality decline. This study presents a validated satellite-based approach for retrieving total nitrogen (TN) and total phosphorus (TP) in Thai inland waters using Sentinel-2 imagery. A stratified sampling [...] Read more.
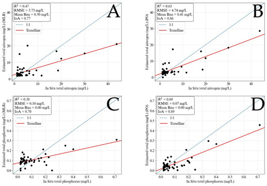
Eutrophication increasingly threatens tropical freshwater systems, where nutrient enrichment drives harmful algal blooms and rapid water-quality decline. This study presents a validated satellite-based approach for retrieving total nitrogen (TN) and total phosphorus (TP) in Thai inland waters using Sentinel-2 imagery. A stratified sampling campaign collected 264 water samples from 50 lentic water bodies during April–May 2024. Results showed that key environmental predictors were identified through correlation analysis and integrated into multiple linear regression (MLR) and polynomial regression (PO) algorithms, with performance evaluated using 10-fold cross-validation. PO consistently outperformed MLR for both nutrients. For TN, PO achieved higher calibration accuracy (R2 = 0.63; RMSE = 4.74 mg/L) than MLR (R2 = 0.47; RMSE = 5.73 mg/L) and maintained strong validation performance (R2 = 0.76). For TP, PO likewise yielded superior cross-validation accuracy (R2 = 0.69; RMSE = 0.07 mg/L; IoA = 0.89) compared with MLR (R2 = 0.38; RMSE = 0.10 mg/L; IoA = 0.70). Spatial distributions of TN and TP derived from the imagery reinforced these findings. The PO-derived TN maps effectively captured nutrient hotspots associated with agricultural runoff, whereas the PO-based TP maps produced more stable and consistent spatial patterns. The findings demonstrate that Sentinel-2 can reliably retrieve TN and TP in tropical waters and offer a scalable pathway for improving nutrient surveillance and supporting science-based freshwater management in regions experiencing accelerating eutrophication. Full article
Show Figures

Figure 1

20 pages, 12692 KB  
Article
Spatiotemporal Evolution of Water Yield Services and Multiscale Driving Effects in an Arid Watershed: A Case Study of the Aksu River Basin
by Fan Gao, Hairui Li, Shichen Yang, Ying Li, Qiu Zhao and Bing He
Sustainability 2026, 18(2), 818; https://doi.org/10.3390/su18020818 - 13 Jan 2026
Viewed by 222
Abstract
The water yield (WY) service is a critical ecosystem service in arid regions, and understanding its spatiotemporal heterogeneity and controls is important for sustainable watershed management. Annual water yield (WY) in the Aksu River Basin (ARB), China, from 2000 to 2020 was simulated [...] Read more.
The water yield (WY) service is a critical ecosystem service in arid regions, and understanding its spatiotemporal heterogeneity and controls is important for sustainable watershed management. Annual water yield (WY) in the Aksu River Basin (ARB), China, from 2000 to 2020 was simulated using the InVEST model, with validation against observed runoff (NSE = 0.840, R2 = 0.846, RMSE = 1.787). The results revealed a decline in WY from 66.49 mm in 2000 to 43.15 mm in 2015, while retaining a clear north–south gradient, with higher values in the north. Areas showing decreasing and increasing trends accounted for 45.34% and 3.14% of the basin, respectively. WY exhibited strong spatial autocorrelation (global Moran’s I = 0.912–0.941), with high-value clusters in the north and low-value clusters in the south. GeoDetector identified precipitation, temperature, and potential evapotranspiration as key drivers (q = 0.889, 0.880, and 0.832, respectively), with precipitation-related interactions generally exceeding 0.9, indicating enhanced explanatory power through multi-factor coupling. After variable screening and collinearity control, MGWR revealed spatially varying effects of drivers and significant spatial non-stationarity. Overall, despite the declining trend, WY in the ARB maintained a relatively stable spatial structure, with its heterogeneity primarily driven by the coupling of climatic forcing and topographic constraints, providing a scientific basis for zonal water resource management in arid river basins. Full article
Show Figures

Figure 1

18 pages, 8354 KB  
Article
Assessment of Water Balance and Future Runoff in the Nitra River Basin, Slovakia
by Pavla Pekárová, Igor Leščešen, Ján Pekár, Zbyněk Bajtek, Veronika Bačová Mitková and Dana Halmová
Water 2026, 18(2), 208; https://doi.org/10.3390/w18020208 - 13 Jan 2026
Viewed by 203
Abstract
This study integrates 90 years of hydrometeorological observations (1930/31–2019/20) with end-century projections (2080–2099) to evaluate climate-driven changes in the water balance of the Nitra River basin (2094 km2), Slovakia. Despite a modest 2–3% increase in annual precipitation from 1930/31–1959/60 to 1990/91–2019/20, [...] Read more.
This study integrates 90 years of hydrometeorological observations (1930/31–2019/20) with end-century projections (2080–2099) to evaluate climate-driven changes in the water balance of the Nitra River basin (2094 km2), Slovakia. Despite a modest 2–3% increase in annual precipitation from 1930/31–1959/60 to 1990/91–2019/20, mean annual runoff declined from 229 mm to 201 mm (≈−12%), primarily due to enhanced evapotranspiration stemming from a +1.08 °C basin-wide temperature increase. An empirical regression from 90 hydrological years shows that +100 mm in precipitation boosts runoff by ≈41 mm, while +1 °C in temperature reduces it by ≈13 mm. The BILAN monthly water balance model was calibrated for 1930/31–2019/20 to decompose runoff components. Over the 90-year period, the modeled annual runoff averaged 222 mm, comprising a 112 mm baseflow (50.4%), a 91 mm interflow (41.0%), and a 19 mm direct runoff (8.6%), underscoring the key role of groundwater and subsurface flows in sustaining streamflow. In the second part of our study, the monthly water balance model BILAN was recalibrated for 1995–2014 to simulate future runoff under three CMIP6 Shared Socioeconomic Pathways. Under the sustainability pathway SSP1-1.9 (+0.88 °C; +1.1% precipitation), annual runoff decreases by 8.9%. The middle-of-the-road scenario SSP2-4.5 (+2.6 °C; +3.1% precipitation) projects a 17.5% decline in annual runoff, with particularly severe reductions in autumn months (September −32.3%, October −35.8%, December −40.4%). The high-emission pathway SSP5-8.5 (+5.1 °C; +0.4% precipitation) yields the most dramatic impact with a 35.2% decrease in annual runoff and summer deficits exceeding 45%. These results underline the extreme sensitivity of a mid-sized Central European basin to temperature-driven evapotranspiration and the critical importance of emission mitigation, emphasizing the urgent need for adaptive water management strategies, including new storage infrastructure to address both winter floods and intensifying summer droughts. Full article
Show Figures

Graphical abstract

66 pages, 1559 KB  
Systematic Review
A Systematic Review of Land- and Water-Management Technologies for Resilient Agriculture in the Sahel: Insights from Climate Analogues in Sub-Saharan Africa
by Wilson Nguru, Issa Ouedraogo, Cyrus Muriithi, Stanley Karanja, Michael Kinyua and Alex Nduah
Sustainability 2026, 18(2), 787; https://doi.org/10.3390/su18020787 - 13 Jan 2026
Viewed by 326
Abstract
In sub-Saharan Africa, land degradation and climate change continue to undermine agricultural productivity by reducing soil productivity and water availability. This review identifies soil and water conservation technologies successfully applied in climatically analogous regions of sub-Saharan Africa with the aim of informing effective [...] Read more.
In sub-Saharan Africa, land degradation and climate change continue to undermine agricultural productivity by reducing soil productivity and water availability. This review identifies soil and water conservation technologies successfully applied in climatically analogous regions of sub-Saharan Africa with the aim of informing effective technology transfer to Senegal, particularly Sédhiou and Tambacounda. Using K-means clustering on WorldClim bioclimatic variables, 35 comparable countries were identified, of which 17 met inclusion criteria based on data availability and ≥60% climatic similarity. Eighty-five technologies were documented and assessed for their compatibility across rainfall patterns, land gradients, and uses, with 12 emerging as consistently effective. Quantitative evidence shows that zai/tassa pits, stone bunds, and half-moons increase crop yields by 50–200%, while stone bunds and mulching reduce runoff by up to 80% and improve soil moisture retention. Terracing and tied-ridging were also linked to higher water-use efficiency, with tied-ridging increasing soil moisture by 13%. Burkina Faso, Kenya, and Malawi lead in adoption and diversity, whereas Senegal lags due to institutional gaps, limited funding, and weak extension systems. These technologies offer a readily available, evidence-based toolkit for building agricultural resilience in Senegal. However, their successful adoption requires stronger policy integration, stakeholder empowerment, cross-border learning, and private-sector engagement. Full article
Show Figures

Figure 1

23 pages, 19417 KB  
Article
A Watershed-Scale Analysis of Integrated Stormwater Control: Quantifying the Contributions of Blue-Green Infrastructure
by Yepeng Mai, Xueliang Ma, Zibin Deng, Biqiu Zeng and Hehai Xie
Land 2026, 15(1), 144; https://doi.org/10.3390/land15010144 - 10 Jan 2026
Viewed by 258
Abstract
Rapid urbanization and increasingly frequent extreme rainfall events have intensified stormwater challenges, underscoring the need for watershed-scale strategies that integrate blue-green infrastructure (BGI). This study evaluates the stormwater control performance of combined initial reservoir storage level regulation, river water level adjustment, and green [...] Read more.
Rapid urbanization and increasingly frequent extreme rainfall events have intensified stormwater challenges, underscoring the need for watershed-scale strategies that integrate blue-green infrastructure (BGI). This study evaluates the stormwater control performance of combined initial reservoir storage level regulation, river water level adjustment, and green infrastructure (GI) implementation in the 42.4 km2 Baihuayong watershed of Guangzhou, China. A coupled stormwater model (SWMM) was developed, calibrated, and coupled with TELEMAC-2D to simulate schemes varying initial reservoir storage levels (30.6 m to 27.6 m), river water levels (11 m to 8 m), and GI proportions (0–45%) under 2- to 100-year rainfall events. Results show that lowering initial reservoir storage levels from 30.6 m to 27.6 m enhanced runoff reduction by ~40% and reduced discharged water volume by ~30%, though overflow mitigation remained limited. Decreasing river water levels from 11 m to 8 m reduced flooded areas by up to 8.3%, with diminishing benefits below 9 m. Increasing GI coverage from 0% to 45% reduced overflow nodes from 236 to 192 and flood extent from 10.76 ha to 9.20 ha under moderate storms, but improvements were modest during extreme events. A synergistic configuration, combining a low initial reservoir storage level (27.6 m), low river water level (8 m), and a high GI proportion (35–45%), yielded the most comprehensive improvements. These findings demonstrate the strong potential of integrated BGI for watershed-scale flood resilience and provide quantitative guidance for sponge city planning. Full article
Show Figures

Graphical abstract

31 pages, 2310 KB  
Article
Deep Learning-Based Multi-Source Precipitation Fusion and Its Utility for Hydrological Simulation
by Zihao Huang, Changbo Jiang, Yuannan Long, Shixiong Yan, Yue Qi, Munan Xu and Tao Xiang
Atmosphere 2026, 17(1), 70; https://doi.org/10.3390/atmos17010070 - 8 Jan 2026
Viewed by 335
Abstract
High-resolution satellite precipitation products are key inputs for basin-scale rainfall estimation, but they still exhibit substantial biases in complex terrain and during heavy rainfall. Recent multi-source fusion studies have shown that simply stacking multiple same-type microwave satellite products yields only limited additional gains [...] Read more.
High-resolution satellite precipitation products are key inputs for basin-scale rainfall estimation, but they still exhibit substantial biases in complex terrain and during heavy rainfall. Recent multi-source fusion studies have shown that simply stacking multiple same-type microwave satellite products yields only limited additional gains for high-quality precipitation estimates and may even introduce local degradation, suggesting that targeted correction of a single, widely validated high-quality microwave product (such as IMERG) is a more rational strategy. Focusing on the mountainous, gauge-sparse Lüshui River basin with pronounced relief and frequent heavy rainfall, we use GPM IMERG V07 as the primary microwave product and incorporate CHIRPS, ERA5 evaporation, and a digital elevation model as auxiliary inputs to build a daily attention-enhanced CNN–LSTM (A-CNN–LSTM) bias-correction framework. Under a unified IMERG-based setting, we compare three network architectures—LSTM, CNN–LSTM, and A-CNN–LSTM—and test three input configurations (single-source IMERG, single-source CHIRPS, and combined IMERG + CHIRPS) to jointly evaluate impacts on corrected precipitation and SWAT runoff simulations. The IMERG-driven A-CNN–LSTM markedly reduces daily root-mean-square error and improves the intensity and timing of 10–50 mm·d−1 rainfall events; the single-source IMERG configuration also outperforms CHIRPS-including multi-source setups in terms of correlation, RMSE, and performance across rainfall-intensity classes. When the corrected IMERG product is used to force SWAT, daily Nash-Sutcliffe Efficiency increases from about 0.71/0.70 to 0.85/0.79 in the calibration/validation periods, and RMSE decreases from 87.92 to 60.98 m3 s−1, while flood peaks and timing closely match simulations driven by gauge-interpolated precipitation. Overall, the results demonstrate that, in gauge-sparse mountainous basins, correcting a single high-quality, widely validated microwave product with a small set of heterogeneous covariates is more effective for improving precipitation inputs and their hydrological utility than simply aggregating multiple same-type satellite products. Full article
(This article belongs to the Section Atmospheric Techniques, Instruments, and Modeling)
Show Figures

Figure 1

28 pages, 2974 KB  
Article
Climate Change Impacts on Agricultural Watershed Hydrology, Southern Ontario: An Integrated SDSM–SWAT Approach
by Rong Hu, Ramesh Rudra, Rituraj Shukla, Ashok Shaw and Pradeep Goel
Hydrology 2026, 13(1), 13; https://doi.org/10.3390/hydrology13010013 - 28 Dec 2025
Viewed by 926
Abstract
Understanding the local-scale impacts of climate change is critical for protecting water resources and ecosystems in vulnerable agricultural regions. This study investigates the Canagagigue Creek Watershed (CCW) in Southern Ontario, Canada, which is an area vital to the Grand River Basin yet threatened [...] Read more.
Understanding the local-scale impacts of climate change is critical for protecting water resources and ecosystems in vulnerable agricultural regions. This study investigates the Canagagigue Creek Watershed (CCW) in Southern Ontario, Canada, which is an area vital to the Grand River Basin yet threatened by sediment runoff, making it an ecologically sensitive area. We applied an integrated Statistical Downscaling Model (SDSM) and Soil and Water Assessment Tool (SWAT) (version 2012) approach under the IPCC A2 scenario to project impacts for the period 2025–2044. The results reveal a fundamental hydrological shift, and evapotranspiration is projected to claim nearly 70% of annual precipitation, leading to a ~30% reduction in total water yield. Seasonally, the annual streamflow peak is projected to shift from March to April, indicating a transition from a snowmelt-dominated to a rainfall-influenced system, while extended low-flow periods increase drought risk. Crucially, sediment yield at the watershed outlet is projected to decrease by 7.9–10.5%. The concomitant reduction in streamflow implies a weakened sediment transport capacity. However, this points to a heightened risk of increased in-stream deposition, which would pose a dual threat, (a) elevating flood risk through channel aggradation and (b) creating a long-term sink for agricultural pollutants that degrades water quality. By linking SDSM and SWAT, this study moves beyond generic predictions, providing a targeted blueprint for climate-resilient land and water management that addresses the complex, interacting challenges of water quantity. Full article
Show Figures

Figure 1

Back to TopTop