Deep Learning-Based Multi-Source Precipitation Fusion and Its Utility for Hydrological Simulation
Abstract
1. Introduction
2. Study Area and Data
2.1. Overview of the Study Area
2.2. Datasets
2.2.1. Gauge-Based Precipitation and Runoff Observations
2.2.2. Satellite Precipitation Products
2.2.3. Reanalysis and Geospatial Data
2.2.4. Other Data
2.3. Data Preprocessing
3. Methodology
3.1. Conceptual Framework for Multi-Source Precipitation Correction
3.1.1. Experimental Scenarios and Naming of Precipitation Schemes
3.1.2. Bias-Correction Workflow and Experimental Design
3.2. A-CNN-LSTM Model Architecture
3.2.1. Model Formulation and Training Objective
3.2.2. Network Architecture and Parameter Settings
3.3. Model Training and Validation
3.4. SWAT Model Setup and Runoff Simulation Scenarios
3.5. Evaluation Metrics for Precipitation Accuracy and Hydrological Simulation
3.5.1. Evaluation of Precipitation Product Accuracy
3.5.2. Evaluation of Hydrological Runoff Simulation
4. Results
4.1. Comparison of Deep Learning-Based Correction Models
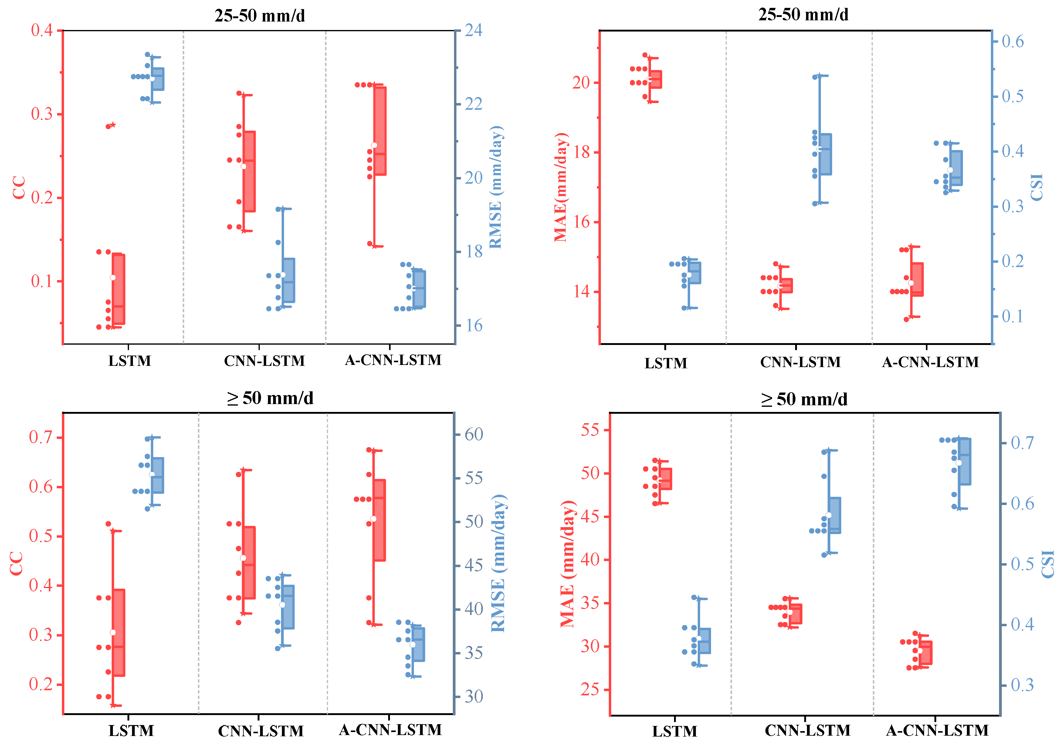
4.2. Correction Performance Under Different Rainfall Intensities
4.3. Impact of Introducing an ERA5 Evaporation Variable
4.4. Comparison Between Single-Source and Multi-Source Input Schemes
4.5. Parameter Sensitivity and Runoff Simulation Response
4.5.1. Parameter Sensitivity Analysis and Calibration Results
4.5.2. Runoff Simulations and Integrated Evaluation
5. Conclusions
Author Contributions
Funding
Institutional Review Board Statement
Informed Consent Statement
Data Availability Statement
Acknowledgments
Conflicts of Interest
Appendix A. Tables
| Window Size | CC (Mean ± SD) | RMSE (Mean ± SD, mm·d−1) |
|---|---|---|
| 7 | 0.012 | 0.392 |
| 9 | 0.012 | 0.396 |
| 11 | 0.012 | 0.386 |
| 13 | 0.014 | 0.337 |
| 15 | 0.013 | 0.359 |
| Model | 0.1–<10 | 10–<25 | 25–<50 | ≥50 |
|---|---|---|---|---|
| LSTM | 0.022 | 0.016 | 0.030 | 0.034 |
| CNN-LSTM | 0.019 | 0.031 | 0.069 | 0.056 |
| A-CNN-LSTM | 0.029 | 0.035 | 0.035 | 0.045 |
| Station | 0.1–<10 | 10–<25 | 25–<50 | ≥50 | Total Wet Days (≥0.1) |
|---|---|---|---|---|---|
| Mapoling | 1367 | 366 | 135 | 44 | 1912 |
| Liuyang | 1305 | 365 | 163 | 60 | 1893 |
| Zhuzhou | 1370 | 357 | 146 | 55 | 1928 |
| Liling | 1347 | 356 | 148 | 51 | 1902 |
| Wanzai | 1345 | 417 | 153 | 65 | 1980 |
| Yichun | 1376 | 394 | 175 | 60 | 2005 |
| Pingxiang | 1412 | 402 | 160 | 64 | 2038 |
| Lianhua | 1409 | 377 | 178 | 49 | 2013 |
| Model | Mapoling | Liuyang | Zhuzhou | Liling | Wanzai | Yichun | Pingxiang | Lianhua | Pooled |
|---|---|---|---|---|---|---|---|---|---|
| LSTM | 0.091 | 0.050 | 0.073 | 0.216 | 0.154 | 0.100 | 0.141 | 0.245 | 0.132 |
| CNN-LSTM | 0.523 | 0.383 | 0.400 | 0.549 | 0.446 | 0.433 | 0.344 | 0.653 | 0.458 |
| A-CNN-LSTM | 0.545 | 0.533 | 0.509 | 0.604 | 0.462 | 0.583 | 0.516 | 0.633 | 0.544 |
References
- Zubieta, R.; Getirana, A.; Espinoza, J.C.; Lavado-Casimiro, W.; Aragon, L. Impacts of Satellite-Based Precipitation Datasets on Rainfall–Runoff Modeling of the Western Amazon Basin of Peru and Ecuador. J. Hydrol. 2015, 528, 599–612. [Google Scholar] [CrossRef]
- Kidd, C.; Becker, A.; Huffman, G.J.; Müller, C.L. So, How Much of the Earth’s Surface Is Covered by Rain Gauges? Bull. Am. Meteorol. Soc. 2017, 98, 69–78. [Google Scholar] [CrossRef] [PubMed]
- Hersbach, H.; Bell, B.; Berrisford, P.; Hirahara, S.; Horányi, A.; Muñoz-Sabater, J.; Nicolas, J.; Peubey, C.; Radu, R.; Schepers, D.; et al. The ERA5 Global Reanalysis. Q. J. R. Meteorol. Soc. 2020, 146, 1999–2049. [Google Scholar] [CrossRef]
- Beck, H.E.; Wood, E.F.; Pan, M.; Fisher, C.K.; Miralles, D.G.; van Dijk, A.I.J.M.; McVicar, T.R.; Adler, R.F. MSWEP V2 Global 3-Hourly 0.1° Precipitation: Methodology and Quantitative Assessment. Bull. Am. Meteorol. Soc. 2019, 100, 473–500. [Google Scholar] [CrossRef]
- Funk, C.; Peterson, P.; Landsfeld, M.; Pedreros, D.; Verdin, J.; Shukla, S.; Husak, G.; Rowland, J.; Harrison, L.; Hoell, A.; et al. A Global Satellite-Assisted Precipitation Climatology. Earth Syst. Sci. Data 2015, 7, 275–287. [Google Scholar] [CrossRef]
- Maggioni, V.; Massari, C. On the Performance of Satellite Precipitation Products in Riverine Flood Modeling: A Review. J. Hydrol. 2018, 558, 214–224. [Google Scholar] [CrossRef]
- Liu, Y.; Peters-Lidard, C.D.; Kumar, S.V.; Arsenault, K.R.; Mocko, D.M. Blending Satellite-Based Snow Depth Products with In Situ Observations for Streamflow Predictions in the Upper Colorado River Basin. Water Resour. Res. 2015, 51, 1182–1202. [Google Scholar] [CrossRef]
- Wu, H.; Yang, Q.; Liu, J.; Wang, G. A Spatiotemporal Deep Fusion Model for Merging Satellite and Gauge Precipitation in China. J. Hydrol. 2020, 584, 124664. [Google Scholar] [CrossRef]
- Akbari Asanjan, A.; Yang, T.; Hsu, K.; Sorooshian, S.; Lin, J.; Peng, Q. Short-Term Precipitation Forecast Based on the PERSIANN Cloud Classification System. J. Geophys. Res. Atmos. 2018, 123, 12543–12563. [Google Scholar] [CrossRef]
- Yumnam, K.; Guntu, R.K.; Rathinasamy, M.; Agarwal, A. Quantile-Based Bayesian Model Averaging Approach towards Merging of Precipitation Products. J. Hydrol. 2022, 604, 127206. [Google Scholar] [CrossRef]
- Wei, L.; Jiang, S.; Dong, J.; Ren, L.; Liu, Y.; Zhang, L.; Wang, M.; Duan, Z. Fusion of Gauge-Based, Reanalysis, and Satellite Precipitation Products Using Bayesian Model Averaging Approach: Determination of the Influence of Different Input Sources. J. Hydrol. 2023, 618, 129234. [Google Scholar] [CrossRef]
- Sadeghi, M.; Asanjan, A.A.; Faridzad, M.; Nguyen, P.; Hsu, K.; Sorooshian, S.; Braithwaite, D. PERSIANN-CNN: Precipitation Estimation from Remotely Sensed Information Using Artificial Neural Networks–Convolutional Neural Networks. J. Hydrometeorol. 2019, 20, 2273–2289. [Google Scholar] [CrossRef]
- Shi, X.; Gao, Z.; Lausen, L.; Wang, H.; Yeung, D.-Y.; Wong, W.-K.; Woo, W.-C. Deep Learning for Precipitation Nowcasting: A Benchmark and a New Model. In Advances in Neural Information Processing Systems 30; Curran Associates, Inc.: Red Hook, NY, USA, 2017; pp. 5617–5627. [Google Scholar] [CrossRef]
- Tian, B.; Chen, H.; Yan, X.; Sheng, S.; Lin, K. A Downscaling–Merging Scheme for Monthly Precipitation Estimation with High Resolution Based on CBAM-ConvLSTM. Remote Sens. 2023, 15, 4601. [Google Scholar] [CrossRef]
- Yang, X.; Yang, S.; Tan, M.L.; Pan, H.; Zhang, H.; Wang, G.; He, R.; Wang, Z. Correcting the Bias of Daily Satellite Precipitation Estimates in Tropical Regions Using Deep Neural Network. J. Hydrol. 2022, 608, 127656. [Google Scholar] [CrossRef]
- Jing, Y.; Lin, L.; Li, X.; Li, T.; Shen, H. An Attention Mechanism Based Convolutional Network for Satellite Precipitation Downscaling over China. J. Hydrol. 2022, 613, 128388. [Google Scholar] [CrossRef]
- Xiang, L.; Guan, J.; Xiang, J.; Zhang, L.; Zhang, F. Spatiotemporal Model Based on Transformer for Bias Correction and Temporal Downscaling of Forecasts. Front. Environ. Sci. 2022, 10, 1039764. [Google Scholar] [CrossRef]
- Gao, Y.; Guan, J.; Zhang, F.; Wang, X.; Long, Z. Attention-Unet-Based Near-Real-Time Precipitation Estimation from Fengyun-4A Satellite Imageries. Remote Sens. 2022, 14, 2925. [Google Scholar] [CrossRef]
- Liu, H.; Yang, Q.; Liu, Z.; Shao, J.; Wang, G. An Attention-Mechanism-Based Deep Fusion Model for Improving Quantitative Precipitation Estimation in a Sparsely-Gauged Basin. J. Hydrol. 2024, 628, 130568. [Google Scholar] [CrossRef]
- Zhang, L.; Li, X.; Zheng, D.; Zhang, K.; Ma, Q.; Zhao, Y.; Ge, Y. Merging Multiple Satellite-Based Precipitation Products and Gauge Observations Using a Novel Double Machine Learning Approach. J. Hydrol. 2021, 594, 125969. [Google Scholar] [CrossRef]
- Hu, Y.; Zhang, L. Added Value of Merging Techniques in Precipitation Estimates Relative to Gauge-Interpolation Algorithms of Varying Complexity. J. Hydrol. 2024, 645, 132214. [Google Scholar] [CrossRef]
- Kao, Y.-C.; Tsou, H.-E.; Chen, C.-J. Development of Multi-Source Weighted-Ensemble Precipitation: Influence of Bias Correction Based on Recurrent Convolutional Neural Networks. J. Hydrol. 2024, 629, 130621. [Google Scholar] [CrossRef]
- Huffman, G.J.; Bolvin, D.T.; Joyce, R.; Nelkin, E.J.; Tan, J.; Braithwaite, D.; Hsu, K.; Kelley, O.A.; Nguyen, P.; Sorooshian, S.; et al. Integrated Multi-Satellite Retrievals for GPM (IMERG) Algorithm Theoretical Basis Document (ATBD); Version 07; NASA Goddard Space Flight Center: Greenbelt, MD, USA, 2023. [Google Scholar]
- Zhang, J.; Xu, J.; Dai, X.; Ruan, H.; Liu, X.; Jing, W. Multi-Source Precipitation Data Merging for Heavy Rainfall Events Based on Cokriging and Machine Learning Methods. Remote Sens. 2022, 14, 1750. [Google Scholar] [CrossRef]
- Xu, Z.; Wu, Z.; He, H.; Wu, X.; Ren, J. Evaluating the accuracy of MSWEP V2.1 and its performance for drought monitoring over Mainland China. Atmos. Res. 2019, 226, 17–31. [Google Scholar] [CrossRef]
- Wei, G.; Lü, H.; Crow, W.T.; Zhu, Y.; Wang, J.; Su, J. Comprehensive evaluation of GPM-IMERG, CMORPH, and TMPA precipitation products with gauged rainfall over mainland China. Adv. Meteorol. 2018, 2018, 3024190. [Google Scholar] [CrossRef]
- Baudouin, J.-P.; Herzog, M.; Petrie, C.A. Cross-validating precipitation datasets in the Indus River basin. Hydrol. Earth Syst. Sci. 2020, 24, 427–450. [Google Scholar] [CrossRef]
- Lv, A.; Qi, S.; Wang, G. Multi-model driven by diverse precipitation datasets increases confidence in identifying dominant factors for runoff change in a subbasin of the Qaidam Basin of China. Sci. Total Environ. 2022, 802, 149831. [Google Scholar] [CrossRef]
- Yan, S.; Long, Y.; He, H.; Wen, X.; Lv, Q.; Zheng, M. Flood response to urban expansion in the Lushui River Basin. Nat. Hazards 2023, 115, 779–805. [Google Scholar] [CrossRef]
- Xu, H.; Xu, C.-Y.; Chen, H.; Zhang, Z.; Li, L. Assessing the influence of rain gauge density and distribution on hydrological model performance in a humid region of China. J. Hydrol. 2013, 505, 1–12. [Google Scholar] [CrossRef]
- Han, J.; Miao, C.; Gou, J.; Zheng, H.; Zhang, Q.; Guo, X. A new daily gridded precipitation dataset for the Chinese mainland based on gauge observations. Earth Syst. Sci. Data 2023, 15, 3147–3161. [Google Scholar] [CrossRef]
- Climate Hazards Center (CHC). Climate Hazards Center InfraRed Precipitation with Stations; Version 3 (CHIRPS v3); CHIRPS3 Data Repository: Santa Barbara, CA, USA, 2025. [Google Scholar] [CrossRef]
- Copernicus Climate Change Service (C3S). ERA5 Post-Processed Daily Statistics on Single Levels from 1940 to Present; ECMWF, Copernicus Climate Data Store (CDS): Reading, UK, 2024. [Google Scholar] [CrossRef]
- Yang, J.; Huang, X. The 30 m annual land cover dataset and its dynamics in China from 1990 to 2019. Earth Syst. Sci. Data 2021, 13, 3907–3925. [Google Scholar] [CrossRef]
- Nachtergaele, F.; van Velthuizen, H.; Verelst, L.; Wiberg, D.; Henry, M.; Chiozza, F.; Yigini, Y.; Aksoy, E.; Batjes, N.; Boateng, E.; et al. Harmonized World Soil Database Version 2.0; Food and Agriculture Organization of the United Nations (FAO): Rome, Italy; International Institute for Applied Systems Analysis (IIASA): Laxenburg, Austria, 2023. [Google Scholar] [CrossRef]
- Wang, F.; Tian, D.; Carroll, M. Customized Deep Learning for Precipitation Bias Correction and Downscaling in Mountain Regions. Geosci. Model Dev. 2023, 16, 535–556. [Google Scholar] [CrossRef]
- Le, X.-H.; Lee, G.; Jung, K.; An, H.-u.; Lee, S.; Jung, Y. Application of Convolutional Neural Network for Spatiotemporal Bias Correction of Daily Satellite-Based Precipitation. Remote Sens. 2020, 12, 2731. [Google Scholar] [CrossRef]
- El Garnaoui, M.; Boudhar, A.; Nifa, K.; El Jabiri, Y.; Karaoui, I.; El Aloui, A.; Midaoui, A.; Karroum, M.; Mosaid, H.; Chehbouni, A. Nested Cross-Validation for HBV Conceptual Rainfall–Runoff Model Spatial Stability Analysis in a Semi-Arid Context. Remote Sens. 2024, 16, 3756. [Google Scholar] [CrossRef]
- Cheng, Y.-Y.; Chang, C.-T.; Chen, B.-F.; Kuo, H.-C.; Lee, C.-S. Extracting 3D Radar Features to Improve Quantitative Precipitation Estimation in Complex Terrain Based on Deep Learning Neural Networks. Weather Forecast. 2023, 38, 273–289. [Google Scholar] [CrossRef]
- Gamboa-Villafruela, C.J.; Fernández-Alvarez, J.C.; Márquez-Mijares, M.; Pérez-Alarcón, A.; Batista-Leyva, A.J. Convolutional LSTM Architecture for Precipitation Nowcasting Using Satellite Data. Environ. Sci. Proc. 2021, 8, 33. [Google Scholar] [CrossRef]
- Guo, Q.; He, Z.; Wang, Z. Monthly Climate Prediction Using Deep Convolutional Neural Network and Long Short-Term Memory. Sci. Rep. 2024, 14, 17748. [Google Scholar] [CrossRef]
- Guo, L.; Pu, Y.; Zhao, W. CNN-BiLSTM Daily Precipitation Prediction Based on Attention Mechanism. Atmosphere 2025, 16, 333. [Google Scholar] [CrossRef]
- Dao, V.; Jimenez Arellano, C.; Nguyen, P.; Almutlaq, F.; Hsu, K.; Sorooshian, S. Bias Correction of Satellite Precipitation Estimation Using Deep Neural Networks and Topographic Information Over the Western U.S. J. Geophys. Res. Atmos. 2025, 130, e2024JD042181. [Google Scholar] [CrossRef]
- Srivastava, N.; Hinton, G.; Krizhevsky, A.; Sutskever, I.; Salakhutdinov, R. Dropout: A Simple Way to Prevent Neural Networks from Overfitting. J. Mach. Learn. Res. 2014, 15, 1929–1958. [Google Scholar] [CrossRef]
- Dubey, S.K.; Kim, J.; Her, Y.; Sharma, D.; Jeong, H. Hydroclimatic Impact Assessment Using the SWAT Model in India—State of the Art Review. Sustainability 2023, 15, 15779. [Google Scholar] [CrossRef]
- Taia, S.; Erraioui, L.; Arjdal, Y.; Chao, J.; El Mansouri, B.; Scozzari, A. The Application of SWAT Model and Remotely Sensed Products to Characterize the Dynamic of Streamflow and Snow in a Mountainous Watershed in the High Atlas. Sensors 2023, 23, 1246. [Google Scholar] [CrossRef]
- Her, Y.; Frankenberger, J.; Chaubey, I.; Srinivasan, R. Threshold Effects in HRU Definition of the Soil and Water Assessment Tool. Trans. ASABE 2015, 58, 367–378. [Google Scholar] [CrossRef]
- Femeena, P.V.; Karki, R.; Cibin, R.; Sudheer, K.P. Reconceptualizing HRU Threshold Definition for SWAT to Improve Consistency and Performance. J. Am. Water Resour. Assoc. 2022, 58, 81–96. [Google Scholar] [CrossRef]
- Jiang, L.; Zhu, J.; Chen, W.; Hu, Y.; Yao, J.; Yu, S.; Jia, G.; He, X.; Wang, A. Identification of Suitable Hydrologic Response Unit Thresholds for Soil and Water Assessment Tool Streamflow Modelling. Chin. Geogr. Sci. 2021, 31, 696–710. [Google Scholar] [CrossRef]
- Wang, J.; Zhuo, L.; Han, D.; Liu, Y.; Rico-Ramirez, M.A. Hydrological model adaptability to rainfall inputs of varied quality. Water Resour. Res. 2023, 59, e2022WR032484. [Google Scholar] [CrossRef]
- Anand, V.; Singh, S.K.; Oinam, B. Parameterization and calibration of the SWAT hydrological model using SUFI-2 and GLUE algorithms in Bay of Plenty, New Zealand. J. Water Clim. Change 2025, 16, 2444–2461. [Google Scholar] [CrossRef]
- Xiang, X.; Ao, T.; Xiao, Q.; Li, X.; Zhou, L.; Chen, Y.; Bi, Y.; Guo, J. Parameter sensitivity analysis of SWAT modeling in the upper Heihe River Basin using four typical approaches. Appl. Sci. 2022, 12, 9862. [Google Scholar] [CrossRef]
- Brighenti, T.M.; Gassman, P.W.; Gutowski, W.J., Jr.; Thompson, J.R. Assessing the Influence of a Bias Correction Method on Future Climate Scenarios Using SWAT as an Impact Model Indicator. Water 2023, 15, 750. [Google Scholar] [CrossRef]
- Sneha, M.R.; Nair, A.; Somasundaram, K. Spatiotemporal Bias Correction of Satellite Precipitation Products Using Multimodel Techniques over Temporally Coherent Clusters in South Peninsular India. Atmos. Res. 2025, 325, 108244. [Google Scholar] [CrossRef]
- Yao, N.; Ye, J.; Wang, S.; Yang, S.; Lu, Y.; Zhang, H.; Yang, X. Bias Correction of the Hourly Satellite Precipitation Product Using Machine Learning Methods Enhanced with High-Resolution WRF Meteorological Simulations. Atmos. Res. 2024, 310, 107637. [Google Scholar] [CrossRef]
- Guo, H.; Chen, S.; Bao, A.; Hu, J.; Yang, B.; Stepanian, P.M. Comprehensive Evaluation of High-Resolution Satellite-Based Precipitation Products over China. Atmosphere 2016, 7, 6. [Google Scholar] [CrossRef]
- Du, H.; Tan, M.L.; Zhang, F.; Chun, K.P.; Li, L.; Kabir, M.H. Evaluating the Effectiveness of CHIRPS Data for Hydroclimatic Studies: A Review. Theor. Appl. Climatol. 2024, 155, 1519–1539. [Google Scholar] [CrossRef]
- Baig, F.; Ali, L.; Faiz, M.A.; Chen, H.; Sherif, M. From Bias to Accuracy: Transforming Satellite Precipitation Data in Arid Regions with Machine Learning and Topographical Insights. J. Hydrol. 2025, 653, 132801. [Google Scholar] [CrossRef]
- Azimi, S.; Massari, C.; Roati, G.; Barbetta, S.; Rigon, R. A New Tool for Correcting the Spatial and Temporal Pattern of Global Precipitation Products across Mountainous Terrain: Precipitation and Hydrological Analysis. J. Hydrol. 2025, 660, 133530. [Google Scholar] [CrossRef]
- Shi, Y.; Chen, C.; Chen, J.; Yang, S.; Liu, Y.; Li, M.; Guo, B. Evaluation of the RF-MEP Method for Merging Multiple Gridded Precipitation Products in Chongqing City, China. Remote Sens. 2023, 15, 4230. [Google Scholar] [CrossRef]
- Abbaspour, K.C. SWAT-CUP: SWAT Calibration and Uncertainty Programs—A User Manual; Swiss Federal Institute of Aquatic Science and Technology (Eawag): Dübendorf, Switzerland, 2015; Available online: https://swat.tamu.edu/media/114860/usermanual_swatcup.pdf (accessed on 5 January 2026).
- Chawanda, C.J.; van Griensven, A.; Nkwasa, A.; Teran Orsini, J.P.; Jeong, J.; Choi, S.-K.; Srinivasan, R.; Arnold, J.G. CoSWAT Model v1: A high-resolution global SWAT+ hydrological model. Hydrol. Earth Syst. Sci. 2025, 29, 6901–6916. [Google Scholar] [CrossRef]








| Scenario | Nature | Primary Inputs | Framework/ Processing | Auxiliary Predictors | Purpose | Notes |
|---|---|---|---|---|---|---|
| OBS | Baseline | Gauge observations | SWAT built-in gauge interpolation (station-weighting) | — | Hydrological reference | See Section 3.4 |
| IMERG | Raw | IMERG | Original product | — | Baseline comparison | Pre-correction benchmark |
| CHIRPS | Raw | CHIRPS | Original product | — | Baseline comparison | Comparative product |
| IMERG-LSTM | Corrected | IMERG (single-source) | LSTM | DEM-derived variables, ERA5 evaporation | Model selection | — |
| IMERG-CNN-LSTM | Corrected | IMERG (single-source) | CNN-LSTM | Same as IMERG-LSTM | Model selection | — |
| IMERG-A | Corrected | IMERG (single-source) | A-CNN-LSTM | Same as IMERG-LSTM | Main results | Recommended scheme |
| IMERG-CL | Corrected | IMERG (single-source) | A-CNN-LSTM | Same as IMERG-LSTM | Input-configuration comparison | Single-source benchmark |
| CHIRPS-CL | Corrected | CHIRPS (single-source) | A-CNN-LSTM | Same as IMERG-LSTM | Input-configuration comparison | Single-source benchmark |
| ICS-CL | Fused | IMERG + CHIRPS (multi-source) | A-CNN-LSTM | Same as IMERG-LSTM | Input-configuration comparison | Feature-level multi-source input |
| Metric | with ET (Mean ± SD) | with ET (Median) | w/o ET (Mean ± SD) | w/o ET (Median) | ΔMean (w/o-with) |
|---|---|---|---|---|---|
| CC | 0.013 | 0.805 | 0.014 | 0.799 | −0.003 |
| RMSE (mm·d−1) | 0.359 | 6.739 | 0.363 | 6.779 | +0.024 |
| MAE (mm·d−1) | 0.181 | 3.000 | 0.186 | 3.024 | +0.019 |
| POD | 0.023 | 0.944 | 0.023 | 0.940 | −0.006 |
| FAR | 0.018 | 0.253 | 0.016 | 0.257 | +0.006 |
| CSI | 0.011 | 0.630 | 0.011 | 0.627 | −0.003 |
| Daily | ||
|---|---|---|
| Parameters | T-Stat | p-Value |
| CN2 | 12.163 | 0.000 |
| ALPHA_BF | 10.312 | 0.000 |
| GW_DELAY | −9.232 | 0.000 |
| GW_REVAP | 5.522 | 0.000 |
| CANMX | −3.239 | 0.001 |
| CH_N2 | −3.236 | 0.001 |
| CH_K2 | −2.201 | 0.028 |
| SOL_K | −1.733 | 0.084 |
| GWQWN | 1.617 | 0.106 |
| ESCO | −1.316 | 0.189 |
| SURLAG | −1.156 | 0.248 |
| SOL_BD | 0.634 | 0.527 |
| Daily | ||||
|---|---|---|---|---|
| Parameters | IMERG | LSTM | CNN-LSTM | A-CNN-LSTM |
| CN2 | −0.269 | −0.068 | 0.031 | 0.255 |
| ALPHA_BF | 0.980 | 0.954 | 0.857 | 0.059 |
| GW_DELAY | 0.175 | 1.352 | 0.609 | 373.428 |
| GW_REVAP | 0.159 | 0.184 | 0.052 | 0.154 |
| CANMX | 11.172 | 2.715 | 6.373 | 18.297 |
| CH_N2 | 0.124 | 0.166 | 0.171 | 0.081 |
| CH_K2 | 189.913 | 74.931 | 173.221 | 102.023 |
| SOL_K | −0.498 | −0.489 | −0.462 | −0.276 |
| GWQWN | 1232.480 | 1207.927 | 850.960 | 4307.956 |
| ESCO | 0.452 | 0.265 | 0.316 | 0.797 |
| SURLAG | 6.057 | 10.407 | 17.375 | 9.651 |
| SOL_BD | 1.805 | 2.270 | 1.928 | 1.178 |
| R2 | NSE | RMSE (m3/s) | ||||
|---|---|---|---|---|---|---|
| Product | P1 | P2 | P1 | P2 | P1 | P2 |
| IMERG | 0.72 | 0.68 | 0.71 | 0.70 | 71.87 | 87.92 |
| OBS | 0.83 | 0.80 | 0.83 | 0.79 | 61.02 | 71.72 |
| IMERG-LSTM | 0.75 | 0.70 | 0.75 | 0.72 | 66.05 | 74.48 |
| IMERG-CNN-LSTM | 0.80 | 0.75 | 0.78 | 0.75 | 65.70 | 65.24 |
| IMERG-A-CNN-LSTM | 0.85 | 0.80 | 0.85 | 0.79 | 61.74 | 60.98 |
Disclaimer/Publisher’s Note: The statements, opinions and data contained in all publications are solely those of the individual author(s) and contributor(s) and not of MDPI and/or the editor(s). MDPI and/or the editor(s) disclaim responsibility for any injury to people or property resulting from any ideas, methods, instructions or products referred to in the content. |
© 2026 by the authors. Licensee MDPI, Basel, Switzerland. This article is an open access article distributed under the terms and conditions of the Creative Commons Attribution (CC BY) license.
Share and Cite
Huang, Z.; Jiang, C.; Long, Y.; Yan, S.; Qi, Y.; Xu, M.; Xiang, T. Deep Learning-Based Multi-Source Precipitation Fusion and Its Utility for Hydrological Simulation. Atmosphere 2026, 17, 70. https://doi.org/10.3390/atmos17010070
Huang Z, Jiang C, Long Y, Yan S, Qi Y, Xu M, Xiang T. Deep Learning-Based Multi-Source Precipitation Fusion and Its Utility for Hydrological Simulation. Atmosphere. 2026; 17(1):70. https://doi.org/10.3390/atmos17010070
Chicago/Turabian StyleHuang, Zihao, Changbo Jiang, Yuannan Long, Shixiong Yan, Yue Qi, Munan Xu, and Tao Xiang. 2026. "Deep Learning-Based Multi-Source Precipitation Fusion and Its Utility for Hydrological Simulation" Atmosphere 17, no. 1: 70. https://doi.org/10.3390/atmos17010070
APA StyleHuang, Z., Jiang, C., Long, Y., Yan, S., Qi, Y., Xu, M., & Xiang, T. (2026). Deep Learning-Based Multi-Source Precipitation Fusion and Its Utility for Hydrological Simulation. Atmosphere, 17(1), 70. https://doi.org/10.3390/atmos17010070
