Sign in to use this feature.

Years

Between: -

Subjects

remove_circle_outline
remove_circle_outline
remove_circle_outline
remove_circle_outline
remove_circle_outline
remove_circle_outline
remove_circle_outline
remove_circle_outline
remove_circle_outline

Journals

Article Types

Countries / Regions

Search Results (39)

Search Parameters:
Keywords = roughness factor (RF)

Order results
Result details
Results per page
Select all
Export citation of selected articles as:
27 pages, 6458 KB  
Article
Arctic Sea Ice Type Classification Using a Multi-Dimensional Feature Set Derived from FY-3E GNSS-R and SMOS
by Yuan Hu, Xingjie Chen, Weimin Huang and Wei Liu
Remote Sens. 2026, 18(9), 1312; https://doi.org/10.3390/rs18091312 (registering DOI) - 24 Apr 2026
Abstract
Sea ice classification is of fundamental importance for polar monitoring and global climate research. Global Navigation Satellite System Reflectometry (GNSS-R) has emerged as a frontier technology in polar remote sensing due to its high spatiotemporal resolution and cost-effectiveness. Based on BeiDou System Reflectometry [...] Read more.
Sea ice classification is of fundamental importance for polar monitoring and global climate research. Global Navigation Satellite System Reflectometry (GNSS-R) has emerged as a frontier technology in polar remote sensing due to its high spatiotemporal resolution and cost-effectiveness. Based on BeiDou System Reflectometry (BDS-R) data acquired from the Fengyun-3E (FY-3E) satellite, this study introduces a classification approach that integrates multi-dimensional sea ice information. A comprehensive feature set was constructed by integrating the Spectral Entropy (SE) of the Normalized Integrated Delay Waveform (NIDW) First-order Differential Curve to characterize the oscillatory complexity of the trailing edge power decay process as a scattering dynamic property, the Root Mean Square height (RMS) to characterize the attenuation magnitude of scattering intensity arising from surface roughness and related factors as a scattering intensity attenuation property, and salinity (S) and L-band brightness temperature (TB) data from SMOS to describe dielectric and radiative properties. These novel features are combined with traditional GNSS-R features. After selecting the optimal feature set via an ablation study, the features were used to train a Random Forest (RF) classifier for sea ice classification. Validated against Ocean and Sea Ice Satellite Application Facility (OSI SAF) sea ice type products, the proposed method yielded an overall accuracy of 93.86% and a Kappa coefficient of 0.8061. The integration of multi-dimensional features notably improved the identification of Multi-Year Ice (MYI), achieving a Recall of 85.11% and an F1-score of 84.43%. These results indicate that the proposed multi-dimensional feature set provides an effective solution for GNSS-R-based sea ice classification. Full article
14 pages, 2117 KB  
Proceeding Paper
Cutting Performance and Damage Metrics in Abrasive Waterjet Machining of Delrin–Ramie Fiber Composites
by Natarajan Senthilkumar, Subramanian Thirumalvalavan, Saminathan Selvarasu and Ganapathy Perumal
Eng. Proc. 2026, 130(1), 8; https://doi.org/10.3390/engproc2026130008 - 17 Apr 2026
Viewed by 203
Abstract
In this study, Delrin® (POM) polymer was reinforced with 15 wt.% chopped ramie fiber (RF) to develop a sustainable composite, which was injection-molded and machined using abrasive waterjet machining (AWJM). SEM revealed a skin-core morphology with flow-induced RF alignment and small voids [...] Read more.
In this study, Delrin® (POM) polymer was reinforced with 15 wt.% chopped ramie fiber (RF) to develop a sustainable composite, which was injection-molded and machined using abrasive waterjet machining (AWJM). SEM revealed a skin-core morphology with flow-induced RF alignment and small voids at bundle crossovers, indicating interfacial adhesion. A Taguchi L9 (33) design evaluated waterjet pressure (WJP: 100–300 MPa), traverse speed (TS: 100–200 mm/min), and stand-off distance (SoD: 1–3 mm) on kerf width (KW) and surface roughness (SR). Increasing WJP from 100 to 300 MPa lowered mean SR from 6.23 to 4.80 µm (23% reduction) and KW from 1.31 to 1.07 mm (reduction of 18%); enlarging SoD from 1 to 3 mm raised SR from 4.98 to 5.55 µm (an 11% increase) and KW from 1.12 to 1.20 mm (a of 7% increase); and raising TS from 100 to 200 mm/min narrowed KW from 1.24 to 1.11 mm (a 10.5% reduction) with a modest SR decrease from 5.45 to 5.28 µm. ANOVA confirmed WJP as the dominant factor for SR (79.8%), as well as a significant SoD (18.3%). For KW, the influence of WJP (68.8%) was substantial, followed by TS (19.9%) and SoD (11%). Linear models captured the trends well (SR: R2 = 88.29%; KW: R2 = 93.36%). A desirability-based multi-response optimizer yielded ideal conditions for TS (200 mm/min), WJP (300 MPa), and SoD (1 mm), predicting a KW of 0.94 mm and an SR of 4.1567 µm. Confirmation tests produced a KW (0.970 ± 0.01 mm) and SR (4.27 ± 0.05 µm), which are within 3.19% and 2.73% of the predicted values, validating the DoE regression approach. Full article
(This article belongs to the Proceedings of The 19th Global Congress on Manufacturing and Management (GCMM 2025))
Show Figures

Figure 1

17 pages, 4605 KB  
Article
Investigation into the Bearing Behavior of Bridge Pile Foundations in Complex Rock Strata: Considering the Effect of Pile Roughness
by Shuqing Pan, Xiaoxiong Lin, Qingye Shi and Bai Yang
Buildings 2026, 16(8), 1486; https://doi.org/10.3390/buildings16081486 - 9 Apr 2026
Viewed by 175
Abstract
A rock-socketed pile model load test was conducted for the renovation project of the dangerous old bridge at Shaoping Bridge. The experiment focused on the core parameter of the roughness factor (RF) of the pile body, revealing its influence on the bearing characteristics. [...] Read more.
A rock-socketed pile model load test was conducted for the renovation project of the dangerous old bridge at Shaoping Bridge. The experiment focused on the core parameter of the roughness factor (RF) of the pile body, revealing its influence on the bearing characteristics. The study delved into the load–displacement relationship, ultimate bearing capacity evolution, axial force transmission mechanism, average lateral resistance performance characteristics, and pile–soil relative displacement law of test piles in complex rock formations under different RF values. The research results indicated the following: The test pile exhibited typical brittle failure. At the moment of failure, the load at the pile head dropped abruptly, resulting in a steep drop in its load–displacement curve. Under ultimate load conditions, the average attenuation amplitudes of axial force in the four test piles decreased progressively in Rock Layer I, II, and III, measuring 26.96%, 14.86%, and 10.84%, respectively. The average side resistance distribution along the pile shaft showed a single-peak pattern, peaking in Rock Layer I. Increasing RF effectively enhanced the bearing capacity of test piles. However, a higher RF value does not necessarily yield better results, as it exhibits an inverted U-shaped relationship with bearing capacity. Under the specific conditions of this study, the highest bearing capacity among the tested RF values was observed at RF = 0.168; beyond this threshold, performance actually declined. The pile-top load was primarily shared by side resistance and end bearing resistance. Both components initially increased and then decreased with increasing RF, where the end bearing resistance accounted for 43.64~49.47% of the upper load. Full article
(This article belongs to the Special Issue Stability and Performance of Building Foundations)
Show Figures

Figure 1

26 pages, 4773 KB  
Article
Research on Random Forest-Based Downscaling Inversion Techniques for Numerical Precipitation Prediction Guided by Integrated Physical Mechanisms
by Haoshuang Liao, Shengchu Zhang, Jun Guo, Qiukuan Zhou, Xinyu Chang and Xinyi Liu
Water 2026, 18(5), 574; https://doi.org/10.3390/w18050574 - 27 Feb 2026
Viewed by 334
Abstract
Numerical weather prediction (NWP) models are essential for precipitation forecasting but are constrained by coarse spatial resolutions (10–50 km), which fail to capture fine-scale variations required for regional disaster prevention, particularly in complex terrain. While statistical and machine learning downscaling methods have been [...] Read more.
Numerical weather prediction (NWP) models are essential for precipitation forecasting but are constrained by coarse spatial resolutions (10–50 km), which fail to capture fine-scale variations required for regional disaster prevention, particularly in complex terrain. While statistical and machine learning downscaling methods have been developed to bridge this resolution gap, they predominantly operate as “black boxes” without explicit physical guidance, leading to predictions that violate meteorological principles and systematic underestimation of extreme precipitation events. To address these limitations, this study aims to develop a Physics-Informed Machine Learning framework that explicitly integrates multi-scale topographic modulation and physical consistency constraints into precipitation downscaling. Specifically, a Random Forest model enhanced with Multi-Scale Structural Similarity (MS-SSIM) loss and Physical Constraint Enhancement (MSSSIM-PCE-RF) was constructed. The model introduces elevation gradient weights at low-resolution layers and micro-topographic parameters (slope, surface roughness) at high-resolution layers, while enforcing physical consistency between precipitation intensity, radar reflectivity, and ground observations via the Z-R relationship. Based on hourly data from 2252 meteorological stations in Jiangxi Province (2021–2022), coupled with topographic factors (DEM, slope, aspect) and Normalized Difference Vegetation Index (NDVI), a technical framework of “data fusion–feature synergy–machine learning–spatial reconstruction” was established. Results demonstrate that the MSSSIM-PCE-RF model achieves a validation R2 of 0.9465 and RMSE of 0.1865 mm, significantly outperforming the conventional RF model (R2 = 0.9272). Notably, errors in high-altitude, steep-slope, and high-vegetation areas are reduced by 45.3%, 42.0%, and 43.1%, respectively, with peak precipitation period errors decreasing by 37.2%. Multi-scale topographic analysis reveals significant orographic lifting effects at 250–1000 m elevations, peak precipitation at 12–15° slopes, and abundant precipitation on south/southeast aspects. By explicitly embedding topographic modulation and physical consistency constraints, the model effectively alleviates systematic underestimation of extreme precipitation in complex terrain, providing high-resolution data support for transmission line disaster prevention and micro-meteorological risk assessment. Full article
(This article belongs to the Section Hydrology)
Show Figures

Figure 1

22 pages, 4589 KB  
Article
Evaluation of the Relationship Between Fracture Toughness and Hydrogen-Induced Damage in X70 Line Pipe Steel for Low-Temperature Service
by Reza Khatib Zadeh Davani, Enyinnaya George Ohaeri, Sandeep Yadav, Ehsan Entezari, Jerzy A. Szpunar, Michael J. Gaudet and Muhammad Rashid
Materials 2026, 19(3), 552; https://doi.org/10.3390/ma19030552 - 30 Jan 2026
Viewed by 505
Abstract
In this study, X70 line pipe steels were subjected to different hot rolling treatments under three conditions with varying roughing (R) and finishing (F) reductions while maintaining the same total reduction to investigate the effect on drop weight tear test (DWTT) toughness and [...] Read more.
In this study, X70 line pipe steels were subjected to different hot rolling treatments under three conditions with varying roughing (R) and finishing (F) reductions while maintaining the same total reduction to investigate the effect on drop weight tear test (DWTT) toughness and hydrogen-induced damage as assessed through electrochemical charging. Scanning Electron Microscope (SEM) images were used to analyze microstructure phases and their volume fractions, while Electron Backscatter Diffraction (EBSD) provided quantitative microscopy, and X-ray analysis examined crystallographic texture. Although all steels exhibited similar microstructure phases, the effective grain size and morphology varied slightly across the thickness. As these variations were minor, the focus shifted to other microstructural features such as textural characteristics. Overall, the steel with the medium R/F reduction demonstrated improved DWTT performance and greater hydrogen cracking and blistering resistance. This was attributed to stronger Transformed Brass (TBr) and Transformed Copper (TC) components, weaker Rotated-Cube (RC) texture, and lower Kernel Average Misorientation (KAM) values. Across the three steels in this work, this study demonstrates that increased fraction of blocky austenite/martensite as secondary phases, high geometrically necessary dislocation (GND) density, and RC texture negatively affect both DWTT and hydrogen damage resistance, whereas gamma (γ)-fiber and {332}<113> textures have positive effects. Improving these metallurgical factors can therefore boost toughness and reduce hydrogen-induced damage in line-pipe steels. Full article
(This article belongs to the Special Issue Corrosion and Mechanical Behavior of Metal Materials (3rd Edition))
Show Figures

Graphical abstract

13 pages, 2505 KB  
Article
An Experimental Investigation of the Influence of Deposition Power and Pressure on the Anti-Icing and Wettability Properties of Al-Doped ZnO Thin Films Prepared by Magnetron Sputtering
by Vandan Vyas, Kamlesh V. Chauhan, Sushant Rawal and Noor Mohammad Mohammad
Metals 2025, 15(12), 1389; https://doi.org/10.3390/met15121389 - 18 Dec 2025
Viewed by 467
Abstract
In the presented research, aluminum-doped zinc oxide (AZO) thin films were synthesized on high-power transmission lines using the RF magnetron sputtering process. The impact of deposition power (160 W to 280 W) and deposition pressure (2 Pa to 5 Pa), on key characteristics [...] Read more.
In the presented research, aluminum-doped zinc oxide (AZO) thin films were synthesized on high-power transmission lines using the RF magnetron sputtering process. The impact of deposition power (160 W to 280 W) and deposition pressure (2 Pa to 5 Pa), on key characteristics like material composition, wettability, anti-icing behavior, and average crystal size were analyzed. The optimization of wettability and anti-icing performance was carried out using two-factor, four-level design of the Taguchi method to study the combined effects of multiple parameters rather than the effect of a single parameter. Considerable variation in the water contact angle, from 92.3° to 123.6°, has been observed, suggesting an enhancement in hydrophobic nature with optimized condition. Anti-icing tests demonstrated that the coated surface delayed ice accumulation by approximately 4.56 times compared to the uncoated surface. X-ray diffraction (XRD) analysis was carried out to confirm notable changes in the intensity of the (002) peak along the c-axis, directly correlating with grain size modification. The change in surface roughness was studied using AFM and the results were compared to establish a relationship between surface roughness and average grain size. Overall, the findings highlight the critical role of deposition parameters and their interactions in modifying the surface and structural properties of AZO thin films, which demonstrates their potential application for improving the anti-icing performance of transmission lines. Full article
(This article belongs to the Special Issue Surface Treatments and Coating of Metallic Materials)
Show Figures

Figure 1

19 pages, 4373 KB  
Article
Effect of Shaft Roughness on the Bearing Capacity of Rock-Socketed Friction Piles
by Hangyu Yan, Xiaoling Fan, Yuanhao Yang, Yinhai Zhang and Bai Yang
Buildings 2025, 15(24), 4509; https://doi.org/10.3390/buildings15244509 - 13 Dec 2025
Viewed by 498
Abstract
Rock-socketed piles are a common type of end-bearing pile, but when there is deep sediment or holes at the pile bottom, the load is primarily supported by side resistance. In this study, based on such conditions and considering the influence of pile shaft [...] Read more.
Rock-socketed piles are a common type of end-bearing pile, but when there is deep sediment or holes at the pile bottom, the load is primarily supported by side resistance. In this study, based on such conditions and considering the influence of pile shaft roughness, model tests were conducted to investigate the bearing characteristics of rock-socketed friction piles. The results show that the failure mode of rock-socketed friction piles is the formation of a penetrating cylinder in the rock layer, with the cylinder diameter directly approximating the pile diameter. The load–displacement curves of the test piles are steeply variable. After reaching the ultimate bearing capacity, the residual bearing capacity of rough test pile is approximately 60% of the ultimate bearing capacity, while that of smooth test pile is 72.4%. The maximum side resistance of the test pile is located within a depth range of 25 mm below the soil–rock interface, and the upper load of 41.0% to 48.9% on the test piles was born by the pile side resistance within this depth range. As the roughness factor (RF) increases gradually from 0.0 to 0.3, the ultimate bearing capacity of the test pile shows nearly linear growth, the ultimate displacement increases sharply first and then decreases slowly, and both the axial force attenuation and the percentage of side resistance within the depth range of 25 mm below the soil–rock interface gradually increase slightly. In this paper, two existing methods are employed to calculate the ultimate bearing capacity of friction piles under the conditions of this study. Based on a comparison of the results, the applicable conditions for each method are proposed. The findings of this study can serve as a reference for the design of rock-socketed piles in similar geological formations. Full article
Show Figures

Figure 1

20 pages, 2093 KB  
Review
A Practical Guide Paper on Bulk and PLD Thin-Film Metals Commonly Used as Photocathodes in RF and SRF Guns
by Alessio Perrone, Muhammad Rizwan Aziz, Francisco Gontad, Nikolaos A. Vainos and Anna Paola Caricato
Chemistry 2025, 7(4), 123; https://doi.org/10.3390/chemistry7040123 - 30 Jul 2025
Viewed by 1883
Abstract
This paper serves as a comprehensive and practical resource to guide researchers in selecting suitable metals for use as photocathodes in radio-frequency (RF) and superconducting radio-frequency (SRF) electron guns. It offers an in-depth review of bulk and thin-film metals commonly employed in many [...] Read more.
This paper serves as a comprehensive and practical resource to guide researchers in selecting suitable metals for use as photocathodes in radio-frequency (RF) and superconducting radio-frequency (SRF) electron guns. It offers an in-depth review of bulk and thin-film metals commonly employed in many applications. The investigation includes the photoemission, optical, chemical, mechanical, and physical properties of metallic materials used in photocathodes, with a particular focus on key performance parameters such as quantum efficiency, operational lifetime, chemical inertness, thermal emittance, response time, dark current, and work function. In addition to these primary attributes, this study examines essential parameters such as surface roughness, morphology, injector compatibility, manufacturing techniques, and the impact of chemical environmental factors on overall performance. The aim is to provide researchers with detailed insights to make well-informed decisions on materials and device selection. The holistic approach of this work associates, in tabular format, all photo-emissive, optical, mechanical, physical, and chemical properties of bulk and thin-film metallic photocathodes with experimental data, aspiring to provide unique tools for maximizing the effectiveness of laser cleaning treatment. Full article
(This article belongs to the Section Electrochemistry and Photoredox Processes)
Show Figures

Figure 1

20 pages, 3918 KB  
Article
Engineered Cu0.5Ni0.5Al2O4/GCN Spinel Nanostructures for Dual-Functional Energy Storage and Electrocatalytic Water Splitting
by Abdus Sami, Sohail Ahmad, Ai-Dang Shan, Sijie Zhang, Liming Fu, Saima Farooq, Salam K. Al-Dawery, Hamed N. Harharah, Ramzi H. Harharah and Gasim Hayder
Processes 2025, 13(7), 2200; https://doi.org/10.3390/pr13072200 - 9 Jul 2025
Cited by 3 | Viewed by 1198
Abstract
The rapid growth in population and industrialization have significantly increased global energy demand, placing immense pressure on finite and environmentally harmful conventional fossil fuel-based energy sources. In this context, the development of hybrid electrocatalysts presents a crucial solution for energy conversion and storage, [...] Read more.
The rapid growth in population and industrialization have significantly increased global energy demand, placing immense pressure on finite and environmentally harmful conventional fossil fuel-based energy sources. In this context, the development of hybrid electrocatalysts presents a crucial solution for energy conversion and storage, addressing environmental challenges while meeting rising energy needs. In this study, the fabrication of a novel bifunctional catalyst, copper nickel aluminum spinel (Cu0.5Ni0.5Al2O4) supported on graphitic carbon nitride (GCN), using a solid-state synthesis process is reported. Because of its effective interface design and spinel cubic structure, the Cu0.5Ni0.5Al2O4/GCN nanocomposite, as synthesized, performs exceptionally well in electrochemical energy conversion, such as the oxygen evolution reaction (OER), the hydrogen evolution reaction (HER), and energy storage. In particular, compared to noble metals, Pt/C- and IrO2-based water-splitting cells require higher voltages (1.70 V), while for the Cu0.5Ni0.5Al2O4/GCN nanocomposite, a voltage of 1.49 V is sufficient to generate a current density of 10 mA cm−2 in an alkaline solution. When used as supercapacitor electrode materials, Cu0.5Ni0.5Al2O4/GCN nanocomposites show a specific capacitance of 1290 F g−1 at a current density of 1 A g−1 and maintain a specific capacitance of 609 F g−1 even at a higher current density of 5 A g−1, suggesting exceptional rate performance and charge storage capacity. The electrode’s exceptional capacitive properties were further confirmed through the determination of the roughness factor (Rf), which represents surface heterogeneity and active area enhancement, with a value of 345.5. These distinctive characteristics render the Cu0.5Ni0.5Al2O4/GCN composite a compelling alternative to fossil fuels in the ongoing quest for a viable replacement. Undoubtedly, the creation of the Cu0.5Ni0.5Al2O4/GCN composite represents a significant breakthrough in addressing the energy crisis and environmental concerns. Owing to its unique composition and electrocatalytic characteristics, it is considered a feasible choice in the pursuit of ecologically sustainable alternatives to fossil fuels. Full article
Show Figures

Graphical abstract

16 pages, 2659 KB  
Article
Influence of Roughness Factor on the Bearing Characteristics of Rock-Socketed Piles
by Zhilin Wang, Qingye Shi, Hongming Li, Tao Xiao, Zhihao Tang, Xiang Huang and Bai Yang
Buildings 2025, 15(11), 1785; https://doi.org/10.3390/buildings15111785 - 23 May 2025
Cited by 1 | Viewed by 872
Abstract
With the rapid development of the national economy, the construction of super high-rise buildings, long-span bridges, high-speed railways, and transmission towers has become increasingly common. It is also more frequent to build structures on karst foundations, which imposes higher demands on foundation engineering, [...] Read more.
With the rapid development of the national economy, the construction of super high-rise buildings, long-span bridges, high-speed railways, and transmission towers has become increasingly common. It is also more frequent to build structures on karst foundations, which imposes higher demands on foundation engineering, especially pile foundations. To study the influence of the roughness factor (RF) on the bearing characteristics of rock-socketed pile, model pile load tests were conducted with different RF values (0.0, 0.1, 0.2, and 0.3) to reveal the failure modes of the test pile, analyze the characteristics of the load–displacement curves and the axial force and resistance exertion law of the pile, and discuss the influence of the RF on the ultimate bearing capacity of the test pile. Based on the load transfer law of test piles, a load transfer model considering the relative pile–soil displacement and the shear dilatancy effect of pile–rock is established to analyze its load transfer characteristics. The results show that the failure mode of the test pile is splitting failure. The load–displacement curves are upward concave and slowly varying. The pile side resistance and the pile tip resistance mainly bear the load on the pile top. As the load on the pile top increases, the pile tip resistance gradually comes into play, and when the ultimate load is reached, the pile tip resistance bears 72.12% to 79.22% of the upper load. The pile side resistance is mainly borne by the rock-socketed section, and the pile side resistance increases sharply after entering the rock layer, but it decreases slightly with increasing depth, and the peak point is located in the range of 1.25D below the soil–rock interface. Increasing the roughness of the pile can greatly improve the ultimate bearing capacity. In this study, the ultimate bearing capacity of the test pile shows a trend of increasing and then decreasing with the gradual increase in RF from 0.0 to 0.3, and the optimal RF is 0.2. The load transfer model of pile–soil relative displacement and pile–rock shear dilatancy effect, as well as the pile tip load calculation model, were established. The calculation results were compared with the test results and engineering measured data, respectively, and they are in good agreement. Full article
(This article belongs to the Special Issue Advances in Building Foundation Engineering)
Show Figures

Figure 1

21 pages, 2095 KB  
Article
Short-Term In Vitro Exposure of Human Blood to 5G Network Frequencies: Do Sex and Frequency Additionally Affect Erythrocyte Morphometry?
by Nikolino Žura, Silvijo Vince, Porin Perić, Marinko Vilić, Krešimir Malarić, Vladimira Rimac, Branka Golubić Ćepulić, Marina Vajdić, Ivan Jurak, Suzana Milinković Tur, Nina Poljičak Milas, Marko Samardžija, Jakob Nemir, Mirjana Telebuh and Ivona Žura Žaja
Biomedicines 2025, 13(2), 478; https://doi.org/10.3390/biomedicines13020478 - 15 Feb 2025
Cited by 2 | Viewed by 5027
Abstract
Background/Objectives: This study assessed the effects of 5G radiofrequency electromagnetic radiation (RF-EMR) at different frequencies (700 MHz, 2500 MHz, 3500 MHz) on the complete blood count (CBC), erythrocyte morphometry, and platelet activation after the short-term in vitro exposure of human blood. Methods [...] Read more.
Background/Objectives: This study assessed the effects of 5G radiofrequency electromagnetic radiation (RF-EMR) at different frequencies (700 MHz, 2500 MHz, 3500 MHz) on the complete blood count (CBC), erythrocyte morphometry, and platelet activation after the short-term in vitro exposure of human blood. Methods: Blood samples from 30 healthy volunteers (15 men and 15 women, aged 25–40 years old) were collected at three intervals (14 days apart). For each collection, four tubes of blood were drawn per volunteer—two experimental and two controls. Experimental samples were exposed to 5G RF-EMR for 2 h at room temperature using a half-cone gigahertz transverse electromagnetic cell. The CBC was analysed via a haematology analyser, the erythrocyte morphometry was analysed using the SFORM program, and platelet activation was analysed via flow cytometry. Results: The CBC and platelet activation showed no significant differences between the experimental and control samples. However, the erythrocyte morphometry exhibited notable changes. At 700 MHz, the erythrocyte size, contour, and membrane roughness increased significantly for both sexes, with women’s cells showing greater sensitivity. At 2500 MHz, women exhibited an increased contour index and a decreased solidity and form factor. At 3500 MHz, women showed an increased contour index and outline but a decreased solidity, elongation, and form factor. Cluster analysis identified two erythrocyte subpopulations: smaller, rounder cells with smooth membranes and larger cells with rougher membranes. Conclusions: These results indicate that 5G RF-EMR exposure significantly alters erythrocyte morphometry. The strongest effects were observed at 700 MHz, where men exhibited greater membrane roughness, and women showed larger and rounder erythrocytes. These findings suggest that short-term in vitro 5G RF-EMR exposure disrupts the cytoskeleton, increasing membrane permeability and deformability. Full article
(This article belongs to the Section Cell Biology and Pathology)
Show Figures

Figure 1

19 pages, 6481 KB  
Article
Roughness Evaluation of Bamboo Surfaces Created by Abrasive Belt Sanding
by Jian Zhang, Yunhao Cui, Haibin Yang, Liuting Wang and Jun Qian
Forests 2025, 16(1), 66; https://doi.org/10.3390/f16010066 - 2 Jan 2025
Cited by 1 | Viewed by 1761
Abstract
Mechanical belt sanding is critical in the manufacturing of bamboo and bamboo products, where surface roughness is commonly used to quantitatively evaluate the surface quality. In this study, flattened bamboo workpieces were sanded using P80 and P120 abrasive belts to create different surfaces. [...] Read more.
Mechanical belt sanding is critical in the manufacturing of bamboo and bamboo products, where surface roughness is commonly used to quantitatively evaluate the surface quality. In this study, flattened bamboo workpieces were sanded using P80 and P120 abrasive belts to create different surfaces. The linear roughness parameters, namely Rz, Ra, Rq, Rsk, Rku, and Rmr(c), were measured using both a stylus profilometer and a 3D profilometer. Statistical t-tests were conducted to determine the significance of differences between the two methods. Additionally, roughness profiles were analyzed in the frequency domain using Fast Fourier Transform (FFT) and Power Spectral Density (PSD) methods. A Random Forest (RF) regression model was also developed to predict the roughness values and figure out the dominant factors between granularity and measurement methods. The results revealed that both the stylus and 3D profilometers provided reliable comparisons of Rz, Ra, Rq, and Rmr (50%) for different grit sizes. However, resolution differences between the two methods were found to be critical for accurately interpreting roughness values. Variations in Rsk and Rku highlighted differences in sensitivity and detection range, particularly at finer scales, between the two methods. The stylus profilometer, with its higher spatial resolution and finer sampling density, demonstrated greater sensitivity to finer surface details. This was consistent with the FFT and PSD analyses, which showed that the stylus profilometer captured higher-frequency surface components more effectively. Furthermore, the RF model indicated that the choice of measurement method had negligible impact on the evaluation of the selected roughness parameters, suggesting that standardizing measurement techniques may not be essential for consistent roughness assessments of sanded bamboo surfaces. Full article
(This article belongs to the Section Wood Science and Forest Products)
Show Figures

Figure 1

26 pages, 7740 KB  
Article
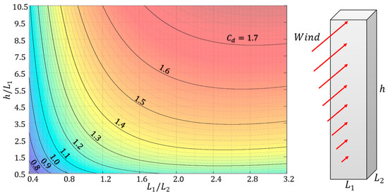
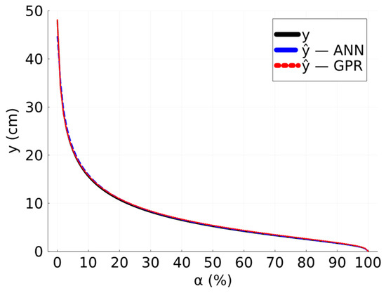
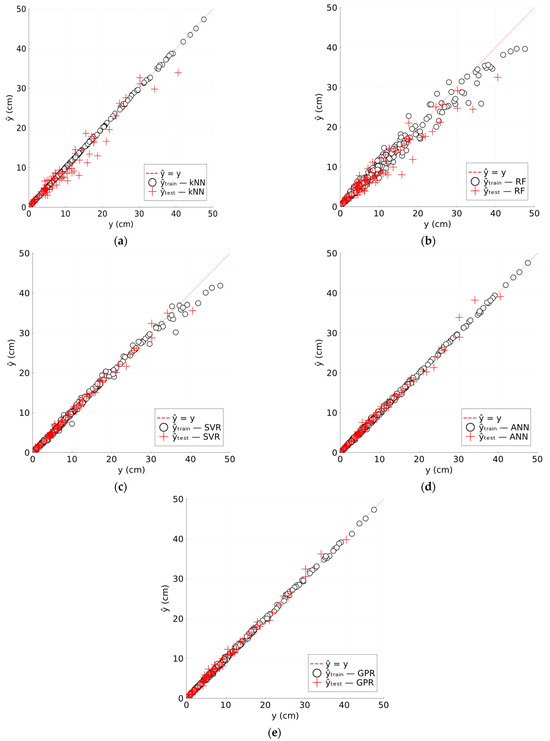
Wind-Induced Dynamic Critical Response in Buildings Using Machine Learning Techniques
by Rodolfo S. Conceição and Francisco Evangelista Junior
Buildings 2024, 14(10), 3286; https://doi.org/10.3390/buildings14103286 - 17 Oct 2024
Cited by 1 | Viewed by 2171
Abstract
Wind is one of the main factors causing variable actions in tall buildings, and its effects cannot be neglected in the evaluation of either displacements and accelerations that develop in the structure or the internal forces generated indirectly within. However, the structural analyses [...] Read more.
Wind is one of the main factors causing variable actions in tall buildings, and its effects cannot be neglected in the evaluation of either displacements and accelerations that develop in the structure or the internal forces generated indirectly within. However, the structural analyses necessary for these evaluations usually lead to high computational efforts, so surrogate models have been increasingly used to reduce the computational time required. In this work, five machine learning techniques are evaluated for predicting maximum displacement in buildings under dynamic wind loads: k-nearest neighbors (kNN), random forest (RF), support vector regression (SVR), Gaussian process regression (GPR), and artificial neural network (ANN). An initial dataset with 500 random samples was used to evaluate the responses generated by the models. The predictor variables were the building’s height, width, and length; average density; damping ratio; wind velocity; and ground roughness. The obtained results demonstrate that the techniques can predict dynamic responses, mainly the GPR and the ANN. Full article
(This article belongs to the Section Building Energy, Physics, Environment, and Systems)
Show Figures

Figure 1

19 pages, 10719 KB  
Article
A New Robust Lunar Landing Selection Method Using the Bayesian Optimization of Extreme Gradient Boosting Model (BO-XGBoost)
by Shibo Wen, Yongzhi Wang, Qizhou Gong, Jianzhong Liu, Xiaoxi Kang, Hengxi Liu, Rui Chen, Kai Zhu and Sheng Zhang
Remote Sens. 2024, 16(19), 3632; https://doi.org/10.3390/rs16193632 - 29 Sep 2024
Cited by 14 | Viewed by 2962
Abstract
The safety of lunar landing sites directly impacts the success of lunar exploration missions. This study develops a data-driven predictive model based on machine learning, focusing on engineering safety to assess the suitability of lunar landing sites and provide insights into key factors [...] Read more.
The safety of lunar landing sites directly impacts the success of lunar exploration missions. This study develops a data-driven predictive model based on machine learning, focusing on engineering safety to assess the suitability of lunar landing sites and provide insights into key factors and feature representations. Six critical engineering factors were selected as constraints for evaluation: slope, elevation, roughness, hillshade, optical maturity, and rock abundance. The XGBoost model was employed to simulate and predict the characteristics of landing areas and Bayesian optimization was used to fine-tune the model’s key hyperparameters, enhancing its predictive performance. The results demonstrate that this method effectively extracts relevant features from multi-source remote sensing data and quantifies the suitability of landing zones, achieving an accuracy of 96% in identifying landing sites (at a resolution of 0.1° × 0.1°), with AUC values exceeding 95%. Notably, slope was recognized as the most critical factor affecting safety. Compared to assessment processes based on Convolutional Neural Networks (CNNs) and Random Forest (RF) models, XGBoost showed superior performance in handling missing values and evaluating feature importance accuracy. The findings suggest that the BO-XGBoost model shows notable classification performance in evaluating the suitability of lunar landing sites, which may provide valuable support for future landing missions and contribute to optimizing lunar exploration efforts. Full article
(This article belongs to the Section Satellite Missions for Earth and Planetary Exploration)
Show Figures

Figure 1

23 pages, 886 KB  
Article
Combining Advanced Feature-Selection Methods to Uncover Atypical Energy-Consumption Patterns
by Lucas Henriques, Felipe Prata Lima and Cecilia Castro
Future Internet 2024, 16(7), 229; https://doi.org/10.3390/fi16070229 - 28 Jun 2024
Cited by 3 | Viewed by 4325
Abstract
Understanding household energy-consumption patterns is essential for developing effective energy-conservation strategies. This study aims to identify ‘out-profiled’ consumers—households that exhibit atypical energy-usage behaviors—by applying four distinct feature-selection methodologies. Specifically, we utilized the chi-square independence test to assess feature independence, recursive feature elimination with [...] Read more.
Understanding household energy-consumption patterns is essential for developing effective energy-conservation strategies. This study aims to identify ‘out-profiled’ consumers—households that exhibit atypical energy-usage behaviors—by applying four distinct feature-selection methodologies. Specifically, we utilized the chi-square independence test to assess feature independence, recursive feature elimination with multinomial logistic regression (RFE-MLR) to identify optimal feature subsets, random forest (RF) to determine feature importance, and a combined fuzzy rough feature selection with fuzzy rough nearest neighbors (FRFS-FRNN) for handling uncertainty and imprecision in data. These methods were applied to a dataset based on a survey of 383 households in Brazil, capturing various factors such as household size, income levels, geographical location, and appliance usage. Our analysis revealed that key features such as the number of people in the household, heating and air conditioning usage, and income levels significantly influence energy consumption. The novelty of our work lies in the comprehensive application of these advanced feature-selection techniques to identify atypical consumption patterns in a specific regional context. The results showed that households without heating and air conditioning equipment in medium- or high-consumption profiles, and those with lower- or medium-income levels in medium- or high-consumption profiles, were considered out-profiled. These findings provide actionable insights for energy providers and policymakers, enabling the design of targeted energy-conservation strategies. This study demonstrates the importance of tailored approaches in promoting sustainable energy consumption and highlights notable deviations in energy-use patterns, offering a foundation for future research and policy development. Full article
Show Figures

Figure 1

Back to TopTop