Sign in to use this feature.

Years

Between: -

Subjects

remove_circle_outline
remove_circle_outline
remove_circle_outline
remove_circle_outline
remove_circle_outline
remove_circle_outline
remove_circle_outline
remove_circle_outline
remove_circle_outline

Journals

remove_circle_outline
remove_circle_outline
remove_circle_outline
remove_circle_outline
remove_circle_outline
remove_circle_outline
remove_circle_outline

Article Types

Countries / Regions

remove_circle_outline
remove_circle_outline
remove_circle_outline
remove_circle_outline
remove_circle_outline

Search Results (545)

Search Parameters:
Keywords = rock property measurements

Order results
Result details
Results per page
Select all
Export citation of selected articles as:
28 pages, 2701 KB  
Article
The Impact of Diagenesis on the Reservoir Properties of the Carboniferous Sandstones of Western Pomerania (NW Poland)
by Aleksandra Kozłowska
Minerals 2026, 16(1), 101; https://doi.org/10.3390/min16010101 - 20 Jan 2026
Abstract
The aim of the study is to assess the effect of diagenesis on the reservoir properties of Carboniferous sandstones in Western Pomerania (NW Poland). The research focuses on Mississippian (Łobżonka Shale, Gozd Arkose, and Drzewiany Sandstone formations) and Pennsylvanian (Wolin, Rega, and Dziwna [...] Read more.
The aim of the study is to assess the effect of diagenesis on the reservoir properties of Carboniferous sandstones in Western Pomerania (NW Poland). The research focuses on Mississippian (Łobżonka Shale, Gozd Arkose, and Drzewiany Sandstone formations) and Pennsylvanian (Wolin, Rega, and Dziwna formations) rocks. A comparative analysis of the sandstones in the individual formations was carried out. The sandstone samples taken from 13 deep boreholes were studied petrographically (using a polarizing microscope, cathodoluminescence, and a scanning electron microscope), and petrophysical features were measured. The Carboniferous sandstones are represented mainly by quartz arenites ranging from very fine- to medium-grained and arkosic and lithic arenites from fine- to coarse-grained. The main diagenetic processes that affected the porosity and permeability of quartz arenites were compaction and cementation. Compaction reduced the primary porosity by an average of about 60% and cementation by about 40% in the Pennsylvanian sandstones. Primary porosity of arkosic and lithic arenites was affected mainly by compaction, cementation, and dissolution. Arkosic arenites have lost an average of 80% of their primary porosity as a result of mechanical compaction. The porosity of these sandstones increased due to the dissolution of mainly feldspar grains and the formation of secondary porosity. Among the Mississippian sandstones, quartz arenites of the Łobżonka Shale Formation exhibit unfavorable reservoir properties (porosity approx. 1%, impermeable). The volcaniclastic arkosic and lithic arenites of the Gozd Arkose Formation have poor reservoir qualities (porosity usually around 5%, mostly impermeable). The quartz arenites of the Drzewiany Sandstone Formation show the best reservoir properties (porosity of about 18%, permeability up to 1000 mD). The Pennsylvanian sandstones, quartz arenites of the Wolin and Rega formations, are characterized by good reservoir qualities (porosity approx. 10%, permeability up to 200 mD), while the Dziwna Formation sandstones show worse properties (porosity approx. 10%, often impermeable). Full article
(This article belongs to the Section Mineral Exploration Methods and Applications)
16 pages, 7231 KB  
Article
Underwater Performance of Eco-Friendly Choline-Based Ionic Liquid Coatings Applied on Stone Surfaces
by Marika Luci, Filomena De Leo, Mirko Mutalipassi, Teresa Romeo, Silvestro Greco, Chiara Giommi, Lorenzo Evola, Mauro Francesco La Russa, Michela Ricca, Donatella de Pascale, Clara Enza Urzì, Sandra Lo Schiavo, Christian Galasso, Nadia Ruocco and Silvestro Antonio Ruffolo
Coatings 2026, 16(1), 136; https://doi.org/10.3390/coatings16010136 - 20 Jan 2026
Abstract
In the marine environment, numerous factors endanger the preservation of underwater rock surfaces as well as submerged archeological artifacts, including physical, chemical, and biological processes. Limestone and marble are common materials used in artifacts due to their availability and long-term durability. However, such [...] Read more.
In the marine environment, numerous factors endanger the preservation of underwater rock surfaces as well as submerged archeological artifacts, including physical, chemical, and biological processes. Limestone and marble are common materials used in artifacts due to their availability and long-term durability. However, such surfaces provide a suitable substrate for the settlement of micro- and macro-organisms, causing so-called biofouling, which significantly contributes to stone deterioration. Previous studies have demonstrated the applicability of antifouling coatings containing ionic liquids (ILs) on marble surfaces and assessed their durability for up to 15 days under submerged environments. To further corroborate these results, additional physical studies (colorimetric, contact angles, capillarity water absorption measurements, and UV aging) were carried out on treated limestone. Washout tests were also performed on both lithotypes to verify the coatings’ stability under medium-term underwater exposures. The results of these investigations are reported here. Our data confirm that the application of IL-based coatings had no effect on the intrinsic properties of the limestone surfaces, as previously reported for marble, including resistance to daily UV irradiation. In addition, laboratory tests demonstrated good coating durability against seawater erosive action for up to 6 months. Full article
Show Figures

Figure 1

14 pages, 3133 KB  
Article
Three-Dimensional Modeling of Full-Diameter Micro–Nano Digital Rock Core Based on CT Scanning
by Changyuan Xia, Jingfu Shan, Yueli Li, Guowen Liu, Huanshan Shi, Penghui Zhao and Zhixue Sun
Processes 2026, 14(2), 337; https://doi.org/10.3390/pr14020337 - 18 Jan 2026
Viewed by 159
Abstract
Characterizing tight reservoirs is challenging due to the complex pore structure and strong heterogeneity at various scales. Current digital rock physics often struggles to reconcile high-resolution imaging with representative sample sizes, and 3D digital cores are frequently used primarily as visualization tools rather [...] Read more.
Characterizing tight reservoirs is challenging due to the complex pore structure and strong heterogeneity at various scales. Current digital rock physics often struggles to reconcile high-resolution imaging with representative sample sizes, and 3D digital cores are frequently used primarily as visualization tools rather than predictive, computable platforms. Thus, a clear methodological gap persists: high-resolution models typically lack macroscopic geological features, while existing 3D digital models are seldom leveraged for quantitative, predictive analysis. This study, based on a full-diameter core sample of a single lithology (gray-black shale), aims to bridge this gap by developing an integrated workflow to construct a high-fidelity, computable 3D model that connects the micro–nano to the macroscopic scale. The core was scanned using high-resolution X-ray computed tomography (CT) at 0.4 μm resolution. The raw CT images were processed through a dedicated pipeline to mitigate artifacts and noise, followed by segmentation using Otsu’s algorithm and region-growing techniques in Avizo 9.0 to isolate minerals, pores, and the matrix. The segmented model was converted into an unstructured tetrahedral finite element mesh within ANSYS 2024 Workbench, with quality control (aspect ratio ≤ 3; skewness ≤ 0.4), enabling mechanical property assignment and simulation. The digital core model was rigorously validated against physical laboratory measurements, showing excellent agreement with relative errors below 5% for key properties, including porosity (4.52% vs. 4.615%), permeability (0.0186 mD vs. 0.0192 mD), and elastic modulus (38.2 GPa vs. 39.5 GPa). Pore network analysis quantified the poor connectivity of the tight reservoir, revealing an average coordination number of 2.8 and a pore throat radius distribution of 0.05–0.32 μm. The presented workflow successfully creates a quantitatively validated “digital twin” of a full-diameter core. It provides a tangible solution to the scale-representativeness trade-off and transitions digital core analysis from a visualization tool to a computable platform for predicting key reservoir properties, such as permeability and elastic modulus, through numerical simulation, offering a robust technical means for the accurate evaluation of tight reservoirs. Full article
(This article belongs to the Section Energy Systems)
Show Figures

Figure 1

31 pages, 6020 KB  
Article
Effects of Geometry, Joint Properties, and Deterioration Scenarios on the Hydromechanical Response of Gravity Dams
by Maria Luísa Braga Farinha, Nuno Monteiro Azevedo and Sérgio Oliveira
Appl. Mech. 2026, 7(1), 8; https://doi.org/10.3390/applmech7010008 - 15 Jan 2026
Viewed by 84
Abstract
An explicit coupled two-dimensional (2D) hydromechanical model (HMM) that can simulate discontinuous features in the foundation, as well as the effects of grout curtains and drainage systems, is employed to evaluate the influence of key parameters such as dam height, foundation behaviour, joint [...] Read more.
An explicit coupled two-dimensional (2D) hydromechanical model (HMM) that can simulate discontinuous features in the foundation, as well as the effects of grout curtains and drainage systems, is employed to evaluate the influence of key parameters such as dam height, foundation behaviour, joint patterns, joint stiffness and strength, hydraulic apertures, and grout curtain permeability. A parametric sensitive study using four gravity dams, and a real case study of an operating dam are presented. The results presented show that dam height influences the relationship between water level in the reservoir and drain discharges, with higher dams showing more pronounced curved nonlinearity. The strength properties of the concrete–rock interface are also shown to have a meaningful influence on the HM response, especially for an elastic foundation and for higher dams, showing the need to properly characterize this interface through in situ testing. The joint aperture at nominal zero stress is shown to be the parameter with the most significant effect on the HM response. The results also show that a progressive degradation scenario of the concrete–rock interface or of the grout curtain permeability is easier to identify through the hydraulic measurements than in the mechanical displacement field. Full article
Show Figures

Graphical abstract

19 pages, 7841 KB  
Article
Research on Lateral Loading Behavior of Embedded Rock-Socketed Jacket Offshore Wind Turbines
by Ronghua Zhu, Yuning Zhang, Feipeng Zou, Jiajun Hu, Zijian Tao and Yong Chen
J. Mar. Sci. Eng. 2026, 14(2), 183; https://doi.org/10.3390/jmse14020183 - 15 Jan 2026
Viewed by 95
Abstract
As an innovative foundation type specifically developed for seabed conditions characterized by shallow overburden overlying bedrock, driven embedded rock-socketed jacket offshore wind turbines achieve high bearing capacity by embedding the pile tips into the bedrock. However, the mechanical behavior of this foundation system [...] Read more.
As an innovative foundation type specifically developed for seabed conditions characterized by shallow overburden overlying bedrock, driven embedded rock-socketed jacket offshore wind turbines achieve high bearing capacity by embedding the pile tips into the bedrock. However, the mechanical behavior of this foundation system has not yet been fully clarified. In this study, based on the engineering conditions of an offshore wind power project in Fujian, a 1:100 scaled physical model test is conducted to validate Plaxis 3D finite-element model. On this basis, a parametric sensitivity analysis is conducted to investigate the influences of key geotechnical properties, pile rock-socketed depth, and geometric parameters, with the aim of elucidating the mechanisms governing the lateral loading behavior of the jacket foundation. The results show that the numerical simulations are in good agreement with the experimental measurements. Among all piles, the front-row pile exhibits the most significant displacement at the pile top at the mudline, reflecting the asymmetry in load transfer and deformation of the pile foundation system. The ultimate bearing capacity varies by about 91.7% among different bedrock types, while the influence of rock weathering degree on the lateral bearing performance of the foundation is about 4.7%. The effects of Pile rock-socketed depth and geometric parameters on the lateral bearing capacity of the foundation are approximately 15.2% and 80.8%, respectively. A critical threshold for rock-socket depth exists at about 6D (where D is the pile diameter), beyond which further improvements in embedment depth result in diminishing improvements in lateral bearing capacity. Full article
(This article belongs to the Section Ocean Engineering)
Show Figures

Figure 1

17 pages, 9076 KB  
Article
Variability of Schmidt Rebound Values in Volcanic Rocks (Basalt and Lapilli Tuff): Comparative Effect of Surface Roughness, Alteration, and Testing Methods
by Kadir Karaman, Gökhan Külekçi, Yaşar Çakır and Hasan Kolaylı
Appl. Sci. 2026, 16(2), 886; https://doi.org/10.3390/app16020886 - 15 Jan 2026
Viewed by 72
Abstract
Enhancing the sustainability and safety of rock engineering requires understanding how micro-structural and alteration conditions influence the geomechanical properties of rocks in geotechnical projects. The determination of surface hardness using the Schmidt Hammer is an interdisciplinary experimental method employed in mining, geology, and [...] Read more.
Enhancing the sustainability and safety of rock engineering requires understanding how micro-structural and alteration conditions influence the geomechanical properties of rocks in geotechnical projects. The determination of surface hardness using the Schmidt Hammer is an interdisciplinary experimental method employed in mining, geology, and civil engineering. This study quantitatively evaluates the effects of surface roughness, weathering degree, and evaluation procedures on Schmidt rebound values obtained from basalt and lapilli tuff. Field measurements on eight surfaces produced rebound values between 10 and 60, with standard deviations ranging from 2.4 to 11, reflecting substantial variability related to roughness and alteration. Laboratory results showed that cut surfaces yielded the highest hardness values (Mean ≈ 57–58) with very low variability (SD ≈ 1.1–1.6), whereas natural surfaces exhibited markedly lower rebound values (Mean ≈ 19–22) and greater scatter (SD ≈ 4–4.5). A strong correlation (R2 > 0.97) was observed between JRC roughness and rebound values in laboratory-prepared samples. The percentage difference among the USBR, ASTM, and Sumner & Nel methods remained below 5% when the standard deviation of measurements was under 2, indicating that method selection becomes critical only for heterogeneous surfaces. Mineralogical heterogeneity further increased variability in lapilli tuff, whereas basalt provided highly consistent responses. Overall, this study introduces quantitative thresholds linking roughness, weathering, and statistical variability, offering a more rigorous and reproducible framework for interpreting Schmidt hardness measurements. Full article
(This article belongs to the Special Issue Sustainable Research on Rock Mechanics and Geotechnical Engineering)
Show Figures

Figure 1

18 pages, 2593 KB  
Article
Data-Driven Estimation of Cerchar Abrasivity Index Using Rock Geomechanical and Mineralogical Characteristics
by Soon-Wook Choi and Tae Young Ko
Appl. Sci. 2026, 16(1), 552; https://doi.org/10.3390/app16010552 - 5 Jan 2026
Viewed by 174
Abstract
The Cerchar Abrasivity Index (CAI) is essential for predicting tool wear in mechanized tunneling and mining, but direct measurement requires time-consuming laboratory procedures. We developed a data-driven framework to estimate CAI from standard geomechanical and mineralogical properties using 193 rock samples covering igneous, [...] Read more.
The Cerchar Abrasivity Index (CAI) is essential for predicting tool wear in mechanized tunneling and mining, but direct measurement requires time-consuming laboratory procedures. We developed a data-driven framework to estimate CAI from standard geomechanical and mineralogical properties using 193 rock samples covering igneous, metamorphic, and sedimentary lithologies. After evaluating 278 feature combinations with multicollinearity constraints (VIF < 10.0), we identified an optimal four-variable subset: brittleness index B1, density, Equivalent Quartz Content (EQC), and Uniaxial Compressive Strength (UCS), with rock type indicators. CatBoost achieved the best performance (Test R2 = 0.907, RMSE = 0.420), and SHAP analysis confirmed that density and EQC are primary drivers of abrasivity. Additionally, symbolic regression derived an explicit formula using only three variables (density, EQC, B1) without rock type classification (Test R2 = 0.720). The proposed framework offers a practical approach for assessing rock abrasivity at early project stages. Full article
(This article belongs to the Section Civil Engineering)
Show Figures

Figure 1

23 pages, 58132 KB  
Article
Integrated Rock Physics-Based Interpretation of Time-Lapse Seismic Data for Residual Oil Detection in Offshore Waterflooded Reservoirs
by Haoyuan Li, Xuri Huang, Sheng Yang, Xiaoqing Cui, Yibin Li and Ran Yang
J. Mar. Sci. Eng. 2026, 14(1), 91; https://doi.org/10.3390/jmse14010091 - 2 Jan 2026
Viewed by 206
Abstract
Accurate characterization of fluid distribution in offshore waterflooded oilfields has been challenging due to complex heterogeneity and the limitations of traditional interpretation tools, which often cannot integrate multi-scale datasets such as core samples, well logs, and seismic surveys. This study addresses these challenges [...] Read more.
Accurate characterization of fluid distribution in offshore waterflooded oilfields has been challenging due to complex heterogeneity and the limitations of traditional interpretation tools, which often cannot integrate multi-scale datasets such as core samples, well logs, and seismic surveys. This study addresses these challenges by developing an integrated interpretation workflow based on a calibrated rock physical fluid substitution model. The model, constrained by low-frequency laboratory measurements and elastic parameters from well logs, is used to assess the impact of fluid variations on core elastic properties and to ensure physical consistency across core, log, and seismic data scales. Key findings demonstrate that the calibrated model effectively detects impedance changes caused by water injection and accurately identifies remaining oil deposits. When applied to time-lapse seismic interpretation and reservoir numerical simulation, the model proves valuable for guiding infill well placement and optimizing development strategies in mature offshore reservoirs. Additionally, this approach provides a robust framework for integrating multi-source data, thereby enhancing the reliability of reservoir characterization in waterflooded wells. Full article
(This article belongs to the Topic Advanced Technology for Oil and Nature Gas Exploration)
Show Figures

Figure 1

17 pages, 3334 KB  
Article
Roasting of Spodumene with Calcite at Atmospheric Pressure—Implications of Trace Potassium
by Enrique Garcia-Franco, María-Pilar Martínez-Hernando, Roberto Paredes, Yolanda Sanchez-Palencia, Pedro Mora and Marcelo F. Ortega
Metals 2026, 16(1), 59; https://doi.org/10.3390/met16010059 - 2 Jan 2026
Viewed by 440
Abstract
Lithium is an essential material for lightweight batteries. Traditional mining of soluble salts expanded to include the extraction of hard rocks, which requires their solubilization through roasting. Among hard lithium rocks, spodumene has recently received attention from the scientific community. Its metallurgical processing [...] Read more.
Lithium is an essential material for lightweight batteries. Traditional mining of soluble salts expanded to include the extraction of hard rocks, which requires their solubilization through roasting. Among hard lithium rocks, spodumene has recently received attention from the scientific community. Its metallurgical processing can be classified according to the type of reagents, as well as the operating temperature and pressure. The use of calcium carbonate as a natural alkali avoids aggressive chemicals such as sulfuric acid or caustic soda. In this article, 0.5 g of jewelry-grade spodumene was loaded into a ceramic crucible with 2.5 g of reducing agent in a tandem of roasting at 1050 °C-1 bar-30 min and leaching with neutral water at 90 °C-1 bar-20 min at a water/clinker mass ratio of 25. Measurements by XRD, ICP-OES, and SEM-EDX suggest a pathway of spodumene cracking because of poor contact with the reductant. Potassium present in the crucible acts as a flux and encapsulates spodumene crystals, causing lithium to end up bound to silica. While lithium metasilicate is barely soluble in water, leaching potassium aluminate hoards in the liquid. The empirical observations were supported with thermodynamic spontaneity studies, which required compiling the mineral properties based on open reference tabulations. Full article
Show Figures

Figure 1

22 pages, 3843 KB  
Article
Numerical Simulation Study on the Mechanism of Pore Volume Expansion and Permeability Enhancement by High-Pressure Water Injection in Low Permeability Reservoirs
by Yugong Wang, Yang Xu, Yong Li, Ping Chen, Hongjiang Zou, Jianan Li, Yuwei Sun, Jianyu Li, Hualei Xu and Jie Wang
Processes 2026, 14(1), 48; https://doi.org/10.3390/pr14010048 - 22 Dec 2025
Viewed by 266
Abstract
High-pressure water injection (HPWI) refers to injecting water into the formation under conditions where the injection pressure is higher than or close to the formation fracture pressure. This technique can effectively improve the water absorption capacity of low-permeability reservoirs and maintain the formation [...] Read more.
High-pressure water injection (HPWI) refers to injecting water into the formation under conditions where the injection pressure is higher than or close to the formation fracture pressure. This technique can effectively improve the water absorption capacity of low-permeability reservoirs and maintain the formation pressure above the bubble point. It is a key technology for solving the problem of “difficult injection and difficult recovery” in low-permeability reservoirs, thereby achieving increased injection and enhanced production. However, due to the lack of a unified understanding of the mechanisms of dynamic micro-fractures and the mechanism of pore volume expansion and permeability enhancement during HPWI, the technology has not been widely promoted and applied. Based on an in-depth analysis of the mechanism of high-pressure water injection and by building a geological model for an actual oilfield development block, the “compaction–expansion” theory of rocks is used to characterize the variation in reservoir properties with pore pressure. This model is used to simulate the reservoir’s pore volume expansion and permeability enhancement effects during high-pressure water injection. The research results show the following: (1) HPWI can increase the effective distance of injected water by changing the permeability of the affected area. (2) During HPWI, the effective areas in the reservoir are divided into three regions: the enhanced-permeability zone (EPZ), the swept zone without permeability enhancement, and the unswept zone. Moreover, the EPZ expands significantly with higher injection pressure, rate, and volume. However, the degree of reservoir heterogeneity will significantly affect the effect of HPWI. (3) Simulation of two production modes—“HPWI–well soaking–oil production” and “simultaneous HPWI and oil production”—shows that under the first production mode, the degree of uniformity of the production wells’ response is higher. However, in the production wells in the EPZ, after a certain stage, an overall water flooding phenomenon occurs. In the second mode, the production wells in the water channeling direction show an alternating and rapid water-flooding phenomenon, while the production wells in the non-water channeling areas are hardly affected. Meanwhile, for local production wells with poor effectiveness of high-pressure water injection, hydraulic fracturing can be used as a pilot or remedial measure to achieve pressure-induced effectiveness and improve the sweep efficiency of the injected water. The results of this study explain the mechanisms of volume expansion and permeability enhancement during high-pressure water injection, providing guiding significance for the on-site application and promotion of high-pressure water injection technology in low-permeability reservoirs. Full article
(This article belongs to the Special Issue Hydraulic Fracturing Experiment, Simulation, and Optimization)
Show Figures

Figure 1

22 pages, 4016 KB  
Article
Integrating VNIR–SWIR Spectroscopy and Handheld XRF for Enhanced Mineralogical Characterization of Phosphate Mine Waste Rocks in Benguerir, Morocco: Implications for Sustainable Mine Reclamation
by Abdelhak El Mansour, Ahmed Najih, Jamal-Eddine Ouzemou, Ahmed Laamrani, Abdellatif Elghali, Rachid Hakkou and Mostafa Benzaazoua
Sensors 2026, 26(1), 2; https://doi.org/10.3390/s26010002 - 19 Dec 2025
Viewed by 882
Abstract
Phosphate is a crucial non-renewable mineral resource, mainly utilized in producing fertilizers that support global agriculture. As phosphorus is an indispensable nutrient for plant growth, phosphate holds a key position in ensuring food security. While deposits are distributed worldwide, the largest reserves are [...] Read more.
Phosphate is a crucial non-renewable mineral resource, mainly utilized in producing fertilizers that support global agriculture. As phosphorus is an indispensable nutrient for plant growth, phosphate holds a key position in ensuring food security. While deposits are distributed worldwide, the largest reserves are concentrated in Morocco. The Benguerir phosphate mining in Morocco generates heterogeneous waste (i.e., including overburden, tailings, and phosphogypsum) that complicates management and valorization, which is the beneficial reuse or value recovery from waste materials (e.g., use in cover systems, buffering, or other engineered applications). Therefore, it is essential to characterize their mineralogical properties to evaluate their environmental impact and possibilities for reuse or site revegetation. To do so, we integrate VNIR–SWIR reflectance spectroscopy with HandHeld X-ray fluorescence (HHXRF) to characterize phosphate waste rock and assess its reuse potential. For this purpose, field samples (n = 104) were collected, and their spectral reflectance was measured using an ASD FieldSpec 4 spectroradiometer (350–2500 nm) under standardized laboratory conditions. Spectra were processed (Savitzky–Golay smoothing, convex-hull continuum removal) and matched to ECOSTRESS library references; across the dataset, library matching achieved mean RMSE = 0.15 ± 0.053 (median 0.145; 0.085–0.350), median SAM = 0.134 rad, median SID = 0.029, and mean R2 = 0.748 ± 0.170, with 84% of spectra yielding R2 > 0.70. In parallel, HHXRF major and trace elements were measured on all samples to corroborate spectral interpretations. Together, these analyses resolve carbonate–clay–phosphate assemblages (dolomite commonly dominant, with illite/smectite–kaolinite, quartz, and residual carbonate-fluorapatite varying across samples). Elemental ratios (e.g., Mg/Ca distinguishing dolomite from calcite; K/Al indicating illite) reinforce spectral trends, and phosphate indicators delineate localized enrichment (P2O5 up to 23.86 wt % in apatite-rich samples). Overall, the combined workflow is rapid, low-impact, and reproducible, yielding coherent mineralogical patterns that align across spectroscopic and geochemical lines of evidence and providing actionable inputs for selective screening, targeted material reuse, and more sustainable mine reclamation planning. Full article
(This article belongs to the Special Issue Feature Papers in Smart Sensing and Intelligent Sensors 2025)
Show Figures

Figure 1

18 pages, 9484 KB  
Article
Comparison Between the Impact of Mineralogy and Pore Geometry on Acoustic Velocity in Carbonates: Insights from Global Dataset and Rock-Physics Modeling
by Ammar El-Husseiny
Resources 2025, 14(12), 189; https://doi.org/10.3390/resources14120189 - 15 Dec 2025
Viewed by 478
Abstract
The characterization of carbonate subsurface reservoirs, which host significant natural resources such as water and hydrocarbon, is crucial for earth scientists and engineers. Key characterization methods include seismic and downhole sonic techniques. This study explores the relative influence of mineralogy versus pore geometry [...] Read more.
The characterization of carbonate subsurface reservoirs, which host significant natural resources such as water and hydrocarbon, is crucial for earth scientists and engineers. Key characterization methods include seismic and downhole sonic techniques. This study explores the relative influence of mineralogy versus pore geometry on acoustic velocity and velocity–porosity relationships in carbonate rocks, which is important for seismic and sonic interpretation in reservoir characterization. A global dataset from ten localities encompassing different carbonate lithologies—including limestones, fabric-preserving (FP) and non-fabric-preserving (NFP) dolostones, and siliceous carbonates—was analyzed using laboratory measurements and Differential Effective Medium (DEM) modeling. Results show that the mineralogy influence decreases with porosity, so it is limited only to tight rocks where dolostones show higher velocity than limestones while siliceous carbonates show the least velocity. As porosity increases, FP dolostones retain higher velocities, whereas NFP dolostones have comparable or lower velocities than limestones, contrary to expectations from mineral elastic properties. This behavior is mainly governed by pore geometry, as supported by petrographic analysis and DEM modeling. Siliceous carbonates display notably lower velocities, which is entirely attributed to smaller pore aspect ratios (about 50% less than in limestones) rather than mineralogical effects. Overall, this study highlights that pore geometry dominates over mineralogy in determining acoustic velocity within porous carbonates, providing a valuable framework for improving seismic and sonic-based porosity estimation across variable carbonate lithologies. Full article
Show Figures

Figure 1

20 pages, 2486 KB  
Article
Characterizing the Spatial Variability of Thermodynamic Properties for Heterogeneous Soft Rock Using Random Field Theory and Copula Statistical Method
by Tao Wang, Wen Nie, Xuemin Zeng, Guoqing Zhou and Ying Xu
Energies 2025, 18(24), 6499; https://doi.org/10.3390/en18246499 - 11 Dec 2025
Viewed by 334
Abstract
Studying the thermodynamic properties of soft rocks is critical for geothermal energy extraction, as it elucidates their temperature-dependent mechanical behaviors and heat transfer mechanisms, thereby optimizing reservoir stimulation, enhancing extraction efficiency, and ensuring long-term operational stability. Owing to the intricate geothermal settings and [...] Read more.
Studying the thermodynamic properties of soft rocks is critical for geothermal energy extraction, as it elucidates their temperature-dependent mechanical behaviors and heat transfer mechanisms, thereby optimizing reservoir stimulation, enhancing extraction efficiency, and ensuring long-term operational stability. Owing to the intricate geothermal settings and interconnected physicochemical processes, the thermodynamic properties exhibit pronounced spatial heterogeneity and interdependencies. Concurrently, constraints imposed by technical and economic limitations result in scarce practical field survey and experimental data on these properties, severely hampering comprehensive assessments of geothermal energy potential and exploitation feasibility. To evaluate the spatial variability of thermodynamic properties for heterogeneous soft rock using limited data, the thermal conductivity (TC), heat capacity (HC), and thermal diffusivity (TD) were measured. A new Copula statistical method is used to analyze thermodynamic properties under limited measurement data. Spatial variability in heterogeneous soft rocks is quantified using random field theory. The methodology’s reliability is confirmed through cross-validation against theoretical predictions, empirical measurements, and simulation outputs. The analysis framework of thermodynamic variability characteristics has been presented by stability point analysis and linear regression analysis processes. The variance reduction function, scale of fluctuation, autocorrelation distances, and autocorrelation structure of thermodynamic properties for heterogeneous soft rock are analyzed and discussed. This study can provide scientific data for thermal energy analysis and geothermal reservoir modification specifically applicable to soft rock formations with diagenetic and tectonic histories similar to those investigated in the Weishan Lake area. Full article
(This article belongs to the Section J2: Thermodynamics)
Show Figures

Figure 1

24 pages, 5771 KB  
Article
Analyzing the Connectivity of Fracture Networks Using Natural Fracture Characteristics in the Khairi Murat Range, Potwar Region, Northern Pakistan
by Nasrullah Dasti and Mian Sohail Akram
Geosciences 2025, 15(12), 469; https://doi.org/10.3390/geosciences15120469 - 11 Dec 2025
Viewed by 435
Abstract
Rock fracture connectivity is a developing concept that demonstrates the effectiveness of fracture networks in facilitating the preferential flow of fluid through the medium. This study demonstrates the significance and impact of fracture parameters in determining the connectivity of fracture networks. An attempt [...] Read more.
Rock fracture connectivity is a developing concept that demonstrates the effectiveness of fracture networks in facilitating the preferential flow of fluid through the medium. This study demonstrates the significance and impact of fracture parameters in determining the connectivity of fracture networks. An attempt is made to define fracture parameters, such as fracture density, length, and the quotient of dispersion in their orientation, in addition to understanding the characteristics of fracture and the connectivity of the fracture network in a specified domain. The results based on field observations and measurements at outcrops of the Khairi Murat Range, including the study of field photographs and images, indicate that the fractional connected area (FCA) significantly determines the connectivity of fracture networks and, conversely, depends upon the fracture parameters. Eight fracture sets identified in the study area represent the intensity of dispersion of the strike angles of the fractures. The angular dispersion, i.e., the Fisher coefficient of strike angle of the fracture sets, ranges from 0.26 to 1, indicating that the fracture sets are systematic and concentrated in one direction. Although fracture density and length establish a linear relationship, fracture network connectivity is surprisingly independent of length. Scale-dependent fracture length plays a significant role in serving as the “backbone” of the network in the connectivity of the fracture system. Instead of the length and size of the cluster, fracture network connectivity is affected by fracture orientation and density. Characterization of the fracture properties-based approach successfully explores the connectivity of fracture networks on an outcrop scale. Full article
(This article belongs to the Topic Advances in Groundwater Science and Engineering)
Show Figures

Figure 1

30 pages, 13486 KB  
Review
Acoustic Emission and Electromagnetic Radiation Caused by Compression and Bending Destruction of Ice
by Aleksey Marchenko
J. Mar. Sci. Eng. 2025, 13(12), 2352; https://doi.org/10.3390/jmse13122352 - 10 Dec 2025
Viewed by 375
Abstract
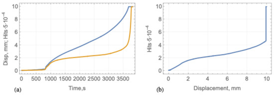
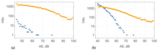
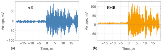
Acoustic emission (AE) and electromagnetic radiation (EMR) arise because of material destruction and are used for the monitoring of materials and structures. This article presents an overview of AE and EMI studies related to physical processes in ice and their relationship to practically [...] Read more.
Acoustic emission (AE) and electromagnetic radiation (EMR) arise because of material destruction and are used for the monitoring of materials and structures. This article presents an overview of AE and EMI studies related to physical processes in ice and their relationship to practically significant problems of ice mechanics and remote sensing. The paper provides a review of the properties of AE and EMI in experiments on compression and bending of ice, as well as original materials in tests of beams with fixed ends, carried out in laboratory and natural conditions. Methods and results of AE and EMR measurements in rock and ice failure processes are compared and discussed in the paper. It was found that the EMI signal spectra measured in the 0.5–10 MHz range in laboratory tests with fixed-end beams were in a higher frequency range compared to the EMR properties measured in earlier uniaxial compression tests. The obtained EMR spectra correspond to eigen frequencies of Rayleigh waves trapped near ice cracks with diameter of ~1 mm and smaller. Full article
(This article belongs to the Section Ocean Engineering)
Show Figures

Figure 1

Back to TopTop