Sign in to use this feature.

Years

Between: -

Subjects

remove_circle_outline
remove_circle_outline
remove_circle_outline
remove_circle_outline
remove_circle_outline
remove_circle_outline
remove_circle_outline
remove_circle_outline
remove_circle_outline

Journals

Article Types

Countries / Regions

Search Results (215)

Search Parameters:
Keywords = rice straw additional

Order results
Result details
Results per page
Select all
Export citation of selected articles as:
12 pages, 251 KB  
Article
Effects of Different Additives on the Quality of Rice Straw Haylage, Ruminal Fermentation Parameters and Methane Production in Hu Sheep
by Jun Deng, Lin Wang, Chunbin Zheng, Zihan Gao, Zhongju Li, Rui Su, Weihao Chen, Xiaoyang Lv and Wei Sun
Animals 2025, 15(24), 3573; https://doi.org/10.3390/ani15243573 - 12 Dec 2025
Viewed by 260
Abstract
In this study, eight treatment groups were set up with three replicates in each group to investigate the effects of Bacillus, Lactobacillus, and molasses on the chemical composition and fermentation quality of fermented rice straw. Furthermore, an animal experiment was conducted to determine [...] Read more.
In this study, eight treatment groups were set up with three replicates in each group to investigate the effects of Bacillus, Lactobacillus, and molasses on the chemical composition and fermentation quality of fermented rice straw. Furthermore, an animal experiment was conducted to determine the nutrition apparent digestibility, ruminal fermentation characteristics, and methane emission in Hu sheep. The results showed that the dry matter (DM) and crude protein (CP) content in the group treated with Bacillus megaterium and Lactobacillus acidophilus (BMLB) was significantly higher than that in the group with no additive (CK) (p < 0.05). Compared with the CK group, all treatments with single or composite addition of Bacillus significantly reduced the content of neutral detergent fiber (NDF) and acid detergent fiber (ADF) (p < 0.05). The content of acetate, propionate, and NH3-N in the BMLB group were significantly lower than those in the CK group (p < 0.05). In addition, the Hu sheep in the BMLB group showed a significant reduction in daily methane emission per unit of metabolic body weight. In conclusion, the BMLB treatment significantly improved the nutritional value, fermentation quality, ruminal fermentation, and methane emission of rice straw haylage in Hu sheep. Full article
17 pages, 7942 KB  
Article
Research on Simplified Nursery and Labor-Saving Mechanized Transplanting Technologies to Improve Rice Production Efficiency in Southern China
by Haoyu Wang, Zengyou Hu, Yutong Ge, Fangfu Xu, Guangyan Li, Ying Zhu, Guodong Liu, Qun Hu and Haiyan Wei
Agronomy 2025, 15(12), 2808; https://doi.org/10.3390/agronomy15122808 - 6 Dec 2025
Viewed by 373
Abstract
Mounting labor shortages and rising operational costs are threatening the sustainability of mechanized rice production in Southern China, underscoring the urgent need for innovations that reduce labor inputs during nursery preparation and transplanting. To address these challenges, this study developed an innovative double-blanket [...] Read more.
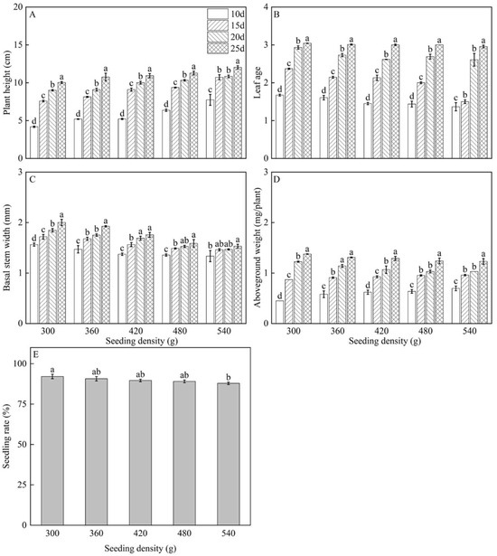
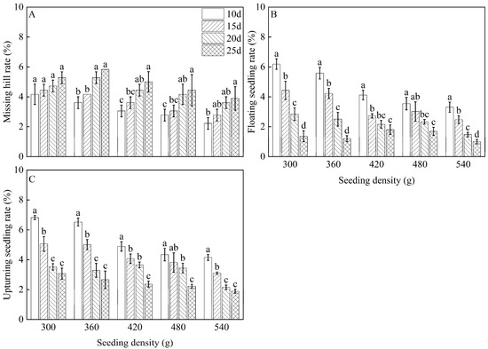
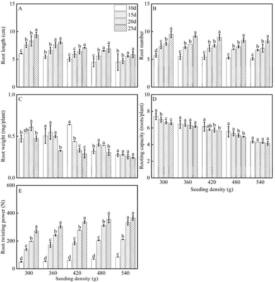
Mounting labor shortages and rising operational costs are threatening the sustainability of mechanized rice production in Southern China, underscoring the urgent need for innovations that reduce labor inputs during nursery preparation and transplanting. To address these challenges, this study developed an innovative double-blanket seedling tray measuring 120 cm in length—twice that of a conventional tray. Based on this design, experiments were conducted to identify suitable lightweight substrates capable of producing cohesive and structurally stable double-blanket rice seedling mats. Two lightweight substrates—crop straw boards and matrix cotton—were evaluated in comparison to traditional nursery soil. Results demonstrated that, when combined with the nutrient solution “Miao Zhuang Feng”, both lightweight substrates significantly improved seedling quality, transplanting performance, and final yield. Notably, the fresh weight of double-blanket seedlings grown on lightweight substrates was comparable to single-blanket seedlings cultivated in soil while being 47.46% lighter than double-blanket seedlings raised with soil. To optimize double-blanket seedling mat formation and transplanting quality, five seeding densities (300, 360, 420, 480, and 540 g/tray) and four seedling ages (10, 15, 20, and 25 d) were tested using crop straw board as the substrate. The results revealed that optimal combinations varied by condition: 480 and 540 g/tray were suitable for 15-day-old seedlings, 420 g/tray for 20-day-old seedlings, 360 g/tray for 20~25-day-old seedlings, and 300 g/tray for 25-day-old seedlings. Compared with single-blanket seedlings, the double-blanket approach reduced the number of trays required per hectare and the total seedling cultivation and transportation cost by 57.97% and 16.67%. Furthermore, increasing the seeding density from 300 to 360, 420, 480, and 540 g/tray led to additional reductions of 16.31%, 26.24%, 34.75%, and 41.13%, respectively—substantially lowering labor requirements for tray handling and seedling feeding during transplanting. Full article
(This article belongs to the Section Farming Sustainability)
Show Figures

Figure 1

17 pages, 2962 KB  
Article
Dynamics of Soil Bacterial Communities over Rice Growth Stages Under Different Fertilization Regimes in a Paddy Ecosystem
by Aiai Xu, Xiangzhou Zheng, Yushu Zhang, Qianqian Chen and Huangping Wang
Agriculture 2025, 15(23), 2466; https://doi.org/10.3390/agriculture15232466 - 28 Nov 2025
Viewed by 353
Abstract
The dynamic response of soil bacterial communities to fertilization throughout the entire crop growth cycle remains inadequately characterized. To address this, we conducted a long-term field experiment in Jiangle County, Fujian Province, China, and collected soil samples across four rice growth stages (tillering, [...] Read more.
The dynamic response of soil bacterial communities to fertilization throughout the entire crop growth cycle remains inadequately characterized. To address this, we conducted a long-term field experiment in Jiangle County, Fujian Province, China, and collected soil samples across four rice growth stages (tillering, elongation, filling and maturity) under five fertilization regimes: no fertilization (CK); chemical fertilizer (NPK); and NPK supplemented with extra nitrogen (NPKN), extra phosphorus (NPKP) and rice straw (NPKS). Bacterial communities were analyzed by high-throughput sequencing. Our results revealed that soil bacterial diversity decreased progressively throughout the growth stages, with fertilization exerting only a minor influence. Structural equation modeling (SEM) identified daily mean temperature (DMT) as the factor with the strongest direct and total effects on the diversity. In contrast, fertilization regimes were the primary determinant of the community structure. Mantel test and redundancy analysis (RDA) indicated that soil pH was the most important factor shaping the community structure. Soil bacterial network attributes also varied mainly with fertilization: fertilizer addition reduced the complexity but enhanced stability, with NPK and NPKS showing the greatest stability. Regarding rice yields, all fertilized treatments were comparable but considerably higher than CK. In conclusion, rice growth stages primarily influenced soil bacterial diversity, while fertilization regimes predominantly shaped the community structure and network attributes. Further, we recommend NPK and NPKS as optimal strategies for balancing crop production, agroecosystem sustainability and environmental health. Full article
(This article belongs to the Section Agricultural Soils)
Show Figures

Figure 1

16 pages, 1752 KB  
Article
Recycling Agricultural Residues as Straw and Hydrochar for Improved Soil Carbon Management Under Contrasting Irrigation Conditions
by Kechun Wang, Junzeng Xu, Lili Zhu, Yu Qian, Jian Zhang, Peng Chen, Linxian Liao and Junliang Fan
Agronomy 2025, 15(12), 2686; https://doi.org/10.3390/agronomy15122686 - 22 Nov 2025
Viewed by 327
Abstract
Recycling agricultural residues is a promising strategy to enhance soil organic carbon (SOC) and improve soil quality. This study investigated the effects of exogenous organic carbon (EOC) amendments—straw and hydrochar—on SOC, its labile fractions, and the carbon pool management index (CPMI, [...] Read more.
Recycling agricultural residues is a promising strategy to enhance soil organic carbon (SOC) and improve soil quality. This study investigated the effects of exogenous organic carbon (EOC) amendments—straw and hydrochar—on SOC, its labile fractions, and the carbon pool management index (CPMI, an indicator of soil carbon quality and management efficiency) under flooding (FI) and controlled irrigation (CI) in a two-year pot experiment using paddy soil under field conditions. CI improved the soil average readily oxidizable organic carbon (ROC), dissolved organic carbon (DOC), and microbial biomass carbon (MBC) by 6.37–12.19%, 18.70–26.00% (p < 0.05), and 11.95–17.97% (p < 0.05), compared to FI. Similarly, EOC addition increased average ROC, DOC, and MBC during the entire rice growth period by 12.33–22.95%, 4.50–24.35%, and 6.24–21.51%, respectively, compared to the unamended controls. Additionally, CI increased soil carbon lability (L), carbon pool activity index (LI), carbon pool index (CPI), and CPMI by 3.39–14.01%, 3.65–8.84%, 1.75–2.58%, and 6.19–16.01%, respectively, although some of these increases were not statistically significant. Notably, the combination of CI and EOC application significantly increased CPMI by 19.45–20.29% (p < 0.05), with the highest values observed in CI treatments amended with either straw or hydrochar. Hydrochar application had a smaller effect on increasing soil active OC fractions compared to straw incorporation, but demonstrated a greater potential for long-term SOC sequestration. These findings demonstrate the potential of hydrochar as a waste-derived amendment for long-term carbon sequestration and provide insights for optimizing water–carbon management strategies in sustainable rice cultivation. Full article
Show Figures

Figure 1

20 pages, 3606 KB  
Article
Sulfur Enhances Rice Cadmium Accumulation in Organic Deficient Soil: The Significance of Incorporation with Straw
by Guoxi Wang, Lan Zhang, Yan Wang, Xia Jiang and Kun Wang
Plants 2025, 14(22), 3519; https://doi.org/10.3390/plants14223519 - 18 Nov 2025
Viewed by 562
Abstract
Application of wheat straw could contribute to a sulfur-driven reduction in cadmium (Cd) bioavailability under reducing conditions induced by organic matter degradation. A pot experiment was conducted in organic matter deficient paddy soil under waterlogged conditions to assess the effects of sulfur (S, [...] Read more.
Application of wheat straw could contribute to a sulfur-driven reduction in cadmium (Cd) bioavailability under reducing conditions induced by organic matter degradation. A pot experiment was conducted in organic matter deficient paddy soil under waterlogged conditions to assess the effects of sulfur (S, 30 mg kg−1), wheat straw (W, 1.0%), and their combination (WS) on Cd availability and accumulation in rice (Oryza sativa L.). Sulfur application alone increased Cd uptake in rice, whereas straw addition significantly reduced Cd accumulation, with WS achieving the greatest reduction. The mitigating effect was attributed to CdS precipitation and co-precipitation with FeS/FeS2 under straw amendment, as well as enhanced iron plaque formation on roots, which restricted Cd uptake. In contrast, in OM-deficient soil, sulfate promoted Cd mobilization in pore water due to limited electron supply for sulfate reduction. Compared with other sulfur forms, sulfate is more readily absorbed by rice, thereby synergistically enhancing Cd uptake by rice and promoting Cd translocation in different rice tissues. However, straw amendment supported reduction in sulfate, reducing Cd uptake by rice compared with S supplement alone. Overall, wheat straw amendment enhanced sulfur-mediated immobilization of Cd and effectively decreased Cd accumulation in rice. Full article
(This article belongs to the Section Plant Response to Abiotic Stress and Climate Change)
Show Figures

Figure 1

18 pages, 2549 KB  
Article
Biochar and Arbuscular Mycorrhizal Fungi Promote Rice Paddy Phosphorus Cycle by Altering Soil Phosphorus Turnover and Leaf Phosphorus Distribution
by Zhonghua Wen, Xu Yang, Xuanwei Zhou, Yongjia Shi, Haoyue Zheng and Jun Meng
Agronomy 2025, 15(11), 2562; https://doi.org/10.3390/agronomy15112562 - 6 Nov 2025
Viewed by 635
Abstract
Biochar and arbuscular mycorrhizal fungi (AMF) make significant contributions to improving soil and plant mineral nutrition, primarily phosphorus (P). However, the response of soil and leaf P fractions dynamics to biochar and AMF amendment in paddy ecosystems remains unclear. A pot experiment in [...] Read more.
Biochar and arbuscular mycorrhizal fungi (AMF) make significant contributions to improving soil and plant mineral nutrition, primarily phosphorus (P). However, the response of soil and leaf P fractions dynamics to biochar and AMF amendment in paddy ecosystems remains unclear. A pot experiment in greenhouse was conducted to study the effects of three biochars produced from rice husk (HBC), maize straw (MBC), and wood chips (WBC) and Rhizophagus irregularis on soil and leaf P fractions, soil chemical properties, and rice growth. The combination of biochar and AMF increased soil content of labile inorganic P (38.25%, 50.87% and 23.65%, respectively) and decreased that of labile organic P (52.31%, 61.12% and 44.60%, respectively) compared to the control. Similarly, HBC and MBC with AMF combination increased leaf contents of inorganic (7.29% and 8.81%, respectively) and nucleic acid (18.75% and 14.73%, respectively) P, which were strongly correlated with soil labile P fractions. Biochar and AMF amendment governed the transformation of soil P by altering total P, organic matter, and pH. Meanwhile, the distribution of leaf P was influenced by leaf total P content, soil organic matter, and electrical conductivity (EC). In addition, MBC and HBC increased the rice mycorrhizal colonization rate by 6.78% and 18.19%, respectively. The application of HBC and AMF increased leaves’ and stems’ biomass (28.57% and 26.67%, respectively), and three biochars and AMF also facilitated P accumulation in rice. Therefore, these results provide the first evidence for the interaction between biochar and AMF to alter P distribution among leaf fractions in paddy fields. Full article
Show Figures

Figure 1

18 pages, 3633 KB  
Article
The Effect of Long-Term Organic Amendments on Soil Organic Carbon Accumulation via Regulating Microbial Traits in a Paddy Soil
by Jing Ye, Zhaoming Chen, Jinchuan Ma, Junwei Ma, Ping Zou, Wanchun Sun, Feng Wang, Qiaogang Yu and Qiang Wang
Agriculture 2025, 15(21), 2308; https://doi.org/10.3390/agriculture15212308 - 6 Nov 2025
Viewed by 1034
Abstract
Understanding how organic amendments affect microbial carbon use efficiency (CUE) and necromass C (MNC) is crucial for understanding soil organic C (SOC) formation and accrual in paddy fields, but the underlying mechanisms remain largely unclear. In this study, the microbial CUE, MNC, and [...] Read more.
Understanding how organic amendments affect microbial carbon use efficiency (CUE) and necromass C (MNC) is crucial for understanding soil organic C (SOC) formation and accrual in paddy fields, but the underlying mechanisms remain largely unclear. In this study, the microbial CUE, MNC, and microbial community composition, as well as SOC fractions and chemical composition, were measured under long-term organic amendments: rice straw (RS), green manure (GM), and pig manure (PM) in paddy soils. Four treatments were included: (1) chemical fertilizers (CF); (2) CF plus RS (CF + RS); (2) CF plus GM (CF + GM); and (4) CF plus PM (CF + PM). The CUE, MNC, and microbial community were determined by 18O-H2O incubation, amino sugars levels, and phospholipid fatty acids (PLFAs) content, respectively. Results showed that SOC, particulate organic C (POC), and mineral-associated organic C (MAOC) concentrations were significantly increased by organic amendments compared with chemical fertilization alone. The O-alkyl C decreased, but aromatic C increased with long-term organic amendments, suggesting enhanced SOC hydrophobicity. GM and PM inputs significantly enhanced microbial CUE, but straw return did not affect microbial CUE compared to CF. Microbial growth and C uptake increased by 25.2–42.4% and 19.8–30.0% under organic amendments relative with CF. Microbial respiration was increased by RS and GM amendments. Turnover time was more rapid in CF + RS and CF + GM than in CF and CF + PM. Compared to CF, organic amendments increased the MNC concentration due to the increase in microbial biomass. In addition, CF + RS and CF + GM enhanced the MNC contribution to SOC, but PM had no effect, suggesting that PM contributed more organic C from non-microbial sources. The SOC, POC, and MAOC increased with microbial CUE and MNC, indicating that microbial traits play a crucial role in SOC accrual. Higher microbial CUE and biomass explained the increased MNC accumulation under organic amendments. Our study highlights the crucial role of microbe-mediated processes in SOC accrual under long-term organic amendments in paddy soils. Our findings show that organic amendments are an effective management practice for accumulating more SOC in paddy soils. Full article
(This article belongs to the Topic Recent Advances in Soil Health Management)
Show Figures

Figure 1

19 pages, 4151 KB  
Article
Microbial Role in Straw Organic Matter Depolymerization to Dissolved Organic Nitrogen Under Nitrogen Fertilizer Reduction in Coastal Saline Paddy Soil
by Xianglin Dai, Jianping Sun, Hao Li, Zijing Zhao, Ruiping Ma, Yahui Liu, Nan Shan, Yutao Yao and Zhizhong Xue
Microorganisms 2025, 13(10), 2333; https://doi.org/10.3390/microorganisms13102333 - 10 Oct 2025
Viewed by 549
Abstract
This study examines the effects of reduced nitrogen (N) application on rice straw N depolymerization in coastal saline paddy soil to establish a scientific basis for optimizing N application strategies during straw incorporation in coastal paddy systems. A 360-day field straw bag burial [...] Read more.
This study examines the effects of reduced nitrogen (N) application on rice straw N depolymerization in coastal saline paddy soil to establish a scientific basis for optimizing N application strategies during straw incorporation in coastal paddy systems. A 360-day field straw bag burial experiment was conducted using four N application levels: N0 (control, without N fertilizer), N1 (225 kg N/ha), N2 (300 kg N/ha), and N3 (375 kg N/ha). The results indicated that applying 300 kg N/ha significantly (p < 0.05) increased dissolved organic N (DON) content, apr and chiA gene copies, and the activities of alkaline protease, chitinase, leucine aminopeptidase, and N-acetylglucosaminidase. In addition, the application of 300 kg N/ha enhanced the synergistic effects of alkaline protein- and chitin-degrading microbial communities. Pseudomonas, Brevundimonas, Sorangium, Cohnella, and Thermosporothrix were identified as keystone taxa predominant in straw N depolymerization. Straw N depolymerization occurred by two primary pathways: direct regulation of enzyme activity by straw properties of total carbon and electrical conductivity, and indirect influence on N hydrolase activity and DON production through modified microbial community structures. The findings suggest that an application rate of 300 kg N/ha is optimal for promoting straw N depolymerization in coastal saline paddy fields. Full article
(This article belongs to the Section Environmental Microbiology)
Show Figures

Figure 1

20 pages, 3126 KB  
Review
Integrated Pretreatment and Microbial Matching for PHA Production from Lignocellulosic Agro-Forestry Residues
by Dongna Li, Shanshan Liu, Qiang Wang, Xiaojun Ma and Jianing Li
Fermentation 2025, 11(10), 563; https://doi.org/10.3390/fermentation11100563 - 29 Sep 2025
Viewed by 1417
Abstract
Lignocellulosic agro-forestry residues (LARs), such as rice straw, sugarcane bagasse, and wood wastes, are abundant and low-cost feedstocks for polyhydroxyalkanoate (PHA) bioplastics. However, their complex cellulose–hemicellulose–lignin matrix requires integrated valorization strategies. This review presents a dual-framework approach: “pretreatment–co-substrate compatibility” and “pretreatment–microbial platform matching”, [...] Read more.
Lignocellulosic agro-forestry residues (LARs), such as rice straw, sugarcane bagasse, and wood wastes, are abundant and low-cost feedstocks for polyhydroxyalkanoate (PHA) bioplastics. However, their complex cellulose–hemicellulose–lignin matrix requires integrated valorization strategies. This review presents a dual-framework approach: “pretreatment–co-substrate compatibility” and “pretreatment–microbial platform matching”, to align advanced pretreatment methods (including deacetylation–microwave integration, deep eutectic solvents, and non-sterilized lignin recovery) with engineered or extremophilic microbial hosts. A “metabolic interaction” perspective on co-substrate fermentation, encompassing dynamic carbon flux allocation, synthetic consortia cooperation, and one-pot process coupling, is used to elevate PHA titers and tailor copolymer composition. In addition, we synthesize comprehensive kinetic analyses from the literature that elucidate microbial growth, substrate consumption, and dynamic carbon flux allocation under feast–famine conditions, thereby informing process optimization and scalability. Microbial platforms are reclassified as broad-substrate, process-compatible, or product-customized categories to emphasize adaptive evolution, CRISPR-guided precision design, and consortia engineering. Finally, next-generation techno-economic analyses, embracing multi-product integration, regional adaptation, and carbon-efficiency metrics, are surveyed to chart viable paths for scaling LAR-to-PHA into circular bioeconomy manufacturing. Full article
Show Figures

Figure 1

14 pages, 459 KB  
Article
Development of Biodegradable Straws Using Spent Coffee Grounds
by Dani Dordevic, Bojana Danilovic, Kristina Cvetković, Lena Zelenka, Dominika Kotianova and Simona Dordevic
Processes 2025, 13(10), 3055; https://doi.org/10.3390/pr13103055 - 24 Sep 2025
Viewed by 1744
Abstract
The aim of the work was to innovate in the field of biodegradable straws by valorizing waste materials, specifically spent coffee grounds (SCG), in combination with food-grade biopolymers. Biodegradable straws were produced using pork gelatin and three starch types (corn, rice, and potato) [...] Read more.
The aim of the work was to innovate in the field of biodegradable straws by valorizing waste materials, specifically spent coffee grounds (SCG), in combination with food-grade biopolymers. Biodegradable straws were produced using pork gelatin and three starch types (corn, rice, and potato) via a dipping technique designed to ensure reproducible layer formation and structural stability. The prepared straws were analyzed for their physicochemical, antioxidant, textural, and solubility properties. Antioxidant potential was assessed using multiple assays (FRAP, ABTS, and CUPRAC), along with determinations of total polyphenol and flavonoid contents. Texture analysis was conducted to evaluate hardness, fracturability, and compression in comparison with commercial paper and plastic straws. Biodegradability was examined through solubility tests in distilled and seawater. The addition of SCG markedly enhanced antioxidant capacity and increased polyphenol and flavonoid contents, while starch type influenced mechanical performance, with rice starch-based straws showing the highest hardness values. All straws demonstrated complete dissolution in both distilled and seawater within 24 h, confirming rapid biodegradation. The results highlight the dual advantage of SCG incorporation: improving functional properties through antioxidant enrichment and reinforcing environmental sustainability by valorizing food industry waste. This study demonstrates the potential of SCG-enhanced straws as a scalable and eco-friendly alternative to conventional single-use plastics. Full article
(This article belongs to the Special Issue Biopolymer Processing, Utilization and Applications)
Show Figures

Figure 1

24 pages, 4730 KB  
Article
Fertility-Based Nitrogen Management Strategies Combined with Straw Return Enhance Rice Yield and Soil Quality in Albic Soils
by Qiuju Wang, Xuanxuan Gao, Baoguang Wu, Jingyang Li, Xin Liu, Jiahe Zou and Qingying Meng
Agriculture 2025, 15(18), 1964; https://doi.org/10.3390/agriculture15181964 - 17 Sep 2025
Viewed by 675
Abstract
Low productivity in albic soils often results in excessive nitrogen input, while straw return further increases nitrogen accumulation through decomposition. To address this issue, a three-year field experiment was conducted in albic soils of high, medium, and low fertility. Two nitrogen management strategies [...] Read more.
Low productivity in albic soils often results in excessive nitrogen input, while straw return further increases nitrogen accumulation through decomposition. To address this issue, a three-year field experiment was conducted in albic soils of high, medium, and low fertility. Two nitrogen management strategies were assessed: nitrogen addition and reduction. Addition treatments included conventional nitrogen application rate alone (N), straw return (8250 kg ha−1) with conventional nitrogen application rate (SN), and straw return with increased nitrogen (SN+). Reduction treatments comprised SN and straw return with 10%, 20%, and 30% reduced nitrogen (SN0.9, SN0.8, and SN0.7). Soil physical properties, nutrient content, and rice yield were evaluated. Results showed that SN0.9 exhibited advantages in high-fertility albic soils, as it increased rice yield and improved some soil quality while reducing the nitrogen input by 10%. However, yield under SN0.9 declined progressively over the three years, indicating limitations of long-term application. SN performed better than both N and SN+ in medium- and low-fertility albic soils, offering better yield and soil quality improvements. However, nitrogen overaccumulation risk under continuous application should not be overlooked. These findings highlight that fertility-based nitrogen adjustment combined with straw return can simultaneously improve rice productivity and soil quality while reducing nitrogen input in albic soils. Full article
(This article belongs to the Section Agricultural Soils)
Show Figures

Graphical abstract

18 pages, 5270 KB  
Article
Co-Pyrolysis of Bamboo and Rice Straw Biomass with Polyethylene Plastic: Characterization, Kinetic Evaluation, and Synergistic Interaction Analysis
by Munir Hussain, Vikul Vasudev, Shri Ram, Sohail Yasin, Nouraiz Mushtaq, Menahil Saleem, Hafiz Tanveer Ashraf, Yanjun Duan, Muhammad Ali and Yu Bin
Polymers 2025, 17(15), 2063; https://doi.org/10.3390/polym17152063 - 29 Jul 2025
Cited by 2 | Viewed by 1161
Abstract
This study investigates the co-pyrolysis behavior of two lignocellulosic biomass blends, bamboo (B), and rice straw (R) with a plastic polyethylene (P). A total of 15 samples, including binary and ternary blends, were analyzed. Firstly, X-ray diffraction (XRD) analysis was performed to reveal [...] Read more.
This study investigates the co-pyrolysis behavior of two lignocellulosic biomass blends, bamboo (B), and rice straw (R) with a plastic polyethylene (P). A total of 15 samples, including binary and ternary blends, were analyzed. Firstly, X-ray diffraction (XRD) analysis was performed to reveal high crystallinity in the B25R75 blend (I/Ic = 13.39). Whereas, the polyethylene samples showed persistent ZrP2O7 and lazurite phases (I/Ic up to 3.12) attributed to additives introduced during the manufacturing of the commercial plastic feedstock. In addition, scanning electron microscopy with energy-dispersive X-ray (SEM-EDX) spectroscopy was performed to characterize the surface morphology and elemental composition of the feedstock. Moreover, thermogravimetric analysis (TGA) was employed at temperatures up to 700 °C at three different heating rates (5, 10, and 20 °C/min) under pyrolysis conditions. Kinetic analysis used TGA data to calculate activation energy via Friedman’s isoconversional method, and the blended samples exhibited a decrease in activation energy compared to the individual components. Furthermore, the study evaluated transient interaction effects among the components by assessing the deviation between experimental and theoretical weight loss. This revealed the presence of significant synergistic behavior in certain binary and ternary blends. The results demonstrate that co-pyrolysis of bamboo and rice straw with polyethylene enhances thermal decomposition efficiency and provides a more favorable energy recovery route. Full article
(This article belongs to the Topic Biomass for Energy, Chemicals and Materials)
Show Figures

Figure 1

19 pages, 4654 KB  
Article
Optimizing Nitrogen Fertilizer Rate and Investigating Mechanism Driving Grain Yield Increase for Rice in the Middle Reaches of the Yangtze River
by Tianxiang Xu, Hailin Zhang, Jie Gong, Ling Wang, Yongsheng Wang, Weiwen Qiu, Muxing Liu, Shenglong Li, Yuanhang Fei, Qi Li, Xin Ni, Jun Yi and Chuanqin Huang
Plants 2025, 14(15), 2326; https://doi.org/10.3390/plants14152326 - 27 Jul 2025
Cited by 1 | Viewed by 1247
Abstract
Investigating the factors influencing rice grain yield (GY) is critical for optimizing nitrogen (N) management and enhancing resource use efficiency in rice cultivation. However, few studies have comprehensively investigated the factors affecting rice GY, considering an entire influence chain encompassing rice N uptake, [...] Read more.
Investigating the factors influencing rice grain yield (GY) is critical for optimizing nitrogen (N) management and enhancing resource use efficiency in rice cultivation. However, few studies have comprehensively investigated the factors affecting rice GY, considering an entire influence chain encompassing rice N uptake, growth indicators, and GY components. In this study, field experiment with six different N fertilizer rates (0, 60, 120, 180, 225, and 300 kg N ha−1, i.e., N0, N60, N120, N180, N225, and N300) was conducted in the Jianghan Plain in the Middle Reaches of the Yangtze River, China, to comprehensively elucidate the factors influencing rice GY from aspects of rice N uptake, growth indicators, and GY components and determine the optimal N fertilizer rate. The results showed that rice GY and N uptake initially increased and then either stabilized or declined with higher N fertilizer rate, while apparent N loss escalated with increased N fertilizer rate. The application of N fertilizer significantly promoted the increase in straw N uptake, which was significantly positively correlated with growth indicators (p < 0.05). Among all GY components, panicle number per hill was the most significant positive factor influencing rice GY, and it was significantly positively correlated with all rice growth indicators (p < 0.05). In addition, N180 was the optimal N fertilizer rate, ensuring more than 95% of maximum GY and reducing N loss by 74% and 39% compared to N300, respectively. Meanwhile, the average N balance for N180 remained below 60 kg N ha−1. In conclusion, optimizing the N fertilizer application in paddy fields can effectively maintain stable rice GY and minimize environmental pollution. Full article
(This article belongs to the Special Issue Water and Nitrogen Management in the Soil–Crop System (3rd Edition))
Show Figures

Figure 1

15 pages, 1398 KB  
Article
Hydrochar as a Potential Soil Conditioner for Mitigating H+ Production in the Nitrogen Cycle: A Comparative Study
by Weijia Yu, Qingyue Zhang, Shengchang Huai, Yuwen Jin and Changai Lu
Agronomy 2025, 15(8), 1777; https://doi.org/10.3390/agronomy15081777 - 24 Jul 2025
Viewed by 828
Abstract
Pyrochar has been identified as a favorable soil conditioner that can effectively ameliorate soil acidification. Hydrochar is considered a more affordable carbon material than pyrochar, but its effect on the process of soil acidification has yet to be investigated. An indoor incubation and [...] Read more.
Pyrochar has been identified as a favorable soil conditioner that can effectively ameliorate soil acidification. Hydrochar is considered a more affordable carbon material than pyrochar, but its effect on the process of soil acidification has yet to be investigated. An indoor incubation and a soil column experiment were conducted to study the effect of rice straw hydrochar application on nitrification and NO3-N leaching in acidic red soil. Compared to the control and pyrochar treatments, respectively, hydrochar addition mitigated the net nitrification rate by 3.75–48.75% and 57.92–78.19%, in the early stage of urea fertilization. This occurred mainly because a greater amount of dissolved organic carbon (DOC) was released from hydrochar than the other treatments, which stimulated microbial nitrogen immobilization. The abundances of ammonia-oxidizing archaea and ammonia-oxidizing bacteria were dramatically elevated by 25.62–153.19% and 12.38–22.39%, respectively, in the hydrochar treatments because of DOC-driven stimulation. The cumulative leaching loss of NO3-N in soils amended with hydrochar was markedly reduced by 43.78–59.91% and 61.70–72.82% compared with that in the control and pyrochar treatments, respectively, because hydrochar promoted the soil water holding capacity by 2.70–9.04% and reduced the residual NO3-N content. Hydrochar application can dramatically diminish total H+ production from soil nitrification and NO3-N leaching. Thus, it could be considered an economical soil amendment for ameliorating soil acidification. Full article
(This article belongs to the Section Soil and Plant Nutrition)
Show Figures

Figure 1

14 pages, 4079 KB  
Article
Optimization of Biogas Production from Agricultural Residues Through Anaerobic Co-Digestion and GIS Tools in Colombia
by Alfonso García Álvaro, Carlos Arturo Vides Herrera, Elena Moreno-Amat, César Ruiz Palomar, Aldo Pardo García, Adalberto José Ospino and Ignacio de Godos
Processes 2025, 13(7), 2013; https://doi.org/10.3390/pr13072013 - 25 Jun 2025
Cited by 1 | Viewed by 1558
Abstract
The ongoing global population growth and the corresponding rise in energy demand have contributed to increased greenhouse gas (GHG) emissions. The integration of alternative, locally sourced energy solutions such as biogas presents a promising strategy to partially offset conventional energy consumption. In this [...] Read more.
The ongoing global population growth and the corresponding rise in energy demand have contributed to increased greenhouse gas (GHG) emissions. The integration of alternative, locally sourced energy solutions such as biogas presents a promising strategy to partially offset conventional energy consumption. In this context, countries like Colombia—characterized by a high availability of organic waste such as palm oil mill effluent (POME), rice straw, and pig manure—have the potential to harness these residues for biogas production. This study integrates experimental assays of anaerobic co-digestion tests with the spatial analysis of substrate distribution through GIS tools, enabling the identification of optimal regions for biogas production. Methane yields reached 412 mL CH4/g VS, comparable or superior to those reported in similar studies. In addition to laboratory assays, Geographic Information System (GIS) tools were used to generate a weighted heatmap index based on feedstock availability (POME, rice straw, pig manure) across 40 municipalities in Colombia. This integrated approach supports decentralized renewable energy planning and helps identify optimal locations for biogas plant development. Full article
(This article belongs to the Special Issue Waste Management and Biogas Production Process and Application)
Show Figures

Figure 1

Back to TopTop