Biochar and Arbuscular Mycorrhizal Fungi Promote Rice Paddy Phosphorus Cycle by Altering Soil Phosphorus Turnover and Leaf Phosphorus Distribution
Abstract
1. Introduction
2. Materials and Methods
2.1. Material Preparation
2.2. Experimental Design
2.3. Plant and Soil Sampling
2.4. Plant Chemical Analysis
2.5. Leaf P Chemical Forms Analysis
2.6. Soil P Fractions Analysis
2.7. Soil Chemical Properties Analysis
2.8. Statistical Analysis
3. Results
3.1. Soil P Fractions
3.2. Soil Chemical Properties
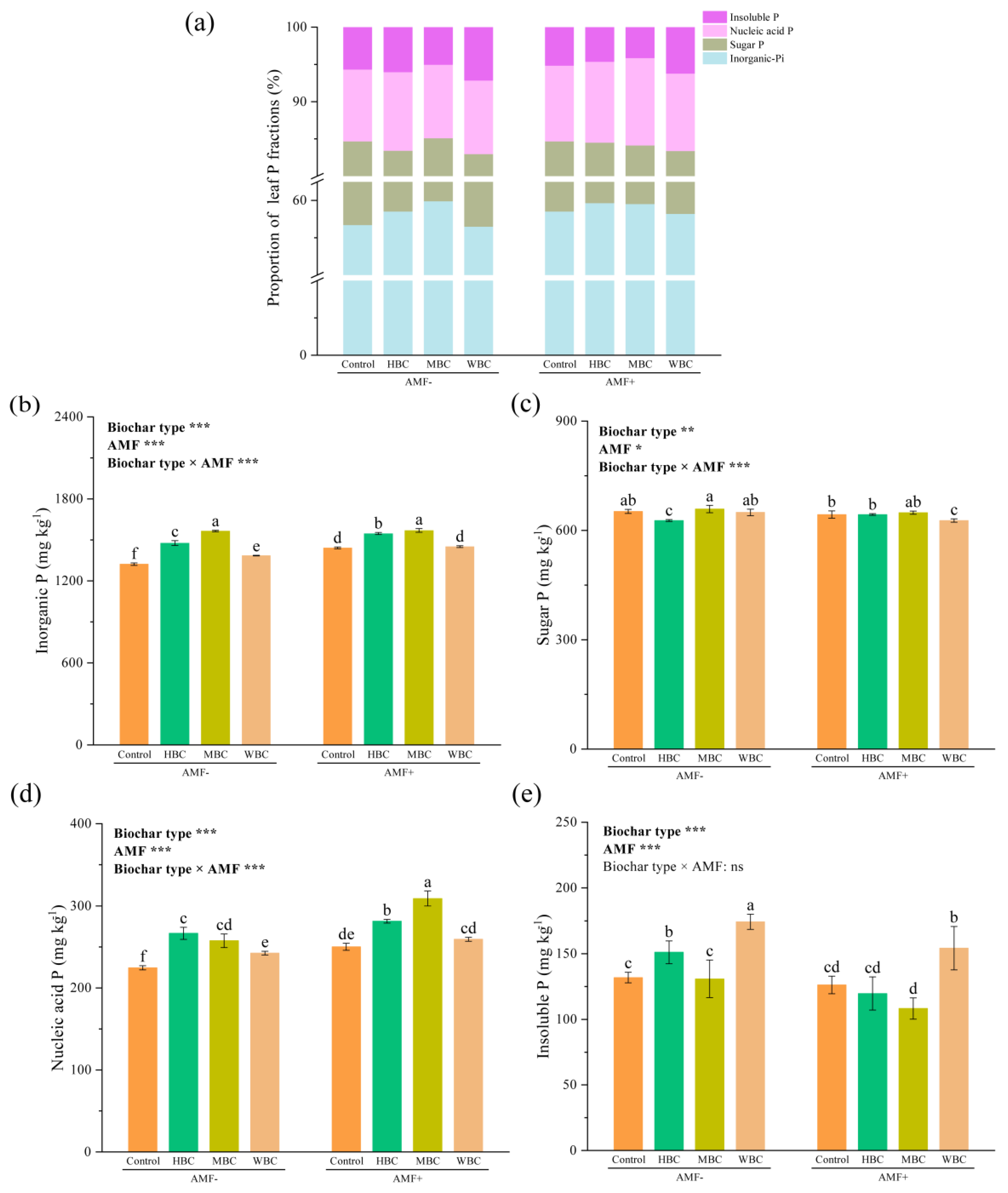
3.3. Rice Leaf P Chemical Forms
3.4. Dry Weight, P Content, Total P Uptake, and Mycorrhizal Colonization Rate in Rice
3.5. Correlation Analysis Between Leaf P Chemical Forms, Soil P Fractions, and Soil Chemical Properties
3.6. Linear Relationship Between Leaf P Chemical Forms and Soil P Fractions
4. Discussions
4.1. Effects of Biochar Combined with AMF on Soil P Fractions
4.2. Effects of Biochar Combined with AMF on Leaf P Fractions and Rice Physiology
4.3. Relationship Between Soil P Fractions, Leaf P Fractions, and Soil Chemical Properties
4.4. Effect of Biochar Combined with AMF on Sustainable Fertilization of Rice
5. Conclusions
Supplementary Materials
Author Contributions
Funding
Data Availability Statement
Conflicts of Interest
References
- Neset, T.S.S.; Cordell, D. Global phosphorus scarcity: Identifying synergies for a sustainable future. J. Sci. Food Agric. 2012, 92, 2–6. [Google Scholar] [CrossRef]
- Mo, Q.F.; Li, Z.A.; Sayer, E.J.; Lambers, H.; Li, Y.W.; Zou, B.; Tang, J.W.; Heskel, M.; Ding, Y.Z.; Wang, F.M. Foliar phosphorus fractions reveal how tropical plants maintain photosynthetic rates despite low soil phosphorus availability. Funct. Ecol. 2019, 33, 503–513. [Google Scholar] [CrossRef]
- Hu, B.; Yang, B.; Pang, X.; Bao, W.; Tian, G. Responses of soil phosphorus fractions to gap size in a reforested spruce forest. Geoderma 2016, 279, 61–69. [Google Scholar] [CrossRef]
- Chen, G.H.; Weil, R.R.; Hill, R.L. Effects of compaction and cover crops on soil least limiting water range and air permeability. Soil Tillage Res. 2014, 136, 61–69. [Google Scholar] [CrossRef]
- Elser, J.J.; Bracken, M.E.S.; Cleland, E.E.; Gruner, D.S.; Harpole, W.S.; Hillebrand, H.; Ngai, J.T.; Seabloom, E.W.; Shurin, J.B.; Smith, J.E. Global analysis of nitrogen and phosphorus limitation of primary producers in freshwater, marine and terrestrial ecosystems. Ecol. Lett. 2007, 10, 1135–1142. [Google Scholar] [CrossRef] [PubMed]
- Zhang, H.Z.; Chen, C.R.; Gray, E.M.; Boyd, S.E.; Yang, H.; Zhang, D.K. Roles of biochar in improving phosphorus availability in soils: A phosphate adsorbent and a source of available phosphorus. Geoderma 2016, 276, 1–6. [Google Scholar] [CrossRef]
- Hedley, M.J.; Stewart, J.; Chauhan, B.S. Changes in Inorganic and Organic Soil Phosphorus Fractions Induced by Cultivation Practices and by Laboratory Incubations. Soil Sci. Soc. Am. J. 1982, 46, 970–976. [Google Scholar] [CrossRef]
- Mao, X.L.; Xu, X.L.; Lu, K.P.; Gielen, G.; Luo, J.F.; He, L.Z.; Donnison, A.; Xu, Z.X.; Xu, J.; Yang, W.Y.; et al. Effect of 17 years of organic and inorganic fertilizer applications on soil phosphorus dynamics in a rice-wheat rotation cropping system in eastern China. J. Soils Sediments 2015, 15, 1889–1899. [Google Scholar] [CrossRef]
- Johnson, A.H.; Frizano, J.; Vann, D.R. Biogeochemical implications of labile phosphorus in forest soils determined by the Hedley fractionation procedure. Oecologia 2003, 135, 487–499. [Google Scholar] [CrossRef]
- Hei, J.; Xie, H.Y.; Yang, L.M.; Wang, W.Q.; Sardans, J.; Wang, C.; Tariq, A.; Zeng, F.J.; Peñuelas, J. Effects of contrasting N-enriched biochar applications on paddy soil and rice leaf phosphorus fractions in subtropical China. Sci. Total Environ. 2023, 877, 162949. [Google Scholar] [CrossRef]
- Gujre, N.; Soni, A.; Rangan, L.; Tsang, D.C.W.; Mitra, S. Sustainable improvement of soil health utilizing biochar and arbuscular mycorrhizal fungi: A review. Environ. Pollut. 2021, 268, 115549. [Google Scholar] [CrossRef] [PubMed]
- Chen, W.F.; Meng, J.; Han, X.R.; Lan, Y.; Zhang, W.M. Past, present, and future of biochar. Biochar 2019, 1, 75–87. [Google Scholar] [CrossRef]
- Yang, X.; Yuan, J.; Bi, Y.H.; Wang, L.D.; Zhang, J.Q.; Wei, C.Q.; Cui, X.; Li, H.; Luo, P.Y.; Meng, J.; et al. Assessing the methane mitigation potential of biochar and stover incorporation: Insights from the emission dynamics and soil microbiome in maize agroecosystems. Soil. Till. Res. 2025, 251, 106554. [Google Scholar] [CrossRef]
- Li, F.Y.; Liang, X.Q.; Niyungeko, C.; Sun, T.; Liu, F.; Arai, Y. Effects of biochar amendments on soil phosphorus transformation in agricultural soils. Adv. Agron. 2019, 158, 131–172. [Google Scholar]
- Smith, S.E.; Smith, F.A. Roles of Arbuscular Mycorrhizas in Plant Nutrition and Growth: New Paradigms from Cellular to Ecosystem Scales. Annu. Rev. Plant Biol. 2011, 62, 227–250. [Google Scholar] [CrossRef]
- Qin, Y.; Zhang, W.; Feng, Z.; Feng, G.; Zhu, H.; Yao, Q. Arbuscular mycorrhizal fungus differentially regulates P mobilizing bacterial community and abundance in rhizosphere and hyphosphere. Appl. Soil Ecol. 2022, 170, 104294. [Google Scholar] [CrossRef]
- Wang, G.W.; Jin, Z.X.; George, T.S.; Feng, G.; Zhang, L. Arbuscular mycorrhizal fungi enhance plant phosphorus uptake through stimulating hyphosphere soil microbiome functional profiles for phosphorus turnover. New Phytol. 2023, 238, 2578–2593. [Google Scholar] [CrossRef]
- Lin, Z.; Xu, M.; Yu, L.; Zhang, F.; Hodge, A.; Gu, F. Carbon and phosphorus exchange may enable cooperation between an arbuscular mycorrhizal fungus and a phosphate-solubilizing bacterium. New Phytol. 2016, 210, 1022–1032. [Google Scholar] [CrossRef]
- Sato, T.; Hachiya, S.; Inamura, N.; Ezawa, T.; Cheng, W.G.; Tawaraya, K. Secretion of acid phosphatase from extraradical hyphae of the arbuscular mycorrhizal fungus Rhizophagus clarus is regulated in response to phosphate availability. Mycorrhiza 2019, 29, 599–605. [Google Scholar] [CrossRef]
- Chowdhary, N.A.; Songachan, L.S. Boosting sustainable agriculture by arbuscular mycorrhizal fungi under abiotic stress condition. Plant Stress 2025, 17, 100945. [Google Scholar] [CrossRef]
- Sulpice, R.; Ishihara, H.; Schlereth, A.; Cawthray, G.R.; Encke, B.; Giavalisco, P.; Ivakov, A.; Arrivault, S.; Jost, R.; Krohn, N.; et al. Low levels of ribosomal RNA partly account for the very high photosynthetic phosphorus-use efficiency of Proteaceae species. Plant Cell Environ. 2013, 37, 1276–1298. [Google Scholar] [CrossRef]
- Gao, Y.; Tariq, A.; Zeng, F.; Graciano, C.; Zhang, Z.; Sardans, J.; Peñuelas, J. Allocation of foliar-P fractions of Alhagi sparsifolia and its relationship with soil-P fractions and soil properties in a hyperarid desert ecosystem. Geoderma 2022, 407, 115546. [Google Scholar] [CrossRef]
- Niederberger, J.; Kohler, M.; Bauhus, J. Distribution of phosphorus fractions with different plant availability in German forest soils and their relationship with common soil properties and foliar P contents. Soil 2019, 5, 189–204. [Google Scholar] [CrossRef]
- Close, D.C.; Beadle, C.L. Total, and chemical fractions, of nitrogen and phosphorus in Eucalyptus seedling leaves: Effects of species, nursery fertiliser management and transplanting. Plant Soil 2004, 259, 85–95. [Google Scholar] [CrossRef]
- Veneklaas, E.J.; Lambers, H.; Bragg, J.; Finnegan, P.M.; Lovelock, C.E.; Plaxton, W.C.; Price, C.A.; Scheible, W.R.; Shane, M.W.; White, P.J.; et al. Opportunities for improving phosphorus-use efficiency in crop plants. New Phytol. 2012, 195, 306–320. [Google Scholar] [CrossRef] [PubMed]
- Ågren, G.I.; Wetterstedt, J.; Billberger, M.F.K. Nutrient limitation on terrestrial plant growth—Modeling the interaction between nitrogen and phosphorus. New Phytol. 2012, 194, 953–960. [Google Scholar] [CrossRef]
- Hidaka, A.; Kitayama, K. Allocation of foliar phosphorus fractions and leaf traits of tropical tree species in response to decreased soil phosphorus availability on Mount Kinabalu, Borneo. J. Ecol. 2011, 99, 849–857. [Google Scholar] [CrossRef]
- Figueira-Galan, D.; Heupel, S.; Duelli, G.; Tomasi Morgano, M.; Stapf, D.; Requena, N. Exploring the synergistic effects of biochar and arbuscular mycorrhizal fungi on phosphorus acquisition in tomato plants by using gene expression analyses. Sci. Total Environ. 2023, 884, 163506. [Google Scholar] [CrossRef]
- Li, S.; Chi, S.; Lin, C.; Cai, C.; Yang, L.; Peng, K.; Huang, X.; Liu, J. Combination of biochar and AMF promotes phosphorus utilization by stimulating rhizosphere microbial co-occurrence networks and lipid metabolites of Phragmites. Sci. Total Environ. 2022, 845, 157339. [Google Scholar] [CrossRef]
- Wen, Z.H.; Chen, Y.X.; Liu, Z.Q.; Meng, J. Biochar and arbuscular mycorrhizal fungi stimulate rice root growth strategy and soil nutrient availability. Eur. J. Soil Biol. 2022, 113, 103448. [Google Scholar] [CrossRef]
- Pacioni, G. 16 Wet-sieving and Decanting Techniques for the Extraction of Spores of Vesicular-arbuscular Fungi. Methods Microbiol. 1992, 24, 317–322. [Google Scholar] [CrossRef]
- Bao, X.Z.; Wang, Y.T.; Olsson, P.A. Arbuscular mycorrhiza under water—Carbon-phosphorus exchange between rice and arbuscular mycorrhizal fungi under different flooding regimes. Soil Biol. Biochem. 2019, 129, 169–177. [Google Scholar] [CrossRef]
- McGonigle, T.P.; Miller, M.H.; Evans, D.G.; Fairchild, G.L.; Swan, J.A. A new method which gives an objective measure of colonization of roots by vesicular—Arbuscular mycorrhizal fungi. New Phytol. 1990, 115, 495–501. [Google Scholar] [CrossRef] [PubMed]
- Sui, Y.; Thompson, M.L.; Chao, S. Fractionation of Phosphorus in a Mollisol Amended with Biosolids. Soil Sci. Soc. Am. J. 1999, 63, 1174–1180. [Google Scholar] [CrossRef]
- Lehmann, J.; Gaunt, J.; Rondon, M. Biochar Sequestration in Terrestrial Ecosystems—A Review. Mitig. Adapt. Strat. Glob. Change 2006, 11, 403–427. [Google Scholar] [CrossRef]
- Yang, L.; Wu, Y.; Wang, Y.; An, W.; Jin, J.; Sun, K.; Wang, X. Effects of biochar addition on the abundance, speciation, availability, and leaching loss of soil phosphorus. Sci. Total Environ. 2021, 758, 143657. [Google Scholar] [CrossRef]
- Zhang, L.; Zhou, J.; George, T.S.; Limpens, E.; Feng, G. Arbuscular mycorrhizal fungi conducting the hyphosphere bacterial orchestra. Trends Plant Sci. 2022, 27, 402–411. [Google Scholar] [CrossRef]
- Hammer, E.C.; Forstreuter, M.; Rillig, M.C.; Kohler, J. Biochar increases arbuscular mycorrhizal plant growth enhancement and ameliorates salinity stress. Appl. Soil Ecol. 2015, 96, 114–121. [Google Scholar] [CrossRef]
- Yang, C.D.; Lu, S.G. Straw and straw biochar differently affect phosphorus availability, enzyme activity and microbial functional genes in an Ultisol. Sci. Total Environ. 2022, 805, 150325. [Google Scholar] [CrossRef]
- Zhang, L.; Shi, N.; Fan, J.; Wang, F.; George, T.S.; Feng, G. Arbuscular mycorrhizal fungi stimulate organic phosphate mobilization associated with changing bacterial community structure under field conditions. Environ. Microbiol. 2018, 20, 2639–2651. [Google Scholar] [CrossRef]
- Yang, L.; Yang, Z.; Zhong, X.; Xu, C.; Lin, Y.; Fan, Y.; Wang, M.; Chen, G.; Yang, Y. Decreases in soil P availability are associated with soil organic P declines following forest conversion in subtropical China. Catena 2021, 205, 105459. [Google Scholar] [CrossRef]
- Wang, W.J.; Baldock, J.A.; Dalal, R.C.; Moody, P.W. Decomposition dynamics of plant materials in relation to nitrogen availability and biochemistry determined by NMR and wet-chemical analysis. Soil Boil. Biochem. 2004, 36, 2045–2058. [Google Scholar] [CrossRef]
- Yin, X.L.; Peñuelas, J.; Sardans, J.; Xu, X.P.; Chen, Y.Y.; Fang, Y.Y.; Wu, L.Q.; Singh, B.P.; Tavakkoli, E.; Wang, W.Q. Effects of nitrogen-enriched biochar on rice growth and yield, iron dynamics, and soil carbon storage and emissions: A tool to improve sustainable rice cultivation. Environ. Pollut. 2021, 287, 117565. [Google Scholar] [CrossRef] [PubMed]
- Fellbaum, C.R.; Gachomo, E.W.; Beesetty, Y.; Choudhari, S.; Strahan, G.D.; Pfeffer, P.E.; Kiers, E.T.; Bücking, H. Carbon availability triggers fungal nitrogen uptake and transport in arbuscular mycorrhizal symbiosis. Proc. Natl. Acad. Sci. USA 2012, 109, 2666–2671. [Google Scholar] [CrossRef]
- Galván-Tejada, N.C.; Peña-Ramírez, V.; Mora-Palomino, L.; Siebe, C. Soil P fractions in a volcanic soil chronosequence of Central Mexico and their relationship to foliar P in pine trees. J. Plant Nutr. Soil Sci. 2014, 177, 792–802. [Google Scholar] [CrossRef]
- Niederberger, J.; Kohler, M.; Bauhus, J. The relevance of different soil phosphorus fractions for short-term tree nutrition: Results from a mesocosm bioassay. For. Int. J. For. Res. 2017, 90, 258–267. [Google Scholar] [CrossRef]
- Helfenstein, J.; Tamburini, F.; von Sperber, C.; Massey, M.S.; Pistocchi, C.; Chadwick, O.A.; Vitousek, P.M.; Kretzschmar, R.; Frossard, E. Combining spectroscopic and isotopic techniques gives a dynamic view of phosphorus cycling in soil. Nat. Commun. 2018, 9, 3226. [Google Scholar] [CrossRef]
- Tyler, G.; Olsson, T. Plant uptake of major and minor mineral elements as influenced by soil acidity and liming. Plant Soil 2001, 230, 307–321. [Google Scholar] [CrossRef]
- Wang, X.X.; Zhang, H.R.; Cao, D.; Wu, C.Y.; Wang, X.T.; Wei, L.; Guo, B.; Wang, S.; Ding, J.A.; Chen, H.; et al. Microbial carbon and phosphorus metabolism regulated by C: N: P stoichiometry stimulates organic carbon accumulation in agricultural soils. Soil Tillage Res. 2024, 242, 106152. [Google Scholar] [CrossRef]
- Zong, J.; Zhang, Z.; Huang, P.; Yang, Y. Arbuscular mycorrhizal fungi alleviates salt stress in Xanthoceras sorbifolium through improved osmotic tolerance, antioxidant activity, and photosynthesis. Front. Microbiol. 2023, 14, 2023. [Google Scholar] [CrossRef]







| Treatments | Leaf Biomass (g) | Stem Biomass (g) | Root Biomass (g) | Leaf P Content (g kg−1) | Stem P Content (g kg−1) | Root P Content (g kg−1) | Total P Uptake (mg Plant−1) | Mycorrhizal Colonization Rate (%) | |
|---|---|---|---|---|---|---|---|---|---|
| AMF− | Control | 0.14 ± 0.01 b | 0.15 ± 0.01 c | 0.07 ± 0.01 b | 2.33 ± 0.01 f | 2.64 ± 0.03 f | 2.13 ± 0.13 e | 0.88 ± 0.06 d | - |
| HBC | 0.16 ± 0.01 ab | 0.17 ± 0.02 abc | 0.09 ± 0.01 a | 2.52 ± 0.01 c | 3.26 ± 0.04 a | 3.04 ± 0.17 b | 1.22 ± 0.04 ab | - | |
| MBC | 0.17 ± 0.02 a | 0.18 ± 0.02 ab | 0.08 ± 0.00 ab | 2.61 ± 0.02 ab | 3.00 ± 0.01 c | 3.02 ± 0.12 b | 1.21 ± 0.07 ab | - | |
| WBC | 0.15 ± 0.01 ab | 0.17 ± 0.01 abc | 0.07 ± 0.01 ab | 2.45 ± 0.01 e | 2.80 ± 0.05 d | 3.11 ± 0.07 b | 1.07 ± 0.04 c | - | |
| AMF+ | Control | 0.16 ± 0.01 ab | 0.16 ± 0.01 bc | 0.09 ± 0.01 ab | 2.46 ± 0.01 de | 2.73 ± 0.02 e | 2.64 ± 0.04 c | 1.05 ± 0.05 c | 27.70 ± 1.98 c |
| HBC | 0.18 ± 0.01 a | 0.19 ± 0.01 a | 0.08 ± 0.01 ab | 2.59 ± 0.02 b | 2.84 ± 0.06 d | 3.82 ± 0.14 a | 1.30 ± 0.09 a | 34.48 ± 3.01 a | |
| MBC | 0.17 ± 0.02 a | 0.16 ± 0.01 bc | 0.07 ± 0.00 ab | 2.64 ± 0.03 a | 3.01 ± 0.07 bc | 2.38 ± 0.03 d | 1.12 ± 0.09 bc | 32.74 ± 0.30 ab | |
| WBC | 0.15 ± 0.02 ab | 0.16 ± 0.00 c | 0.08 ± 0.01 ab | 2.49 ± 0.03 cd | 3.08 ± 0.04 b | 2.44 ± 0.04 d | 1.05 ± 0.03 c | 29.74 ± 2.72 bc | |
| Biochar type | * | * | ns | *** | *** | ** | *** | - | |
| AMF | ns | ns | ns | *** | ns | * | ns | - | |
| Biochar type × AMF | ns | ns | ns | ** | *** | ns | * | - | |
Disclaimer/Publisher’s Note: The statements, opinions and data contained in all publications are solely those of the individual author(s) and contributor(s) and not of MDPI and/or the editor(s). MDPI and/or the editor(s) disclaim responsibility for any injury to people or property resulting from any ideas, methods, instructions or products referred to in the content. |
© 2025 by the authors. Licensee MDPI, Basel, Switzerland. This article is an open access article distributed under the terms and conditions of the Creative Commons Attribution (CC BY) license (https://creativecommons.org/licenses/by/4.0/).
Share and Cite
Wen, Z.; Yang, X.; Zhou, X.; Shi, Y.; Zheng, H.; Meng, J. Biochar and Arbuscular Mycorrhizal Fungi Promote Rice Paddy Phosphorus Cycle by Altering Soil Phosphorus Turnover and Leaf Phosphorus Distribution. Agronomy 2025, 15, 2562. https://doi.org/10.3390/agronomy15112562
Wen Z, Yang X, Zhou X, Shi Y, Zheng H, Meng J. Biochar and Arbuscular Mycorrhizal Fungi Promote Rice Paddy Phosphorus Cycle by Altering Soil Phosphorus Turnover and Leaf Phosphorus Distribution. Agronomy. 2025; 15(11):2562. https://doi.org/10.3390/agronomy15112562
Chicago/Turabian StyleWen, Zhonghua, Xu Yang, Xuanwei Zhou, Yongjia Shi, Haoyue Zheng, and Jun Meng. 2025. "Biochar and Arbuscular Mycorrhizal Fungi Promote Rice Paddy Phosphorus Cycle by Altering Soil Phosphorus Turnover and Leaf Phosphorus Distribution" Agronomy 15, no. 11: 2562. https://doi.org/10.3390/agronomy15112562
APA StyleWen, Z., Yang, X., Zhou, X., Shi, Y., Zheng, H., & Meng, J. (2025). Biochar and Arbuscular Mycorrhizal Fungi Promote Rice Paddy Phosphorus Cycle by Altering Soil Phosphorus Turnover and Leaf Phosphorus Distribution. Agronomy, 15(11), 2562. https://doi.org/10.3390/agronomy15112562
