Sign in to use this feature.

Years

Between: -

Subjects

remove_circle_outline
remove_circle_outline
remove_circle_outline
remove_circle_outline
remove_circle_outline
remove_circle_outline
remove_circle_outline
remove_circle_outline
remove_circle_outline

Journals

Article Types

Countries / Regions

Search Results (93)

Search Parameters:
Keywords = residues from leaching stage

Order results
Result details
Results per page
Select all
Export citation of selected articles as:
22 pages, 14195 KB  
Article
Study of Phase Transformations of Iron Minerals During Electrochemical Reduction of Unmilled Bauxite Particles in an Alkaline Media and Subsequent High-Pressure Bayer Process Leaching
by Andrei Shoppert, Dmitrii Valeev, Irina Loginova and Denis Pankratov
Minerals 2026, 16(1), 74; https://doi.org/10.3390/min16010074 - 13 Jan 2026
Viewed by 192
Abstract
This article focuses on studying the phase transformation of bauxite iron minerals during electrolytic reduction processes in alkaline solutions (400 g/L Na2O), with the aim of improving aluminum extraction in the subsequent Bayer process. The research employs electrolytic reduction to convert [...] Read more.
This article focuses on studying the phase transformation of bauxite iron minerals during electrolytic reduction processes in alkaline solutions (400 g/L Na2O), with the aim of improving aluminum extraction in the subsequent Bayer process. The research employs electrolytic reduction to convert the refractory minerals in unmilled bauxite (alumogoethite (Fe,Al)OOH, alumohematite (Fe,Al)2O3, chamosite (Fe2+,Mg,Al,Fe3+)6(Si,Al)4O10(OH,O)8) into magnetite, elemental iron (Fe) and to minimize aluminum (Al) extraction during electrolysis. Preliminary thermodynamic research suggests that the presence of hematite (α-Fe2O3) and chamosite in boehmitic bauxite increases the iron concentration in the solution. Cyclic voltammetry revealed that, in the initial stage of electrolysis, overvoltage at the cathode decreases as metallic iron deposited and conductive magnetite form on the surface of the particles. After 60 min, the reduction efficiency begins to decrease. The proportion of the current used for magnetization and iron deposition on the cathode decreased from 89.5% after 30 min to 67.5% after 120 min. After 120 min of electrolytic reduction, the magnetization rate exceeded 65%; however, more than 60% of the Al was extracted simultaneously. Al extraction after electrolysis and subsequent Bayer leaching exceeded 91.5%. Studying the electrolysis product using SEM-EDS revealed the formation of a dense, iron-containing reaction product on the particles’ surface, preventing diffusion of the reaction products (sodium ferrite and sodium aluminate). Mössbauer spectroscopy of the high-pressure leaching product revealed that the primary iron-containing phases of bauxite residue are maghemite (γ-Fe2O3), formed during the hydrolysis of sodium ferrite. Full article
(This article belongs to the Special Issue Advances in Process Mineralogy)
Show Figures

Graphical abstract

26 pages, 3137 KB  
Article
Research on LEACH Protocol Based on Dynamic Clustering and Routing Optimization
by Tongtong Wang, Xingye Qu and Huiqing Cui
Sensors 2026, 26(1), 199; https://doi.org/10.3390/s26010199 - 27 Dec 2025
Viewed by 416
Abstract
The limited and often irreplaceable battery energy of Wireless Sensor Network (WSN) nodes, which are typically deployed in harsh environments, poses a critical challenge. Excessive energy consumption can lead to node failure and consequent data loss, making energy efficiency a central research focus. [...] Read more.
The limited and often irreplaceable battery energy of Wireless Sensor Network (WSN) nodes, which are typically deployed in harsh environments, poses a critical challenge. Excessive energy consumption can lead to node failure and consequent data loss, making energy efficiency a central research focus. To address the limitations of the LEACH protocol in cluster head (CH) election and transmission modes, this paper proposes an optimized approach. First, sensor nodes are clustered using a Self-Organizing Map (SOM) neural network. Subsequently, the CH election function incorporates the node’s residual energy, distance to the base station, and neighbor node density. Finally, the data transmission stage employs a hybrid method combining Fibonacci sequences and a bee algorithm for routing optimization. The simulation results demonstrate that the proposed protocol outperforms benchmarks in terms of the node death round, network lifetime, and data throughput across different base station locations, offering a valuable technical solution for routing optimization in medium- and large-scale WSNs. Full article
(This article belongs to the Section Internet of Things)
Show Figures

Figure 1

16 pages, 16372 KB  
Article
An Efficient Zircon Separation Method Based on Acid Leaching and Automated Mineral Recognition: A Case Study of Xiugugabu Diabase
by Qiuyun Yuan, Haili Li, Yue Wu, Pengjie Cai, Jiadi Zhao, Weihao Yan, Ferdon Hamit, Ruotong Wang, Zhiqi Chen, Aihua Wang and Ahmed E. Masoud
Minerals 2026, 16(1), 20; https://doi.org/10.3390/min16010020 - 24 Dec 2025
Viewed by 314
Abstract
Cr and Platinum-Group Elements (PGEs), critical metallic elements, are mainly hosted in mafic and ultramafic rocks, but determining these rocks’ mineralization age has long been challenging. Zircon, the primary geochronological mineral, is scarce and fine-grained in such rocks, hindering conventional separation techniques (heavy [...] Read more.
Cr and Platinum-Group Elements (PGEs), critical metallic elements, are mainly hosted in mafic and ultramafic rocks, but determining these rocks’ mineralization age has long been challenging. Zircon, the primary geochronological mineral, is scarce and fine-grained in such rocks, hindering conventional separation techniques (heavy liquid separation, magnetic separation, manual hand-picking) with low efficiency, poor recovery, and significant sample bias. This study develops an integrated workflow: mixed acid leaching enrichment (120 °C), powder stirring for mount preparation, automated mineral identification, and in situ Laser Ablation-Inductively Coupled Plasma-Mass Spectrometry (LA–ICP–MS) dating. Validated on the Xiugugabu diabase in the western Yarlung–Tsangpo Suture Zone (southern Tibet), the workflow yielded weighted mean 206Pb/238U ages of 120.5 ± 3.3 Ma (MSWD = 0.13) and 120.5 ± 2.0 Ma (MSWD = 3.2) for two samples. Consistent with the published Yarlung–Tsangpo Suture Zone (YTSZ) diabase formation ages (130–110 Ma), these confirm the Xiugugabu diabase as an Early Cretaceous Neo–Te–thys oceanic lithosphere residual recording mid-stage spreading. The workflow overcomes traditional limitations: single-sample analytical cycles shorten from 30–50 to 10 days, fine–grained zircon recovery is 15x higher than manual picking, and U–Pb ages are stable. Suitable for large-scale mafic–ultramafic geochronological surveys, it can extend to in situ zircon Hf isotope and trace element analysis, offering multi-dimensional constraints on petrogenesis and tectonic evolution. Full article
(This article belongs to the Special Issue Critical Metal Minerals, 2nd Edition)
Show Figures

Figure 1

16 pages, 1590 KB  
Article
Pretreatment Using Auto/Acid-Catalyzed Steam Explosion and Water Leaching to Upgrade the Fuel Properties of Wheat Straw for Pellet Production
by Yan Yu, Jie Wu, Shahabaddine Sokhansanj, Jack Saddler and Anthony Lau
Energies 2025, 18(24), 6545; https://doi.org/10.3390/en18246545 - 14 Dec 2025
Viewed by 341
Abstract
Lignocellulosic biomass wastes are renewable carbon resources that can be available for conversion into biofuels. There is a growing interest in utilizing a broader range of alternative biomass feedstocks such as agri-crop residues aside from the traditional forest-origin wood residues for fuel pellet [...] Read more.
Lignocellulosic biomass wastes are renewable carbon resources that can be available for conversion into biofuels. There is a growing interest in utilizing a broader range of alternative biomass feedstocks such as agri-crop residues aside from the traditional forest-origin wood residues for fuel pellet production. However, crop residues typically have low and inconsistent fuel quality. This paper investigated the effectiveness of the combined steam explosion and water leaching pretreatment techniques to upgrade the fuel properties of wheat straw. The experimental treatments involved auto-catalyzed steam explosion and acid-catalyzed steam with and without subsequent water leaching. Using steam explosion catalyzed by dilute H2SO4 at a low concentration of 0.5 wt%, results showed the highest ash, Si, and Ca removal efficiencies of 82.2%, 91.1%, and 74.3%, respectively. Moreover, there was significant improvement in fuel quality in terms of fuel ratio (0.34) and calorific value HHV (21.9 MJ/kg), as well as a pronounced increase in the comprehensive combustibility index at the devolatization stage, indicating better combustion characteristics. Overall, the results demonstrate that with adequate pretreatment, the quality of agri-pellets derived from wheat straw could potentially be on par with wood pellets that are utilized for heat and power generation and residential heating. To mitigate the dry matter loss due to steam explosion, future studies shall consider using the process effluent to produce biofuel. Full article
Show Figures

Figure 1

17 pages, 6456 KB  
Article
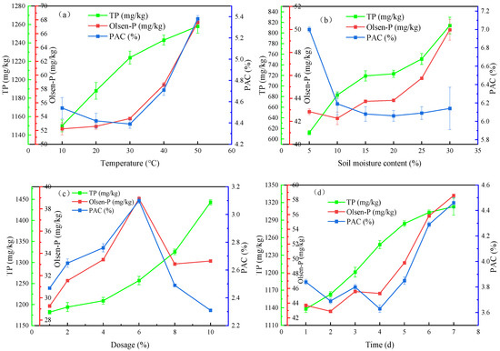
A Novel Dual-Function Red Mud Granule Mediated the Fate of Phosphorus in Agricultural Soils: Pollution Mitigation and Resource Recycling
by Yaqin Zhao, Bingyu Yang, Zixuan Niu, Liping Wang, Dejun Yang, Jing Wang and Zihao Chen
Sustainability 2025, 17(24), 10910; https://doi.org/10.3390/su172410910 - 5 Dec 2025
Viewed by 351
Abstract
The limited availability of phosphorus (P) in soil poses a critical constraint on agricultural productivity, and sustainable P fertilization practices are of great importance for crop production. In this study, we developed a novel dual-function granular material (RMG) derived from red mud, a [...] Read more.
The limited availability of phosphorus (P) in soil poses a critical constraint on agricultural productivity, and sustainable P fertilization practices are of great importance for crop production. In this study, we developed a novel dual-function granular material (RMG) derived from red mud, a waste residue from the aluminum industry. This material is capable of adsorbing P in P-rich soils and releasing P in P-deficient soils, thereby enabling the sustainable use of red mud and P fertilizer. The influences of RMG on the migration and transformation of P in soil were investigated. Application of RMG significantly increased the critical threshold for P leaching, thereby effectively mitigating P loss. In the initial stage of leaching, P in the leachate was present predominantly as particulate phosphorus, whereas molybdate-reactive P became the dominant form in later stages. With increasing RMG dosage, the pH of the leachate rose while the total phosphorus concentration declined, indicating that alkaline components in RMG promoted the adsorption and precipitation of phosphates in soil. The release behavior of P from P-enriched RMG was also examined. The results showed that the total soil P content increased progressively with higher RMG dosage and longer cultivation duration. Elevated temperature and soil moisture content were found to enhance the release and migration of P from RMG into the soil. SEM-EDS analyses revealed that released components (e.g., Ca2+ and Fe3+) from RMG formed relatively stable complexes with free phosphates. Moreover, adsorption of P onto the RMG surface further facilitated its migration and transformation within the soil. The research findings provide valuable insights for the simultaneous pollution remediation and resource utilization of red mud and phosphorus. Full article
(This article belongs to the Section Pollution Prevention, Mitigation and Sustainability)
Show Figures

Figure 1

27 pages, 10625 KB  
Article
Two-Stage Organic Acid Leaching of Industrially Sourced LFP- and NMC-Containing Black Mass
by Marc Simon Henderson, Chau Chun Beh, Elsayed A. Oraby and Jacques Eksteen
Batteries 2025, 11(11), 401; https://doi.org/10.3390/batteries11110401 - 31 Oct 2025
Viewed by 1047
Abstract
Over the next 5–10 years, the feedstock to lithium-ion battery recycling facilities will shift from Co- and Ni-rich chemistries to lower-value battery chemistries, such as lithium iron phosphate (LFP). Traditional recycling processes use toxic and corrosive inorganic acids for leaching, generating toxic waste [...] Read more.
Over the next 5–10 years, the feedstock to lithium-ion battery recycling facilities will shift from Co- and Ni-rich chemistries to lower-value battery chemistries, such as lithium iron phosphate (LFP). Traditional recycling processes use toxic and corrosive inorganic acids for leaching, generating toxic waste streams. The low-value feedstocks will be LFP-rich with contamination from lithium cobalt oxide (LCO) and lithium–nickel–manganese–cobalt oxide (NMC) battery chemistries. Overall, the lower-value feedstock coupled with the need to reduce environmentally damaging waste streams requires the development of robust, green leaching processes capable of selectively targeting the LFP and LCO/NMC battery chemistries. This research concluded that a first-stage oxalic acid leach could selectively extract Al, Li, and P from the industrially sourced LFP-rich black mass. When operating at the optimal conditions (0.5 M oxalic acid, 5% solids, pH 0.8, and an agitation speed of 600 rpm), >99% of the Li and P and >97% of the Al were selectively extracted after 2 h, while Mn, Fe, Cu, Ni, and Co extractions were kept relatively low, namely, at 19%, <3%, <1%, 0%, and 0%. This research also explored a second-stage leach to treat the first-stage leach residue using ascorbic acid, citric acid, and glycine. It was concluded that when leaching with glycine (30 g/L glycine, a temperature of 40 °C, an agitation speed of 600 rpm, and 2% solids at pH 9.6), that >97% of the Co, >77% of the Ni, and 41% of the Mn were extracted, while the co-extraction percentages of Cu, Fe, and Al were <27%, <4%, and <2%. Full article
Show Figures

Graphical abstract

22 pages, 3781 KB  
Article
Selective Nickel Leaching and Preparation of Battery-Grade Nickel Carbonate from Copper-Rich Industrial Intermediate
by Janaka Jayamini Wijenayake, Michael S. Moats, Lloyd Masuzyo Mseteka and Lana Alagha
Processes 2025, 13(10), 3235; https://doi.org/10.3390/pr13103235 - 11 Oct 2025
Viewed by 1254
Abstract
The rising demand for electric vehicles (EVs) has driven a significant increase in nickel consumption, a critical element in EV battery production. An industrially viable hydrometallurgical process was developed for the selective recovery of nickel from a copper-rich industrial intermediate, containing approximately 70 [...] Read more.
The rising demand for electric vehicles (EVs) has driven a significant increase in nickel consumption, a critical element in EV battery production. An industrially viable hydrometallurgical process was developed for the selective recovery of nickel from a copper-rich industrial intermediate, containing approximately 70 wt.% Cu and 6 wt.% Ni, predominantly as sulfides alongside minor impurities. Approximately 90% of nickel was selectively extracted via single-stage atmospheric pressure leaching using HCl and H2O2 at 95 °C for 12 h, with the majority of copper retained in the leach residue, which can be utilized as a valuable feedstock for copper smelters. The selectivity of nickel over copper was analyzed in detail through corresponding Pourbaix diagrams, and an appropriate leaching mechanism was proposed. The leachate was subsequently purified through a sequence of cementation, selective precipitation, and solvent extraction steps to remove residual copper, iron, and cobalt, achieving an overall separation efficiency of 99% with nickel losses below 2%. In the final stage, nickel carbonate was precipitated with >99% purity using sodium carbonate, potentially suitable for battery applications. The optimal conditions at each stage were determined through batch-type laboratory-scale experiments, which may need to be verified by continuous pilot-scale testing in the future. This process offers dual advantages by meeting the growing nickel demand for battery applications while simultaneously providing additional copper feedstocks for smelters. Full article
Show Figures

Figure 1

18 pages, 2222 KB  
Article
Experimental Study on the Evolution Law of Pb in Soils and Leachate from Rare Earth Mining Areas Under Different Leaching Conditions
by Zhongqun Guo, Shaojun Xie, Feiyue Luo, Qiangqiang Liu and Jun Zhang
Earth 2025, 6(3), 103; https://doi.org/10.3390/earth6030103 - 3 Sep 2025
Viewed by 932
Abstract
In the exploitation of ion-adsorption rare earth ores, the environmental effects of leaching agents are key constraints for green mining. Understanding the release behavior of typical heavy metals from soils under leaching conditions is of great significance. Laboratory column leaching experiments were conducted [...] Read more.
In the exploitation of ion-adsorption rare earth ores, the environmental effects of leaching agents are key constraints for green mining. Understanding the release behavior of typical heavy metals from soils under leaching conditions is of great significance. Laboratory column leaching experiments were conducted to systematically investigate the effects of three leaching agents—(NH4)2SO4, Al2(SO4)3, and MgSO4—as well as varying concentrations of Al2(SO4)3 on the release and speciation transformation of heavy metal Pb in mining-affected soils. The results revealed a three-stage pattern in Pb release—characterized by slow release, a sharp increase, and eventual stabilization—with environmental risks predominantly concentrated in the middle to late stages of leaching. Under 3% (NH4)2SO4 and 3% Al2(SO4)3 leaching conditions, Pb concentrations in soil increased significantly, with a higher proportion of labile fractions, indicating pronounced activation and risk accumulation. Due to its relatively weak ion-exchange capacity, MgSO4 exhibited a lower and more gradual Pb release profile, posing substantially lower pollution risks compared to (NH4)2SO4 and Al2(SO4)3. Pb release under varying Al2(SO4)3 concentrations showed a nonlinear response. At 3% Al2(SO4)3, both the proportion of bioavailable Pb and the Risk Assessment Code (RAC) peaked, while the residual fraction declined sharply, suggesting a threshold effect in risk induction. All three leaching agents promoted the transformation of Pb in soil from stable to more labile forms, including acid-soluble, reducible, and oxidizable fractions, thereby increasing the overall proportion of active Pb (F1 + F2 + F3). A combined analysis of RAC values and the proportion of active Pb provides a comprehensive framework for assessing Pb mobility and ecological risk under different leaching conditions. These findings offer a theoretical basis for the prevention and control of heavy metal risks in the green mining of ion-adsorption rare earth ores. Full article
Show Figures

Figure 1

17 pages, 1990 KB  
Article
Selective Separation of Antimony and Preparation of Sodium Antimonate by Sodium Salt Leaching-Synergistic Oxidation from High Arsenic Antimony Residue
by Yanliang Zeng, Jun Jin, Chunfa Liao and Fupeng Liu
Metals 2025, 15(9), 929; https://doi.org/10.3390/met15090929 - 22 Aug 2025
Viewed by 1092
Abstract
In this study, the catalytic air oxidation method was used to selectively form sodium antimonate from an antimony residue Na2S-NaOH leaching solution of a high arsenic copper anode slime. In the first stage, the leaching process with Na2S and [...] Read more.
In this study, the catalytic air oxidation method was used to selectively form sodium antimonate from an antimony residue Na2S-NaOH leaching solution of a high arsenic copper anode slime. In the first stage, the leaching process with Na2S and NaOH media resulted in more than 98% leaching of antimony. The synergistic oxidation method was used to selectively separate antimony in the second stage. In this study, the oxidation rate of antimony was greater than 98% at the NaOH concentration of 50 g·L−1 and a combined oxidation concentration of 0.75 g·L−1 catechol + 0.75 g·L−1 KMnO4, under the air flow rates of 1.415 m3·min−1 at 75 °C for 8 h. The pH of the crude sodium antimonate product was adjusted; subsequently, it was redissolved and precipitated to prepare refined sodium antimonate that meets the secondary product standard of China’s non-ferrous metal industry, which recommends an antimony recovery rate of >95.60%. After neutralisation, the liquid contains [As] < 0.10 g·L−1, [Sb] = 0.16–0.38 g·L−1, which can be reused in the composite leaching process. The apparent activation energy (Ea) of the catalytic oxidation reaction was 6.47 kJ·mol−1; the results suggested that the reaction process was diffusion controlled. dSbdt=8.86×105×e778.44T×Sb0.4906×[NaOH]1.190. Full article
Show Figures

Figure 1

21 pages, 3739 KB  
Article
Occurrence State and Extraction of Lithium from Jinyinshan Clay-Type Lithium Deposit, Southern Hubei: Novel Blank Roasting–Acid Leaching Processes
by Hao Zhang, Peng Li, Wensheng Zhang, Jiankang Li, Zhenyu Chen, Jin Yin, Yong Fang, Shuang Liu, Jian Kang and Dan Zhu
Appl. Sci. 2025, 15(16), 9100; https://doi.org/10.3390/app15169100 - 18 Aug 2025
Cited by 1 | Viewed by 1103
Abstract
Addressing the technological bottlenecks in the efficient utilization of clay-type Li deposits in China, this study systematically investigates Li occurrence states and develops clean extraction processes using the Jinyinshan clay-type Li deposit in southern Hubei as a case study. The research aims to [...] Read more.
Addressing the technological bottlenecks in the efficient utilization of clay-type Li deposits in China, this study systematically investigates Li occurrence states and develops clean extraction processes using the Jinyinshan clay-type Li deposit in southern Hubei as a case study. The research aims to provide technical guidance for subsequent geological exploration and development of such deposits. Analytical techniques, including AMICS, EPMA, and LA-ICP-MS, reveal that Li primarily occurs in structurally bound forms within cookeite (82.55% of total Li), illite (6.65%), and rectorite (5.20%), with mineral particle sizes concentrated in fine-grained fractions (<45 μm). Leveraging process mineralogical insights, two industrially adaptable blank roasting–acid leaching processes were innovatively developed. Process I employs a full flow of blank roasting–hydrochloric acid leaching–Li-Al separation–Ca/Mg removal–concentration for Li precipitation–three-stage counter-current washing. Optimizing roasting temperature (600 °C), hydrochloric acid concentration (18 wt%), and leaching parameters achieved a 92.37% Li leaching rate. Multi-step purification yielded lithium carbonate with >99% Li2CO3 purity and an overall Li recovery of 73.89%. Process II follows blank roasting–sulfuric acid leaching–Al removal via alum precipitation–Al/Fe removal–freeze crystallization for sodium sulfate removal–Ca/Mg removal–concentration for Li precipitation–three-stage counter-current washing. Parameter optimization and freezing impurity removal achieved an 89.11% Li leaching rate, producing lithium carbonate with >98.85% Li2CO3 content alongside by-products like crude sodium chloride and ammonium alum. Both processes enable resource utilization of Al-rich residues, with the hydrochloric acid-based method excelling in stability and the sulfuric acid-based approach offering superior by-product valorization potential. This low-energy, high-yield clean extraction system provides critical theoretical and technical foundations for scaling clay-type Li deposit utilization, advancing green Li extraction and industrial chain development. Full article
(This article belongs to the Special Issue Recent Advances in Geochemistry)
Show Figures

Figure 1

15 pages, 1398 KB  
Article
Hydrochar as a Potential Soil Conditioner for Mitigating H+ Production in the Nitrogen Cycle: A Comparative Study
by Weijia Yu, Qingyue Zhang, Shengchang Huai, Yuwen Jin and Changai Lu
Agronomy 2025, 15(8), 1777; https://doi.org/10.3390/agronomy15081777 - 24 Jul 2025
Viewed by 877
Abstract
Pyrochar has been identified as a favorable soil conditioner that can effectively ameliorate soil acidification. Hydrochar is considered a more affordable carbon material than pyrochar, but its effect on the process of soil acidification has yet to be investigated. An indoor incubation and [...] Read more.
Pyrochar has been identified as a favorable soil conditioner that can effectively ameliorate soil acidification. Hydrochar is considered a more affordable carbon material than pyrochar, but its effect on the process of soil acidification has yet to be investigated. An indoor incubation and a soil column experiment were conducted to study the effect of rice straw hydrochar application on nitrification and NO3-N leaching in acidic red soil. Compared to the control and pyrochar treatments, respectively, hydrochar addition mitigated the net nitrification rate by 3.75–48.75% and 57.92–78.19%, in the early stage of urea fertilization. This occurred mainly because a greater amount of dissolved organic carbon (DOC) was released from hydrochar than the other treatments, which stimulated microbial nitrogen immobilization. The abundances of ammonia-oxidizing archaea and ammonia-oxidizing bacteria were dramatically elevated by 25.62–153.19% and 12.38–22.39%, respectively, in the hydrochar treatments because of DOC-driven stimulation. The cumulative leaching loss of NO3-N in soils amended with hydrochar was markedly reduced by 43.78–59.91% and 61.70–72.82% compared with that in the control and pyrochar treatments, respectively, because hydrochar promoted the soil water holding capacity by 2.70–9.04% and reduced the residual NO3-N content. Hydrochar application can dramatically diminish total H+ production from soil nitrification and NO3-N leaching. Thus, it could be considered an economical soil amendment for ameliorating soil acidification. Full article
(This article belongs to the Section Soil and Plant Nutrition)
Show Figures

Figure 1

21 pages, 2430 KB  
Article
Mechanisms and Genesis of Acidic Goaf Water in Abandoned Coal Mines: Insights from Mine Water–Surrounding Rock Interaction
by Zhanhui Wu, Xubo Gao, Chengcheng Li, Hucheng Huang, Xuefeng Bai, Lihong Zheng, Wanpeng Shi, Jiaxin Han, Ting Tan, Siyuan Chen, Siyuan Ma, Siyu Li, Mengyun Zhu and Jiale Li
Minerals 2025, 15(7), 753; https://doi.org/10.3390/min15070753 - 18 Jul 2025
Cited by 2 | Viewed by 970
Abstract
The formation of acidic goaf water in abandoned coal mines poses significant environmental threats, especially in karst regions where the risk of groundwater contamination is heightened. This study investigates the geochemical processes responsible for the generation of acidic water through batch and column [...] Read more.
The formation of acidic goaf water in abandoned coal mines poses significant environmental threats, especially in karst regions where the risk of groundwater contamination is heightened. This study investigates the geochemical processes responsible for the generation of acidic water through batch and column leaching experiments using coal mine surrounding rocks (CMSR) from Yangquan, China. The coal-bearing strata, primarily composed of sandstone, mudstone, shale, and limestone, contain high concentrations of pyrite (up to 12.26 wt%), which oxidizes to produce sulfuric acid, leading to a drastic reduction in pH (approximately 2.5) and the mobilization of toxic elements. The CMSR samples exhibit elevated levels of arsenic (11.0 mg/kg to 18.1 mg/kg), lead (69.5 mg/kg to 113.5 mg/kg), and cadmium (0.6 mg/kg to 2.6 mg/kg), all of which exceed natural crustal averages and present significant contamination risks. The fluorine content varies widely (106.1 mg/kg to 1885 mg/kg), with the highest concentrations found in sandstone. Sequential extraction analyses indicate that over 80% of fluorine is bound in residual phases, which limits its immediate release but poses long-term leaching hazards. The leaching experiments reveal a three-stage release mechanism: first, the initial oxidation of sulfides rapidly lowers the pH (to between 2.35 and 2.80), dissolving heavy metals and fluorides; second, slower weathering of aluminosilicates and adsorption by iron and aluminum hydroxides reduce the concentrations of dissolved elements; and third, concentrations stabilize as adsorption and slow silicate weathering regulate the long-term release of contaminants. The resulting acidic goaf water contains extremely high levels of metals (with aluminum at 191.4 mg/L and iron at 412.0 mg/L), which severely threaten groundwater, particularly in karst areas where rapid cross-layer contamination can occur. These findings provide crucial insights into the processes that drive the acidity of goaf water and the release of contaminants, which can aid in the development of effective mitigation strategies for abandoned mines. Targeted management is essential to safeguard water resources and ecological health in regions affected by mining activities. Full article
Show Figures

Graphical abstract

14 pages, 6331 KB  
Article
Kinetics of Acid Leaching of Niobium from Man-Made Raw Materials of Titanium Magnesium Production: Experimental Research and Modelling
by Azamat Yessengaziyev, Azamat Toishybek, Arailym Mukangaliyeva, Bagdat Altaibayev, Kenzhegali Smailov, Albina Yersaiynova and Nurgaly Abdyldayev
Processes 2025, 13(6), 1924; https://doi.org/10.3390/pr13061924 - 17 Jun 2025
Cited by 1 | Viewed by 1129
Abstract
Niobium, with its unique properties, plays a key role in high-tech industries, but its recovery from secondary sources remains poorly studied. The kinetics of niobium leaching from niobium-containing middlings obtained via the water treatment of dust chamber sublimations of titanium chlorinators is considered [...] Read more.
Niobium, with its unique properties, plays a key role in high-tech industries, but its recovery from secondary sources remains poorly studied. The kinetics of niobium leaching from niobium-containing middlings obtained via the water treatment of dust chamber sublimations of titanium chlorinators is considered in this study. The leaching process was conducted using a fluoride–sulphuric acid solution. The experiments were performed at 25–90 °C in agitation mode. Kinetic data were analysed using compression-core and mixed-control models, which made it possible to establish the limiting stages of the process. A mixed mechanism, including a chemical reaction on the surface and diffusion through a layer of products with an activation energy of 30.05 kJ/mol, was established. The niobium recovery degree increased from 35.25 to 93.5% as the temperature increased, highlighting its effect on the process. The insoluble residue, rich in titanium, and the liquid phase with niobium and zirconium have the potential for further processing. The results provide the basis to optimise technologies intended to recover niobium from man-made raw materials, contributing to an increase in resource efficiency. Full article
(This article belongs to the Special Issue Recent Trends in Extractive Metallurgy)
Show Figures

Figure 1

50 pages, 8453 KB  
Review
Advances in Lithium Extraction from Spodumene: Alternatives to Sulfuric Acid Digestion
by Esmaeil Jorjani, Jessica Sauvageau, Driss Mrabet and Marouan Rejeb
Minerals 2025, 15(6), 574; https://doi.org/10.3390/min15060574 - 28 May 2025
Cited by 2 | Viewed by 5120
Abstract
Conventional lithium extraction from spodumene via sulfuric acid roasting can achieve up to 98% recovery but suffers from high energy use, acidic residues, and purification complexity. This review evaluates alternative methods for both α- and β-spodumene, aiming for improved sustainability. For α-spodumene, Na [...] Read more.
Conventional lithium extraction from spodumene via sulfuric acid roasting can achieve up to 98% recovery but suffers from high energy use, acidic residues, and purification complexity. This review evaluates alternative methods for both α- and β-spodumene, aiming for improved sustainability. For α-spodumene, Na2SO4–CaO salt roasting achieved >95% recovery at 900 °C via water leaching. Sodium carbonate roasting–NaOH leaching and mechanical activation–Na2SO4 roasting reached 95.9% and ~92%, respectively. High-pressure NaOH leaching reached 95.8%, while alkaline decomposition–acid leaching yielded 53.2–84.1%. Microwave-assisted calcination achieved up to 97% recovery, and fluoride-based roasting gave 93–98% but raised environmental concerns. Bioleaching is eco-friendly but slow, with <3.5% recovery. For β-spodumene, high-pressure leaching using sodium carbonate (>94%), sodium sulfate (90.7%–93.3%), sodium chloride (~93%), and nitric acid (~95%) provided high recoveries. Atmospheric leaching with HF and H3PO4 yielded ~90% and ~40%, respectively, while carbonic acid leaching reached 75% after multiple stages. Chlorination roasting achieved near-complete recovery. The Metso-Outotec high-pressure sodium carbonate leaching process is set for industrial-scale implementation at the Keliber project in 2025, confirming its scalability. Overall, these emerging processes have the potential to reduce energy input, reagent demand, and waste generation, offering practical pathways toward more sustainable lithium production from spodumene. Full article
Show Figures

Figure 1

18 pages, 6191 KB  
Article
Gradient Recovery of Tungsten, Cerium, and Titanium from Spent W-Ce/TiO2 Catalysts
by Hongping Wu, Zhihong Peng, Junting Hao, Fiseha Tesfaye and Leiting Shen
Processes 2025, 13(6), 1678; https://doi.org/10.3390/pr13061678 - 27 May 2025
Cited by 1 | Viewed by 1050
Abstract
In this work, a gradient leaching strategy for stepwise extraction of tungsten and cerium from a spent W-Ce/TiO2 catalyst has been developed. Results of a thermodynamic analysis indicated that high-temperature alkaline leaching and low-temperature acid leaching were conducive to the extraction of [...] Read more.
In this work, a gradient leaching strategy for stepwise extraction of tungsten and cerium from a spent W-Ce/TiO2 catalyst has been developed. Results of a thermodynamic analysis indicated that high-temperature alkaline leaching and low-temperature acid leaching were conducive to the extraction of W and Ce, respectively. The effects of leaching agent type, concentration, temperature, and liquid-to-solid ratio on the leaching rates of W and Ce were systematically investigated. Experimental results revealed that the leaching ratio of W reached 90.92% under optimized conditions of 3 mol/L NaOH, 100 °C, 1 h, and a liquid-to-solid ratio of 20:1 for the alkaline leaching in the first stage. The leaching ratio for Ce reached 91.96% under optimized conditions of 1 mol/L H2SO4, 50 °C, 2 h, and a liquid-to-solid ratio of 12:1 for acidic leach in the second stage. The leaching ratios of titanium and aluminum were limited to 1.76% and 4.42%, respectively, indicating that >90% of these elements were virtually undissolved during the two-stage leaching process. The final leaching residue after the two-stage leaching contained >91.88 wt% TiO2. Consequently, this study not only demonstrated effective separation of W, Ce, and Ti, but also provided an innovative solution for the environmentally friendly treatment and resource utilization for spent W-Ce/TiO2 catalysts. Full article
(This article belongs to the Special Issue Novel Recovery Technologies from Wastewater and Waste)
Show Figures

Figure 1

Back to TopTop