Next Article in Journal
UNet-INSN: Self-Supervised Algorithm for Impulsive Noise Suppression in Power Line Communication
Previous Article in Journal
Effect of Pressure Gradient on Flow and Heat Transfer over Surface-Mounted Heated Blocks in a Narrow Channel
Previous Article in Special Issue
Research on the Prediction of Concealed Uranium Deposits Using Geo-Electrochemical Integrated Technology in the Guangzitian Area, Northern Guangxi, China
 
 
Font Type:
Arial Georgia Verdana
Font Size:
Aa Aa Aa
Line Spacing:
Column Width:
Background:
Article

Occurrence State and Extraction of Lithium from Jinyinshan Clay-Type Lithium Deposit, Southern Hubei: Novel Blank Roasting–Acid Leaching Processes

1
State Key Laboratory of Deep Earth and Mineral Exploration, Institute of Mineral Resources, Chinese Academy of Geological Sciences, Beijing 100037, China
2
MNR Key Laboratory of Metallogeny and Mineral Resource Assessment, Institute of Mineral Resources, Chinese Academy of Geological Sciences, Beijing 100037, China
3
Fourth Geological Team of Hubei Geological Bureau, Xianning 437100, China
4
Hubei Geological Research Laboratory, Wuhan 430034, China
*
Authors to whom correspondence should be addressed.
Appl. Sci. 2025, 15(16), 9100; https://doi.org/10.3390/app15169100
Submission received: 11 July 2025 / Revised: 1 August 2025 / Accepted: 12 August 2025 / Published: 18 August 2025
(This article belongs to the Special Issue Recent Advances in Geochemistry)

Abstract

Addressing the technological bottlenecks in the efficient utilization of clay-type Li deposits in China, this study systematically investigates Li occurrence states and develops clean extraction processes using the Jinyinshan clay-type Li deposit in southern Hubei as a case study. The research aims to provide technical guidance for subsequent geological exploration and development of such deposits. Analytical techniques, including AMICS, EPMA, and LA-ICP-MS, reveal that Li primarily occurs in structurally bound forms within cookeite (82.55% of total Li), illite (6.65%), and rectorite (5.20%), with mineral particle sizes concentrated in fine-grained fractions (<45 μm). Leveraging process mineralogical insights, two industrially adaptable blank roasting–acid leaching processes were innovatively developed. Process I employs a full flow of blank roasting–hydrochloric acid leaching–Li-Al separation–Ca/Mg removal–concentration for Li precipitation–three-stage counter-current washing. Optimizing roasting temperature (600 °C), hydrochloric acid concentration (18 wt%), and leaching parameters achieved a 92.37% Li leaching rate. Multi-step purification yielded lithium carbonate with >99% Li2CO3 purity and an overall Li recovery of 73.89%. Process II follows blank roasting–sulfuric acid leaching–Al removal via alum precipitation–Al/Fe removal–freeze crystallization for sodium sulfate removal–Ca/Mg removal–concentration for Li precipitation–three-stage counter-current washing. Parameter optimization and freezing impurity removal achieved an 89.11% Li leaching rate, producing lithium carbonate with >98.85% Li2CO3 content alongside by-products like crude sodium chloride and ammonium alum. Both processes enable resource utilization of Al-rich residues, with the hydrochloric acid-based method excelling in stability and the sulfuric acid-based approach offering superior by-product valorization potential. This low-energy, high-yield clean extraction system provides critical theoretical and technical foundations for scaling clay-type Li deposit utilization, advancing green Li extraction and industrial chain development.

1. Introduction

As a critical mineral resource for strategic emerging industries, lithium (Li) holds significant strategic importance and research value in fields such as medicine, agriculture, new energy, electronics, information technology, aerospace, and national defense [1,2]. Currently, China’s Li resources are primarily concentrated in granite-type, pegmatite-type, salt-lake-type, and clay-type deposits [1,3,4]. Among these, salt-lake-type Li deposits are predominantly sulfate-rich and typically exhibit high Mg/Li ratios, resulting in complex and costly extraction processes. Traditional granite-type Li deposits often face challenges such as low grades and high development costs. Although pegmatite-type Li deposits remain the primary source of China’s Li supply [1,3,5,6], their limited mineralization depth has constrained growth in new reserves in recent years. Meanwhile, intensified exploration efforts have led to the discovery of increasingly abundant clay-type Li deposits with high Li content and potential for independent development [7,8,9,10,11], positioning sedimentary clay-type Li deposits as a growing focal point.
Current extraction technologies for clay-type Li deposits primarily include direct leaching, roasting–leaching, additive-assisted roasting–leaching, and chlorination–sulfidation methods, with variations in techniques depending on genetic deposit types [12,13,14,15,16]. For instance, volcanic clay-type deposits often contain silicon (Si)–magnesium (Mg) clay minerals such as smectite, characterized by layered structures comprising silica tetrahedral and magnesia octahedral sheets. Li predominantly occurs as structurally bound substitutions within octahedral layers, complicating extraction processes [17]. Although direct leaching, additive-assisted roasting, and chlorination–sulfidation have been applied to such deposits, additive-assisted roasting remains the most prevalent method [18,19]. In carbonate clay-type deposits, Li is mainly adsorbed in smectite interlayers. Medium-temperature roasting alters the smectite structure, rendering Li exchangeable for leaching via hydrogen ions (sulfuric acid solution) or ferric ions. For this deposit type, previous studies employed inorganic trivalent ferric salt solutions to leach medium-temperature-roasted clay ore, achieving a Li leaching rate exceeding 80% under optimized conditions: roasting at 600 °C, 15 wt% FeCl3 solution, liquid–solid (L/S) ratio of 5 mL/g, leaching temperature of 80 °C, and reaction duration of 240 min [19].
When utilizing clay-type Li resources to produce lithium carbonate, beyond leaching Li from the ore, it is essential to remove impurity ions from the Li-bearing leachate to ensure Li+ concentration and purity meet production requirements. Current research on clay-type Li deposits remains limited, particularly regarding impurity removal and precipitation processes for Li-bearing leachates, with no documented literature on specialized methods. Consequently, fundamental principles and techniques largely draw from mainstream Li ore processing approaches. Mature industrial methods with relevance to clay-type Li deposits include the sulfuric acid method, sulfate method, and limestone roasting method [20,21,22,23]. For the sulfuric acid and sulfate methods, Li-bearing leachates undergo impurity removal via pH adjustment with lime, followed by further purification with sodium carbonate. The purified solution is then evaporated and concentrated before saturated sodium carbonate solution is added to precipitate qualified Li carbonate. These processes carry significant environmental burdens: sulfuric acid digestion of Li-bearing ore releases SO2/SO3 emissions (acid rain precursors), while sulfate roasting of lepidolite emits toxic HF/SiF4 gases [14,19]. Both methods produce acidic residues containing leachable heavy metals (e.g., As, Cd), which significantly contribute to groundwater contamination risks. The limestone roasting method, the oldest technique for Li salt production, involves high-temperature roasting of Li-bearing minerals like spodumene or lepidolite with limestone to form alkali metal aluminates. Subsequent leaching, concentration, and purification yield Li carbonate. Despite its simple flow and raw materials, this method suffers from excessive limestone consumption, high waste residue generation, significant energy demands, and low Li recovery rates [7].
The ore properties of Li resources in the Jinyinshan deposit, southern Hubei, exhibit distinct differences from other domestic clay-type Li deposits [24,25]. This uniqueness provides a natural laboratory for comprehensive mineralogical studies and mineral processing-metallurgical extraction experiments on clay-type Li ores, offering critical insights for China’s Li exploration and development. Through detailed mineralogical analysis of ore samples from the deposit, this study elucidates the mineral composition, chemical characteristics, and Li occurrence states in siltstone and slate, establishing a foundation for subsequent beneficiation and extraction. By optimizing leaching parameters and extraction pathways, efficient recovery and comprehensive utilization of clay-type Li ore were achieved. The two full-scale industrially adaptable blank roasting–acid leaching processes developed herein not only produce high-purity lithium carbonate but also address environmental impacts by minimizing energy consumption and pollution. This research provides novel pathways for effective resource utilization of clay-type Li deposits while contributing valuable references for environmental protection and sustainable development.

2. Regional Geological Setting

Jinyinshan deposit is situated in the northern Jiangnan Uplift Belt at the junction of the Yangtze and Cathaysia plates, belonging to the Puqi-Tongshan Cu-Au-Sb polymetallic metallogenic belt (Figure 1a). This deposit is located approximately 30 km at 220° azimuth from Chibi City and administratively falls under Zhaoliqiao Town. Hydrogeologically, it is classified as a simple-to-moderate fissure-watered type. Engineering geological conditions are moderate-to-good, and the geo-environmental quality is rated as medium [26]. Regionally exposed strata consist predominantly of the Mesoproterozoic Qingbaikou System Lengjiaxi Group to the Mesozoic Cretaceous System, exhibiting essentially continuous outcrops. The basement comprises regionally shallow metamorphic rocks, while the cover sequence includes carbonate rocks, siliceous rocks, and clastic rocks (Figure 1b). Major regional dike rocks include lamprophyre, spessartite, minette, and quartz veins. South of the study area lies the Mesozoic Yanshanian Mufushan batholith, primarily composed of biotite monzogranite and two-mica monzogranite, representing typical S-type granites [27,28,29]. This batholith exhibits distinct specialization for rare metal mineralization (Li, Be, Nb, Ta).
The region has undergone multiple phases of tectonic movement and deformation, resulting in complex structural features (Figure 1b). Fangshan overturned anticline extends along a NEE-SWW trend with a “7”-shaped configuration, plunging eastward. Its core exposes shallow metamorphic rocks of the Lengjiaxi Group, while the limbs consist of Sinian-Cambrian strata. The northern limb exhibits overturned bedding, dipping 170–180° with steep dips of 60–70°; the southeastern limb maintains normal bedding, dipping 130–140° at angles of 30–50°. The nearly E-W trending F9 fault extends ~9 km from Chongyang Huangdinao in the east, through Zheping, to Wanjialing at the Hunan border in the west, though surface geomorphological expressions are subtle. The fault generally dips 166–185° at 48–69°, transitioning westward in the Wanjialing segment to dips of 185–222° at 25–48°. Its fracture zone ranges from 0.10 to 2.25 m in width, displaying an overall tight, pinch-and-swell structure with localized narrowing. Distinctly developed bleaching halos of variable thickness flank both sides. Within the fracture zone, tectonic breccias—predominantly cataclasite and fault breccia—exhibit silicification, bleaching alteration, and intermittent stibnite mineralization [30]. This structure initially acted as a compressional-shear fault, later transitioning to extensional right-lateral strike-slip characteristics, serving as a large-scale ore-conducting and ore-hosting structure.
The Li ore bodies occur within the nearly E-W trending F9 fault fracture zone and adjacent wall rocks, exhibiting a stratiform distribution. The mineralized body generally dips southward at approximately 60°, extending ~1.2 km in length with an average thickness of 5.36 m and an average Li2O grade of 0.24 wt%. The thickness remains continuous along the strike from west to east and relatively stable down-dip. Ore grades vary locally along the strike (enriched in some sections, depleted in others) and display a trend of decreasing enrichment from shallow to deep levels down-dip. The mineralized lithologies comprise silicified cataclasite, fractured silty slate, fractured argillaceous slate, metamorphic siltstone, and lamprophyre [25]. The dominant ore textures are fractured and cataclastic, while primary structures include massive, stockwork, and disseminated types. Major ore minerals consist of clay minerals, sericite, quartz, and iron oxides. Clay minerals are predominantly chlorite, fibrous hydromica, and kaolinite, with most exhibiting silicification [24,25]. Locally, minor relict clastic occurrences are observed.

3. Sample Collection and Their Mineralogical and Chemical Characteristics

3.1. Collection and Preparation

Ore samples for testing were selected based on a comprehensive evaluation of the current exploration layout and ore body occurrence characteristics. Systematic sampling targeted mineralized bodies in six core profiles (ZK2001, ZK2301, ZK2601, ZK2903, ZK3001, and ZK3002) from the Jinyinshan mining area, southern Hubei. Sampled lithologies include cataclastic rock, silty slate, metamorphic siltstone, and lamprophyre. A combination of oriented channel sampling from trenches and split-core sampling from drill holes yielded a cumulative sample weight of 391.5 kg. This sampling strategy ensured complete coverage of orebody characteristics across varying elevations through three-dimensional integrated surface and subsurface sampling, guaranteeing spatially representative distribution within the deposit.
Sample preprocessing sequentially involved standardized crushing, multi-stage sieving, and splitting operations, ultimately categorizing samples into three categories: test specimens, chemical analysis samples, and archival reference samples. The chemical analysis samples were divided into 3 equal parts for component analysis. Preliminary analysis data indicated a Li2O content of 0.265 wt% in the samples (Table 1), consistent with the theoretical average grade (0.24 wt%) calculated from the deposit’s geostatistical model [25], thereby confirming the samples’ representativeness.
The AMICS test sample was prepared through particle size fractionation. The bulk sample was first crushed to <74 μm using a jaw crusher and roller mill, then homogenized by cone-and-quartering. This processed material was sieved into three fractions: >74 μm, 45–74 μm, and <45 μm, with respective yields of 60.17%, 11.25%, and 28.58%. Test samples were prepared from each fraction, and the final AMICS results represent a comprehensive analysis integrating data from all three size fractions. Separately, representative Li ore samples were selected for probe thin sections preparation.

3.2. Analysis Method and Mineralogical Characteristics

To determine in detail the mineral composition, content, and the occurrence state and concentration of Li within the samples, this study utilized multiple analytical techniques including the automated mineral identification and characterization system (AMICS), electron probe microanalyzer (EPMA), and laser ablation inductively coupled plasma mass spectrometry (LA-ICP-MS) to conduct a comprehensive mineralogical investigation.

3.2.1. AMICS, EPMA and LA-ICP-MS

The AMICS system of Hubei Provincial Geological Experimental Testing Center integrates a ZEISS Sigma 300 high-resolution field emission scanning electron microscope (FESEM), a Bruker XFlash 6/60 energy-dispersive X-ray spectrometer (EDS), and a specialized software suite comprising AMICSTool, Investigator, MineralSTDManager, and AMICSProcess. Operational parameters are configured as follows: 20 kV accelerating voltage, high vacuum environment, 8.5 mm working distance, high-current mode activation, backscattered electron detection using HDBSD, and 60 μm objective lens grating aperture.
Major element compositional analyses were conducted at the Electron Probe Laboratory of the Chinese Academy of Geological Sciences (Beijing) utilizing a JEOL JXA-8230 electron probe microanalyzer (EPMA). Sample preparation involved carbon coating to achieve a conductive layer approximately 20 nm thick. Analytical conditions included an accelerating voltage of 15 kV, beam current of 20 nA, and beam diameter of 2 μm. The measurement times were 10 s per element and 5 s for background acquisition. Natural mineral and synthetic oxide standards were used, and the ZAF correction method was applied to all analytical data.
In situ laser ablation inductively coupled plasma mass spectrometry (LA-ICP-MS) was performed at the National Geological Experimental Testing Center. The test employed the American ASIJ-200 343 nm femtosecond laser and the German Thermo X-Series inductively coupled plasma mass spectrometer on-line. In situ point analyses were performed using a laser ablation spot size of 24 μm, a repetition rate of 6 Hz, and NIST SRM 610 synthetic silicate glass as the primary external calibration standard. To ensure analytical precision, standardized reference materials were systematically interspersed within every batch of 5–7 sample mounts. Each measurement cycle incorporated a 20 s background signal acquisition (gas blank), followed by 50 s of sample ablation, and concluded with a 20 s washout period to minimize cross-contamination. Raw data were reduced using ICPMS DataCal 10.7 software, applying background subtraction, and drift correction.

3.2.2. Chemical Composition

The Li2O content in the samples from the Jinyinshan deposit is 0.265 wt%, with major chemical constituents including SiO2 (66.39 wt%), Al2O3 (16.19 wt%), and Fe2O3 (7.06 wt%). Concentrations of rare and dispersed metals such as REE, Ga, Nb, Ta, and Sb are relatively low. Detailed ore composition data are provided in Table 1.

3.2.3. Mineral Composition

Integrated analysis using AMICS and SEM-EDS reveals that quartz is the dominant mineral in the samples (55.07%), followed by clay minerals including illite (K<1(Al,R2+)2[(Si,Al)Si3O10](OH)2·nH2O, 13.55%), cookeite (LiAl4(Si3Al)O10(OH)8, 7.25%), and rectorite ((Na,Ca)Al4(Si,Al)8O20(OH)4·2H2O, 4.86%). The dominant metallic minerals are iron oxides/hydroxides (3.20%, commonly referred to as “limonite” in field descriptions; Figure 2e,f). Accessory minerals are diverse and include florencite, apatite, anatase, and zircon. Detailed mineralogical composition is provided in Appendix A.

3.2.4. Li Occurrence State

The test samples were primarily composed of quartz and clay minerals (cookeite, illite, rectorite), with no traditional Li-bearing minerals such as spodumene observed (Figure 2). Given that SEM-EDS cannot provide quantitative Li characterization, this study employed EPMA and LA-ICP-MS for in situ microanalysis of major clay minerals (detailed data provided in Appendix B). Integrated with chemical phase analysis, this approach comprehensively determined Li occurrence states and distribution patterns.
Cookeite exhibits significant Li enrichment (11,308–16,048 ppm), with an average content of 14,079.5 ppm. The structure of chlorite-group minerals is composed of alternating stacking of talc layers (T-O-T) and brucite layers (octahedral sheet, O). This brucite layer is an octahedral sheet sandwiched between the T-O-T layers. Its crystal chemical structure indicates that Li+ mainly replaces the cations (e.g., Al3+) in the interlayer octahedron sheet with its structural characteristics [31].
Illite shows lower Li concentrations (555–685 ppm), averaging 607 ppm. Structural charge imbalance requires interlayer cations (Li+, K+, Na+) to compensate for positive charge deficits from Al3+ replacing Si4+ in tetrahedral sites (Li+ + Al3+ → Si4+) [32]. Simultaneously, Mg2+ substitution for Al3+ in octahedral sites generates localized negative charges, compensated by interlayer Li+ through inner-/outer-sphere complexation (Li+ + Mg2+ → Al3+) [33,34,35]. Therefore, Li+ mainly exists in the interlayer space as interlayer cations in illite. However, illite’s limited interlayer space restricts its capacity to accommodate H2O and cations, resulting in constrained Li uptake [36].
Rectorite also demonstrates high Li content (864–1969 ppm, average 1322.2 ppm) with substantial variation. As a regular interlayer mineral (mica layer/smectite layer), Li+ in rectorite primarily resides in the interlayer space of the mica layer (analogous to illite), and partially occupies exchangeable cation sites within the smectite layer [37,38]. Crucially, rectorite’s expandible interlayer domains enable extensive adsorption of cations (e.g., Li+, K+), thus conferring substantially higher Li enrichment capacity than illite.
The content of each mineral was provided by AMICS analysis (Appendix A), which was used to calculate the occurrence ratio of Li in the main mineral phases. The following formula was applied: Total metallic Li content per mineral = mineral content × average Li concentration (Table 2). Li was predominantly hosted in cookeite (82.55% of total Li), followed by illite (6.65%) and rectorite (5.20%). Collectively, these clay minerals accounted for 94.40% of Li, confirming cookeite as the dominant Li host in the deposit.

3.2.5. Minerals Particle Size Characteristics

Particle size distributions were quantified using the Equivalent Circular Diameter method based on SEM-BSE images. Mineral projections were analyzed in ImageJ (v1.53) with n ≥ 300 particles per sample to ensure statistical significance. Whole-rock mineral and individual phase size distributions (Figure 3) reveal that Li-bearing minerals (illite, cookeite, and rectorite) display submicroscopic flaky morphology with predominantly fine-grained sizes (over 90% of particles < 45 μm). These minerals commonly intergrow with quartz and primarily occur as aggregates (Figure 2). Quartz contains a significant coarse-grained fraction (11.45% > 150 μm). As the predominant metallic mineral, limonite shows a similar size distribution to Li-bearing clay minerals, with most particles (<45 μm) in the fine fraction.

4. Experimental Methods and Results

Current mainstream Li extraction processes for traditional Li ores such as lepidolite (KLi2Al(Si4O10)(F,OH)2) and spodumene (LiAlSi2O6) in the industrial sector primarily employ the sulfuric acid method, sulfate method, and limestone roasting method [14,20,21,22,23,39,40]. Conversely, clay-type Li deposits present greater extraction challenges due to their complex mineral compositions and diverse Li occurrence states. Existing extraction technologies mainly include direct leaching, roasting–leaching, and additive-assisted roasting–leaching methods [12,13,14,15,16].
Based on systematic process mineralogy and exploratory test characterization, this study confirms that Li is predominantly hosted in clay minerals including cookeite and rectorite. Upon roasting, these minerals undergo significant phase transformations where Al-Si bonds in silicates are activated, thereby enhancing the leaching rate for Li and other metallic elements [41,42,43]. Through iterative experimentation, two clean extraction processes—blank roasting–hydrochloric acid leaching and blank roasting–sulfuric acid leaching—were ultimately identified, both offering high Li leaching efficiencies with notable economic and environmental benefits.

4.1. Process Flow I: Blank Roasting–Hydrochloric Acid Leaching Method

4.1.1. Optimization of Li Leaching Conditions

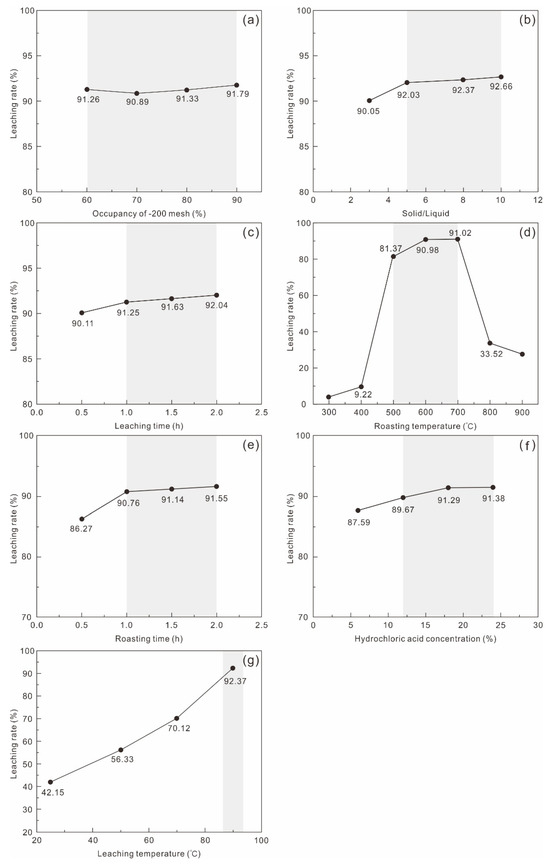
Condition optimization tests investigated grinding fineness, roasting temperature, roasting time, hydrochloric acid concentration, L/S ratio, leaching temperature, and leaching time. Results indicate that grinding fineness, L/S ratio, and leaching time exerted negligible effects on Li leaching rate (Figure 4a–c). In contrast, roasting temperature, roasting time, hydrochloric acid concentration, and leaching temperature exerted substantial regulatory effects (Figure 4d–g).
Roasting Temperature
As the roasting temperature increased from 300 °C to 900 °C, the Li leaching rate exhibited a unimodal trend (Figure 4d). At 500 °C, the leaching rate abruptly increased to 81.37%. Further increases to 600 °C and 700 °C yielded rates of 90.98% and 91.02%, respectively. At 800 °C, however, these sharply decreased to 33.52%.
Roasting Time
The Li leaching rate generally increased with prolonged roasting time (Figure 4e). At 0.5 h, the rate reached 86.27%, rising to 90.76% at 1 h. Extending time beyond 1.5 h stabilized above 91%, confirming sufficient thermal activation as a prerequisite for liberating structural Li.
Hydrochloric Acid Concentration
Increasing hydrochloric acid concentrations progressively enhanced the leaching rate (Figure 4f). At 6 wt% hydrochloric acid, the rate was 87.59%, approaching 90% at 12 wt%. Continued concentration increases pushed the rate above 91%. Balancing cost and efficacy, 18 wt% hydrochloric acid was laboratory-optimized, though industrial implementation may adopt a gradient range of 12–18 wt%.
Leaching Temperature
Increasing leaching temperature from 25 °C to 90 °C enhanced the Li recovery rate from 42.15% to 92.37%, demonstrating a gradual upward trend (Figure 4g). Thus, 90 °C is optimal.
Tests on grinding fineness, L/S ratio, and leaching time confirmed their negligible influence (Figure 4a–c). Consequently, the optimized parameters were: grinding fineness of 200 mesh accounts for 60%, roasting temperature of 600 °C, roasting duration of 1.5 h, hydrochloric acid concentration of 18 wt%, an L/S ratio of 5, leaching temperature of 90 °C, and leaching time of 1 h.

4.1.2. Leachate Purification and Li Precipitation Test

Compared to spodumene and lepidolite concentrates, clay-type Li ore features complex composition and polymetallic associations. After blank roasting–acid leaching, significant coexisting metal ions (Al3+, Fe3+, Ca2+, Mg2+) dissolve alongside target Li, substantially complicating Li separation and purification. Initial leaching results indicated Al and Fe concentrations exceeding 7.5 g/L in both hydrogen chloride and hydrogen sulfate systems, followed by Ca and Mg. Addressing the characteristic low-Li and high-Al leachate, this study innovatively implements a process flow of leachate roasting–water leaching for Li-Al separation–alkali precipitation for Ca and Mg removal–concentration for Li precipitation (Figure 5). This approach utilizes the hydrolysis properties of AlCl3 in the leachate to convert Al to amorphous alumina, achieving Li-Al separation via water leaching (roasting temperature 600 °C, roasting time 2 h, liquid–liquid ratio of 3, leaching temperature of 90 °C, and leaching time of 1 h.). Concurrently, volatilized HCl from calcination is captured via closed-loop absorption, significantly reducing acid consumption in the leaching circuit.
The secondary leachate primarily contains Ca2+ and Mg2+ impurities. Although mature separation techniques exist for Li-Ca-Mg systems, conventional pH adjustment with lime introduces new Ca2+ contamination, while NaOH—despite higher alkalinity and lower dosage—may cause Li adsorption losses [44,45]. Therefore, this study employed widely used Na2CO3 as a precipitant. At 1.5 times the stoichiometric ratio, Li loss was limited to 0.13%, demonstrating both high efficiency and cost-effectiveness.

4.1.3. Purified Solution Concentration and Li Precipitation

The optimal Li+ concentration for carbonate precipitation is 20–25 g/L [46]. The Ca/Mg-removed solution was further concentrated to crystallize crude sodium chloride, adjusting the final purified solution to 20–25 g/L Li+.
The concentrated solution was heated to 90 °C, and 400 g/L Na2CO3 solution was added dropwise at a constant rate of 10 mL/min (1.1 times stoichiometric requirement) under agitation. After 30 min of precipitation, immediate filtration yielded crude lithium carbonate. X-ray diffraction (XRD) analytical results showed 85.73% Li2CO3 content, with Na2CO3 and K2CO3 as primary impurities, achieving 90.05% Li precipitation rate. In practical production, Li-rich filtrate can be recycled to subsequent cycles, increasing the overall rate beyond 98% at equilibrium.

4.1.4. Crude Lithium Carbonate Washing and Purification

Preliminary purification of crude lithium carbonate involved three-stage cross-flow washing and three-stage counter-current washing (L/S ratio: 2; temperature: 90 °C; time: 15 min; results in Table 3).
Counter-current washing demonstrated superior performance. Leveraging Li2CO3 solubility characteristics, this method minimized Li losses. By the third stage, Na+ and K+ concentrations in wash liquor fell below 0.2 g/L, confirming an approximately 99% washing rate. Purified concentrate analysis indicated 99.03% Li2CO3 content, with impurities of 0.14% Na, 0.005% K, and 0.07% Ca; Fe and Mg below detection limits.

4.1.5. Full Flow Process I

Following detailed experimental investigations, Process I established a comprehensive Li extraction procedure comprising blank roasting–hydrochloric acid leaching–Li-Al separation from leachate–Ca/Mg removal–concentration for Li precipitation–three-stage counter-current washing (Figure 5). Full-process test parameters indicate that under conditions of 600 °C roasting temperature, a 1.5 h roasting time, 18 wt% hydrochloric acid concentration, 90 °C leaching temperature, 1 h leaching time, and L/S ratio of 5, a Li leaching rate of 92.37% and an Al leaching rate of 47.62% were achieved.
Roasting of the leachate followed by water leaching achieved Li-Al separation with a 93.91% Li leaching rate, while Al and Fe were completely converted into Al-rich residue. The concentrated leachate was treated with NaOH and Na2CO3 to remove Mg and Ca, yielding a purified solution with Li loss rates of 2.59% and 0.13%, respectively. Subsequent evaporation and concentration crystallized crude sodium chloride salt. Filtration produced a Li-rich purified solution, from which sodium carbonate precipitation generated a crude lithium carbonate product containing 85.73% Li2CO3, with a Li precipitation rate of 90.05% (in actual production, filtrate recycling could further enhance precipitation rate). Three-stage counter-current washing of the crude lithium carbonate yielded a final product with 99.03% Li2CO3 content (increased washing cycles may further improve purity).
Final outputs of Process I include: lithium carbonate product (0.48% yield, 99.03% Li2CO3, 73.89% Li total recovery), alumina-rich residue (34% yield, 46.88% Al2O3, 47.62% Al recovery), and crude sodium chloride product (1% yield, 99.13% NaCl).

4.2. Process Flow II: Blank Roasting–Sulfuric Acid Leaching Test

4.2.1. Optimization of Li Leaching Conditions

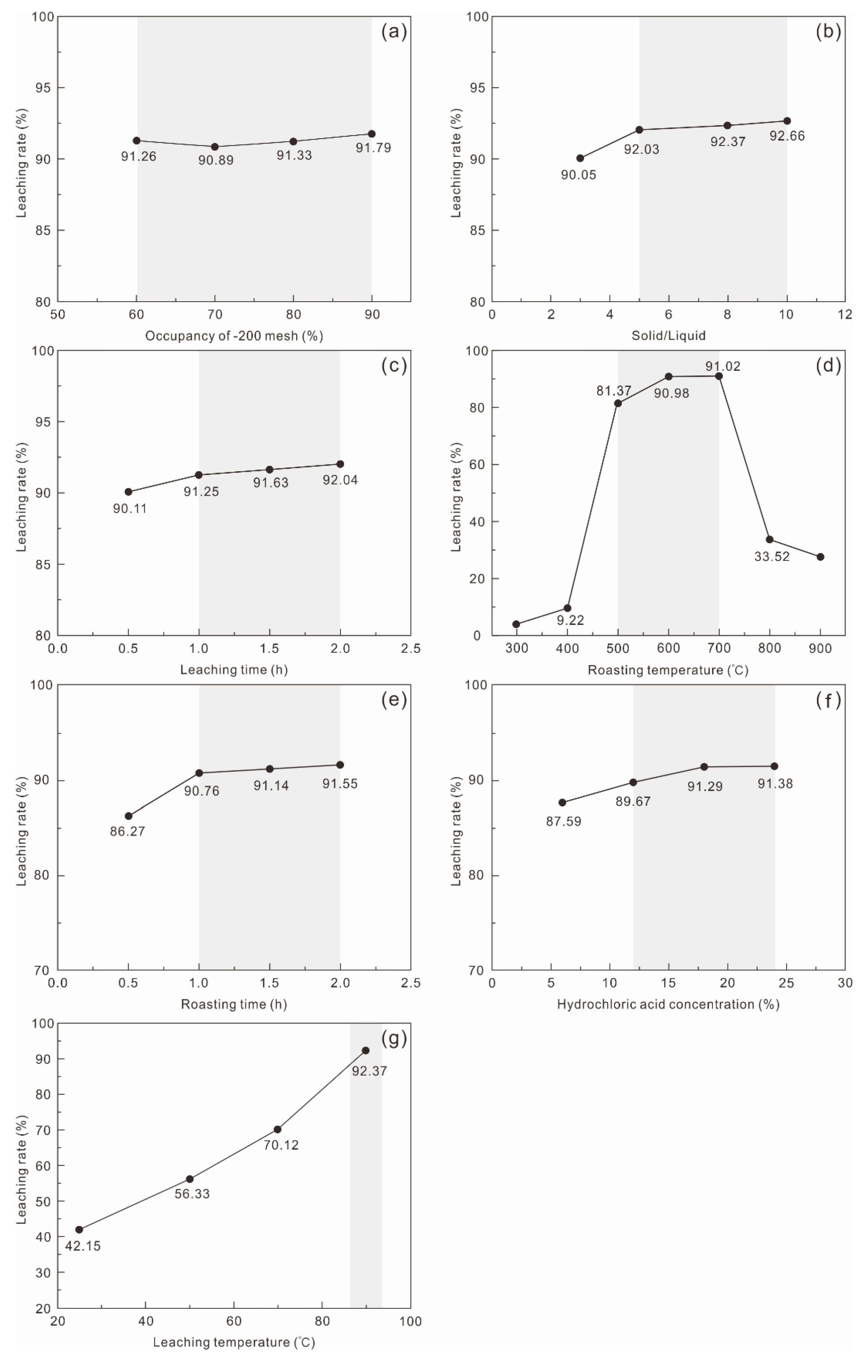
Process II similarly conducted condition optimization tests for grinding fineness, roasting temperature, roasting time, sulfuric acid concentration, L/S ratio, leaching temperature, and leaching time. Results indicate that grinding fineness and L/S ratio exerted limited influence on the Li leaching rate (Figure 6a,b), while roasting temperature, roasting time, sulfuric acid concentration, leaching temperature, and leaching time significantly affected outcomes (Figure 6c–g). Specifically, the Li leaching rate initially rose and then declined with prolonged leaching time, peaking at 89.11% at 2 h before decreasing to 83.79% at 4 h (Figure 6c). At a 400 °C roasting temperature, the leaching rate was only 2.80%, rapidly increasing to 79.55% at 500 °C and peaking at 84.89% at 600 °C, above which it rapidly increased (Figure 6d). Both prolonged roasting time and increased sulfuric acid concentration showed positive correlations, achieving an 84.91% rate at 2 h roasting and 87.16% at 30% sulfuric acid concentration (Figure 6e,f). Leaching temperature demonstrated the most pronounced effect, with the rate increasing by 147.5% when raised from 25 °C to 90 °C (Figure 6g).

4.2.2. Leachate Purification and Li Precipitation Test

From a technical perspective, the key challenge in processing sulfuric acid leachate remains Li-Al separation, with alum precipitation being the mainstream method. This involves adding appropriate amounts of (NH4)2SO4 or K2SO4 to form alum salts with Al2(SO4)3 in the leachate for Al removal. Based on the characteristics of blank roasting–sulfuric acid leachate, this study adopted a process flow of Al removal via alum precipitation–alkali precipitation for Fe/Al removal–alkali precipitation for Ca/Mg removal–freezing crystallization for sodium sulfate removal–concentration for Li precipitation.
Since cyclic leaching tests were not conducted, the leachate was evaporated to double concentration prior to alum precipitation to ensure the Al crystallization rate. Ammonium alum crystallization, a well-established Al removal method, is affected by metal ions like Fe in the leachate, which consume ammonium sulfate. Consequently, ammonium sulfate dosage was optimized. Results (Figure 7) demonstrate that increasing the ammonium aluminum molar ratio positively enhances Al removal. Li loss during alum crystallization primarily stems from crystal entrapment and is of negligible correlation with ammonium sulfate dosage, maintaining low loss rates. Optimal conditions (1.1 × stoichiometric (NH4)2SO4, 150 rpm agitation, 4 °C crystallization temperature, 60 min crystallization time) achieved 85.33% Al removal (residual Al 3.89 g/L) with 1.73% Li loss.

4.2.3. Alkali Precipitation for Fe/Al and Ca/Ma Removal

The single-pass Al removal efficiency is inherently limited by ammonium alum solubility, necessitating deep removal of residual Al/Fe. Alkali precipitation to form Al(OH)3 and Fe(OH)3 is the most common method, but Al(OH)3 exhibits strong Li+ adsorption [47]. Precise alkali addition is critical to prevent the formation of highly adsorbent colloids. Furthermore, as Al is amphoteric, pH must be strictly controlled near 7 to avoid aluminate formation at elevated pH, which complicates complete Al removal. Building on the previous step, the solution was first concentrated to a Li+ concentration of approximately 5 g/L. At this stage, the concentrations of Ca2+ and Mg2+ were approximately 557 mg/L and 3.41 g/L, respectively. Subsequently, 300 g/L simultaneous NaOH and Na2CO3 addition was used for Ca/Mg removal, outperforming stepwise addition (Table 4).

4.2.4. Purified Solution Concentration and Li Precipitation

The purified solution was concentrated to 20% of its original volume to obtain an Li-rich solution. Based on prior tests, the solution was heated to 90 °C, and 400 g/L Na2CO3 solution (1.1 × stoichiometric) was added dropwise at 10 mL/min under agitation for 30 min. Immediate filtration produced crude lithium carbonate assayed at 89.52% Li2CO3 with 87.35% Li precipitation efficiency.

4.2.5. Crude Lithium Carbonate Washing and Purification

For preliminary purification, three-stage counter-current washing (L/S ratio 2; 90 °C; 15 min) was conducted. By Stage 3, Na+ and K+ concentrations in wash liquor decreased to 0.1 g/L, with 2.71% Li loss, indicating effective purification. Washed product analysis showed 98.85% Li2CO3 content, with impurities at 0.11% Na, 0.005% K, and 0.07% Ca; Fe and Mg were below detection limits (Table 5). Product quality could be further enhanced with additional washing cycles.

4.2.6. Full Process Flow II

Following detailed experimental investigations, Process II was established: blank roasting–sulfuric acid leaching–Al removal via alum precipitation–Fe/Al removal–freezing crystallization for sodium sulfate removal–Ca/Mg removal–concentration for Li precipitation–three-stage counter-current washing (Figure 8). Key performance metrics under optimized conditions (roasting: 600 °C, 2 h; leaching: 15 wt% sulfuric acid, 90 °C, 2 h, L/S ratio 3) include a Li leaching rate of 89.11% and an Al leaching rate of 44.33%. Al removal via ammonium sulfate freeze crystallization achieved an 85.33% rate (crystallization rate: 85.33%) with 1.73% Li loss. Subsequent Fe/Al removal via pH adjustment (NaOH) incurred 1.91% Li loss. After concentration and freezing to remove sodium sulfate, NaOH and Na2CO3 were added to eliminate Ca/Mg (3.85% Li loss). The purified solution underwent further concentration/freezing for sodium sulfate removal, yielding a Li-rich solution. Sodium carbonate precipitation produced crude lithium carbonate (89.52% Li2CO3), which was upgraded to 98.85% Li2CO3 purity via three-stage counter-current washing.
Final outputs of Process II include, lithium carbonate product (0.46% yield, 98.85% Li2CO3, 69.89% Li total recovery), crude ammonium alum (29.48% yield, 37.83% Al recovery), and crude sodium sulfate (43% yield).

5. Discussion

5.1. Significance of Mineralogy for Li Extraction

Elucidating the occurrence state of Li and mineralogical characteristics in the Jinyinshan clay-type Li deposit provides a critical mineralogical foundation for understanding Li extraction behavior and designing efficient processes. The study reveals that Li primarily resides in structural sites within cookeite (71.95% of total Li), followed by illite (6.30%) and rectorite (4.71%). As the dominant Li-host mineral, cookeite’s crystal chemistry dictates that structural Li release requires disrupting its silicate framework [30]. This explains the typically low efficiency of direct acid leaching and necessitates blank roasting as a pretreatment step. During roasting, cookeite undergoes lattice expansion and disruption [41,42], transforming structurally bound Li into acid-accessible forms. In contrast, Li within rectorite and illite interlayers is more readily leachable, yet its significantly lower abundance compared to cookeite limits its overall contribution to leaching efficiency.
Li-host minerals (illite, cookeite, rectorite) predominantly exhibit fine particle sizes, with over 90% below 45 μm (Figure 3), and frequently occur as intimate intergrowths or aggregates with quartz (Figure 2). This fine-grained intergrowth necessitates fine grinding (−200 mesh accounting for 60%) to sufficiently liberate mineral surfaces for subsequent roasting activation and acid leaching. However, it concurrently leads to significantly elevated concentrations of impurity ions (Al3+, Fe3+, Ca2+, Mg2+) in the leachate. The substantial specific surface area of sub-45 μm particles promotes the dissolution of impurity elements from associated minerals, directly necessitating the complex and crucial leachate purification steps developed in this study.

5.2. Li Extraction Advantages of the Two Processes

Process I established a method comprising blank roasting–hydrochloric acid leaching–Li-Al separation from leachate–Ca/Mg removal–concentration for Li precipitation–three-stage counter-current washing. Through optimization of leaching parameters (600 °C roasting for 1.5 h, 18 wt% hydrochloric acid leaching at 90 °C for 2 h, L/S ratio 5), a Li leaching rate of 92.37% was achieved. Subsequent purification yielded Li carbonate with 0.48% yield, 99.03% Li2CO3 purity, and 73.89% Li total recovery. The product complies with GB/T 11075-2013 standards while generating alumina-rich residue and crude sodium chloride as by-products [48].
Process II adopted blank roasting–sulfuric acid leaching–Al removal via alum precipitation–Al/Fe removal–concentration/freezing for sodium sulfate removal–Ca/Mg removal–concentration for Li precipitation–three-stage counter-current washing. Under conditions of 600 °C roasting for 2 h, 15 wt% sulfuric acid leaching at 90 °C for 2 h, and an L/S ratio of 3, an 89.11% Li leaching rate was attained. The final Li carbonate product exhibited 0.46% yield, 98.85% Li2CO3 purity, and 69.89% Li recovery, meeting national standards while producing crude ammonium alum and sodium sulfate by-products [48].
Compared to traditional additive-assisted roasting, both developed blank roasting–acid leaching clean processes significantly reduce reagent consumption and avoid introducing new impurity ions. However, they exhibit distinct emphases in acid system selection, core impurity removal technologies, and by-product profiles.
Leaching efficiency and stability: Under optimized conditions, Process I achieved marginally higher Li leaching efficiency (92.37% vs. 89.11%) and total Li recovery (73.89% vs. 69.89%). This enhanced performance is potentially attributable to hydrochloric acid’s superior dissolution capability for certain silicates or the more favorable dissolution kinetics of the activated calcine in hydrochloric acid. Process I’s innovative roasting–water leaching step for Li-Al separation achieved high efficiency (93.91% Li recovery), while concurrently recovering acid via closed-loop absorption. This contributes to potentially superior operational stability and process controllability for the hydrochloric acid system.
Impurity removal and product purity: Both processes yielded high-purity lithium carbonate (>98.85%) meeting national standards [48]. Process I’s final product purity (99.03%) slightly exceeded Process II (98.85%), likely due to its unique Li-Al separation mechanism, which more thoroughly removes aluminum (fixed primarily in the residue) and its relatively simpler subsequent Ca/Mg removal step using Na2CO3. In contrast, Process II requires multiple purification stages (alum precipitation for Al, alkali precipitation for Fe/Al and Ca/Mg), increasing cumulative Li loss risks.
By-products and economics: Process I generates an Al-rich residue (valuable but requiring specific utilization pathways like metallurgy or construction materials) and crude sodium chloride (lower value). Process II’s core advantage lies in diversified by-product valorization: Crude ammonium alum finds applications in water treatment, papermaking, and tanning, while crude sodium sulfate is a significant chemical feedstock (glass, detergents, pulp). Strategic by-product sales can substantially offset production costs and enhance overall project economics.

6. Conclusions

(1)
Detailed mineralogical studies confirm Li predominantly occurs in cookeite (82.55% of total Li), followed by illite (6.65%) and rectorite (5.20%). These Li-bearing minerals exhibit microscopic flaky morphologies with fine particle sizes (<45 μm), predominantly occurring as aggregates. Cookeite shows particularly high Li enrichment (11,308–16,048 ppm, average 14,079.5 ppm), providing critical mineralogical foundations for extraction process design.
(2)
By optimizing leaching conditions and refining purification steps, two industrially adaptable flowsheets were innovatively developed: Process I (blank roasting–hydrochloric acid leaching–Li-Al separation–Ca/Mg removal–concentration precipitation–three-stage counter-current washing) and Process II (blank roasting–sulfuric acid leaching–alum precipitation for Al removal–Al/Fe removal–concentration/freezing for sodium sulfate removal–Ca/Mg removal–concentration precipitation–three-stage counter-current washing).
(3)
Post-optimization, the blank roasting–acid leaching processes stably yielded high-purity Li carbonate (≥99% Li2CO3) compliant with national standards, achieving ≥70% overall Li recovery. This validates the technical feasibility and effectiveness for deposit development.
(4)
Beyond Li carbonate, the processes generate valuable by-products including alumina-rich residue, crude sodium chloride, and ammonium alum. Strategic utilization pathways for these materials will maximize resource rate and enhance economic returns while reducing environmental footprints.

Author Contributions

Writing—original draft preparation, H.Z.; Writing—review and editing, P.L., W.Z. and J.L.; Collecting the samples, J.Y.; Software and data processing, Z.C., Y.F., S.L., J.K. and D.Z.; Funding acquisition, P.L. All authors have read and agreed to the published version of the manuscript.

Funding

This work is financially supported by the National Key Research and Development Program (2024YFC2909300), the National Natural Science Foundation of China (42330806, U2444204, and 42472111), and Geological Survey Project grants from the China Geological Survey (DD20230289).

Institutional Review Board Statement

Not applicable.

Informed Consent Statement

Not applicable.

Data Availability Statement

The original contributions presented in this study are included in the article. Further inquiries can be directed to the corresponding author.

Conflicts of Interest

The authors declare no conflicts of interest.

Appendix A. AMICS Analysis Results of Mineral Composition of Samples

MineralContent (%)Area (%)Mineral Phases NumberParticle Number
Quartz55.0754.7436,0961,078,978
Illite13.5512.5013,323266,225
Cookeite7.257.6514,22491,276
K-feldspar5.365.3922,23976,738
Rectorite4.864.5712,168111,464
Unknown3.874.9923,482107,222
Iron oxide/hydroxide3.202.20480995,553
Albite1.911.9345540,380
Chlorite1.311.14614653,273
Biotite0.940.82517653,972
Anatase0.200.1216524510
Apatite0.110.09181711
Scorodite0.090.0878515
Pyrite0.050.0337250
Siderite0.050.031881050
Florencite0.030.02572910
Dolomite0.020.012333
Zircon<0.01<0.0189132
Note: The mineral phases number reflects the diversity of association phases of minerals. Particle number is the total number of entities of independent mineral particles. Area Percentage: (Number of mineral particles × Average particle area)/Total mineral area = Area percentage of the mineral.

Appendix B. EPMA and LA-ICP-MS Analysis Results of Cookeite, Illite and Rectorite

MineralSampleLiNa2OMgOAl2O3SiO2K2OCaOTiO2TFeOTotal
ppmwt%wt%wt%wt%wt%wt%wt%wt%wt%
CookeiteA-0115,057.000.000.0442.9038.390.060.000.000.1181.50
A-0213,895.000.010.0743.5038.700.070.060.010.4582.86
A-0313,298.000.080.0243.2038.000.060.060.010.5281.95
A-0411,308.000.080.0242.3037.920.070.090.100.6182.19
A-0514,871.000.050.0243.3238.500.060.030.010.3582.34
A-0616,048.000.010.0542.5538.840.080.050.060.4682.09
IlliteB-01612.000.321.5033.2052.108.400.500.722.0098.74
B-02585.000.181.8034.5050.307.600.400.653.1098.53
B-03700.000.450.8031.0054.008.200.300.501.5096.75
B-04550.000.251.2032.8051.507.900.600.682.5097.43
B-05555.000.122.0030.7053.807.300.200.453.6098.17
RectoriteC-011046.002.830.5136.6152.320.290.450.080.2393.32
C-02864.002.580.6436.1453.010.190.460.070.4293.51
C-031969.002.690.5437.1451.880.200.520.090.2593.31
C-041422.002.950.7736.2852.320.170.250.080.2893.10
C-051310.002.760.2636.5452.220.370.390.100.1192.75

References

  1. Li, J.K.; Liu, X.F.; Wang, D.H. The metallogenetic regularity of lithium deposit in China. Acta Geol. Sin. 2014, 88, 2269–2283, (In Chinese with English abstract). [Google Scholar]
  2. Wang, D.H.; Sun, Y.; Liu, X.F.; Tian, S.H.; Dai, J.J.; Liu, L.J.; Ma, S.C. Deep exploration technology and prospecting direction for lithium energy metal. Geol. Surv. China 2018, 5, 1–9, (In Chinese with English abstract). [Google Scholar]
  3. Liu, L.J.; Wang, D.H.; Liu, X.F.; Li, J.K.; Dai, H.Z.; Yan, W.D. The main types, distribution features and present situation of exploration and development for domestic and foreign lithium min. Geol. China 2017, 44, 263–278, (In Chinese with English abstract). [Google Scholar]
  4. Xu, X.W.; Li, H.L.; Shi, F.P.; Yao, F.J.; Chen, J.Z.; Yang, Z.Q.; Hong, T.; Qiang, K. Metallogenic characteristics and prospecting of granitic pegmatite-type rare metal deposits in the Tugeman area, middle part of Altyn Tagh. Acta Petrol. Sin. 2019, 35, 3303–3316, (In Chinese with English abstract). [Google Scholar]
  5. Li, J.K.; Fu, X.F.; Zou, T.R.; Wang, D.H. Prospecting breakthrough of lithium deposit in Jiajika, Sichuan and analysis of prospecting prospects in the periphery. Miner. Depos. 2014, S1, 1175–1176, (In Chinese with English abstract). [Google Scholar]
  6. Fan, J. Research on Exploitation and Industry Development Strategy of Lithium Mineral Resources in China; China University of Geosciences: Beijing, China, 2016; pp. 1–110, (In Chinese with English abstract). [Google Scholar]
  7. Kesler, S.E.; Gruber, P.W.; Medina, P.A.; Keoleian, G.A.; Everson, M.P.; Wallington, T.J. Global lithium resources: Relative importance of pegmatite, brine and other deposits. Ore Geol. Rev. 2012, 48, 55–69. [Google Scholar] [CrossRef]
  8. Verley, G.G.; Vidal, M.F.; MacNeill, E. Report on the Sonora Lithium Project. In Technical Report on the Feasibility Study for the Sonora Lithium Project, Mexico; Bacanora Lithium: Sonora, Mexico, 2012. [Google Scholar]
  9. Benson, T.R.; Coble, M.A.; Rytuba, J.J.; Mahood, G.A. Lithium enrichment in intracontinental rhyolite magmas leads to Li deposits in caldera basins. Nat. Commun. 2017, 8, 270. [Google Scholar] [CrossRef]
  10. Xie, R.Q.; Zhao, Z.H.; Tong, X.; Xie, X.; Song, Q.; Fan, P.Q. Review of the research on the development and utilization of clay-type lithium resources. Particuology 2024, 87, 46–53. [Google Scholar] [CrossRef]
  11. Li, Q.Z.; Wang, J.B.; Liu, D.W.; Jia, C.S. Exploration and development status of global lithium resources and overview of typical foreign lithium deposits. Geol. Explor. 2025, 61, 0636–0654, (In Chinese with English abstract). [Google Scholar]
  12. Wen, H.J.; Luo, C.G.; Du, S.J.; Yu, W.X.; Gu, H.N.; Ling, K.Y.; Cui, Y.; Li, Y.; Yang, J.H. Carbonate-hosted clay-type lithium deposit and its prospecting significance. Chin. Sci. Bull. 2020, 65, 53–59, (In Chinese with English abstract). [Google Scholar] [CrossRef]
  13. Xiao, H. Study on Recovery and Reuse of Valuable Metals from Waste Ferrous Lithium Phosphate Cathode Materials by Roasting Leaching Method. Master’s Thesis, Jiangxi University of Science and Technology, Ganzhou, China, 2023; pp. 1–54. [Google Scholar]
  14. Li, P.H.; Zeng, Y.; Yu, X.D.; Huang, Y. Current research status on lithium extraction technologies and occurrence characteristics of clay-type lithium deposits. Ind. Miner. Process. 2025, 1–13, (In Chinese with English abstract). [Google Scholar]
  15. Bai, Z.; He, J.H.; Wang, M.X.; Han, Y.X.; Sun, Y.S.; Yuan, S.; Jin, J.P. Pilot-scale case study on vanadium extraction from vanadium-bearing shale using suspension oxidation roasting-curing-leaching process. Trans. Nonferrous Met. Soc. China 2025, 1–30, (In Chinese with English abstract). [Google Scholar]
  16. Ni, C.Q.; Liu, C.; Wang, J.Y.; Song, Y.B.; Liang, Y.T.; Xie, W.Q.; Zhong, H.; He, Z.G. Highly efficient lithium leaching from α-spodumene via binary composite salts low-temperature roasting process. Powder Technol. 2025, 449, 120404. [Google Scholar] [CrossRef]
  17. Cui, Y. Occurrence and Enrichment Mechanisms of Lithium in Clay-Type Li Deposits: Case Studies from Central Yunnan, Central Guizhou, and McDermitt, USA. Ph.D. Thesis, East China University of Technology, Nanchang, China, 2024; pp. 1–132, (In Chinese with English abstract). [Google Scholar]
  18. Crocker, L.; Lien, R.H. Lithium and Its Recovery from Low-Grade Nevada Clays; U.S. Department of the Interior: Washington, DC, USA, 1987. [Google Scholar]
  19. Zhu, L.; Gu, H.N.; Yang, Y.Q.; Wen, H.J.; Wang, N.; Luo, C.G. Research progress of lithium extraction from clay-type lithium ore resources. Light Met. 2020, 12, 8–13. [Google Scholar]
  20. Fosu, A.Y.; Kanari, N.; Vaughan, J.; Chagnes, A. Literature review and thermodynamic modelling of roasting processes for lithium extraction from spodumene. Metals 2020, 10, 1312. [Google Scholar] [CrossRef]
  21. Han, S.; Sagzhanov, D.; Pan, J.; Vaziri Hassas, B.; Rezaee, M.; Akbari, H.; Mensah-Biney, R. Direct extraction of lithium from α-spodumene by salt roasting-leaching process. ACS Sustain. Chem. Eng. 2022, 10, 13495–13504. [Google Scholar] [CrossRef]
  22. Zhang, Y.Q.; Ma, B.Z.; Lv, Y.W.; Wang, C.Y.; Chen, Y.Q. An effective method for directly extracting lithium from α-spodumene by activated roasting and sulfuric acid leaching. J. Ind. Eng. Chem. 2023, 122, 540–550. [Google Scholar] [CrossRef]
  23. Zhao, H.; Wang, Y.; Chen, H.F. Recent advances in lithium extraction from lithium-bearing clay minerals. Hydrometallurgy 2023, 217, 106025. [Google Scholar] [CrossRef]
  24. Guo, W.M.; Wang, D.H.; Li, P.; Li, J.K.; Shu, Z.M.; Zhang, W.S.; Li, C. Sb-Li assemblages: Rare assemblages of mineralization and the occurrence of lithium. Acta Geol. Sin. 2019, 93, 1296–1308, (In Chinese with English abstract). [Google Scholar]
  25. Yin, J.; Wu, J.H.; Li, Y.; Wang, J.; Zhong, W.; Zeng, T.F.; Yang, R.; Chen, W. The occurrence status and genesis of the Jinyinshan lithium deposit in Chibi, Hubei. Geolgical Rev. 2024, 70, 1558–1570, (In Chinese with English abstract). [Google Scholar]
  26. Li, P.; Liu, X.; Li, J.K.; Huang, Z.B.; Zhou, F.C.; Zhang, L.P. Petrographic and geochemical characteristics of Renli-Chuanziyuan No. 5 pegmatite, NE Hunan, and its metallogenic age. Acta Geol. Sin. 2019, 93, 1374–1391, (In Chinese with English abstract). [Google Scholar]
  27. Zhang, A.; Shao, C.S.; Wang, C.; Yang, Y.L.; Lu, T. Dataset of the Environmental Geological Survey on a Scale of 1:50000 in the Puqi County (Present Chibi City) Map Sheet, Hubei Province. Geol. China 2019, 46, 67–79, (In Chinese with English abstract). [Google Scholar]
  28. Jiang, P.F.; Li, P.; Li, J.K.; He, X.M.; Leng, S.L. Zircon U-Pb geochronology and Hf isotopic composition of Be-pegmatites in Maiguo deposit, eastern Mufushan, and their geological implications. Miner. Depos. 2021, 40, 723–739, (In Chinese with English abstract). [Google Scholar]
  29. Zhou, F.C.; Li, J.K.; Liu, X.; Li, P.; Huang, Z.B.; Shi, W.K.; Su, J.N.; Chen, H.; Huang, X.Q. Geochemical characteristics and genetic significance of ore bodies in Renli Nb-Ta deposit, Hunan Province. Acta Geol. Sin. 2019, 93, 1392–1404. [Google Scholar]
  30. Shu, Z.M.; Wu, W.X. Summary of General Survey of Gold (Antimony) Ore in Jinyinshan Area; The Fourth Geological Team of Hubei Geological Bureau: Xianning, China, 2018; pp. 1–85. (In Chinese) [Google Scholar]
  31. Brigatti, M.F.; Galan, E.; Theng, B.K.G. Structure and mineralogy of clay minerals. Dev. Clay Sci. 2006, 1, 19–86. [Google Scholar]
  32. Velde, B. (Ed.) Origin and Mineralogy of Clays: Clays and the Environment; Springer Science & Business Media: Berlin/Heidelberg, Germany, 2013. [Google Scholar]
  33. Howard, J.J. Lithium and potassium saturation of illite/smectite clays from interlaminated shales and sandstones. Clays Clay Miner. 1981, 29, 136–142. [Google Scholar] [CrossRef]
  34. Tournassat, C.; Gailhanou, H.; Crouzet, C.; Braibant, G.; Gautier, A.; Gaucher, E.C. Cation exchange selectivity coefficient values on smectite and mixed-layer illite/smectite minerals. Soil Sci. Soc. Am. J. 2009, 73, 928–942. [Google Scholar] [CrossRef]
  35. Williams, L.B.; Hervig, R.L. Lithium and boron isotopes in illite-smectite: The importance of crystal size. Geochim. Cosmochim. Acta 2005, 69, 5705–5716. [Google Scholar] [CrossRef]
  36. Whitney, G. Role of water in the smectite-to-illite reaction. Clays Clay Miner. 1990, 38, 343–350. [Google Scholar] [CrossRef]
  37. Moore, D.M.; Reynolds, R.C. X-ray diffraction and the identification and analysis of clay minerals. Clays Clay Miner. 1989, 38, 448. [Google Scholar]
  38. Decarreau, A.; Vigier, N.; Pálková, H.; Petit, S.; Vieillard, P.; Fontaine, C. Partitioning of lithium between smectite and solution: An experimental approach. Geochim. Cosmochim. Acta. 2012, 85, 314–325. [Google Scholar] [CrossRef]
  39. Shi, G.M.; Zhou, Y.C.; Chen, H.J.; Guan, K.C.; Chen, Y.J. Experiment Study on Lithium Extraction with Roasting and Acid Leaching Process for a Sedimentary Clay-type Lithium Ore in Central Yunnan Province. Met. Mine 2023, 01, 199–203, (In Chinese with English abstract). [Google Scholar]
  40. Wang, Z.; Ma, W.Q.; Shao, X.Q.; Xia, Y.Z.; He, L.H.; Huan, Y.D. Optimization of Lithium Extraction Process by Fluidized Roasting. Chin. J. Rare Met. 2025, 49, 618–624, (In Chinese with English abstract). [Google Scholar]
  41. Al-Ajeel, A.W.A.; Al-Sindy, S.I. Alumina recovery from Iraqi kaolinitic clay by hydrochloric acid route. Iraqi Bull. Geol. Min. 2006, 2, 67–76. [Google Scholar]
  42. Al-Zahrani, A.A.; Abdul-Majid, M.H. Extraction of alumina from local clays by hydrochloric acid process. J. King Abdulaziz Univ. Eng. Sci. 2009, 20, 29–41. [Google Scholar] [CrossRef]
  43. Erdemoğlu, M.; Birinci, M.; Uysal, T. Thermal behavior of pyrophyllite ore during calcination for thermal activation for aluminum extraction by acid leaching. Clays Clay Miner. 2020, 68, 89–99. [Google Scholar] [CrossRef]
  44. Meshram, P.; Pandey, B.D.; Mankhand, T.R. Extraction of lithium from primary and secondary sources by pre-treatment, leaching and separation: A comprehensive review. Hydrometallurgy 2014, 150, 192–208. [Google Scholar] [CrossRef]
  45. Han, Y.; Yang, Y.; Ma, Y.L.; Liang, D.X.; Wen, L.P.; Ma, J.; Wang, W. Selective ion channel adsorbents facilitate efficient and low environmental impact extraction of liquid lithium resources. J. Hazard. Mater. 2024, 480, 136335. [Google Scholar] [CrossRef] [PubMed]
  46. Shu, Q.Y. Study of Leaching Lithium from Lepidolite and Preparation of Lithium Carbonate; Nanchang University: Nanchang, China, 2012; pp. 1–60, (In Chinese with English abstract). [Google Scholar]
  47. Dong, Q.; Li, Y.J.; Piao, X.L.; Zhu, S.L. Recovery of lithium from salt-lake bittern using aluminum salt adsorbent. Chin. J. Rare Met. 2007, 03, 357–361, (In Chinese with English abstract). [Google Scholar]
  48. GB/T 11075-2013; Lithium Carbonate. General Administration of Quality Supervision, Inspection and Quarantine, Standardization Administration of China. Standards Press of China: Beijing, China, 2013.
Figure 1. The geotectonic location (a) and the regional geological and mineral map (b) of Jinyinshan Li deposit in Hubei province [25].
Figure 1. The geotectonic location (a) and the regional geological and mineral map (b) of Jinyinshan Li deposit in Hubei province [25].
Applsci 15 09100 g001
Figure 2. BSE photos of ore minerals in Jinyinshan deposit. (a) quartz and cookeite association; (b) fine scaly illite; (c) illite and albite association; (d) illite and quartz association; (e) iron oxides/hydroxides sporadic distribution and illite, quartz multiphase association; (f) quartz and cookeite, iron oxides/hydroxides association. Ab: Albite; Ckt: Cookeite; Ill: Illite; Qtz: Quartz.
Figure 2. BSE photos of ore minerals in Jinyinshan deposit. (a) quartz and cookeite association; (b) fine scaly illite; (c) illite and albite association; (d) illite and quartz association; (e) iron oxides/hydroxides sporadic distribution and illite, quartz multiphase association; (f) quartz and cookeite, iron oxides/hydroxides association. Ab: Albite; Ckt: Cookeite; Ill: Illite; Qtz: Quartz.
Applsci 15 09100 g002
Figure 3. Cumulative diagram of mineral particle size distribution.
Figure 3. Cumulative diagram of mineral particle size distribution.
Applsci 15 09100 g003
Figure 4. Effects of grinding fineness (a), liquid–solid ratio (b), leaching time (c), roasting temperature (d), roasting time (e), hydrochloric acid concentration (f) and leaching temperature (g) on lithium leaching rate in blank roasting–hydrochloric acid leaching process. The shadow range represents the suitable range after the parameter conditions are optimized.
Figure 4. Effects of grinding fineness (a), liquid–solid ratio (b), leaching time (c), roasting temperature (d), roasting time (e), hydrochloric acid concentration (f) and leaching temperature (g) on lithium leaching rate in blank roasting–hydrochloric acid leaching process. The shadow range represents the suitable range after the parameter conditions are optimized.
Applsci 15 09100 g004
Figure 5. Process Flow I: Blank roasting–hydrochloric acid leaching process.
Figure 5. Process Flow I: Blank roasting–hydrochloric acid leaching process.
Applsci 15 09100 g005
Figure 6. Effects of grinding fineness (a), liquid–solid ratio (b), leaching time (c), calcination temperature (d), calcination time (e), hydrochloric acid concentration (f) and leaching temperature (g) on lithium leaching rate in blank calcination–sulfuric acid leaching process. The shadow range represents the suitable range after the parameter conditions are optimized.
Figure 6. Effects of grinding fineness (a), liquid–solid ratio (b), leaching time (c), calcination temperature (d), calcination time (e), hydrochloric acid concentration (f) and leaching temperature (g) on lithium leaching rate in blank calcination–sulfuric acid leaching process. The shadow range represents the suitable range after the parameter conditions are optimized.
Applsci 15 09100 g006
Figure 7. Experimental results of ammonium aluminum molar ratio on Al removal rate.
Figure 7. Experimental results of ammonium aluminum molar ratio on Al removal rate.
Applsci 15 09100 g007
Figure 8. Process II: Blank calcination–sulfuric acid leaching process.
Figure 8. Process II: Blank calcination–sulfuric acid leaching process.
Applsci 15 09100 g008
Table 1. Analysis results of chemical composition for samples.
Table 1. Analysis results of chemical composition for samples.
CompositionLi2OAl2O3SiO2K2ONa2OMgO
Content (wt%)0.26516.1966.392.620.450.59
CompositionTFe2O3TiO2CaOMnOP2O5Total
Content (wt%)7.060.890.200.100.2194.97
CompositionNbTaGaREESbTotal
Content (μg/g)16.71.2025.1302336681
Table 2. The distribution table of Li in various minerals.
Table 2. The distribution table of Li in various minerals.
MineralContent (%)Li Content (ppm)Li Metal Content (ppm)Li Partition (%)
Cookeite7.2514,079.501020.7682.55
Illite13.55607.0082.256.65
Rectorite4.861322.2064.265.20
Total25.6616,008.71167.2794.40
Li grade1236.58 *100.00
Note: * Conversion according to the results of chemical analysis of Li2O in Table 1.
Table 3. Washing test results of blank calcination-hydrochloric acid leaching process.
Table 3. Washing test results of blank calcination-hydrochloric acid leaching process.
Washing MethodWashing StageNa+ Concentration (g/L)K+ Concentration (g/L)Li+ Concentration (g/L)Li Loss Rate (%)
Cross-flow washing122.085.732.228.37
20.610.102.31
30.120.022.40
Counter-current washing122.395.922.152.77
20.690.122.09
30.170.032.13
Table 4. Test results of Ca and Mg removal process.
Table 4. Test results of Ca and Mg removal process.
Charge MethodMg2+ Concentration (mg/L)Ca2+ Concentration (mg/L)Li Loss Rate (%)
Split-stepNo detection9.581.38
Single stepNo detection10.331.32
Table 5. Washing test results of blank calcination–sulfuric acid leaching process.
Table 5. Washing test results of blank calcination–sulfuric acid leaching process.
Washing MethodWashing SeriesNa+ Concentration (g/L)K+ Concentration (g/L)Li+ Concentration (g/L)Li Loss Rate (%)
Counter-current washing117.622.562.03
20.450.082.09
30.090.032.112.71
Disclaimer/Publisher’s Note: The statements, opinions and data contained in all publications are solely those of the individual author(s) and contributor(s) and not of MDPI and/or the editor(s). MDPI and/or the editor(s) disclaim responsibility for any injury to people or property resulting from any ideas, methods, instructions or products referred to in the content.

Share and Cite

MDPI and ACS Style

Zhang, H.; Li, P.; Zhang, W.; Li, J.; Chen, Z.; Yin, J.; Fang, Y.; Liu, S.; Kang, J.; Zhu, D. Occurrence State and Extraction of Lithium from Jinyinshan Clay-Type Lithium Deposit, Southern Hubei: Novel Blank Roasting–Acid Leaching Processes. Appl. Sci. 2025, 15, 9100. https://doi.org/10.3390/app15169100

AMA Style

Zhang H, Li P, Zhang W, Li J, Chen Z, Yin J, Fang Y, Liu S, Kang J, Zhu D. Occurrence State and Extraction of Lithium from Jinyinshan Clay-Type Lithium Deposit, Southern Hubei: Novel Blank Roasting–Acid Leaching Processes. Applied Sciences. 2025; 15(16):9100. https://doi.org/10.3390/app15169100

Chicago/Turabian Style

Zhang, Hao, Peng Li, Wensheng Zhang, Jiankang Li, Zhenyu Chen, Jin Yin, Yong Fang, Shuang Liu, Jian Kang, and Dan Zhu. 2025. "Occurrence State and Extraction of Lithium from Jinyinshan Clay-Type Lithium Deposit, Southern Hubei: Novel Blank Roasting–Acid Leaching Processes" Applied Sciences 15, no. 16: 9100. https://doi.org/10.3390/app15169100

APA Style

Zhang, H., Li, P., Zhang, W., Li, J., Chen, Z., Yin, J., Fang, Y., Liu, S., Kang, J., & Zhu, D. (2025). Occurrence State and Extraction of Lithium from Jinyinshan Clay-Type Lithium Deposit, Southern Hubei: Novel Blank Roasting–Acid Leaching Processes. Applied Sciences, 15(16), 9100. https://doi.org/10.3390/app15169100

Note that from the first issue of 2016, this journal uses article numbers instead of page numbers. See further details here.

Article Metrics

Back to TopTop