Study of Phase Transformations of Iron Minerals During Electrochemical Reduction of Unmilled Bauxite Particles in an Alkaline Media and Subsequent High-Pressure Bayer Process Leaching
Abstract
1. Introduction
- reduced iron (Fe) content in BR (down to 35%);
- increased consumption of caustic alkali (up to 100 kg/t of Al2O3);
- low Al recovery (no more than 85%–90%);
- consequently, higher Al2O3 content in BR (up to 10%–15%).
2. Materials and Methods
2.1. Materials and Reagents
2.2. Analytical Methods
2.3. Experimental
3. Results and Discussion
3.1. Characterization of the Raw Bauxite
3.2. Thermodynamic Study of Iron Minerals Dissolution in Alkali Solution
3.3. Electrochemical Studies of Iron Minerals Reduction in Suspension of Coarse Bauxite Particles in Alkali Solution
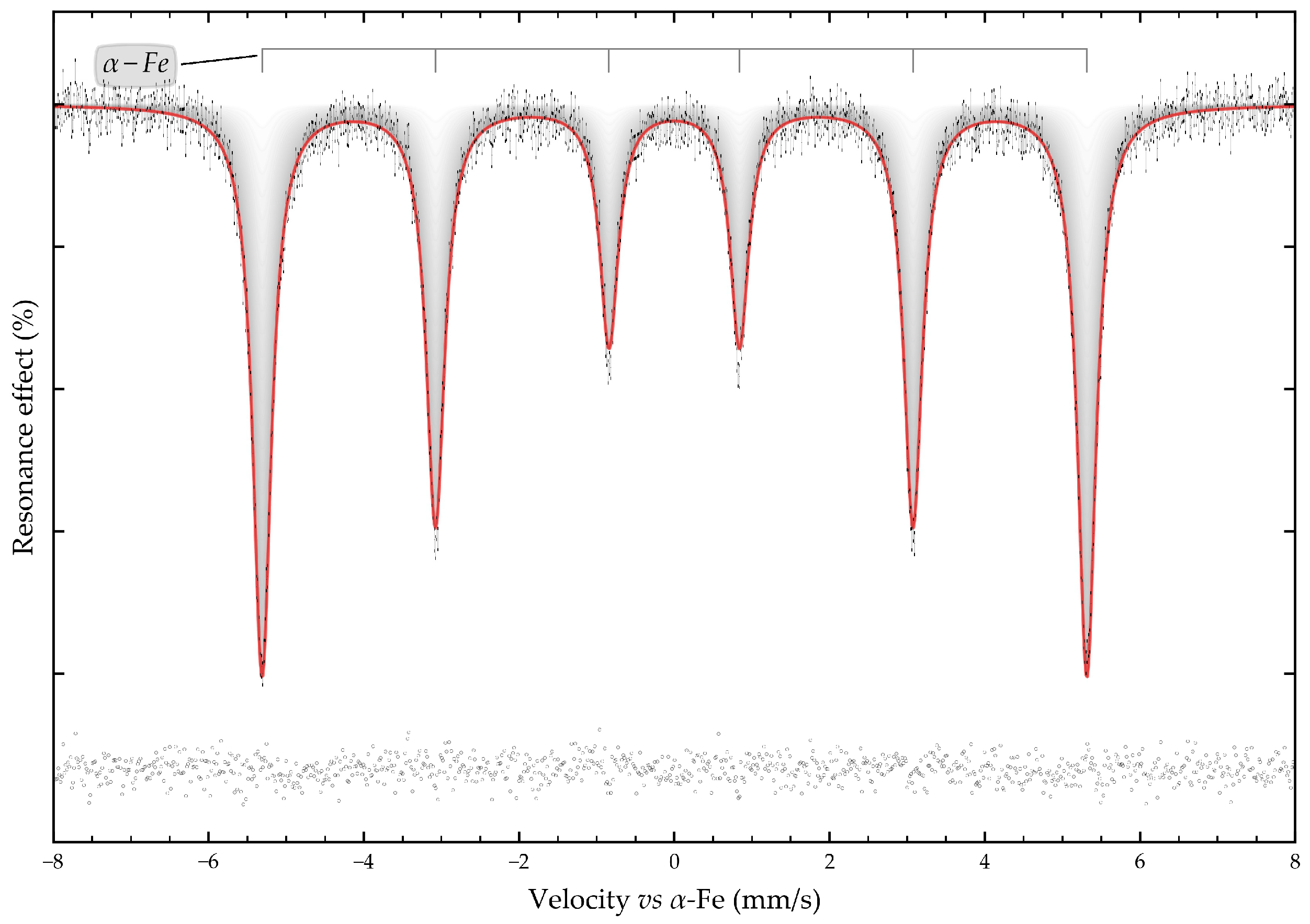
3.4. Solid Products Characterization
3.5. Feasibility of the Process
4. Conclusions
- According to Mössbauer and XRD studies, the raw bauxite composition includes hematite, alumohematite, alumogoethite and chamosite.
- Preliminary thermodynamic studies have shown that the highest iron concentration in solution can be achieved when an alkaline solution comes into contact with chamosite (up to 3.1 × 10−3 M). An increase in iron concentration shifts the zone of complex anion existence to a strongly alkaline environment.
- Cyclic voltammetry showed that, during the initial stage of electrolysis, overvoltage at the cathode decreases due to the formation of metallic iron and conductive magnetite on the surface of the electrode. After 50–60 min of electrolysis, the overvoltage begins to increase.
- After 60 min of electrolysis, the reduction efficiency also begins to decrease. The proportion of the current used for magnetization and iron deposition on the cathode decreased from 89.5% after 30 min to 67.5% (23.9% of which was used for iron deposition) after 120 min.
- The Al extraction after electrolysis was 61.2%, equivalent to 100.6 g per L of alkaline solution. Subsequent Bayer leaching resulted in an additional 30.3% Al extraction, giving a total Al extraction of 91.5%.
- Examining the electrolysis product using SEM-EDS revealed the formation of dense, iron-containing phase on the surface of the particles, which prevented outward diffusion of the reaction products.
- Mössbauer studies of the high-pressure leaching product showed that the main iron-containing phases of BR are maghemite, which is formed during the hydrolysis of sodium ferrite.
Author Contributions
Funding
Data Availability Statement
Acknowledgments
Conflicts of Interest
Abbreviations
| BR | Bauxite residue |
| XRF | X-ray fluorescence |
| XRD | X-ray diffraction |
| SEM-EDS | Scanning electron microscopy with the energy dispersive spectroscopy analysis |
References
- Li, Q.; Lv, G.; Wang, S.; Li, X.; He, X.; Zhang, T. Summary of Research Progress on the Separation and Extraction of Iron from Bayer Red Mud. J. Sustain. Metall. 2025, 11, 186–213. [Google Scholar] [CrossRef]
- Smith, P. The Processing of High Silica Bauxites—Review of Existing and Potential Processes. Hydrometallurgy 2009, 98, 162–176. [Google Scholar] [CrossRef]
- Pan, X.; Yu, H.; Tu, G.; Bi, S. Effects of Precipitation Activity of Desilication Products (DSPs) on Stability of Sodium Aluminate Solution. Hydrometallurgy 2016, 165, 261–269. [Google Scholar] [CrossRef]
- Cheng, L.; Wang, Y.; Wang, B.; Qi, T.; Liu, G.; Zhou, Q.; Peng, Z.; Li, X. Phase Transformation of Desilication Products in Red Mud Dealkalization Process. J. Sustain. Metall. 2022, 8, 541–550. [Google Scholar] [CrossRef]
- Liu, G.; Liu, Y.; Zhang, T. Approaches to Improve Alumina Extraction Based on the Phase Transformation Mechanism of Recovering Alkali and Extracting Alumina by the Calcification-Carbonization Method. Hydrometallurgy 2019, 189, 105123. [Google Scholar] [CrossRef]
- Wang, Y.; Zhang, T.; Lyu, G.; Ma, L.; Zhang, W. Multi-Material Circulation Optimization of the Calcification-Carbonation Process Based on Material Balance and Phase Transformation for Cleaner Production of Alumina. J. Clean. Prod. 2021, 290, 125828. [Google Scholar] [CrossRef]
- Medvedev, V.V.; Akhmedov, S.N.; Lipin, V.A. Hydrogarnet Process as a Modern Approach to Hydrometallurgical Alkaline Processing of Low-Grade Bauxites. Review. Tsvetnye Met. 2023, 1, 51–57. [Google Scholar] [CrossRef]
- Hond, R.D.; Hiralal, I.; Rijkeboer, A. Alumina Yield in the Bayer Process Past, Present and Prospects. In Essential Readings in Light Metals; Donaldson, D., Raahauge, B.E., Eds.; John Wiley & Sons, Inc.: Hoboken, NJ, USA, 2013; pp. 528–533. ISBN 978-1-118-64786-8. [Google Scholar]
- Cardenia, C.; Balomenos, E.; Wai Yin Tam, P.; Panias, D. A Combined Soda Sintering and Microwave Reductive Roasting Process of Bauxite Residue for Iron Recovery. Minerals 2021, 11, 222. [Google Scholar] [CrossRef]
- Chen, J.; Li, X.; Cai, W.; Shi, Y.; Hui, X.; Cai, Z.; Jin, W.; Fan, J. High-Efficiency Extraction of Aluminum from Low-Grade Kaolin via a Novel Low-Temperature Activation Method for the Preparation of Poly-Aluminum-Ferric-Sulfate Coagulant. J. Clean. Prod. 2020, 257, 120399. [Google Scholar] [CrossRef]
- Mayes, W.M.; Burke, I.T.; Gomes, H.I.; Anton, Á.D.; Molnár, M.; Feigl, V.; Ujaczki, É. Advances in Understanding Environmental Risks of Red Mud After the Ajka Spill, Hungary. J. Sustain. Metall. 2016, 2, 332–343. [Google Scholar] [CrossRef]
- Abdul, F.; Isworo, G.; Mahaputra, R.; Pintowantoro, S. Possible Strategies for Red Mud Neutralization and Dealkalization from the Alumina Production Industry: A Review for Indonesia. Int. J. Environ. Sci. Technol. 2025, 22, 5159–5178. [Google Scholar] [CrossRef]
- Anawati, J.; Azimi, G. Integrated Carbothermic Smelting–Acid Baking–Water Leaching Process for Extraction of Scandium, Aluminum, and Iron from Bauxite Residue. J. Clean. Prod. 2022, 330, 129905. [Google Scholar] [CrossRef]
- Angelopoulos, P.; Oustadakis, P.; Kountouris, N.; Samouhos, M.; Anastassakis, G.; Taxiarchou, M. Iron Recovery from Turkish and Romanian Bauxite Residues Through Magnetic Separation: Effect of Hydrothermal Processing and Separation Conditions. Separations 2025, 12, 252. [Google Scholar] [CrossRef]
- Rai, S.; Nimje, M.T.; Chaddha, M.J.; Modak, S.; Rao, K.R.; Agnihotri, A. Recovery of Iron from Bauxite Residue Using Advanced Separation Techniques. Miner. Eng. 2019, 134, 222–231. [Google Scholar] [CrossRef]
- Borra, C.R.; Blanpain, B.; Pontikes, Y.; Binnemans, K.; Van Gerven, T. Recovery of Rare Earths and Other Valuable Metals From Bauxite Residue (Red Mud): A Review. J. Sustain. Metall. 2016, 2, 365–386. [Google Scholar] [CrossRef]
- Agrawal, S.; Dhawan, N. Investigation of Carbothermic Microwave Reduction Followed by Acid Leaching for Recovery of Iron and Aluminum Values from Indian Red Mud. Miner. Eng. 2020, 159, 106653. [Google Scholar] [CrossRef]
- Stopic, S.; Kostić, D.; Schneider, R.; Sievers, M.; Wegmann, F.; Emil Kaya, E.; Perušić, M.; Friedrich, B. Recovery of Titanium from Red Mud Using Carbothermic Reduction and High Pressure Leaching of the Slag in an Autoclave. Minerals 2024, 14, 1151. [Google Scholar] [CrossRef]
- Gao, F.; Zhang, J.; Deng, X.; Wang, K.; He, C.; Li, X.; Wei, Y. Comprehensive Recovery of Iron and Aluminum from Ordinary Bayer Red Mud by Reductive Sintering–Magnetic Separation–Digesting Process. JOM 2019, 71, 2936–2943. [Google Scholar] [CrossRef]
- Wang, Y.; Li, X.; Zhou, Q.; Wang, B.; Qi, T.; Liu, G.; Peng, Z.; Pi, J.; Zhao, Z.; Wang, M. Reduction of Red Mud Discharge by Reductive Bayer Digestion: A Comparative Study and Industrial Validation. JOM 2020, 72, 270–277. [Google Scholar] [CrossRef]
- He, X.; Lv, G.; Liu, B.; Li, Q.; Zhang, X.; Yun, Z.; Zhang, T. Straw-Induced Hematite-to-Magnetite Conversion in Alkaline Media: Experimental Study and Potential in Bayer Process. Miner. Eng. 2025, 234, 109723. [Google Scholar] [CrossRef]
- Lopes, D.V.; Lisenkov, A.D.; Sergiienko, S.A.; Constantinescu, G.; Sarabando, A.; Quina, M.J.; Frade, J.R.; Kovalevsky, A.V. Alkaline Electrochemical Reduction of a Magnesium Ferrospinel into Metallic Iron for the Valorisation of Magnetite-Based Metallurgical Waste. J. Electrochem. Soc. 2021, 168, 073504. [Google Scholar] [CrossRef]
- Lopes, D.V.; Lisenkov, A.D.; Ruivo, L.C.M.; Yaremchenko, A.A.; Frade, J.R.; Kovalevsky, A.V. Prospects of Using Pseudobrookite as an Iron-Bearing Mineral for the Alkaline Electrolytic Production of Iron. Materials 2022, 15, 1440. [Google Scholar] [CrossRef] [PubMed]
- Allanore, A.; Lavelaine, H.; Valentin, G.; Birat, J.P.; Lapicque, F. Electrodeposition of Metal Iron from Dissolved Species in Alkaline Media. J. Electrochem. Soc. 2007, 154, E187–E193. [Google Scholar] [CrossRef]
- Allanore, A.; Lavelaine, H.; Valentin, G.; Birat, J.P.; Delcroix, P.; Lapicque, F. Observation and Modeling of the Reduction of Hematite Particles to Metal in Alkaline Solution by Electrolysis. Electrochim. Acta 2010, 55, 4007–4013. [Google Scholar] [CrossRef]
- Allanore, A.; Lavelaine, H.; Birat, J.P.; Valentin, G.; Lapicque, F. Experimental Investigation of Cell Design for the Electrolysis of Iron Oxide Suspensions in Alkaline Electrolyte. J. Appl. Electrochem. 2010, 40, 1957–1966. [Google Scholar] [CrossRef]
- Lopes, D.V.; Ivanova, Y.A.; Kovalevsky, A.V.; Sarabando, A.R.; Frade, J.R.; Quina, M.J. Electrochemical Reduction of Hematite-Based Ceramics in Alkaline Medium: Challenges in Electrode Design. Electrochim. Acta 2019, 327, 135060. [Google Scholar] [CrossRef]
- Monteiro, J.F.; Ivanova, Y.A.; Kovalevsky, A.V.; Ivanou, D.K.; Frade, J.R. Reduction of Magnetite to Metallic Iron in Strong Alkaline Medium. Electrochim. Acta 2016, 193, 284–292. [Google Scholar] [CrossRef]
- Feynerol, V.; Lavelaine, H.; Marlier, P.; Pons, M.-N.; Lapicque, F. Reactivity of Suspended Iron Oxide Particles in Low Temperature Alkaline Electrolysis. J. Appl. Electrochem. 2017, 47, 1339–1350. [Google Scholar] [CrossRef]
- Maihatchi, A.; Pons, M.-N.; Ricoux, Q.; Goettmann, F.; Lapicque, F. Electrolytic Iron Production from Alkaline Suspensions of Solid Oxides: Compared Cases of Hematite, Iron Ore and Iron-Rich Bayer Process Residues. J. Electrochem. Sci. Eng. 2020, 10, 95–102. [Google Scholar] [CrossRef]
- Koutsoupa, S.; Koutalidi, S.; Bourbos, E.; Balomenos, E.; Panias, D. Electrolytic Iron Production from Alkaline Bauxite Residue Slurries at Low Temperatures: Carbon-Free Electrochemical Process for the Production of Metallic Iron. Johns. Matthey Technol. Rev. 2021, 65, 366–374. [Google Scholar] [CrossRef]
- Shoppert, A.; Valeev, D.; Loginova, I. Novel Method of Bauxite Treatment Using Electroreductive Bayer Process. Metals 2023, 13, 1502. [Google Scholar] [CrossRef]
- Matsnev, M.E.; Rusakov, V.S. SpectrRelax: An Application for Mössbauer Spectra Modeling and Fitting. AIP Conf. Proc. 2012, 1489, 178–185. [Google Scholar] [CrossRef]
- Zhang, J.; Li, Y.; Gao, P.; Yuan, S.; Zhou, W. Advances in Reagent Systems and Mechanisms for Desilication from Bauxite via Flotation. Rev. Chem. Eng. 2025, 41, 645–665. [Google Scholar] [CrossRef]
- Jones, D.H.; Srivastava, K.K.P. Many-State Relaxation Model for the Mössbauer Spectra of Superparamagnets. Phys. Rev. B 1986, 34, 7542–7548. [Google Scholar] [CrossRef]
- Dzeranov, A.; Bondarenko, L.; Pankratov, D.; Dzhardimalieva, G.; Jorobekova, S.; Saman, D.; Kydralieva, K. Impact of Silica-Modification and Oxidation on the Crystal Structure of Magnetite Nanoparticles. Magnetochemistry 2023, 9, 18. [Google Scholar] [CrossRef]
- Moiseeva, E.O.; German, S.V.; Komlev, A.S.; Rusakov, V.S.; Zuev, V.V.; Pavlova, O.S.; Perepukhov, A.M.; Dmitrienko, A.O.; Maslakov, K.I.; Griaznova, O.Y.; et al. Citrate Stabilized Maghemite Hydrosol with Controllable MRI Contrast: Key Role of Nanoparticle Size. J. Magn. Magn. Mater. 2024, 608, 172447. [Google Scholar] [CrossRef]
- Lee, S.W.; Kim, C.S. Mössbauer Studies on the Superparamagnetic Behavior of CoFe2O4 with a Few Nanometers. J. Magn. Magn. Mater. 2006, 303, e315–e317. [Google Scholar] [CrossRef]
- Winkler, W. Mössbauer Studies of Small Magnetite Particles of a Magnetic Fluid. Phys. Stat. Sol. A 1984, 84, 193–198. [Google Scholar] [CrossRef]
- Shoppert, A.; Valeev, D.; Loginova, I.; Pankratov, D. Low-Temperature Treatment of Boehmitic Bauxite Using the Bayer Reductive Method with the Formation of High-Iron Magnetite Concentrate. Materials 2023, 16, 4678. [Google Scholar] [CrossRef]
- Fysh, S.A.; Clark, P.E. Aluminous Hematite: A Mössbauer Study. Phys. Chem. Miner. 1982, 8, 257–267. [Google Scholar] [CrossRef]
- De Grave, E.; Bowen, L.H.; Weed, S.B. Mössbauer Study of Aluminum-Substituted Hematites. J. Magn. Magn. Mater. 1982, 27, 98–108. [Google Scholar] [CrossRef]
- Ji-Sen, J.; Xie-Long, Y.; Long-Wu, C.; Nai-Fu, Z. Mössbauer Studies of the Morin Transition Interval of Uniform Hematite Particles. Hyperfine Interact. 1988, 41, 483–486. [Google Scholar] [CrossRef]
- Onodera, H.; Fujita, A.; Yamamoto, H.; Sagawa, M.; Hirosawa, S. Mössbauer Study of the Intermetallic Compound Nd2Fe14B. I. Interpretation of Complex Spectrum. J. Magn. Magn. Mater. 1987, 68, 6–14. [Google Scholar] [CrossRef]
- Shokanov, A.; Vereshchak, M.; Manakova, I.; Migunova, A. Mössbauer and X-Ray Diffraction Spectroscopy of High-Iron Bauxites from Kazakhstan. Materials 2023, 16, 6706. [Google Scholar] [CrossRef] [PubMed]
- Zou, X.; Gu, S.; Lu, X.; Xie, X.; Lu, C.; Zhou, Z.; Ding, W. Electroreduction of Iron(III) Oxide Pellets to Iron in Alkaline Media: A Typical Shrinking-Core Reaction Process. Met. Mater. Trans. B 2015, 46, 1262–1274. [Google Scholar] [CrossRef]
- Kicheeva, A.G.; Sushko, E.S.; Bondarenko, L.S.; Kydralieva, K.A.; Pankratov, D.A.; Tropskaya, N.S.; Dzeranov, A.A.; Dzhardimalieva, G.I.; Zarrelli, M.; Kudryasheva, N.S. Functionalized Magnetite Nanoparticles: Characterization, Bioeffects, and Role of Reactive Oxygen Species in Unicellular and Enzymatic Systems. Int. J. Mol. Sci. 2023, 24, 1133. [Google Scholar] [CrossRef]
- Gorski, C.A.; Scherer, M.M. Determination of Nanoparticulate Magnetite Stoichiometry by Mossbauer Spectroscopy, Acidic Dissolution, and Powder X-Ray Diffraction: A Critical Review. Am. Mineral. 2010, 95, 1017–1026. [Google Scholar] [CrossRef]
- Orozco-Henao, J.M.; Muraca, D.; Sánchez, F.H.; Mendoza Zélis, P. Determination of the Effective Anisotropy of Magnetite/Maghemite Nanoparticles from Mössbauer Effect Spectra. J. Phys. D Appl. Phys. 2022, 55, 335302. [Google Scholar] [CrossRef]
- Önal, M.A.R.; Riaño, S.; Binnemans, K. Alkali Baking and Solvometallurgical Leaching of NdFeB Magnets. Hydrometallurgy 2020, 191, 105213. [Google Scholar] [CrossRef]
- Pankratov, D.A.; Anuchina, M.M. Nature-Inspired Synthesis of Magnetic Non-Stoichiometric Fe3O4 Nanoparticles by Oxidative in Situ Method in a Humic Medium. Mater. Chem. Phys. 2019, 231, 216–224. [Google Scholar] [CrossRef]
- Filimonov, D.; Rozova, M.; Maksimov, S.; Pankratov, D. Synthesis and Redox Properties of Iron and Iron Oxide Nanoparticles Obtained by Exsolution from Perovskite Ferrites Promoted by Auxiliary Reactions. Inorganics 2024, 12, 223. [Google Scholar] [CrossRef]
- Yoshida, Y.; Nasu, S.; Fujita, F.E.; Maeda, Y.; Yoshida, H. 57Fe Mössbauer Study on Point Defects in Pure α-Fe. J. Magn. Magn. Mater. 1983, 31–34, 753–754. [Google Scholar] [CrossRef]
- Grudinsky, P.; Zinoveev, D.; Pankratov, D.; Semenov, A.; Panova, M.; Kondratiev, A.; Zakunov, A.; Dyubanov, V.; Petelin, A. Influence of Sodium Sulfate Addition on Iron Grain Growth during Carbothermic Roasting of Red Mud Samples with Different Basicity. Metals 2020, 10, 1571. [Google Scholar] [CrossRef]
- Nemoshkalenko, V.V.; Rasumov, O.N.; Gorskii, V.V. Investigation of the Mössbauer Effect in Some Fe–Al Alloys. Phys. Status Solidi B 1968, 29, 45–48. [Google Scholar] [CrossRef]
- Vincze, I.; Campbell, I.A. Mossbauer Measurements in Iron Based Alloys with Transition Metals. J. Phys. F Met. Phys. 1973, 3, 647–663. [Google Scholar] [CrossRef]
- Chernavskii, P.A.; Kazantsev, R.V.; Pankina, G.V.; Pankratov, D.A.; Maksimov, S.V.; Eliseev, O.L. Unusual Effect of Support Carbonization on the Structure and Performance of Fe/Mgal2o4 Fischer–Tropsch Catalyst. Energy Technol. 2021, 9, 2000877. [Google Scholar] [CrossRef]
- Liu, X.-W.; Zhao, S.; Meng, Y.; Peng, Q.; Dearden, A.K.; Huo, C.-F.; Yang, Y.; Li, Y.-W.; Wen, X.-D. Mössbauer Spectroscopy of Iron Carbides: From Prediction to Experimental Confirmation. Sci. Rep. 2016, 6, 26184. [Google Scholar] [CrossRef] [PubMed]
- Mostafa, M.A.; Balogh, J.; Kuzmann, E. Mössbauer Study of (Fe1−xCox)77B13Si10 Amorphous Alloys. Phys. Status Solidi A 1986, 96, 445–449. [Google Scholar] [CrossRef]
- Zhou, G.; Wang, Y.; Qi, T.; Zhou, Q.; Liu, G.; Peng, Z.; Li, X. Cleaning Disposal of High-Iron Bauxite Residue Using Hydrothermal Hydrogen Reduction. Bull. Environ. Contam. Toxicol. 2022, 109, 163–168. [Google Scholar] [CrossRef]
















| Phase | wt.% |
|---|---|
| Boehmite | 62.3 |
| Hematite | 25.7 |
| Alumogoethite | 3.6 |
| Chamosite | 3.4 |
| Rutile | 2.6 |
| Diaspore | 2.4 |
| Al2O3 | Fe2O3 | SiO2 | TiO2 | Na2O | CaO | MgO | SO3 | P2O5 | Other | µSi 1 | LOI 2 |
|---|---|---|---|---|---|---|---|---|---|---|---|
| 50.3 | 26.8 | 6.5 | 2.7 | 0.1 | 0.9 | 0.5 | 0.01 | 0.1 | 1.1 | 7.7 | 11.0 |
| Temperature, K | 296(3) | 77.7(3) | |||||||||||
|---|---|---|---|---|---|---|---|---|---|---|---|---|---|
| Sample | No. | Phase | * δ | ε {Δ} | Γexp | Heff | S | α | δ | ε (Δ) | Γexp | Heff | S |
| mm/s | kOe | % | - | mm/s | kOe | % | |||||||
| Boehmitic bauxite | 1 | α-Fe(Al)2O3 | 0.37(1) | −0.11(1) | 0.28(1) | 509.9(3) | 27.9(2.5) | 0.48(1) | −0.10(1) | 0.30(1) | 528.1(2) | 44.4(8) | |
| 2 | α-Fe(Al)2O3 | 0.38(1) | −0.10(1) | 0.58(2) | 496.2(1.3) | 23.8(2.6) | |||||||
| 3 | α-Fe(Al)OOH | 0.33(2) | −0.12(2) | 0.54(7) | 390.8(2.1) | 14.2(6) | 3.2(3) | 0.48(1) | −0.11(1) | 0.74(3) | 499.9(6) | 26.7(1.0) | |
| 4 | Fe2+Oh | 1.13(1) | {2.65(1)} | 0.34(1) | 20.9(3) | 1.25(1) | {2.80(1)} | 0.31(1) | 21.0(3) | ||||
| 5 | Fe3+Oh | 0.39(1) | {0.67(1)} | 0.48(1) | 13.2(5) | 0.51(1) | {0.85(1)} | 0.53(2) | 7.9(3) | ||||
| Bauxite residue | 1 | α-Fe2O3 | 0.37(1) | −0.11(1) | 0.29(1) | 510.8(1) | 24.6(6) | 0.49(1) | −0.10(1) | 0.30(1) | 531.0(1) | 30.0(8) | |
| 2 | γ-Fe(Al)2O3 | 0.32(1) | −0.05(1) | 0.54(1) | 486.4(3) | 29.8(9) | 0.45(1) | −0.03(1) | 0.66(1) | 507.5(3) | 48(1) | ||
| 3 | γ-Fe(Al,M)2O3 | 0.59(1) | −0.03(1) | 0.66(2) | 473.3(9) | 40(1) | 6.4(3) | 0.82(1) | −0.15(1) | 0.97(5) | 472(1) | 18(1) | |
| 4 | α-Fe(Al,M)OOH | 0.28(6) | −0.12(5) | 0.66(2) | 387(4) | 3.4(5) | 0.74(4) | 0.01(4) | 0.7(2) | 405(3) | 2.9(7) | ||
| 5 | Fe3+Td | 0.22(3) | {0.78(6)} | 0.64(1) | 2.0(2) | 0.44(3) | {0.72(5)} | 0.36(7) | 1.1(1) | ||||
| Hematite (α-Fe2O3) | Temperature, °C | |||
|---|---|---|---|---|
| Na2O concentration, g/L | 60 | 80 | 100 | 120 |
| 300 | 0.3 | 0.5 | 0.9 | - * |
| 400 | 0.3 | 0.7 | 1.6 | 1.9 |
| 550 | 0.5 | 1.0 | 2.1 | 2.6 |
| Goethite (FeOOH) | Temperature, °C | |||
| Na2O concentration, g/L | 60 | 80 | 100 | 120 |
| 300 | 0.2 | 0.4 | 0.7 | - |
| 400 | 0.4 | 0.5 | 1.4 | 1.6 |
| 550 | 0.5 | 0.6 | 1.8 | 2.0 |
| Chamosite ((Fe2+,Mg,Al,Fe3+)6(Si,Al)4O10(OH,O)8) | Temperature, °C | |||
| Na2O concentration, g/L | 60 | 80 | 100 | 120 |
| 300 | 0.3 | 0.6 | 0.8 | - |
| 400 | 0.5 | 0.8 | 1.5 | 1.8 |
| 550 | 0.6 | 1.1 | 2.1 | 3.1 |
| Sample | Al2O3 | Fe2O3 | SiO2 | TiO2 | Na2O | CaO | MgO | SO3 | P2O5 | Other | LOI |
|---|---|---|---|---|---|---|---|---|---|---|---|
| Electroreduction product | 28.3 | 37.8 | 3.9 | 3.9 | 12.2 | 1.3 | 0.7 | 0.01 | 0.1 | 1.5 | 10.5 |
| BR | 10.2 | 61.9 | 6.5 | 6.5 | 3.2 | 1.8 | 1.3 | 0.01 | 0.01 | 1.8 | 6.7 |
Disclaimer/Publisher’s Note: The statements, opinions and data contained in all publications are solely those of the individual author(s) and contributor(s) and not of MDPI and/or the editor(s). MDPI and/or the editor(s) disclaim responsibility for any injury to people or property resulting from any ideas, methods, instructions or products referred to in the content. |
© 2026 by the authors. Licensee MDPI, Basel, Switzerland. This article is an open access article distributed under the terms and conditions of the Creative Commons Attribution (CC BY) license.
Share and Cite
Shoppert, A.; Valeev, D.; Loginova, I.; Pankratov, D. Study of Phase Transformations of Iron Minerals During Electrochemical Reduction of Unmilled Bauxite Particles in an Alkaline Media and Subsequent High-Pressure Bayer Process Leaching. Minerals 2026, 16, 74. https://doi.org/10.3390/min16010074
Shoppert A, Valeev D, Loginova I, Pankratov D. Study of Phase Transformations of Iron Minerals During Electrochemical Reduction of Unmilled Bauxite Particles in an Alkaline Media and Subsequent High-Pressure Bayer Process Leaching. Minerals. 2026; 16(1):74. https://doi.org/10.3390/min16010074
Chicago/Turabian StyleShoppert, Andrei, Dmitrii Valeev, Irina Loginova, and Denis Pankratov. 2026. "Study of Phase Transformations of Iron Minerals During Electrochemical Reduction of Unmilled Bauxite Particles in an Alkaline Media and Subsequent High-Pressure Bayer Process Leaching" Minerals 16, no. 1: 74. https://doi.org/10.3390/min16010074
APA StyleShoppert, A., Valeev, D., Loginova, I., & Pankratov, D. (2026). Study of Phase Transformations of Iron Minerals During Electrochemical Reduction of Unmilled Bauxite Particles in an Alkaline Media and Subsequent High-Pressure Bayer Process Leaching. Minerals, 16(1), 74. https://doi.org/10.3390/min16010074

