Two-Stage Organic Acid Leaching of Industrially Sourced LFP- and NMC-Containing Black Mass
Abstract
1. Introduction
2. Method and Materials
2.1. Materials
2.2. Method
2.2.1. Stage 1 Leaching—Oxalic Acid
2.2.2. Stage 2 Leaching—Screening
2.2.3. Stage 2 Leaching—Glycine
2.3. Analytical Techniques
2.3.1. Inductively Coupled Plasma–Optical Emission Spectroscopy (ICP-OES)
2.3.2. Scanning Electron Microscopy with Energy-Dispersive X-Ray Spectroscopy (SEM-EDS)
2.3.3. XRD and XRF
3. Results and Discussion
3.1. Black Mass Characterization
3.2. Testing Synthetic BM Leaching Conditions on Industrial BM
| Metal–Oxalate Complex | Ksp Value | Solubility (g in 100 g of Water) | References |
|---|---|---|---|
| FeC2O4·2H2O | 3.2 × 10−7 | Insoluble-0.078 a | [4,17,28,29,30,31,32] |
| Fe2(C2O4)3 | - | Soluble | |
| MnC2O4·2H2O | 1.7 × 10−7 | Insoluble-0.032 b | |
| CoC2O4·2H2O | 2.7 × 10−9 | Insoluble-0.0037 b | |
| NiC2O4·2H2O | 7.8 × 10−10 | Insoluble-0.0012 a | |
| CuC2O4·2H2O | 4.43 × 10−10 | Insoluble-0.0026 b | |
| Al2(C2O4)3·H2O | - | Insoluble | |
| Li2C2O4 | Soluble-5.87 a |
3.3. Optimizing Leaching Parameters—Oxalic Acid Leaching of Industrial BM
3.3.1. Changing Concentration
3.3.2. Changing Temperature
3.3.3. Changing Solid-to-Liquid Ratio
3.3.4. Oxalic Acid Consumption and Possible Reactions
3.4. Second-Stage Leaching—Screening Lixiviants in Synthetic Black Mass
| Metals Cations | Formation Constants (β) (I = 0 mol dm−3; Temp. = 25) | Reference |
|---|---|---|
| Mn(II) | β1 = 1.51 × 103; β2 = 2.95 × 105 | [46] |
| Fe(II) | β1 = 4.90 × 103; β2 = 1.20 × 105 | [47] |
| Co(II) | β1 =1.10 × 105; β2 = 1.45 × 109; β3 = 3.80 × 1011 | [46] |
| Ni(II) | β1 =1.45 × 106; β2 = 1.29 × 1011; β3 = 2.69 × 1014 | [48] |
| Cu(II) | β1 = 3.31 × 108; β2 = 5.62 × 1015 | [48] |
| Metal Hydroxides | Ksp Values | Reference |
| Mn(OH)2 | 2 × 10−13 | [49] |
| Co(OH)2 | 1.58 × 10−15 | |
| Ni(OH)2 | 2 × 10−15 | |
| Fe(OH)2 | 7.94 × 10−16 | |
| Cu(OH)2 | 2.51 × 10−19 | |
| Fe(OH)3 | 3.98 × 10−38 | |
| Co(OH)3 | 5.01 ×10−45 |
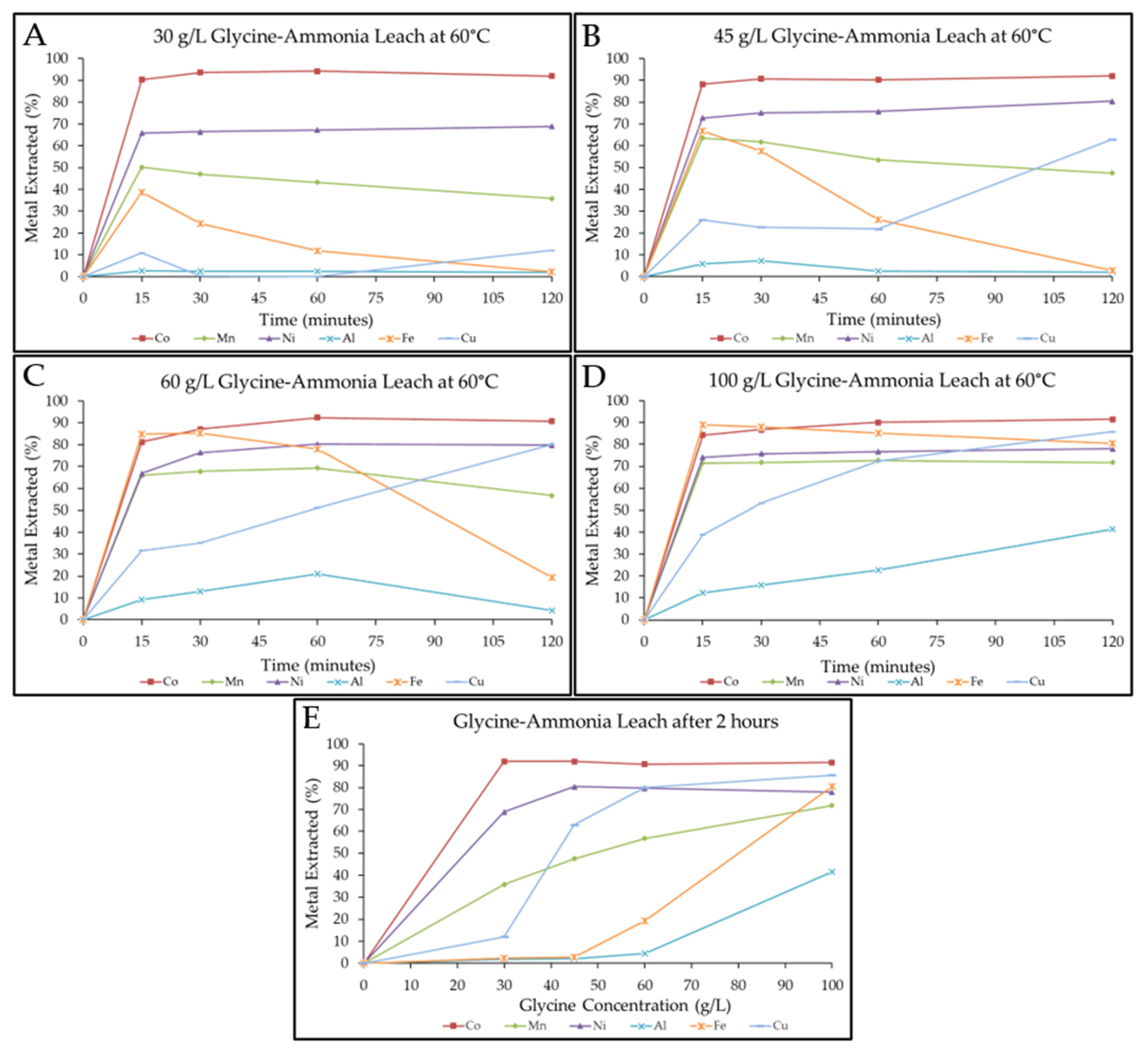
3.5. Effect of Glycine Concentration—Industrial Black Mass
3.6. Effect of Temperature on Glycine Leaching—Industrial Black Mass
3.7. Industrial Applications
- Oxalic acid is capable of selectively removing Al, Li, and P from a mixed-chemistry black mass, with extractions reaching >99% for Li and P and as high as 97% for Al.
- The co-extraction of Mn, Fe, Cu, Co, and Ni was low, with respective extractions of 19%, <3%, <1%, 0%, and 0%.
- The oxalic acid leach residue could be subsequently leached using a glycine–ammonia system, with ammonia for pH adjustment to around 9.6, in which >97% of the Co, >77% of the Ni, and 41% of the Mn could be extracted.
4. Conclusions
5. Considerations for Future Work
- Investigate whether higher-pH (4–7) oxalic acid leaching systems can be optimized to enhance the selective extraction of Co, Ni, and Mn.
- Optimize the second-stage glycine leaching system to achieve Co and Ni extractions of >90%, while minimizing the co-extraction of Fe and Al.
- Investigate whether a multistage glycine leaching step could be implemented to first leach the Co and Ni at low glycine concentrations and then leach Mn and Cu at higher glycine concentrations.
- Investigate whether it is possible to add a complexing agent to the glycine leaching stage to reduce the co-extraction of Mn and Fe.
- Investigate the scaling effect of oxalic acid on leaching reactors and identify ways in which to reduce scaling when using high oxalic acid concentrations.
Author Contributions
Funding
Data Availability Statement
Conflicts of Interest
Appendix A

References
- Li, Q.; Fung, K.Y.; Xu, L.; Wibowo, C.; Ng, K.M. Process Synthesis: Selective Recovery of Lithium from Lithium-Ion Battery Cathode Materials. Ind. Eng. Chem. Res. 2019, 58, 3118–3130. [Google Scholar] [CrossRef]
- Choi, J.W.; Kim, J.; Kim, S.K.; Yun, Y.S. Simple, green organic acid-based hydrometallurgy for waste-to-energy storage devices: Recovery of NiMnCoC2O4 as an electrode material for pseudocapacitor from spent LiNiMnCoO2 batteries. J. Hazard. Mater. 2022, 424 Pt B, 127481. [Google Scholar] [CrossRef]
- Sun, L.; Qiu, K. Organic oxalate as leachant and precipitant for the recovery of valuable metals from spent lithium-ion batteries. Waste Manag. 2012, 32, 1575–1582. [Google Scholar] [CrossRef] [PubMed]
- Rouquette, L.M.J.; Petranikova, M.; Vieceli, N. Complete and selective recovery of lithium from EV lithium-ion batteries: Modeling and optimization using oxalic acid as a leaching agent. Sep. Purif. Technol. 2023, 320, 124143. [Google Scholar] [CrossRef]
- Saleem, U.; Buvik, V.; Knuutila, H.K.; Bandyopadhyay, S. Recovery of lithium from oxalic acid leachate produced from black mass of spent electric vehicle Li-ion batteries. Chem. Eng. J. Adv. 2024, 20, 100648. [Google Scholar] [CrossRef]
- Gerold, E.; Kadisch, F.; Lerchbammer, R.; Antrekowitsch, H. Bio-metallurgical recovery of lithium, cobalt, and nickel from spent NMC lithium ion batteries: A comparative analysis of organic acid systems. J. Hazard. Mater. Adv. 2024, 13, 100397. [Google Scholar] [CrossRef]
- Mettke, L.N.; Yagmurlu, B. Optimizing Early-Stage Lithium Recovery: Investigating Oxalic Acid Leaching of Black Mass from End-of-Life NMC 622 Batteries. In REWAS 2025, Proceedings of the TMS Annual Meeting & Exhibition, Las Vegas, NV, USA, 23–27 March 2025; Lazou, A., Meskers, C., Olivetti, E., Diaz, F., Gökelma, M., Eds.; Springer: Cham, Switzerland, 2025; pp. 13–22. [Google Scholar]
- Verma, A.; Kore, R.; Corbin, D.R.; Shiflett, M.B. Metal Recovery Using Oxalate Chemistry: A Technical Review. Ind. Eng. Chem. Res. 2019, 58, 15381–15393. [Google Scholar] [CrossRef]
- Müller, M.; Yagmurlu, B. Synergistic Processing of Mixed LFP-NMC Black Mass for Improved Recycling Operations. In REWAS 2025, Proceedings of the TMS Annual Meeting & Exhibition, Las Vegas, NV, USA, 23–27 March 2025; Lazou, A., Meskers, C., Olivetti, E., Diaz, F., Gökelma, M., Eds.; Springer: Cham, Switzerland, 2025; pp. 43–53. [Google Scholar]
- Zhao, T.; Traversy, M.; Choi, Y.; Ghahreman, A. A novel process for multi-stage continuous selective leaching of lithium from industrial-grade complicated lithium-ion battery waste. Sci. Total Environ. 2024, 909, 168533. [Google Scholar] [CrossRef]
- Zou, Y.; Chernyaev, A.; Ossama, M.; Seisko, S.; Lundstrom, M. Leaching of NMC industrial black mass in the presence of LFP. Sci. Rep. 2024, 14, 10818. [Google Scholar] [CrossRef]
- Vieceli, N.; Benjamasutin, P.; Promphan, R.; Hellström, P.; Paulsson, M.; Petranikova, M. Recycling of Lithium-Ion Batteries: Effect of Hydrogen Peroxide and a Dosing Method on the Leaching of LCO, NMC Oxides, and Industrial Black Mass. ACS Sustain. Chem. Eng. 2023, 11, 9662–9673. [Google Scholar] [CrossRef]
- Henderson, M.S.; Beh, C.C.; Oraby, E.; Eksteen, J. Organic Acid Leaching of Black Mass with an LFP and NMC Mixed Chemistry. Recycling 2025, 10, 145. [Google Scholar] [CrossRef]
- Refly, S.; Floweri, O.; Mayangsari, T.R.; Sumboja, A.; Santosa, S.P.; Ogi, T.; Iskandar, F. Regeneration of LiNi1/3Co1/3Mn1/3O2 Cathode Active Materials from End-of-Life Lithium-Ion Batteries through Ascorbic Acid Leaching and Oxalic Acid Coprecipitation Processes. ACS Sustain. Chem. Eng. 2020, 8, 16104–16114. [Google Scholar] [CrossRef]
- Choi, J.W.; Cho, C.W.; Yun, Y.S. Organic acid-based linear free energy relationship models for green leaching of strategic metals from spent lithium-ion batteries and improvement of leaching performance. J. Hazard. Mater. 2022, 423 Pt B, 127214. [Google Scholar] [CrossRef]
- Musariri, B.; Akdogan, G.; Dorfling, C.; Bradshaw, S. Evaluating organic acids as alternative leaching reagents for metal recovery from lithium ion batteries. Miner. Eng. 2019, 137, 108–117. [Google Scholar] [CrossRef]
- Schmitz, D.; Prasetyo, H.; Birich, A.; Yeetsorn, R.; Friedrich, B. Co-Precipitation of Metal Oxalates from Organic Leach Solution Derived from Spent Lithium-Ion Batteries (LIBs). Metals 2024, 14, 80. [Google Scholar] [CrossRef]
- Zhang, J.; Hu, X.; He, T.; Yuan, X.; Li, X.; Shi, H.; Yang, L.; Shao, P.; Wang, C.; Luo, X. Rapid extraction of valuable metals from spent LiNixCoyMn1−x−yO2 cathodes based on synergistic effects between organic acids. Waste Manag. 2023, 165, 19–26. [Google Scholar] [CrossRef] [PubMed]
- Zhang, J.; Ding, Y.; Shi, H.; Shao, P.; Yuan, X.; Hu, X.; Zhang, Q.; Zhang, H.; Luo, D.; Wang, C.; et al. Selective recycling of lithium from spent LiNixCoyMn1−x−yO2 cathode via constructing a synergistic leaching environment. J. Environ. Manag. 2024, 352, 120021. [Google Scholar] [CrossRef]
- Eksteen, J.J.; Oraby, E.A.; Nguyen, V. Leaching and ion exchange based recovery of nickel and cobalt from a low grade, serpentine-rich sulfide ore using an alkaline glycine lixiviant system. Miner. Eng. 2020, 145, 106073. [Google Scholar] [CrossRef]
- Oraby, E.; Li, H.; Deng, Z.; Eksteen, J. Selective extraction of Ni and Co from a pyrrhotite-rich flotation slime using an alkaline glycine-based leach system. Miner. Eng. 2023, 203, 108330. [Google Scholar] [CrossRef]
- Oraby, E.; Deng, Z.; Li, H.; Eksteen, J. Selective extraction of nickel and cobalt from disseminated sulfide flotation cleaner tailings using alkaline glycine-ammonia leaching solutions. Miner. Eng. 2023, 204, 108418. [Google Scholar] [CrossRef]
- Li, H.; Oraby, E.; Eksteen, J. Extraction of copper and the co-leaching behaviour of other metals from waste printed circuit boards using alkaline glycine solutions. Resour. Conserv. Recycl. 2020, 154, 104624. [Google Scholar] [CrossRef]
- Chen, M.; Wang, R.; Qi, Y.; Han, Y.; Wang, R.; Fu, J.; Meng, F.; Yi, X.; Huang, J.; Shu, J. Cobalt and lithium leaching from waste lithium ion batteries by glycine. J. Power Sources 2021, 482, 228942. [Google Scholar] [CrossRef]
- Wang, F.; Sun, R.; Xu, J.; Chen, Z.; Kang, M. Recovery of cobalt from spent lithium ion batteries using sulphuric acid leaching followed by solid–liquid separation and solvent extraction. RSC Adv. 2016, 6, 85303–85311. [Google Scholar] [CrossRef]
- Nayl, A.A.; Elkhashab, R.A.; Badawy, S.M.; El-Khateeb, M.A. Acid leaching of mixed spent Li-ion batteries. Arab. J. Chem. 2017, 10, S3632–S3639. [Google Scholar] [CrossRef]
- Li, H.; Xing, S.; Liu, Y.; Li, F.; Guo, H.; Kuang, G. Recovery of Lithium, Iron, and Phosphorus from Spent LiFePO4 Batteries Using Stoichiometric Sulfuric Acid Leaching System. ACS Sustain. Chem. Eng. 2017, 5, 8017–8024. [Google Scholar] [CrossRef]
- Zhang, X.; Bian, Y.; Xu, S.; Fan, E.; Xue, Q.; Guan, Y.; Wu, F.; Li, L.; Chen, R. Innovative Application of Acid Leaching to Regenerate Li(NiCoMn)O2 Cathodes from Spent Lithium-Ion Batteries. ACS Sustain. Chem. Eng. 2018, 6, 5959–5968. [Google Scholar] [CrossRef]
- Li, L.; Lu, J.; Zhai, L.; Zhang, X.; Curtiss, L.; Jin, Y.; Wu, F.; Chen, R.; Amine, K. A facile recovery process for cathodes from spent lithium iron phosphate batteries by using oxalic acid. CSEE J. Power Energy Syst. 2018, 4, 219–225. [Google Scholar] [CrossRef]
- Haynes, W.M.; Lide, D.R.; Bruno, T.J. CRC Handbook of Chemistry and Physics, 97th ed.; CRC Press Taylor and Francis Group: Boco Raton, FL, USA, 2017. [Google Scholar]
- Liu, F.; Peng, C.; Wilson, B.P.; Lundström, M. Oxalic Acid Recovery from High Iron Oxalate Waste Solution by a Combination of Ultrasound-Assisted Conversion and Cooling Crystallization. ACS Sustain. Chem. Eng. 2019, 7, 17372–17378. [Google Scholar] [CrossRef]
- Liu, J.; Lin, J.; Yin, Z.; Tong, Z.; Liu, J.; Wang, Z.; Zhou, Y.; Li, J. Electrocatalytic Decomposition of Lithium Oxalate-Based Composite Microspheres as a Prelithiation Additive in Lithium-Ion Batteries. Molecules 2024, 29, 2975. [Google Scholar] [CrossRef]
- Li, W.; Wang, N.; Lu, F.; Chai, H.; Gu, H. Selective separation of aluminum, silicon, and titanium from red mud using oxalic acid leaching, iron precipitation and pH adjustments with calcium carbonate. Hydrometallurgy 2024, 223, 106221. [Google Scholar] [CrossRef]
- Hussaini, S.; Tita, A.M.; Kursunoglu, S.; Kaya, M.; Chu, P. Leaching of Nickel and Cobalt from a Mixed Nickel-Cobalt Hydroxide Precipitate Using Organic Acids. Minerals 2024, 14, 314. [Google Scholar] [CrossRef]
- Xuan, W.; de Souza Braga, A.; Korbel, C.; Chagnes, A. New insights in the leaching kinetics of cathodic materials in acidic chloride media for lithium-ion battery recycling. Hydrometallurgy 2021, 204, 105705. [Google Scholar] [CrossRef]
- Liu, Y.; Zhang, C.; Li, B.; Li, H.; Zhan, H. Extraction and Determination of Total and Soluble Oxalate in Pulping and Papermaking Raw Materials. BioResources 2015, 10, 4580–4587. [Google Scholar] [CrossRef]
- Redox Ltd. Safety Data Sheet Oxalic Acid, Dihydrate; Redox Ltd.: Sydney, Australia, 2025; 11p. [Google Scholar]
- Zeng, X.; Li, J.; Shen, B. Novel approach to recover cobalt and lithium from spent lithium-ion battery using oxalic acid. J. Hazard. Mater. 2015, 295, 112–118. [Google Scholar] [CrossRef]
- Lie, J.; Liu, J.-C. Closed-vessel microwave leaching of valuable metals from spent lithium-ion batteries (LIBs) using dual-function leaching agent: Ascorbic acid. Sep. Purif. Technol. 2021, 266, 118458. [Google Scholar] [CrossRef]
- Nayaka, G.P.; Manjanna, J.; Pai, K.V.; Vadavi, R.; Keny, S.J.; Tripathi, V.S. Recovery of valuable metal ions from the spent lithium-ion battery using aqueous mixture of mild organic acids as alternative to mineral acids. Hydrometallurgy 2015, 151, 73–77. [Google Scholar] [CrossRef]
- Broeksma, C.P.; Dorfling, C. Evaluating glycine as an alternative lixiviant for copper recovery from waste printed circuit boards. Waste Manag. 2023, 163, 96–107. [Google Scholar] [CrossRef]
- Rezaee, M.; Saneie, R.; Mohammadzadeh, A.; Abdollahi, H.; Kordloo, M.; Rezaee, A.; Vahidi, E. Eco-friendly recovery of base and precious metals from waste printed circuit boards by step-wise glycine leaching: Process optimization, kinetics modeling, and comparative life cycle assessment. J. Clean. Prod. 2023, 389, 136016. [Google Scholar] [CrossRef]
- Rautela, R.; Yadav, B.R.; Kumar, S. Enhancing the efficiency of metals extraction from waste lithium-ion batteries through glycine leaching using response surface methodology for economic feasibility. J. Clean. Prod. 2024, 447, 141602. [Google Scholar] [CrossRef]
- Tanda, B.C.; Eksteen, J.J.; Oraby, E.A.; O’Connor, G.M. The kinetics of chalcopyrite leaching in alkaline glycine/glycinate solutions. Miner. Eng. 2019, 135, 118–128. [Google Scholar] [CrossRef]
- Cuculić, V.; Pižeta, I. Kinetics of iron(III) hydrolysis and precipitation in aqueous glycine solutions assessed by voltammetry. Collect. Czechoslov. Chem. Commun. 2009, 74, 1531–1542. [Google Scholar] [CrossRef]
- Casale, A.; De Robertis, A.; De Stefano, C.; Gianguzza, A.; Patane, G.; Rigano, C. Thermodynamic parameters for the formation of glycine complexes with magnesium(II), calcium(II), lead(II), manganese(II), cobalt(II), nickel(II), zinc(II) and cadmium(II) at different temperatures and ionic strengths, with particular reference to natural fluid conditions. Thermochim. Acta 1995, 255, 109–141. [Google Scholar]
- Cuculić, V.; Pižeta, I.; Branica, M. Voltammetric determination of stability constants of iron(III)–glycine complexes in water solution. J. Electroanal. Chem. 2005, 583, 140–147. [Google Scholar] [CrossRef]
- Kiss, T.; Sovago, I.; Gergely, A. Critical survey of stability constants of complexes of glycine. Pure Appl. Chem. 1991, 63, 597–638. [Google Scholar] [CrossRef]
- Blais, J.F.; Djedidi, Z.; Cheikh, R.B.; Tyagi, R.D.; Mercier, G. Metals Precipitation from Effluents: Review. Pract. Period. Hazard. Toxic Radioact. Waste Manag. 2008, 12, 135–149. [Google Scholar] [CrossRef]
- Wu, Z.; Soh, T.; Chan, J.J.; Meng, S.; Meyer, D.; Srinivasan, M.; Tay, C.Y. Repurposing of Fruit Peel Waste as a Green Reductant for Recycling of Spent Lithium-Ion Batteries. Environ. Sci. Technol. 2020, 54, 9681–9692. [Google Scholar] [CrossRef] [PubMed]
- Meshram, P.; Mishra, A.; Abhilash; Sahu, R. Environmental impact of spent lithium ion batteries and green recycling perspectives by organic acids—A review. Chemosphere 2020, 242, 125291. [Google Scholar] [CrossRef]
- Li, Q.; Fung, K.Y.; Ng, K.M. Hydrometallurgy process for the recovery of valuable metals from LiNi0.8Co0.15Al0.05-O2 cathode materials. SN Appl. Sci. 2019, 1, 690. [Google Scholar] [CrossRef]
- Mohammed, T.; Bezuidenhout, G.A.; Oraby, E.A.; Eksteen, J.J. Sequential Separation of Cobalt, Copper, and Nickel from Alkaline Glycinate Solutions Using Solvent Extraction. J. Sustain. Metall. 2024, 10, 2455–2468. [Google Scholar] [CrossRef]












| Al2O3 (%) | C (%) | CaO (%) | Co (%) | Cu (%) | F (%) | Fe2O3 (%) | K2O (%) | Li (%) | MgO (%) | MnO (%) | Ni (%) | P2O5 (%) | Pb (%) | SiO2 (%) | Sn (%) |
|---|---|---|---|---|---|---|---|---|---|---|---|---|---|---|---|
| 13.35 | 32.10 | 0.11 | 1.50 | 4.50 | 2.55 | 15.40 | 0.05 | 1.52 | 0.06 | 0.50 | 4.31 | 13.15 | 0.06 | 1.84 | 0.09 |
Disclaimer/Publisher’s Note: The statements, opinions and data contained in all publications are solely those of the individual author(s) and contributor(s) and not of MDPI and/or the editor(s). MDPI and/or the editor(s) disclaim responsibility for any injury to people or property resulting from any ideas, methods, instructions or products referred to in the content. |
© 2025 by the authors. Licensee MDPI, Basel, Switzerland. This article is an open access article distributed under the terms and conditions of the Creative Commons Attribution (CC BY) license (https://creativecommons.org/licenses/by/4.0/).
Share and Cite
Henderson, M.S.; Beh, C.C.; Oraby, E.A.; Eksteen, J. Two-Stage Organic Acid Leaching of Industrially Sourced LFP- and NMC-Containing Black Mass. Batteries 2025, 11, 401. https://doi.org/10.3390/batteries11110401
Henderson MS, Beh CC, Oraby EA, Eksteen J. Two-Stage Organic Acid Leaching of Industrially Sourced LFP- and NMC-Containing Black Mass. Batteries. 2025; 11(11):401. https://doi.org/10.3390/batteries11110401
Chicago/Turabian StyleHenderson, Marc Simon, Chau Chun Beh, Elsayed A. Oraby, and Jacques Eksteen. 2025. "Two-Stage Organic Acid Leaching of Industrially Sourced LFP- and NMC-Containing Black Mass" Batteries 11, no. 11: 401. https://doi.org/10.3390/batteries11110401
APA StyleHenderson, M. S., Beh, C. C., Oraby, E. A., & Eksteen, J. (2025). Two-Stage Organic Acid Leaching of Industrially Sourced LFP- and NMC-Containing Black Mass. Batteries, 11(11), 401. https://doi.org/10.3390/batteries11110401

