Sign in to use this feature.

Years

Between: -

Subjects

remove_circle_outline
remove_circle_outline
remove_circle_outline
remove_circle_outline
remove_circle_outline
remove_circle_outline
remove_circle_outline
remove_circle_outline
remove_circle_outline

Journals

remove_circle_outline
remove_circle_outline

Article Types

Countries / Regions

remove_circle_outline
remove_circle_outline
remove_circle_outline
remove_circle_outline
remove_circle_outline
remove_circle_outline

Search Results (545)

Search Parameters:
Keywords = residential water systems

Order results
Result details
Results per page
Select all
Export citation of selected articles as:
25 pages, 2071 KB  
Article
Performance Investigation of a Dew-Point Evaporative Air Cooler with Segmented Heat Exchange Design
by Peng Xu and Jianing Sai
Buildings 2026, 16(3), 477; https://doi.org/10.3390/buildings16030477 - 23 Jan 2026
Abstract
A dew-point evaporative air cooler incorporating a novel segmented heat exchange design, demarcated according to the humidity state of moist air, is proposed. The system employs a porous fibrous material to create a wetted evaporative surface, which is continuously maintained in a moistened [...] Read more.
A dew-point evaporative air cooler incorporating a novel segmented heat exchange design, demarcated according to the humidity state of moist air, is proposed. The system employs a porous fibrous material to create a wetted evaporative surface, which is continuously maintained in a moistened condition through a self-wicking water supply mechanism to enhance latent heat transfer. Circular fins are installed on the heat exchanger’s partition surface once the moist air reaches saturation, thereby improving sensible heat exchange between the dry and wet channels. The performance of a prototype was evaluated under controlled conditions in a standard enthalpy chamber. Experimental results indicate that, under typical summer conditions (inlet dry-bulb and wet-bulb temperatures of 33.8 °C and 25.4 °C, respectively), with an air mass flow ratio of 0.7 and an air velocity of 1.5 m/s, the wet-bulb effectiveness reaches 114.4% and the dew-point effectiveness achieves 84.8%. The maximum temperature reduction occurs in the sensible heat exchange section, reaching up to 6.1 °C, demonstrating its substantial sensible heat recovery capability. The device exhibits an energy efficiency ratio (EER) ranging from 9.1 to 31.8. The proposed compact configuration not only enhances energy efficiency but also reduces material costs by approximately 15.4%, providing a valuable reference for the future development of dew-point evaporative cooling systems in residential buildings. Full article
16 pages, 2709 KB  
Article
Occurrence, Seasonal Variation, and Microbial Drivers of Antibiotic Resistance Genes in a Residential Secondary Water Supply System
by Huaiyu Tian, Yu Zhou, Dawei Zhang and Weiying Li
Water 2026, 18(2), 281; https://doi.org/10.3390/w18020281 - 22 Jan 2026
Abstract
The widespread use of antibiotics has led to the persistence of antibiotic-resistant bacteria (ARB) and antibiotic resistance genes (ARGs) in drinking water systems, posing potential public health risks at the point of use. In this study, a residential secondary water supply system (SWSS) [...] Read more.
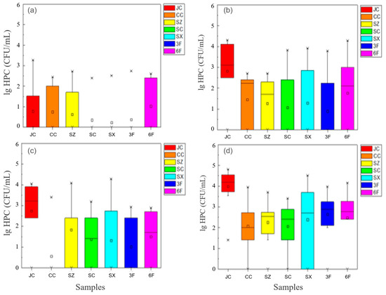
The widespread use of antibiotics has led to the persistence of antibiotic-resistant bacteria (ARB) and antibiotic resistance genes (ARGs) in drinking water systems, posing potential public health risks at the point of use. In this study, a residential secondary water supply system (SWSS) in eastern China was investigated over one year to characterize microbial communities, ARB and ARG occurrence, and their associations with water quality in bulk water and biofilms. Culture-based methods, flow cytometry, quantitative PCR, and high-throughput 16S rRNA and ITS sequencing were applied. Although conventional treatment removed 94.8% of total bacteria, significant microbial regrowth occurred during secondary distribution, with the highest heterotrophic plate counts observed in rooftop storage tanks (up to 4718 CFU/mL). ARG concentrations increased along the distribution line, and the class 1 integron intI1 was enriched in downstream locations, indicating enhanced horizontal gene transfer potential. Sulfonamide resistance genes dominated the resistome, accounting for more than 60% of total ARG abundance in water samples. Seasonally, ARG levels were higher in autumn and winter, coinciding with elevated disinfectant residuals and lower temperatures. Chlorine was negatively associated with total bacterial abundance, while positive correlations were observed with the relative abundance of several ARGs when normalized to bacterial biomass, suggesting selective pressure under oxidative stress. Turbidity and bacterial abundance were positively correlated with ARB, particularly sulfonamide-resistant bacteria. Biofilms exhibited more stable microbial communities and provided microhabitats that facilitated microbial persistence. Notably, fungal abundance showed strong positive correlations with multiple ARGs, implying that microbial interactions may indirectly contribute to ARG persistence in SWSSs. These findings highlight the role of secondary distribution conditions, disinfectant pressure, and microbial interactions in shaping resistance risks in residential water supply systems, and provide insights for improving microbial risk management at the point of consumption. Full article
(This article belongs to the Special Issue Advances in Control Technologies for Emerging Contaminants in Water)
Show Figures

Figure 1

24 pages, 2343 KB  
Article
Design and Implementation of a Low-Water-Consumption Robotic System for Cleaning Residential Balcony Glass Walls
by Maria-Alexandra Mielcioiu, Petruţa Petcu, Dumitru Nedelcu, Augustin Semenescu, Narcisa Valter and Ana-Maria Nicolau
Appl. Sci. 2026, 16(2), 945; https://doi.org/10.3390/app16020945 - 16 Jan 2026
Viewed by 93
Abstract
Manual window cleaning in high-rise urban buildings is labor-intensive, risky, and resource-inefficient. This study addresses these challenges by investigating a resource-aware mechatronic architecture through the design, development, and experimental validation of a modular Automated Window Cleaning System (AWCS). Unlike conventional open-loop solutions, the [...] Read more.
Manual window cleaning in high-rise urban buildings is labor-intensive, risky, and resource-inefficient. This study addresses these challenges by investigating a resource-aware mechatronic architecture through the design, development, and experimental validation of a modular Automated Window Cleaning System (AWCS). Unlike conventional open-loop solutions, the AWCS integrates mechanical scrubbing with a closed-loop fluid management system, featuring precise dispensing and vacuum-assisted recovery. The system is governed by a deterministic finite state machine implemented on an ESP32 microcontroller, enabling low-latency IoT connectivity and autonomous operation. Two implementation variants—integrated and retrofit—were validated to ensure structural adaptability. Experimental results across 30 cycles demonstrate a cleaning efficiency of ~2 min/m2, a water consumption of <150 mL/m2 (representing a >95% reduction compared to manual methods), and an optical cleaning efficacy of 96.9% ± 1.4%. Safety protocols were substantiated through a calculated mechanical safety factor of 6.12 for retrofit applications. This research establishes the AWCS as a sustainable, safe, and scalable solution for autonomous building maintenance, contributing to the advancement of resource-circular domestic robotics and smart home automation. Full article
Show Figures

Figure 1

25 pages, 5495 KB  
Article
Coupling Modeling Approaches for the Assessment of Runoff Quality in an Urbanizing Catchment
by Lihoun Teang, Kim N. Irvine, Lloyd H. C. Chua and Muhammad Usman
Hydrology 2026, 13(1), 35; https://doi.org/10.3390/hydrology13010035 - 16 Jan 2026
Viewed by 207
Abstract
The impacts of land use on stormwater runoff quality and Best Management Practices to mitigate these impacts have been investigated since the 1970s, yet challenges remain in providing a modeling approach that concomitantly considers contributions from different land use types. In densely developed [...] Read more.
The impacts of land use on stormwater runoff quality and Best Management Practices to mitigate these impacts have been investigated since the 1970s, yet challenges remain in providing a modeling approach that concomitantly considers contributions from different land use types. In densely developed urban areas, a buildup/washoff approach is often applied, while in rural areas, some type of erosion modeling is employed, as the processes of detachment, entrainment, and transport are fundamentally different. This study presents a coupled modeling approach within PCSWMM, integrating exponential buildup/washoff for impervious surfaces with the Modified Universal Soil Loss Equation (MUSLE) for pervious areas, including construction sites, to characterize water quality in the large mixed urban–rural Sparrovale catchment in Geelong, Australia. The watershed includes an innovative cascading system of 12 online NbS wetlands along one of the main tributaries, Armstrong Creek, to manage runoff quantity and quality, as well as 16 offline NbS wetlands that are tributary to the online system. A total of 78 samples for Total Suspended Solids (TSS), Total Phosphorus (TP), and Total Nitrogen (TN) were collected from six monitoring sites along Armstrong Creek during wet- and dry-weather events between May and July 2024 for model validation. The data were supplemented with six other catchment stormwater quality datasets collected during earlier studies, which provided an understanding of water quality status for the broader Geelong region. Results showed that average nutrient concentrations across all the sites ranged from 0.44 to 2.66 mg/L for TP and 0.69 to 5.7 mg/L for TN, spanning from within to above the ecological threshold ranges for eutrophication risk (TP: 0.042 to 1 mg/L, TN: 0.3 to 1.5 mg/L). In the study catchment, upstream wetlands reduced pollutant levels; however, downstream wetlands that received runoff from agriculture, residential areas, and, importantly, construction sites, showed a substantial increase in sediment and nutrient concentration. Water quality modeling revealed washoff parameters primarily influenced concentrations from established urban neighborhoods, whereas erosion parameters substantially impacted total pollutant loads for the larger system, demonstrating the importance of integrated modeling for capturing pollutant dynamics in heterogeneous, urbanizing catchments. The study results emphasize the need for spatially targeted management strategies to improve stormwater runoff quality and also show the potential for cascading wetlands to be an important element of the Nature-based Solution (NbS) runoff management system. Full article
(This article belongs to the Special Issue Advances in Urban Hydrology and Stormwater Management)
Show Figures

Figure 1

20 pages, 3271 KB  
Article
Fostering Amenity Criteria for the Implementation of Sustainable Urban Drainage Systems in Public Spaces: A Novel Decision Methodological Framework
by Claudia Rocio Suarez Castillo, Luis A. Sañudo-Fontaneda, Jorge Roces-García and Juan P. Rodríguez
Appl. Sci. 2026, 16(2), 901; https://doi.org/10.3390/app16020901 - 15 Jan 2026
Viewed by 99
Abstract
Sustainable Urban Drainage Systems (SUDSs) are essential for stormwater management in urban areas, with varying hydrological, social, ecological, and economic benefits. Nevertheless, choosing the SUDS most appropriate for public spaces poses a challenge when balancing details/specifications against community decisions, primarily social implications and [...] Read more.
Sustainable Urban Drainage Systems (SUDSs) are essential for stormwater management in urban areas, with varying hydrological, social, ecological, and economic benefits. Nevertheless, choosing the SUDS most appropriate for public spaces poses a challenge when balancing details/specifications against community decisions, primarily social implications and perceptions. Building on the SUDS design pillar of the amenity, this study outlines a three-phase methodological framework for selecting SUDS based on social facilitation. The first phase introduces the application of the Partial Least Squares Structural Equation Modeling (PLS-SEM) and Classificatory Expectation–Maximization (CEM) techniques by modeling complex social interdependencies to find critical components related to urban planning. A Likert scale survey was also conducted with 440 urban dwellers in Tunja (Colombia), which identified three dimensions: Residential Satisfaction (RS), Resilience and Adaptation to Climate Change (RACC), and Community Participation (CP). In the second phase, the factors identified above were transformed into eight operational criteria, which were weighted using the Analytic Hierarchy Process (AHP) with the collaboration of 35 international experts in SUDS planning and implementation. In the third phase, these weighted criteria were used to evaluate and classify 13 types of SUDSs based on the experts’ assessments of their sub-criteria. The results deliver a clear message: cities must concentrate on solutions that will guarantee that water is managed to the best of their ability, not just safely, and that also enhance climate resilience, energy efficiency, and the ways in which public space is used. Among those options considered, infiltration ponds, green roofs, rain gardens, wetlands, and the like were the best-performing options, providing real and concrete uses in promoting a more resilient and sustainable urban water system. The methodology was also used in a real case in Tunja, Colombia. In its results, this approach proved not only pragmatic but also useful for all concerned, showing that the socio-cultural dimensions can be truly integrated into planning SUDSs and ensuring success. Full article
(This article belongs to the Special Issue Resilient Cities in the Context of Climate Change)
Show Figures

Figure 1

20 pages, 4266 KB  
Article
Land Use Change and River Water Quality in a Rapidly Urbanizing Catchment: The Selbe River, Mongolia
by Zaya Chinbat, Yongfen Wei and Ken Hiramatsu
Geographies 2026, 6(1), 3; https://doi.org/10.3390/geographies6010003 - 1 Jan 2026
Viewed by 266
Abstract
Urban expansion in cold semi-arid regions poses significant threats to river ecosystems through land use changes and impervious surface proliferation. This study examined the Selbe River in Ulaanbaatar, Mongolia, integrating Landsat satellite imagery (2000–2020) with long-term water quality monitoring data (2012–2023) to assess [...] Read more.
Urban expansion in cold semi-arid regions poses significant threats to river ecosystems through land use changes and impervious surface proliferation. This study examined the Selbe River in Ulaanbaatar, Mongolia, integrating Landsat satellite imagery (2000–2020) with long-term water quality monitoring data (2012–2023) to assess land use change impacts on river water quality. Land use classification revealed that built-up areas expanded 3.5-fold from 16.20 km2 (2000) to 57.9 km2 (2020), driven primarily by informal Ger residential areas and high-rise residential zones. Over the same period, barren land decreased from 149.5 km2 to 64.80 km2, while green areas increased from 156.89 km2 to 200.11 km2, which was insufficient to offset ecological stress from impervious surfaces. Water quality analysis of five sampling sites along the river showed progressive deterioration, with the Water Quality Index (WQI) increasing from 1.08 (2012) to 7.24 (2023), classifying the river as “dirty”, the most severe pollution category in Mongolia’s national classification system. Downstream sites adjacent to high-rise residential and Ger districts exhibited elevated concentrations of NH4+, NO2, NO3, PO43−, and suspended solids, frequently exceeding permissible limits established by MNS 4586-98. These findings underscore the cumulative impact of unregulated urban growth on aquatic ecosystems and emphasize the urgent necessity for integrated land use regulation and watershed-based planning to safeguard urban water resources in cold semi-arid environments. The study provides a replicable framework for assessing land use impacts on water quality in rapidly urbanizing regions. Full article
Show Figures

Figure 1

23 pages, 1506 KB  
Article
Exergoeconomic Assessment of a Cogeneration Unit Using Biogas
by Ana Lívia Formiga Leite de Lima, Carlos Antônio Cabral dos Santos, Alvaro Antonio Villa Ochoa, Daniel Rodríguez López, Paula Suemy Arruda Michima, José Ângelo Peixoto da Costa and Gustavo de Novaes Pires Leite
Processes 2026, 14(1), 134; https://doi.org/10.3390/pr14010134 - 30 Dec 2025
Viewed by 237
Abstract
Biogas, a promising fuel for present and future generations, is produced from the anaerobic digestion of organic waste generated by the condominium itself. Therefore, this work aims to evaluate the exergoeconomic performance of a biogas cogeneration unit designed to meet the electrical and [...] Read more.
Biogas, a promising fuel for present and future generations, is produced from the anaerobic digestion of organic waste generated by the condominium itself. Therefore, this work aims to evaluate the exergoeconomic performance of a biogas cogeneration unit designed to meet the electrical and thermal energy demands of a residential condominium in the city of Teresina, Piauí, Northeast Brazil. The cogeneration unit consists of an internal combustion engine (ICE) coupled to an electric generator (genset) to produce electricity, and a heat exchanger that recovers part of the exhaust-gas heat to heat water. The analysis was conducted based on the concepts of Thermodynamics and Exergoeconomics, using the SPECO (Specific Exergy Costing) methodology to define the exergetic costs of the system. The novelty of the work lies in applying the SPECO exergoeconomic analysis to a small-scale biogas cogeneration unit fueled by residential organic waste. The achieved electricity production was 167.40 kW, and the heat transfer rate at the exchange rate was 51.55 kW. The results revealed that the exergy destroyed in the internal combustion chamber (ICE) was 223.65 kW, whereas that in the heat exchanger was significantly higher at 45.67 kW. The exergy efficiency of the ICE reached 39.19%, and the heat exchanger efficiency was around 9%. In financial terms, the cost of exergy destroyed in the ICEC was USD/h 135, but in the heat exchanger, it was dramatically higher at USD/h 158.40. The cost of producing hot water (product) was considered extremely high (USD/GJ 38.98). The relative difference parameter in the heat exchanger also has a value much higher than expected (10.240). This is because the product’s cost (USD/GJ 38.98) is well above the cost of fuel (USD/GJ 3.468). This study concludes that the cogeneration unit is more justifiable by the savings generated through thermal energy production than by electricity production alone, since the cogeneration system significantly enhances performance, raising both the energetic and exergetic efficiencies to 55% and 48%, respectively, thereby confirming the added value of the simultaneous utilization of heat and power. Full article
Show Figures

Figure 1

22 pages, 13822 KB  
Article
Convergence and Divergence: A Comparative Study of the Residential Cultures of Tujia and Miao Traditional Villages in Western Hunan, China
by Gong Chen, Mengmiao Zhang and Shaoyao He
Buildings 2025, 15(24), 4539; https://doi.org/10.3390/buildings15244539 - 16 Dec 2025
Viewed by 434
Abstract
This study examines the traditional villages of the Tujia and Miao ethnic groups in Xiangxi Prefecture, western Hunan, and clarifies their spatial distribution and residential cultures through ArcGIS-based spatial analysis combined with extensive field investigation. On the basis of a systematic comparative framework, [...] Read more.
This study examines the traditional villages of the Tujia and Miao ethnic groups in Xiangxi Prefecture, western Hunan, and clarifies their spatial distribution and residential cultures through ArcGIS-based spatial analysis combined with extensive field investigation. On the basis of a systematic comparative framework, it explores differences in village patterns, architectural forms, and folk belief systems between the two groups. The results indicate that (1) in terms of spatial distribution, Miao villages are mainly located to the south of the Wuling Mountains, while Tujia villages are concentrated to the north, with the mountainous ranges of Baojing and Guzhang counties forming a clear transitional belt; (2) regarding village layout, Miao villages are generally clustered with “mountain-backed and water-adjacent”, whereas Tujia villages tend to adopt a more dispersed and defensive pattern than “mountain-anchored and water-distanced”; (3) in dwelling form, both groups share similar basic spatial organization, yet Miao dwellings exhibit greater diversity in construction materials, including timber, stone, and rammed earth; (4) in terms of belief and ritual, distinct folk practices and symbolic systems are embedded in the spatial organization and decorative features of each group’s villages. These findings deepen the understanding of cultural diversity among ethnic minorities in western Hunan and provide a theoretical basis for authenticity-oriented conservation and the sustainable development of traditional villages in ethnic regions. Full article
(This article belongs to the Section Architectural Design, Urban Science, and Real Estate)
Show Figures

Figure 1

22 pages, 3603 KB  
Article
Land Use and Rainfall as Drivers of Microplastic Transport in Canal Systems: A Case Study from Upstate New York
by Md Nayeem Khan Shahariar, Addrita Haque, Thomas M. Holsen and Abul B. M. Baki
Microplastics 2025, 4(4), 106; https://doi.org/10.3390/microplastics4040106 - 15 Dec 2025
Viewed by 808
Abstract
Microplastic pollution in freshwater systems represents a growing environmental concern, yet the dynamics of microplastic distributions in smaller tributaries like canals/creeks remain understudied. This case study presents an investigation of microplastic contamination in a canal system in upstate New York, USA, examining land [...] Read more.
Microplastic pollution in freshwater systems represents a growing environmental concern, yet the dynamics of microplastic distributions in smaller tributaries like canals/creeks remain understudied. This case study presents an investigation of microplastic contamination in a canal system in upstate New York, USA, examining land use and rainfall that influence microplastic abundance, distribution, and characteristics. Water and sediment samples were collected bi-weekly (June–August 2023) from sites representing runoff from diverse land-use types: agricultural areas, residential zones, academic buildings, and parking lots. The study reveals significant land-use dependent variations in contamination, with mean concentrations of 17 ± 7 items/L in the water column, while suspended sediment and bedload reached 540 ± 230 items/kg and 370 ± 80 items/kg, respectively. Upstream water column exhibited the highest loads (27 ± 2 items/L), driven by cumulative agricultural and commercial inputs, while downstream declines highlighted vegetation-mediated sedimentation. Land-use patterns strongly influenced contamination profiles, with parking lots exhibiting tire-wear fragments, artificial turf contributing polyethylene particles, and residential areas contributing 43% textile fibers. Rainfall intensity and antecedent dry days differentially influenced transport mechanisms. Antecedent dry days strongly predicted parking lot runoff fluxes surpassing rainfall intensity effects and underscored impervious surfaces as transient microplastic reservoirs. Full article
(This article belongs to the Special Issue Microplastics in Freshwater Ecosystems)
Show Figures

Graphical abstract

34 pages, 9895 KB  
Article
Assessment of Drinking Water Quality from the Dobromierz Reservoir During the Treatment Process: Collection, Distribution and Future Challenges
by Magdalena Szewczyk, Paweł Tomczyk and Mirosław Wiatkowski
Water 2025, 17(24), 3467; https://doi.org/10.3390/w17243467 - 6 Dec 2025
Viewed by 558
Abstract
Drinking water contamination during the treatment process remains a major problem for decision-makers responsible for the collection and supply of water to recipients. This article presents measurements of 33 parameters of drinking water quality in the years 2009–2023, taken from the Dobromierz reservoir [...] Read more.
Drinking water contamination during the treatment process remains a major problem for decision-makers responsible for the collection and supply of water to recipients. This article presents measurements of 33 parameters of drinking water quality in the years 2009–2023, taken from the Dobromierz reservoir in Poland, with particular emphasis on the stages of raw water, water undergoing treatment, and utility water. The results showed that the raw water tested is contaminated microbiologically (presence of coliform bacteria), organoleptically (worse turbidity, odor, color), and chemically (increased PAHs, nitrites, benzo(α)pyrene). This indicates improper maintenance of the areas around the reservoir, i.e., agricultural areas (the existing nutrient runoff), residential areas (the lack of stringent records of cesspools and septic tanks), and roadside (improper maintenance of ditch slopes). In most cases, water at the treatment stage and at the end recipients was effectively purified (in most cases, the analyzed parameters achieved a degree of compliance with drinking water standards of at least 95%). Only for the turbidity in the network, the standards did not reach the adopted minimum level. This suggests the need to conduct systematic investment activities in order to reduce failures in the network (average system failure rate of 34%). Moreover, the statistical analysis of the results showed significant changes in the parameters between raw water and water in the water supply network and at end recipients (p < 0.05). Therefore, it is necessary to focus on protecting the quality of raw water resources for more effective treatment and ensuring human health safety. Full article
Show Figures

Figure 1

19 pages, 2125 KB  
Article
Investigation on Electricity Flexibility and Demand-Response Strategies for Grid-Interactive Buildings
by Haiyang Yuan, Yongbao Chen and Zhe Chen
Buildings 2025, 15(23), 4368; https://doi.org/10.3390/buildings15234368 - 2 Dec 2025
Viewed by 499
Abstract
In line with the global goal of achieving climate neutrality, a flexible energy system capable of accommodating the uncertainties induced by renewable energy sources becomes vitally important. This paper investigates the electricity demand flexibility characteristics and develops demand-response (DR) control strategies for grid-interactive [...] Read more.
In line with the global goal of achieving climate neutrality, a flexible energy system capable of accommodating the uncertainties induced by renewable energy sources becomes vitally important. This paper investigates the electricity demand flexibility characteristics and develops demand-response (DR) control strategies for grid-interactive buildings. First, a building’s flexible loads are classified into three types, interruptible loads (ILs), shiftable loads (SLs), and adjustable loads (ALs). The load flexibility characteristics, including real-time response capabilities, the time window range, and the adaptive adjustment ratios, are investigated. Second, DR control strategies and their features, which form the basis for achieving different optimization objectives, are detailed. Finally, three DR optimization objectives are proposed, including maximizing load reduction, maximizing economic benefits, and ensuring stable load reduction and recovery. Through case studies of a residential building and an office building, the results demonstrate the effectiveness of these DR strategies for load reduction and cost savings under different DR objectives. For the residential building, our results showed that over 50% of the electricity load could be shifted, resulting in electricity bill savings of over 17.6%. For office buildings, various DR control strategies involving zone temperature resetting, lighting dimming, and water storage utilization can achieve a total electricity load reduction of 28.1% to 63.6% and electricity bill savings of 7.39% to 26.79%. The findings from this study provide valuable benchmarks for assessing electricity flexibility and DR performance for other buildings. Full article
Show Figures

Figure 1

23 pages, 1752 KB  
Article
Economics of Renewables Versus Fossil Fuels 2022–2036: Case Study of an Individual House Applying Investment Project Evaluation Methods
by Robert Uberman and Wojciech Naworyta
Energies 2025, 18(23), 6282; https://doi.org/10.3390/en18236282 - 29 Nov 2025
Viewed by 525
Abstract
This paper presents a comprehensive economic comparison between renewable and fossil-fuel-based heating systems for a newly constructed residential building in Kraków, Poland, over the period 2022–2030. The analysis introduces the concept of Corrected Final Energy Consumption (CFEC) as a harmonized measure for comparing [...] Read more.
This paper presents a comprehensive economic comparison between renewable and fossil-fuel-based heating systems for a newly constructed residential building in Kraków, Poland, over the period 2022–2030. The analysis introduces the concept of Corrected Final Energy Consumption (CFEC) as a harmonized measure for comparing various energy sources and applies the Present Value of Total Lifecycle Cost (PVTLC) as an appropriate financial metric for non-commercial residential investments. Four heating options were examined: district heating system (DHS), gas boiler, air-to-water heat pump, and heat pump combined with photovoltaic (PV) panels. Based on real tariffs and standardized data from the Energy Performance Certificate (EPC), the DHS option demonstrated the lowest lifecycle cost, while the air-to-water heat pump—despite environmental advantages—proved the most expensive without substantial subsidies. Sensitivity analyses confirmed the strong influence of investment subsidies and fuel price fluctuations on the competitiveness of alternative systems. The findings highlight the methodological shortcomings of conventional annual-cost approaches and propose PVTLC as a more reliable decision-making tool for residential energy planning. The study also discusses regulatory, climatic, and behavioral factors affecting investment outcomes and emphasizes the need to integrate financial, environmental, and social criteria when evaluating household-level energy solutions. Full article
Show Figures

Figure 1

22 pages, 4575 KB  
Article
Geo-Hydrological Characteristics That Contributed to the Choice and Configuration of the Ancient Roman Aqueduct Aqua Augusta from Serino Springs
by Libera Esposito, Michele Ginolfi, Guido Leone and Francesco Fiorillo
Water 2025, 17(23), 3342; https://doi.org/10.3390/w17233342 - 21 Nov 2025
Viewed by 820
Abstract
The Augustan Aqueduct, built between 33 and 12 BC at the command of Augustus and designed by Marcus Vipsanio Agrippa, stands as one of the most remarkable hydraulic engineering feats of the Roman era. The main route of the aqueduct extends over 100 [...] Read more.
The Augustan Aqueduct, built between 33 and 12 BC at the command of Augustus and designed by Marcus Vipsanio Agrippa, stands as one of the most remarkable hydraulic engineering feats of the Roman era. The main route of the aqueduct extends over 100 km, starting from the caput aquae, represented by the Acquaro-Pelosi springs located at the foot of the Terminio karst massif, near the village of Serino (Campania region) and ending at Castellum Aquae, which corresponds to the Piscina Mirabilis in Bacoli, near Neapolis. Hydrogeological and hydrological features have been analyzed to reconstruct the rationale behind the selection of the aqueduct’s water sources: flow rate, ground level, and quality of the karst waters of the Serino springs best met the supply requirements. These characteristics, and others of historical and archaeological nature, suggest that the Augustan Aqueduct had a hydraulic connection with the Sannitico Aqueduct, also fed by Serino springs. The Sannitico Aqueduct fed the town of Benevento towards Nord, and it is believed to have been built in the first century AD. As shown by this study, both aqueduct systems could be part of a unique and great hydraulic system, built in the 1st century BC to supply areas of great residential importance (cities and patrician villas) or military importance (Miseno harbor and Benevento). The several studies available on the Augustan Aqueduct primarily focus on archaeological, architectural, and engineering aspects and less on hydrogeological aspects. In this paper we highlight that the hydrogeological perspective represents a key to understand the rationale behind the selection of the water sources feeding both aqueducts, built probably at the same time, and their interconnection. Full article
(This article belongs to the Special Issue Hydrogeology and Water Management in Ancient Hydraulic Systems)
Show Figures

Figure 1

19 pages, 3511 KB  
Article
A Hybrid Earth–Air Heat Exchanger with a Subsurface Water Tank: Experimental Validation in a Hot–Arid Climate
by Safieddine Ounis, Okba Boucherit, Abdelhafid Moummi, Tallal Abdel Karim Bouzir, Djihed Berkouk, Fabrizio Leonforte, Claudio Del Pero and Mohammed M. Gomaa
Sustainability 2025, 17(22), 10216; https://doi.org/10.3390/su172210216 - 14 Nov 2025
Viewed by 761
Abstract
Earth–Air Heat Exchangers (EAHEs) exploit stable subsurface temperatures to pre-condition supply air. To address limitations of conventional systems in hot–arid climates, this study investigates the performance of a hybrid EAHE prototype combining a serpentine subsurface pipe with a buried water tank. Installed in [...] Read more.
Earth–Air Heat Exchangers (EAHEs) exploit stable subsurface temperatures to pre-condition supply air. To address limitations of conventional systems in hot–arid climates, this study investigates the performance of a hybrid EAHE prototype combining a serpentine subsurface pipe with a buried water tank. Installed in a residential building in Lichana, Biskra (Algeria), the system was designed to enhance land compactness, thermal stability, and soil–water heat harvesting. Experimental monitoring was conducted across 13 intervals strategically spanning seasonal transitions and extremes and was complemented by calibrated numerical simulations. From over 30,000 data points, outlet trajectories, thermal efficiency, Coefficient of Performance (COP), and energy savings were assessed against a straight-pipe baseline. Results showed that the hybrid EAHE delivered smoother outlet profiles under moderate gradients while the baseline achieved larger instantaneous ΔT. Thermal efficiencies exceeded 90% during high-gradient episodes and averaged above 70% annually. COP values scaled with the inlet–soil gradient, ranging from 1.5 to 4.0. Cumulative recovered energy reached 80.6 kWh (3.92 kWh/day), while the heat pump electricity referred to a temperature-dependent ASHP totaled 34.59 kWh (1.40 kWh/day). Accounting for the EAHE fan yields a net saving of 25.46 kWh across the campaign, only one interval (5) was net-negative, underscoring the value of bypass/fan shut-off under weak gradients. Overall, the hybrid EAHE emerges as a footprint-efficient option for arid housing, provided operation is dynamically controlled. Future work will focus on controlling logic and soil–moisture interactions to maximize net performance. Full article
(This article belongs to the Special Issue Sustainability and Energy Performance of Buildings)
Show Figures

Figure 1

19 pages, 3377 KB  
Article
Design and Experimental Evaluation of a Controller for a Direct-Expansion Solar-Assisted Heat Pump with Propane
by Sara Isabel de Melo Resende, Hélio Augusto Goulart Diniz, Ralney Nogueira de Faria and Raphael Nunes de Oliveira
Processes 2025, 13(11), 3583; https://doi.org/10.3390/pr13113583 - 6 Nov 2025
Cited by 1 | Viewed by 409
Abstract
Given the growing demand for sustainable energy solutions, this study addresses the challenge of improving the efficiency and environmental performance of residential water heating systems. This work presents the design and implementation of a controller aimed at regulating the outlet water temperature of [...] Read more.
Given the growing demand for sustainable energy solutions, this study addresses the challenge of improving the efficiency and environmental performance of residential water heating systems. This work presents the design and implementation of a controller aimed at regulating the outlet water temperature of a direct-expansion solar-assisted heat pump operating with propane. A dynamic model was experimentally identified using the AutoRegressive with eXogenous input methodology and used to design a Proportional–Integral–Derivative controller via the direct synthesis method. To regulate the outlet water temperature, the controller acts on the water flow rate. The effectiveness of the controller was evaluated through computer simulations and experimental tests. Its robustness was assessed by considering parametric variations of ±15%, during which the system maintained stability and performance. The controller demonstrated good accuracy and performance, keeping the desired temperature stable even in the presence of disturbances, both in simulations and experimental evaluations. Full article
(This article belongs to the Special Issue Process Design and Performance Analysis of Heat Pumps)
Show Figures

Figure 1

Back to TopTop