Sign in to use this feature.

Years

Between: -

Subjects

remove_circle_outline
remove_circle_outline
remove_circle_outline
remove_circle_outline
remove_circle_outline
remove_circle_outline
remove_circle_outline
remove_circle_outline
remove_circle_outline

Journals

remove_circle_outline
remove_circle_outline
remove_circle_outline
remove_circle_outline
remove_circle_outline
remove_circle_outline
remove_circle_outline
remove_circle_outline
remove_circle_outline
remove_circle_outline
remove_circle_outline
remove_circle_outline

Article Types

Countries / Regions

remove_circle_outline
remove_circle_outline
remove_circle_outline
remove_circle_outline

Search Results (1,265)

Search Parameters:
Keywords = removal rate and capacity

Order results
Result details
Results per page
Select all
Export citation of selected articles as:
23 pages, 7879 KB  
Article
Modelling the Behaviour of Pollutant Indicators in Activated Carbon Adsorption of Oil and Textile Effluents
by Samia Rabet, Rachida Chemini, Gerhard Schäfer and Farid Aiouache
Processes 2026, 14(1), 63; https://doi.org/10.3390/pr14010063 - 24 Dec 2025
Abstract
Simulation studies of adsorption in complex effluents are challenging due to nonlinear interactions between sorbents, adsorbates and carrying flows. This study investigates effluents from oil and textile industries, characterised by their heavy metal content and chemical oxygen demand. It examines the process in [...] Read more.
Simulation studies of adsorption in complex effluents are challenging due to nonlinear interactions between sorbents, adsorbates and carrying flows. This study investigates effluents from oil and textile industries, characterised by their heavy metal content and chemical oxygen demand. It examines the process in a continuous-flow laboratory-scale adsorption system. Results were validated using process modelling based on mass and energy conservation, applied to an industrial adsorber. The model described surface sorption mechanisms on bioactivated carbon at the molecular level and predicted breakthrough curve profiles, integrated with Aspen Plus ® adsorption simulation under industrially relevant conditions. Experimental data and model predictions showed good agreement, with relative deviations ranging from 0.2% to 24.6%. Differences in adsorption capacities between oily and textile effluents highlighted the influence of coexisting constituents. At the same time, the varied behaviour of identical components supported the hypothesis of multifactorial effects in complex mixtures. The optimisation study, using Response Surface Methodology with a Central Composite design, evaluated factors such as bed height, feed rate, and adsorption cycle time, achieving enhanced removal efficiencies of 62% for chemical oxygen demand and 25% for suspended solids. Full article
(This article belongs to the Section Environmental and Green Processes)
Show Figures

Figure 1

26 pages, 2711 KB  
Article
Low-Carbon Layout Optimization and Scheme Comparison of LID Facilities in Arid Regions Based on NSGA-III
by Yuchang Shang, Jie Liu, Qiao Chen and Lirong Li
Water 2026, 18(1), 50; https://doi.org/10.3390/w18010050 - 23 Dec 2025
Abstract
In arid regions, rainfall is scarce, summer-concentrated, and prone to extreme events, while evaporation exceeds precipitation, creating fragile ecosystems that need scientific stormwater management for flood resilience. Sponge cities, through the implementation of green infrastructure, can alleviate urban flooding, improve rainwater utilization, and [...] Read more.
In arid regions, rainfall is scarce, summer-concentrated, and prone to extreme events, while evaporation exceeds precipitation, creating fragile ecosystems that need scientific stormwater management for flood resilience. Sponge cities, through the implementation of green infrastructure, can alleviate urban flooding, improve rainwater utilization, and enhance the urban ecological environment. Under the “dual carbon” target, sponge city construction has gained new developmental significance. It must not only ensure core functions and minimize construction costs but also fully leverage its carbon reduction potential, thereby serving as a crucial pathway for promoting urban green and low-carbon development. Therefore, this study focused on Xining, a typical arid city in Northwest China, and couples the Non-dominated Sorting Genetic Algorithm-III (NSGA-III) with the Storm Water Management Model (SWMM) to construct a multi-objective optimization model for Low Impact Development (LID) facilities. The layout optimization design of LID facilities is conducted from three dimensions: life cycle cost (LCC), rainwater utilization rate (K), and carbon emission intensity (CI). Hydrological simulations and scheme optimizations were performed under different design rainfall events. Subsequently, the entropy-weighted TOPSIS method was utilized to evaluate and compare these optimized schemes. It is shown by the results that: (1) The optimized LID schemes achieved a K of 76.2–80.43%, an LCC of 2.413–3.019 billion yuan, and a CI of −2.8 to 0.19 kg/m2; (2) Compared with the no-LID scenario, the optimized scheme significantly enhanced hydrological regulation, flood mitigation, and pollutant removal. Under different rainfall return periods, the annual runoff control rate increased from 64.97% to 80.66–82.23%, with total runoff reduction rates reaching 46.41–49.26% and peak flow reductions of 45–47.62%. Under the rainfall event with a 10-year return period, the total number of waterlogging nodes decreased from 108 to 82, and the number of nodes with a ponding duration exceeding 1 h was reduced by 62.5%. The removal efficiency of total suspended solids (TSS) under the optimized scheme remained stable above 60%. The optimized scheme is highly adaptable to the rainwater management needs of arid areas by prioritizing “infiltration and retention”. Vegetative swales emerge as the primary facility due to their low cost and high carbon sink capacity. This study provides a feasible pathway and decision-making support for the low-carbon layout of LID facilities in arid regions. Full article
10 pages, 241 KB  
Review
Biodegradable (PLGA) Implants in Pediatric Trauma: A Brief Review
by Herman Nudelman, Tibor Molnár and Gergő Józsa
Children 2026, 13(1), 19; https://doi.org/10.3390/children13010019 - 22 Dec 2025
Viewed by 114
Abstract
Background/Objectives: Biodegradable implants have emerged as a promising alternative to traditional metallic fixation devices in pediatric orthopedic surgery. Avoiding implant removal is especially advantageous in children, who would otherwise require a second operation with additional anesthetic and surgical risks. This study reviews the [...] Read more.
Background/Objectives: Biodegradable implants have emerged as a promising alternative to traditional metallic fixation devices in pediatric orthopedic surgery. Avoiding implant removal is especially advantageous in children, who would otherwise require a second operation with additional anesthetic and surgical risks. This study reviews the current use of poly(lactic-co-glycolic acid) (PLGA) implants in pediatric fracture fixation and evaluates how they address limitations associated with traditional hardware. Methods: A narrative review was conducted summarizing current evidence, clinical experience, and case examples involving PLGA-based devices used in pediatric trauma. Special emphasis was placed on the degradation mechanism of PLGA, its controlled hydrolysis profile, and the capacity of the material to provide temporary mechanical stability during bone healing before complete resorption. The review included studies of PLGA use in forearm, distal radius, ankle, and elbow fractures, comparing outcomes to those obtained with metallic implants. Results: Across multiple clinical reports and case series, PLGA implants demonstrated effective fracture healing, stable fixation, and complication rates comparable to traditional metallic devices. Patients treated with resorbable implants benefited from reduced postoperative morbidity, no requirement for implant removal, and improved imaging compatibility. Conclusions: PLGA-based bioabsorbable implants represent a safe and effective alternative to conventional metal fixation in children. Their favorable degradation kinetics and clinical performance support their growing use in pediatric trauma surgery, while ongoing advances in polymer design and bioresorbable alloys continue to expand future applications. Full article
24 pages, 13011 KB  
Article
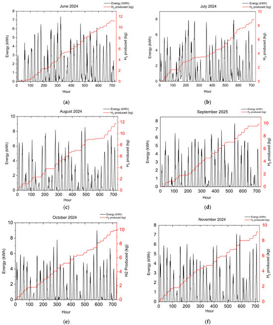
Assessment of Potential for Green Hydrogen Production in a Power-to-Gas Pilot Plant Under Real Conditions in La Guajira, Colombia
by Marlon Cordoba-Ramirez, Marlon Bastidas-Barranco, Dario Serrano-Florez, Leonel Alfredo Noriega De la Cruz and Andres Adolfo Amell Arrieta
Energies 2025, 18(24), 6631; https://doi.org/10.3390/en18246631 - 18 Dec 2025
Viewed by 175
Abstract
This study presents the operational assessment of a pilot-scale power-to-gas (PtG) facility located in La Guajira, Colombia, which integrates a 10 kW photovoltaic array and a 5 kW wind turbine to power a system with two anion exchange membrane (AEM) electrolyzer of 4.8 [...] Read more.
This study presents the operational assessment of a pilot-scale power-to-gas (PtG) facility located in La Guajira, Colombia, which integrates a 10 kW photovoltaic array and a 5 kW wind turbine to power a system with two anion exchange membrane (AEM) electrolyzer of 4.8 kW in total for green hydrogen production. Unlike most studies that rely on simulations or short-term evaluations, this study analyzes nine months of real operating data to quantify renewable energy availability, system capacity factors, and effective hydrogen output under tropical conditions. The results show that the hybrid system generated 7111 kWh during the monitoring period. The comparison of theoretical models with real-time energy production shows a low correlation between the data. The MBE ranged from 1253 to 2988 for the solar system, from −814 to 1013 for the wind system, and from 338 to 2714 for the hybrid system. The RMSE values obtained for each evaluated month ranged from 3179 to 3811 for the solar system, from 928 to 1910 for the wind system, and from 2310 to 4327 for the hybrid system, suggesting that the theoretical models tend to overestimate the energy production of the hybrid system in general terms. From the renewable energy produced in real conditions, 92 kg of hydrogen was produced at an average rate of 9 kg/month, considering the availability of wind and solar resources. However, approximately 300 kWh/month of renewable electricity remained unused because the removable generation did not meet the operating conditions of the electrolyzers, highlighting the importance of improved energy management and storage strategies. These findings provide a real scenario of power-to-gas system performance under Caribbean climatic conditions in Colombia, demonstrate the challenges of resource intermittency and system underutilization, and underline the importance of design systems that allow these intermittencies to be managed for the more optimal production of hydrogen from renewable sources. The outcomes contribute to the understanding of small-scale PtG systems in developing regions and support decision making for future scaling and replication of hybrid renewable–hydrogen infrastructures. Full article
(This article belongs to the Section A5: Hydrogen Energy)
Show Figures

Figure 1

23 pages, 10481 KB  
Article
Synergistic Effect of Aminated Sodium Alginate Composite Material on Selective Adsorption of Sb: Experimental and Density Functional Theory Study
by Lan Yang, Pingshu Wang, Xin Sun, Kai Li, Meijie Ren, Fansong Liu, Fawei Tang, Ping Ning and Yimin Huang
Gels 2025, 11(12), 1019; https://doi.org/10.3390/gels11121019 - 18 Dec 2025
Viewed by 127
Abstract
Pollution by Sb, which is widely used in industry and agriculture, poses serious threats to ecosystems. This study demonstrates, for the first time, that sodium alginate (ALG) modified by polyethyleneimine (PEI) has good adsorption capacity for Sb(III) (the theoretical maximum adsorption capacity was [...] Read more.
Pollution by Sb, which is widely used in industry and agriculture, poses serious threats to ecosystems. This study demonstrates, for the first time, that sodium alginate (ALG) modified by polyethyleneimine (PEI) has good adsorption capacity for Sb(III) (the theoretical maximum adsorption capacity was 978 mg/g, and the actual maximum adsorption capacity was 743 mg/g) and can retain 90–98% of the initial removal rate after eight cycles of reuse. The inorganic ions and humic acid in Sb(III)-containing wastewater do not affect the adsorption capacity of PEI/ALG within a certain pH range. However, it was also found that the adsorption was interfered with by Sb(III) precipitation, phosphate ions, and some coexisting cations/metalloids such as Ni, Cd, Pb, and As under higher pH conditions, and the recovery rate of antimony in the desorption process needs to be further improved. Density functional theory calculations reveal that the -OH, -COOH, -NH2, -NH-, and -N= in PEI/ALG show strong binding with Sb (−56.85, −28.39, −17.98, −25.76, and −17.98 kcal/mol, respectively), enabling these functional groups to easily form stable composite structures with Sb(III). This characteristic enables PEI/ALG to selectively adsorb Sb(III) under certain conditions. Combining these findings with the characterization analysis results indicates that the mechanism of PEI/ALG adsorption of Sb(III) is mainly the formation of H bonds and coordination between -OH, -COOH, and Sb(III). The selective adsorption mechanism of PEI/ALG for Sb(III) has not been investigated previously, and our research results indicate the high potential of this approach. Full article
(This article belongs to the Section Gel Applications)
Show Figures

Graphical abstract

16 pages, 1410 KB  
Article
The Effect of Organic Loading and Mode of Operation in a Sequencing Batch Reactor Producing PHAs from a Medium Corresponding to Condensate from Food Waste Drying
by Konstantina Filippou, Konstantina Diamantopoulou, Melisa Gatzia, Ioanna Ntaikou, Konstantina Papadopoulou and Gerasimos Lyberatos
Polymers 2025, 17(24), 3270; https://doi.org/10.3390/polym17243270 - 9 Dec 2025
Viewed by 521
Abstract
This study evaluated polyhydroxyalkanoates (PHAs) production from a medium corresponding to the condensate derived from food waste drying, using a mixed microbial culture in a 15 L Sequencing Batch Reactor (SBR). The reactor operation comprised two distinct periods to investigate the impact of [...] Read more.
This study evaluated polyhydroxyalkanoates (PHAs) production from a medium corresponding to the condensate derived from food waste drying, using a mixed microbial culture in a 15 L Sequencing Batch Reactor (SBR). The reactor operation comprised two distinct periods to investigate the impact of varying organic loading rates on biomass performance and polymer accumulation. In Period 1, when the soluble Chemical Oxygen Demand (sCOD) was 6.8 ± 1.4 g/L, efficient nitrogen limitation promoted complete urea consumption and stable biomass growth, yielding higher intracellular PHA accumulation (11.74 ± 6.01%). The microbial community exhibited a balanced copolymer production (HB:HV ratio of approximately 54:46). Conversely, Period 2, characterized by higher organic loads (sCOD 12.1 ± 2.9 g/L), displayed incomplete urea utilization, reduced biomass viability, and significantly lower PHA accumulation (5.26 ± 2.53%). A second set of experiments aiming at the assessment of the impact of operation mode (with and without inclusion of a settling phase) demonstrated that removal of settling leads to a stable long-term steady-state operation with enriched PHA-accumulating bacteria and increased polymer storage capacity. Full article
Show Figures

Graphical abstract

19 pages, 4104 KB  
Article
Valorization of Silicon-Rich Solid Waste into Highly Active Silicate Adsorbents for Heavy Metal Removal
by Shaojun Jiang, Xurong Huang, Huayi Chen, Jiahe Miao, Xinsheng Xiao, Yueying Zhuo, Xiang Li and Yong Chen
Toxics 2025, 13(12), 1062; https://doi.org/10.3390/toxics13121062 - 9 Dec 2025
Viewed by 367
Abstract
Waste stone powder is a major solid waste byproduct of stone operations. This study developed a novel “alkali activation-calcination” process that efficiently converts waste stone powder into high-value-added silicon-based materials (SSM). This study elucidated the morphological evolution of silicon during the conversion process [...] Read more.
Waste stone powder is a major solid waste byproduct of stone operations. This study developed a novel “alkali activation-calcination” process that efficiently converts waste stone powder into high-value-added silicon-based materials (SSM). This study elucidated the morphological evolution of silicon during the conversion process and revealed the formation mechanism of active silicon. Through further integration of batch adsorption experiments and multi-technique characterization analysis, the immobilization efficacy of this material for heavy metals cadmium/lead was elucidated, revealing both direct and indirect interfacial reaction mechanisms. The results demonstrate that in-creasing the calcination temperature, alkali activator concentration, and calcination duration enhances the reactive silica content in SSM. NaOH as activator, the calcination process significantly reduces both the thermal decomposition temperature of raw materials and the initial temperature required for silicon conversion. Under optimized conditions (WG:MD:activator = 1:0.8:0.32, temperature = 800 °C, time = 1 h), the reactive silica content reached 24.30%. The generation rate of reactive silica is governed by the combined effects of interfacial chemical reactions and solid-phase product layer diffusion. Under idealized laboratory conditions, the maximum adsorption capacities (Qm) of SSM were determined to be 57.40 mg/g for cadmium and 496 mg/g for lead, which are significantly higher than those of many other adsorbents. Continuous desorption experiments and characterization analyses confirm that Cd and Pb adsorption by SSM is primarily driven by electro-static interactions, complexation, precipitation, and coordination, while ion ex-change plays a secondary role. Highly reactive silica facilitates interactions between Cd/Pb and oxygen-containing functional groups (e.g., -OH, ≡Si-OH, Si-O-Si), promoting precipitate formation for effective heavy metal removal. This work offers theoretical guidance for valorizing silica-rich waste rock powder. It is important to note, however, that while the adsorption capacity of SSM is encouraging, its practical implementation requires resolving key issues identified during the lab-to-application transition. Full article
(This article belongs to the Section Toxicity Reduction and Environmental Remediation)
Show Figures

Graphical abstract

17 pages, 3015 KB  
Article
Surface-Anchored Zirconium Phosphate via Polydopamine Coating on Ion-Exchange Resin for Rapid, High-Capacity Cs+ Capture
by Yu Gao, Xu Zhao, Yilin Xie, Shiyu Yan, Lichun Xiao, Kairong Ding, Jing Cai and Qina Sun
Coatings 2025, 15(12), 1430; https://doi.org/10.3390/coatings15121430 - 5 Dec 2025
Viewed by 305
Abstract
In this study, a novel hybrid adsorbent polydopamine-based nano-zirconium phosphate coated resin (DPZrP) was successfully synthesized, where zirconium phosphate (ZrP) was surface-anchored onto a polystyrene ion-exchange resin (D001) via polydopamine (PDA) mediation. Characterization results indicated that PDA, acting as an interfacial bridge, not [...] Read more.
In this study, a novel hybrid adsorbent polydopamine-based nano-zirconium phosphate coated resin (DPZrP) was successfully synthesized, where zirconium phosphate (ZrP) was surface-anchored onto a polystyrene ion-exchange resin (D001) via polydopamine (PDA) mediation. Characterization results indicated that PDA, acting as an interfacial bridge, not only achieved the stable loading of ZrP but also exerted a spatial confinement effect on ZrP through its polymeric cross-linked structure, thereby effectively suppressing the agglomeration of nanoparticles. Compared with pristine D001 and pure ZrP, the hybrid material DPZrP exhibited superior adsorption performance for Cs+. The adsorption capacity of DPZrP for Cs+ reached a theoretical maximum of 921.99 mg/g at 333 K. Adsorption kinetic studies indicated that adsorption equilibrium was reached within 120 min, and the reaction rate constant was 1.55 times that of DZrP. The pH effect experiment showed that DPZrP maintained Cs+ removal rates of 73.4% and 58.1% under strongly acidic (pH = 2) and strongly alkaline (pH = 12) conditions, respectively. When the molar ratio of Ca2+ to Cs+ was as high as 64, the Cs+ removal rate of DPZrP was 19.3% and 30.4% higher than those of DZrP and D001, respectively. Dynamic column experiments revealed that after treating 2000 bed volumes of simulated wastewater ([Cs+]0 = 2.5 mg/L), the Cs+ concentration in the effluent remained below 0.5 μg/L, with breakthrough occurring at 3000 BV. After five consecutive adsorption–desorption cycles, the Cs+ removal rate of DPZrP remained at 88.4%. These studies confirmed the dispersion effect of PDA on ZrP, and the synthesized DPZrP possessed both rapid capture ability and high adsorption capacity for Cs+. Thus, it provides an efficient adsorbent for the safe purification of nuclear waste liquids. Full article
Show Figures

Figure 1

23 pages, 4646 KB  
Article
Synthesis and Application of Thiourea–Poly(Acrylic Acid)–Formaldehyde Composites for Removal of Crystal Violet Dye
by Adel Elamri, Khmais Zdiri, Kamila Bourkaib, Mahjoub Jabli, Adnane Labed, Sophie Bistac and Omar Anis Harzallah
Materials 2025, 18(23), 5462; https://doi.org/10.3390/ma18235462 - 4 Dec 2025
Viewed by 359
Abstract
Textile dye effluents, particularly cationic dyes, pose a major environmental challenge, demanding efficient and sustainable adsorbent materials to remove harmful synthetic dyes. In this study, a reference thiourea–formaldehyde (TU/FA) composite and a series of thiourea–poly(acrylic acid)–formaldehyde (TU/PAA/FA) composites were synthesized and systematically characterized. [...] Read more.
Textile dye effluents, particularly cationic dyes, pose a major environmental challenge, demanding efficient and sustainable adsorbent materials to remove harmful synthetic dyes. In this study, a reference thiourea–formaldehyde (TU/FA) composite and a series of thiourea–poly(acrylic acid)–formaldehyde (TU/PAA/FA) composites were synthesized and systematically characterized. The composites were prepared by varying the volume of poly(acrylic acid) PAA (from 1 to 7.5 mL) to assess how PAA incorporation influences morphology, crystallinity, surface chemistry, charge, and thermal stability. Analytical techniques including SEM, XRD, FT-IR, particle size distribution, zeta potential, and TGA/DTG revealed that increasing PAA content induced more porous and amorphous microstructures, intensified carbonyl absorption, reduced particle size (optimal at 2.5–5 mL PAA), and shifted the zeta potential from near-neutral to highly negative values (−37 to −41 mV). From TU/PAA/FA composite analysis, it was depicted that the TU/PAA-5/FA material has the better characteristics as a potential cationic dye absorbent. Thus, the adsorption performance of this composite toward crystal violet dye was subsequently investigated and compared to the reference material thiourea–formaldehyde (TU/FA). The TU/PAA-5/FA material exhibited the highest capacity (145 mg/g), nearly twice that of TU/FA (74 mg/g), due to the higher density of carboxylic groups facilitating electrostatic attraction. Adsorption was pH-dependent, maximized at pH 6, and decreased with temperature, confirming an exothermic process. Kinetic data followed a pseudo-second-order model (R2 = 0.99), implying chemisorption as the rate-limiting step, while Langmuir isotherms (R2 > 0.97) indicated monolayer adsorption. Thermodynamic analysis (ΔH° < 0, ΔS° < 0, ΔG° > 0) further supported an exothermic, non-spontaneous mechanism. Overall, the TU/PAA-5/FA composite combines enhanced structural stability with high adsorption efficiency, highlighting its potential as a promising, low-cost material for the removal of cationic dyes from textile effluents. Full article
Show Figures

Figure 1

20 pages, 7797 KB  
Article
Optimization of Triazine Desulfurization Injection Rate and Injection Process for the Xiangguosi Underground Gas Storage
by De Tang, Guicheng Yu, Ying Yang, Shuang Yang, Qian Huang, Yuan Tian, Hongyi Liang, Huirong Huang and Xueyuan Long
Processes 2025, 13(12), 3910; https://doi.org/10.3390/pr13123910 - 3 Dec 2025
Viewed by 333
Abstract
Triazine solvent desulfurization is a highly efficient technology for removing hydrogen sulfide from natural gas. In this study, we used ASPEN HYSYS V11 with the Peng-Robinson (PR) equation to investigate the triazine consumption under different natural gas flow rates and hydrogen sulfide concentrations, [...] Read more.
Triazine solvent desulfurization is a highly efficient technology for removing hydrogen sulfide from natural gas. In this study, we used ASPEN HYSYS V11 with the Peng-Robinson (PR) equation to investigate the triazine consumption under different natural gas flow rates and hydrogen sulfide concentrations, as well as the sulfur capacity resulting from the reaction between triazine and H2S at varying solution concentrations. Additionally, CFD simulations were employed to optimize the injection process of the triazine solvent by examining four key factors: gas flow velocity, injection volume, injection angle, and injection method. The results indicate that the required triazine dosage follows an exponential model, with a margin of error within 10%. A triazine mass fraction between 0.4 and 0.6 was found to be optimal. Among the factors studied, gas flow velocity has the most significant influence on desulfurization efficiency, while the injection rate plays a secondary role. An injection angle of 45° proved most effective, and the use of dual vertical symmetric nozzles achieved more uniform mixing between the natural gas and triazine solvent. Full article
(This article belongs to the Section Chemical Processes and Systems)
Show Figures

Figure 1

21 pages, 3538 KB  
Article
Research on the Combined Treatment of Composite Organic-Contaminated Soil Using Diversion-Type Ultra-High-Temperature Pyrolysis and Chemical Oxidation
by Shuyuan Xing, Xianglong Duan and Minquan Feng
Sustainability 2025, 17(23), 10807; https://doi.org/10.3390/su172310807 - 2 Dec 2025
Viewed by 237
Abstract
Remediating complex-contaminated soils demands the synergistic optimization of efficiency, cost-effectiveness, and carbon emission reduction. Currently, ultra-high-temperature thermal desorption technology is mature in terms of principle and laboratory-scale performance; however, ongoing efforts are focusing on achieving stable, efficient, controllable, and cost-optimized operation in large-scale [...] Read more.
Remediating complex-contaminated soils demands the synergistic optimization of efficiency, cost-effectiveness, and carbon emission reduction. Currently, ultra-high-temperature thermal desorption technology is mature in terms of principle and laboratory-scale performance; however, ongoing efforts are focusing on achieving stable, efficient, controllable, and cost-optimized operation in large-scale engineering applications. To address this gap, this study aimed to (1) verify the energy efficiency and economic benefits of removing over 98% of target pollutants at a 7.5 × 104 m3 contaminated site and (2) elucidate the mechanisms underlying parallel scale–technology dual-factor cost reduction and energy–carbon–cost optimization, thereby accumulating case experience and data support for large-scale engineering deployment. To achieve these objectives, a “thermal stability–chemical oxidizability” classification criterion was developed to guide a parallel remediation strategy, integrating ex situ ultra-high-temperature thermal desorption (1000 °C) with persulfate-based chemical oxidation. This strategy was implemented at a 7.5 × 104 m3 large-scale site, delivering robust performance: the total petroleum hydrocarbon (TPH) and pentachlorophenol (PCP) removal efficiencies exceeded 99%, with a median removal rate of 98% for polycyclic aromatic hydrocarbons (PAHs). It also provided a critical operational example of a large-scale engineering application, demonstrating a daily treatment capacity of 987 m3, a unit remediation cost of 800 CNY·m−3, and energy consumption of 820 kWh·m−3, outperforming established benchmarks reported in the literature. A net reduction of 2.9 kilotonnes of CO2 equivalent (kt CO2e) in greenhouse gas emissions was achieved, which could be further enhanced with an additional 8.8 kt CO2e by integrating a hybrid renewable energy system (70% photovoltaic–molten salt thermal storage + 30% green power). In summary, this study establishes a “high-temperature–parallel oxidation–low-carbon energy” framework for the rapid remediation of large-scale multi-contaminant sites, proposes a feasible pathway toward developing a soil carbon credit mechanism, and fills a critical gap between laboratory-scale success and large-scale engineering applications of ultra-high-temperature remediation technologies. Full article
Show Figures

Figure 1

14 pages, 828 KB  
Article
Rates of Spawning and Mortality Using Contrasting Methods for Culling Pacific Crown-of-Thorns Starfish, Acanthaster cf. solaris
by Morgan S. Pratchett, Ciemon F. Caballes, Leighton T. Levering, Deborah Burn, Josie F. Chandler, Alec S. Leitman and Peter C. Doll
Biology 2025, 14(12), 1720; https://doi.org/10.3390/biology14121720 - 1 Dec 2025
Viewed by 457
Abstract
Timely, concerted, and persistent culling (or manual removal) is required to effectively manage population irruptions of crown-of-thorns starfish (CoTS; Acanthaster spp.). However, there are concerns that handling and culling gravid starfish may induce spawning. This study explicitly tested the frequency and timing of [...] Read more.
Timely, concerted, and persistent culling (or manual removal) is required to effectively manage population irruptions of crown-of-thorns starfish (CoTS; Acanthaster spp.). However, there are concerns that handling and culling gravid starfish may induce spawning. This study explicitly tested the frequency and timing of spawning for Pacific CoTS (Acanthaster cf. solaris) injected with either bile salts (10 mL of 8 g·L−1 Bile Salts No. 3) or vinegar (20 mL of 4% acetic acid, with 10 mL injected into each of two non-adjacent arms), up to 48 h after treatment, while also considering three distinct experimental controls (handling controls, injection controls, and spawning controls). This study showed that male CoTS often spawn within 24 h after different culling treatments. However, the incidence of spawning by male starfish injected with vinegar (70%) was nearly twice that of male starfish injected with bile salts (36.4%). In contrast, there were no instances of spawning by female CoTS following handling or injections of bile salts and vinegar. Variation in the incidence of spawning between culling treatments is largely attributable to differences in the rate of mortality, whereby CoTS injected with bile salts (n = 23) consistently died within 24 h and therefore had limited opportunity to spawn. Meanwhile, CoTS injected with vinegar generally died >24 h post-treatment, and many had not died even after 48 h. This suggests that, where available, bile salts (rather than vinegar) should be used when culling Acanthaster cf. solaris, especially during reproductive periods. However, sustained culling effort is still the most direct and effective way to suppress the local densities and reproductive capacity of CoTS. Full article
(This article belongs to the Section Marine and Freshwater Biology)
Show Figures

Graphical abstract

10 pages, 419 KB  
Article
Personalized Approaches to Diagnostic and Therapeutic Strategies in Periprosthetic Fracture-Related Infections (PFRIs): Case Series and Literature Review
by Marianna Faggiani, Marco Zugnoni, Matteo Olivero, Salvatore Risitano, Giuseppe Malizia, Silvia Scabini, Marcello Capella, Stefano Artiaco, Simone Sanfilippo and Alessandro Massè
J. Pers. Med. 2025, 15(12), 576; https://doi.org/10.3390/jpm15120576 - 28 Nov 2025
Viewed by 198
Abstract
Aim: Periprosthetic fracture-related infections (PFRIs) are a serious complication of total arthroplasty, with incidence rates increasing in line with the growing number of joint replacements. PFRI can lead to prolonged hospitalization, multiple surgical procedures and suboptimal functional outcomes. The diagnosis of PFRI [...] Read more.
Aim: Periprosthetic fracture-related infections (PFRIs) are a serious complication of total arthroplasty, with incidence rates increasing in line with the growing number of joint replacements. PFRI can lead to prolonged hospitalization, multiple surgical procedures and suboptimal functional outcomes. The diagnosis of PFRI remains challenging due to the overlap of clinical symptoms with other post-traumatic conditions, and identification of the pathogen often fails through conventional methods. This study also highlights the importance of a personalized medicine approach in managing PFRI, where diagnostic and therapeutic decisions are tailored to the individual patient’s comorbidities, immune status and bone healing capacity. By integrating clinical, microbiological and imaging data, our findings support precision-based strategies to optimize outcomes and minimize complication. Methods: This retrospective case series was conducted at the Unit of Osteoarticular Infection of the University of Turin, Italy, from January 2018 to December 2023. Patients who developed septic complications after open reduction and internal fixation (ORIF) of periprosthetic fractures involving hip or knee implants were included. The infection was diagnosed in accordance with established guidelines, and treatment decisions were based on clinical, microbiological and radiological findings. Results: In the present study, periprosthetic fractures complicated by infections were identified in nine patients (5.4%), constituting a small but significant subset of cases. The cases were then categorized into four clinical scenarios based on the following variables: joint involvement, fracture healing and infection progression. Scenario A, involving fractures without prosthetic involvement and unhealed fractures, included three patients (33%) and was treated with debridement and change of the fixation device. Scenario B, involving fractures without prosthetic involvement but with healed fractures, involved one patient (11%), where the ongoing infection was confirmed despite the healed fracture and where the device could be removed. The third scenario (C), which pertains to cases involving prosthetic involvement, included three patients (33%) who required replacement or removal of the prosthesis and, in some cases, a second stage. The fourth scenario, involving patients with limited operability, included two patients (22%) for whom no surgery was performed. Despite the significant clinical challenges encountered, the paucity of literature on the management of periprosthetic fractures with septic complications is limited, highlighting the need for further research in this understudied area. Conclusions: PFRI remains a challenging complication that necessitates a multidisciplinary approach to diagnosis and treatment. Despite advances in imaging and microbiological testing, the early detection and identification of pathogens remain challenging, emphasizing the necessity for enhanced diagnostic methods. This study offers valuable insights into the management of PFRI and provides a foundation for future research to develop optimal diagnostic and therapeutic strategies. Full article
(This article belongs to the Section Diagnostics in Personalized Medicine)
Show Figures

Figure 1

12 pages, 1736 KB  
Communication
Valorization of Steelmaking Slag for Circular Economy Applications: Adsorptive Removal and Recovery of Ni(II) and Cu(II) from Aqueous Systems
by Bruno Kostura, Vlastimil Matějka, Michal Ritz, Tomáš Sabovčík and Jozef Vlček
Technologies 2025, 13(12), 552; https://doi.org/10.3390/technologies13120552 - 27 Nov 2025
Viewed by 234
Abstract
The transition toward a circular economy requires innovative strategies for valorizing industrial by-products. This study investigates the potential of steelmaking furnace slag (SFS) as a low-cost adsorbent for the removal and recovery of nickel and copper ions from aqueous systems. The slag was [...] Read more.
The transition toward a circular economy requires innovative strategies for valorizing industrial by-products. This study investigates the potential of steelmaking furnace slag (SFS) as a low-cost adsorbent for the removal and recovery of nickel and copper ions from aqueous systems. The slag was characterized using XRF, XRD, SEM, FTIR, and thermal analyses, confirming the presence of reactive phases such as lime, periclase, and calcium silicates. Batch adsorption experiments revealed high sorption capacities (up to 147 mg·g−1) and were best described by the Langmuir isotherm and pseudo-second-order kinetic model, indicating chemisorption as the rate-limiting step. FTIR and SEM analyses demonstrated the formation of nickel and copper hydroxide/oxide phases, confirming surface precipitation mechanisms. Subsequent thermal treatment produced NiO- and CuO-enriched oxide systems with photocatalytic and antibacterial potential, while hydrometallurgical recovery using ammonia solutions achieved desorption efficiencies of 90–97%. The results highlight the dual role of SFS as an efficient sorbent for wastewater pre-treatment and as a secondary source of valuable metals, contributing to sustainable materials management and circular economy goals. Full article
(This article belongs to the Section Environmental Technology)
Show Figures

Figure 1

36 pages, 6851 KB  
Article
Performance Prediction of a Vertical Downward Supply Direct Expansion Cooling System for Large Spaces Through Field Experiments
by Tong Un Min and Young Il Kim
Energies 2025, 18(23), 6160; https://doi.org/10.3390/en18236160 - 24 Nov 2025
Viewed by 261
Abstract
Performance prediction of an air-cooled direct expansion (DX) vertical downward-supply cooling system applied to large spaces is a key element for achieving efficient control and energy savings. Recent studies have predominantly relied on complex artificial intelligence (AI)-based or high-dimensional models that require a [...] Read more.
Performance prediction of an air-cooled direct expansion (DX) vertical downward-supply cooling system applied to large spaces is a key element for achieving efficient control and energy savings. Recent studies have predominantly relied on complex artificial intelligence (AI)-based or high-dimensional models that require a large number of input variables to achieve high predictive accuracy. In contrast, limited research has focused on developing simple, interpretable, and practically applicable models based on field-measured data. To address this gap, the present study proposes a physically grounded multiple linear regression model with a minimal number of variables, which can be implemented in practice using only three standard sensors: indoor air temperature, outdoor air temperature, and airflow rate. Field data were refined through physical criteria derived from ASHRAE standards (steady-state operation and removal of outliers) and by identifying steady-state ranges using the Kernel Density Estimation (KDE) method. A total of 133,718 valid samples were used for analysis. The proposed model achieved a coefficient of determination (R2) of 0.93, a root mean square error (RMSE) of 2.86 kW, and mean absolute error (MAE) of 2.31 kW, corresponding to approximately ±6% deviation from measured cooling capacity. These results satisfy the typical accuracy criteria in the HVAC field (R2 > 0.9, error < 10%) and confirm high predictive reliability despite the model’s simplicity. The achieved accuracy implies that the proposed model can be extended to field-level performance prediction and energy-efficient operation. Comparison with second-order polynomial and nonlinear (1/Tout) models showed only marginal improvement in accuracy. Consequently, the proposed three-variable regression model introduces a practical framework for performance prediction and control of DX-type cooling systems that integrates simplicity, physical interpretability, and field applicability. Full article
(This article belongs to the Section G: Energy and Buildings)
Show Figures

Figure 1

Back to TopTop