Sign in to use this feature.

Years

Between: -

Subjects

remove_circle_outline
remove_circle_outline
remove_circle_outline
remove_circle_outline
remove_circle_outline
remove_circle_outline
remove_circle_outline
remove_circle_outline
remove_circle_outline

Journals

remove_circle_outline
remove_circle_outline
remove_circle_outline
remove_circle_outline
remove_circle_outline
remove_circle_outline

Article Types

Countries / Regions

remove_circle_outline
remove_circle_outline
remove_circle_outline
remove_circle_outline
remove_circle_outline
remove_circle_outline

Search Results (529)

Search Parameters:
Keywords = refurbished

Order results
Result details
Results per page
Select all
Export citation of selected articles as:
26 pages, 3873 KB  
Article
Integrating Eco-Design Strategies in the Energy Retrofitting of Mid-20th Century Heritage Buildings: The Case of Antonio Rueda’s Housing Complex
by Elena Bernardini, Pablo Luis Palmero-Sánchez, Carla De-Juan-Ripoll and Pilar Rodrigo-Catalán
Appl. Sci. 2026, 16(2), 564; https://doi.org/10.3390/app16020564 - 6 Jan 2026
Viewed by 132
Abstract
This study investigates the integration of eco-design strategies in the energy renovation of mid-20th century heritage buildings, using the Antonio Rueda Residential Complex in Valencia (Spain) as a representative case study. The research addresses the reconciliation between heritage conservation and contemporary environmental objectives [...] Read more.
This study investigates the integration of eco-design strategies in the energy renovation of mid-20th century heritage buildings, using the Antonio Rueda Residential Complex in Valencia (Spain) as a representative case study. The research addresses the reconciliation between heritage conservation and contemporary environmental objectives by evaluating the building in terms of its construction and current performance. The multidisciplinary working methodology consists of creating a BIM-based workflow (Revit + Autodesk Insight) to generate an analytical energy model, quantify Operational Carbon, and evaluate the impact of lighting inside the homes to simulate the impacts of the intervention strategies. This is justified as existing buildings are energy intensive and heavily dependent on fossil fuels, largely due to insufficient façade insulation, obsolete window systems, and limited solar protection. Nine refurbishment scenarios were developed, ranging from reversible improvements to the building envelope to volumetric extensions inspired by the principles of eco-design and circularity. Comparative simulations suggest that specific improvements could significantly reduce energy demand while remaining compatible with the architectural identity of the complex. Full article
(This article belongs to the Special Issue Heritage Buildings: Latest Advances and Prospects)
Show Figures

Figure 1

48 pages, 4345 KB  
Article
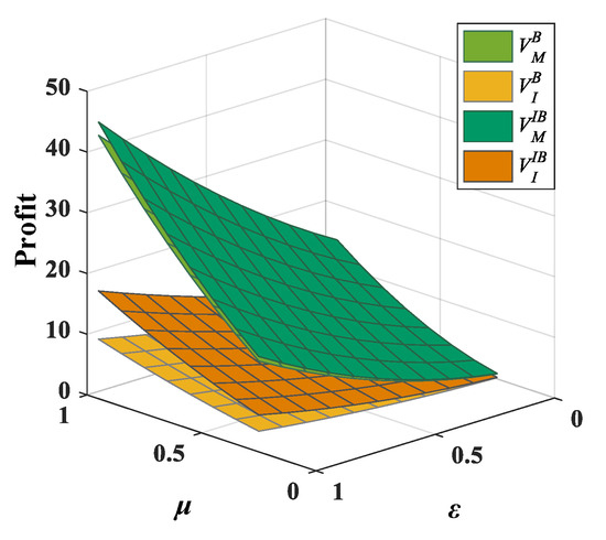
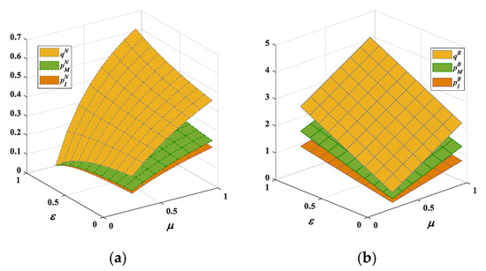
Sword or Futility? Blockchain-Based Competition in Refurbished Market Considering Consumer Reference Behaviors
by Deqing Ma, Haoyu Yin, Jinsong Hu and Wei Li
Sustainability 2026, 18(1), 472; https://doi.org/10.3390/su18010472 - 2 Jan 2026
Viewed by 217
Abstract
In addition to competition from independent refurbishers, consumer distrust of refurbished product quality is a major bottleneck for brand manufacturers when selling refurbished products. This paper focuses on a duopoly competition consisting of a brand manufacturer and an independent refurbisher. Considering the direct [...] Read more.
In addition to competition from independent refurbishers, consumer distrust of refurbished product quality is a major bottleneck for brand manufacturers when selling refurbished products. This paper focuses on a duopoly competition consisting of a brand manufacturer and an independent refurbisher. Considering the direct and indirect reference quality effects triggered by consumers’ reference quality behavior in such an environment and their interaction with consumers’ prevalent reference price behavior, this paper explores the effectiveness of manufacturers’ responses to quality disclosure using blockchain and its impact on the competition in the refurbished market. The results show that when the market competitiveness increased by blockchain is high enough, it increases competition in the quality dimension by facilitating the brand manufacturer to improve the quality of the original product but reduces competition in the price dimension through the brand premium effect. When the degree of refurbishment by the brand manufacturer is high and the direct reference quality effect is large, the implementation of the blockchain manifests itself as an advertising effect that expands the market size but fails to combat the independent refurbisher. Conversely, when the brand manufacturer has a low degree of refurbishment and the direct reference quality effect is dominant, the adoption of blockchain can be used as a competitive tool for the brand manufacturer to combat the independent refurbisher in the refurbishment market. For consumers, the application of blockchain may not necessarily result in a more cost-effective refurbished product. Furthermore, whether consumer surplus and social welfare can be improved after the implementation of blockchain depends on the degree of refurbishment by the brand manufacturer and the reference quality effect. Full article
Show Figures

Figure 1

47 pages, 17677 KB  
Article
Timing Circular Regeneration with Adaptive Reuse Potential: A Century of Transformations at the Renoma Department Store, Wroclaw
by Elżbieta Komarzyńska-Świeściak, Krystyna Kirschke and Paweł Kirschke
Sustainability 2025, 17(24), 11276; https://doi.org/10.3390/su172411276 - 16 Dec 2025
Viewed by 401
Abstract
Historic department stores are an underexamined lever for circular, low-carbon urban transition. This study tests whether Langston’s Adaptive Reuse Potential (ARP) can be applied retrospectively and how contextual readiness shapes the timing of interventions. Using the Renoma Department Store in Wroclaw, Poland (1930–2025), [...] Read more.
Historic department stores are an underexamined lever for circular, low-carbon urban transition. This study tests whether Langston’s Adaptive Reuse Potential (ARP) can be applied retrospectively and how contextual readiness shapes the timing of interventions. Using the Renoma Department Store in Wroclaw, Poland (1930–2025), we reconstruct five adaptive phases and combine expert scoring of seven obsolescence dimensions (O1–O7) with a Readiness index covering finance, governance/approvals, use commitment, delivery/supply chain, and policy priority. Decision windows are interpreted via a WAIT–PREPARE–GO lens. Results show that peaks in ARP and Readiness aligned with major reinvestments—post-war reconstruction, socialist modernisation, and post-EU-accession renewal—while the original steel frame retained high structural reserves, indicating that timing was driven more by institutional and economic conditions than by technical decay. We propose ARP as an interpretive lens for circular regeneration and show that the Readiness index clarifies feasibility and risk. The combined ARP × Readiness approach yields a replicable, phase-sensitive diagnosis of adaptive capacity and intervention timing, contributing evidence to circular city practice and aligning with New European Bauhaus principles of sustainability, inclusion, and quality of place. Full article
(This article belongs to the Special Issue Circular Economy and Circular City for Sustainable Development)
Show Figures

Figure 1

29 pages, 6525 KB  
Review
Issues Related to Water Hammer in Francis-Turbine Hydropower Schemes: A Review
by Anton Bergant, Jernej Mazij, Jošt Pekolj and Kamil Urbanowicz
Energies 2025, 18(24), 6404; https://doi.org/10.3390/en18246404 - 8 Dec 2025
Viewed by 387
Abstract
This paper reviews key parameters which may cause unacceptable water hammer loads in Francis-turbine hydropower schemes. Water hammer control strategies are presented for this context including operational scenarios (closing and opening laws), surge control devices, redesign of the pipeline components, or limitation of [...] Read more.
This paper reviews key parameters which may cause unacceptable water hammer loads in Francis-turbine hydropower schemes. Water hammer control strategies are presented for this context including operational scenarios (closing and opening laws), surge control devices, redesign of the pipeline components, or limitation of operating conditions. Theoretical water hammer models and solutions are outlined and discussed. Case studies include simple and complex new and refurbished hydropower systems including headrace and tailrace tunnels, surge tanks of various designs, and different penstock layouts. The case studies in this paper cover the application of both commercial and in-house software packages for hydraulic transient analysis. Two-stage guide vane closing law, increased unit inertia and surge tank(s) are used in the cases considered to keep the water hammer within the prescribed limits. Typical values for the maximum pressure head at the turbine inlet and the maximum unit speed rise during normal transient regimes were in the range of 10 to 35% of the maximum gross head and 35 to 50% above the nominal speed, respectively. The agreement between computational results using both software packages, and field test results is well within the limits of ±5% accepted in hydropower engineering practice. Full article
Show Figures

Figure 1

23 pages, 2741 KB  
Article
Subjective Evaluation of Operator Responses for Mobile Defect Identification in Remanufacturing: Application of NLP and Disagreement Tagging
by Abbirah Ahmed, Reenu Mohandas, Arash Joorabchi and Martin J. Hayes
Big Data Cogn. Comput. 2025, 9(12), 312; https://doi.org/10.3390/bdcc9120312 - 4 Dec 2025
Viewed by 384
Abstract
In the context of remanufacturing, particularly mobile device refurbishing, effective operator training is crucial for accurate defect identification and process inspection efficiency. This study examines the application of Natural Language Processing (NLP) techniques to evaluate operator expertise based on subjective textual responses gathered [...] Read more.
In the context of remanufacturing, particularly mobile device refurbishing, effective operator training is crucial for accurate defect identification and process inspection efficiency. This study examines the application of Natural Language Processing (NLP) techniques to evaluate operator expertise based on subjective textual responses gathered during a defect analysis task. Operators were asked to describe screen defects using open-ended questions, and their responses were compared with expert responses to evaluate their accuracy and consistency. We employed four NLP models, including finetuned Sentence-BERT (SBERT), pre-trained SBERT, Word2Vec, and Dice similarity, to determine their effectiveness in interpreting short, domain-specific text. A novel disagreement tagging framework was introduced to supplement traditional similarity metrics with explainable insights. This framework identifies the root causes of model–human misalignment across four categories: defect type, severity, terminology, and location. Results show that a finetuned SBERT model significantly outperforms other models by achieving Pearsons’s correlation of 0.93 with MAE and RMSE scores of 0.07 and 0.12, respectively, providing more accurate and context-aware evaluations. In contrast, other models exhibit limitations in semantic understanding and consistency. The results highlight the importance of finetuning NLP models for domain-specific applications and demonstrate how qualitative tagging methods can enhance interpretability and model debugging. This combined approach indicates a scalable and transparent methodology for the evaluation of operator responses, supporting the development of more effective training programmes in industrial settings where remanufacturing and sustainability generally are a key performance metric. Full article
(This article belongs to the Special Issue Artificial Intelligence (AI) and Natural Language Processing (NLP))
Show Figures

Figure 1

15 pages, 3479 KB  
Article
Effect of Nd:YAG Nanosecond Laser Ablation on the Microstructure and Surface Properties of Coated Hardmetals
by G. A. Leal, C. M. Moreno, R. C. Hernández, E. Mejía-Ospino and L. C. Ardila
Coatings 2025, 15(12), 1413; https://doi.org/10.3390/coatings15121413 - 2 Dec 2025
Viewed by 441
Abstract
Nanosecond-pulsed Nd:YAG laser ablation was investigated as a method for removing Al Ti-based hard coatings deposited on WC–Co hardmetal inserts. Systematic variation in laser parameters identified conditions for complete coating removal while preserving substrate integrity. The laser was operated at 532 nm, under [...] Read more.
Nanosecond-pulsed Nd:YAG laser ablation was investigated as a method for removing Al Ti-based hard coatings deposited on WC–Co hardmetal inserts. Systematic variation in laser parameters identified conditions for complete coating removal while preserving substrate integrity. The laser was operated at 532 nm, under a range of fluences (0.1–11.7 J/cm2), pulse delays (20–180 µs), and pulse numbers (1–300). LIBS qualitative monitoring enabled precise ablation progress by identifying Ti, Al, and O layers, and later the detection of Co and W signals. Scanning electron microscopy (SEM/EDS) and optical profilometry confirmed that 5–10 pulses at intermediate delays (60–80 µs, 4.8–7.1 J/cm2) provided complete removal of ~18 µm-thick coatings while maintaining substrate integrity. In contrast, higher energies and excessive pulses caused localized melting and surface irregularities. These results demonstrate that Nd:YAG laser ablation, especially when coupled with LIBS, offers a precise, fast, and environmentally alternative to conventional chemical stripping methods for the refurbishment and recycling of cutting tools. Full article
Show Figures

Figure 1

24 pages, 460 KB  
Article
An Approach Based on Granular Computing and 2-Tuple Linguistic Model to Personalize Linguistic Information in Group Decision-Making
by Aylin Estrada-Velazco, Yeleny Zulueta-Véliz, José Ramón Trillo and Francisco Javier Cabrerizo
Electronics 2025, 14(23), 4698; https://doi.org/10.3390/electronics14234698 - 28 Nov 2025
Viewed by 315
Abstract
Group decision-making is an inherently collaborative process that can become increasingly complex when addressing the uncertainty associated with linguistic assessments from experts. A crucial principle for achieving a solution of superior quality lies in the acknowledgment that the same word may bear divergent [...] Read more.
Group decision-making is an inherently collaborative process that can become increasingly complex when addressing the uncertainty associated with linguistic assessments from experts. A crucial principle for achieving a solution of superior quality lies in the acknowledgment that the same word may bear divergent meanings among different experts. Regrettably, a significant number of existing methodologies for computing with words presuppose a uniformity of meaning for linguistic assessments across all participating individuals. In response to this limitation, we propose an innovative methodology based on the 2-tuple linguistic model in conjunction with the granular computing paradigm. Given that the individual interpretations of words, when articulating preferences, are closely linked to the consistency of each expert, our proposal places particular emphasis on the modification of the symbolic translation of the 2-tuple linguistic value with the overarching objective of maximizing the consistency of their assessments. This adjustment is implemented while preserving the original linguistic preferences communicated by the experts. We address a real-world building refurbishment problem and conduct a comparative analysis to demonstrate the effectiveness of the proposal. Focusing on consistency enhances group decision-making processes and outcomes, ensuring both accuracy and alignment with individual interpretations and preferences. Full article
(This article belongs to the Special Issue Artificial Intelligence-Driven Emerging Applications)
Show Figures

Figure 1

26 pages, 5092 KB  
Article
The Impact of Vibrations and Transport Systems on Human Comfort and Health: A Perspective on the Development of Sustainable City Buses
by Artūras Kilikevičius, Tautvydas Pravilonis, Jonas Matijošius, Edgar Sokolovskij, Kristina Kilikevičienė and Darius Vainorius
Sustainability 2025, 17(22), 10258; https://doi.org/10.3390/su172210258 - 16 Nov 2025
Viewed by 782
Abstract
The objective of advancing sustainable public transportation extends beyond merely reducing pollution; it also aims to enhance the comfort and well-being of both passengers and drivers. This research investigates the influence of the dynamic characteristics of diesel and electric city buses on human [...] Read more.
The objective of advancing sustainable public transportation extends beyond merely reducing pollution; it also aims to enhance the comfort and well-being of both passengers and drivers. This research investigates the influence of the dynamic characteristics of diesel and electric city buses on human comfort, focusing specifically on vibration analysis. Vibrations have a significant impact on the durability of vehicle structures, passenger safety, and drivers’ working conditions, and long-term exposure can have negative health consequences. Based on experimental measurements and mathematical modeling, a dynamic model of a city bus was created, allowing us to assess the damping properties of suspension elements and the effect of load on vibrations. The findings of the study indicate that the judicious implementation of structural solutions and technological measures enhances the reliability of the transport system while simultaneously fostering the advancement of more sustainable and safer public transport options. The acquired data hold significance for both the development of new electric buses and the refurbishment of existing vehicles, aiming to integrate energy efficiency, comfort, and sustainable mobility. Full article
(This article belongs to the Special Issue Sustainable and Smart Transportation Systems)
Show Figures

Figure 1

18 pages, 3660 KB  
Article
Study on the Effect of a Splitter-Blade Runner on the Flexibility Improvement of Existing Francis Turbine Units
by Chi Lu, Heng Zhang, Zhengwei Wang, Yijing Lv and Baig Mirza Umar
Energies 2025, 18(22), 5978; https://doi.org/10.3390/en18225978 - 14 Nov 2025
Viewed by 433
Abstract
The transition toward renewable-dominated power systems is increasingly constrained by the shortage of flexible regulation resources. Hydropower, with its rapid response and strong load-adjustment capability, remains a cornerstone for enabling large-scale integration of intermittent wind and solar energy. Splitter-blade runners are widely employed [...] Read more.
The transition toward renewable-dominated power systems is increasingly constrained by the shortage of flexible regulation resources. Hydropower, with its rapid response and strong load-adjustment capability, remains a cornerstone for enabling large-scale integration of intermittent wind and solar energy. Splitter-blade runners are widely employed in medium- and high-head conventional hydropower plants and pumped-storage stations due to their broad high-efficiency operating range and superior stability. In this study, based on a runner replacement project at an existing hydropower station, refined computational fluid dynamics (CFD) simulations were carried out to design a splitter-blade runner under strict dimensional constraints. The optimized runner expanded the unit’s stable operating range from 50–100% to 0–100% rated power, while also improving overall efficiency and reducing pressure pulsations. The optimized splitter-blade runner improved efficiency by 1–2%, reduced pressure pulsations in the draft tube by ≈25%, and decreased the runner radial force by ≈12% compared with the baseline configuration. Importantly, this work demonstrates for the first time that splitter-blade runners can be successfully applied at head ranges below 100 m, thereby extending their applicability beyond traditional limits. The results provide both theoretical and practical guidance for flexibility retrofits of existing Francis turbine units in China, offering a feasible pathway to support the adaptability of future renewable energy systems. Full article
Show Figures

Figure 1

20 pages, 2015 KB  
Review
Measuring Circular Economy Indicator in Hydropower Refurbishment
by Andreea Loredana Rhazzali (Birgovan), Elena Simina Lakatos, Gabriel Minea, Lucian-Ionel Cioca, Madalina Barnisca, Sara Ferenci, Lorand Szabo and Radu Adrian Munteanu
Energies 2025, 18(22), 5922; https://doi.org/10.3390/en18225922 - 11 Nov 2025
Viewed by 567
Abstract
This paper provides a comprehensive analysis of the development, implementation, and evolution of the circular economy indicator (CEI) in the context of hydroelectric turbine refurbishment over the past five decades. By systematically examining publications indexed in the Web of Science database between 1975 [...] Read more.
This paper provides a comprehensive analysis of the development, implementation, and evolution of the circular economy indicator (CEI) in the context of hydroelectric turbine refurbishment over the past five decades. By systematically examining publications indexed in the Web of Science database between 1975 and 2025, the study traces the conceptual origins of the CEI, highlights methodological advances, and analyzes practical applications. The analysis focuses on key aspects such as material circularity, energy efficiency, including the share of renewable sources, and the extension of operational lifetime achieved through refurbishment. The paper also identifies persistent methodological gaps, in particular regarding the integration of social and governance dimensions, as well as the lack of standardization across projects, proposing strategies to increase the reliability and applicability of the indicator. The results provide guidance for integrating circular economy principles into hydroelectric refurbishment processes, outline good practices, and set priorities for future research oriented towards more holistic and multidimensional assessments of circularity. Full article
Show Figures

Figure 1

20 pages, 7428 KB  
Article
Reinforcement Learning-Driven Framework for High-Precision Target Tracking in Radio Astronomy
by Tanawit Sahavisit, Popphon Laon, Supavee Pourbunthidkul, Pattharin Wichittrakarn, Pattarapong Phasukkit and Nongluck Houngkamhang
Galaxies 2025, 13(6), 124; https://doi.org/10.3390/galaxies13060124 - 31 Oct 2025
Viewed by 1214
Abstract
Radio astronomy requires precise target localization and tracking to ensure accurate observations. Conventional regulation methodologies, encompassing PID controllers, frequently encounter difficulties due to orientation inaccuracies precipitated by mechanical limitations, environmental fluctuations, and electromagnetic interferences. To tackle these obstacles, this investigation presents a reinforcement [...] Read more.
Radio astronomy requires precise target localization and tracking to ensure accurate observations. Conventional regulation methodologies, encompassing PID controllers, frequently encounter difficulties due to orientation inaccuracies precipitated by mechanical limitations, environmental fluctuations, and electromagnetic interferences. To tackle these obstacles, this investigation presents a reinforcement learning (RL)-oriented framework for high-accuracy monitoring in radio telescopes. The suggested system amalgamates a localization control module, a receiver, and an RL tracking agent that functions in scanning and tracking stages. The agent optimizes its policy by maximizing the signal-to-noise ratio (SNR), a critical factor in astronomical measurements. The framework employs a reconditioned 12-m radio telescope at King Mongkut’s Institute of Technology Ladkrabang (KMITL), originally constructed as a satellite earth station antenna for telecommunications and was subsequently refurbished and adapted for radio astronomy research. It incorporates dual-axis servo regulation and high-definition encoders. Real-time SNR data and streaming are supported by a HamGeek ZedBoard with an AD9361 software-defined radio (SDR). The RL agent leverages the Proximal Policy Optimization (PPO) algorithm with a self-attention actor–critic model, while hyperparameters are tuned via Optuna. Experimental results indicate strong performance, successfully maintaining stable tracking of randomly moving, non-patterned targets for over 4 continuous hours without any external tracking assistance, while achieving an SNR improvement of up to 23.5% compared with programmed TLE-based tracking during live satellite experiments with Thaicom-4. The simplicity of the framework, combined with its adaptability and ability to learn directly from environmental feedback, highlights its suitability for next-generation astronomical techniques in radio telescope surveys, radio line observations, and time-domain astronomy. These findings underscore RL’s potential to enhance telescope tracking accuracy and scalability while reducing control system complexity for dynamic astronomical applications. Full article
(This article belongs to the Special Issue Recent Advances in Radio Astronomy)
Show Figures

Graphical abstract

18 pages, 16328 KB  
Review
Radio Astronomy with NASA’s Deep Space Network
by T. Joseph W. Lazio and Stephen M. Lichten
Galaxies 2025, 13(6), 123; https://doi.org/10.3390/galaxies13060123 - 31 Oct 2025
Viewed by 1593
Abstract
The Deep Space Network (DSN) is the spacecraft tracking and communication infrastructure for NASA’s deep space missions. At three sites, approximately equally separated in (terrestrial) longitude, there are multiple radio antennas outfitted with cryogenic microwave receiving systems both for receiving transmissions from deep [...] Read more.
The Deep Space Network (DSN) is the spacecraft tracking and communication infrastructure for NASA’s deep space missions. At three sites, approximately equally separated in (terrestrial) longitude, there are multiple radio antennas outfitted with cryogenic microwave receiving systems both for receiving transmissions from deep space spacecraft and for conducting radio astronomical observations, particularly in the L band (1350 MHz–1800 MHz), X band (8200 MHz–8600 MHz), and K band (18 GHz–27 GHz). In particular, the 70 m antennas at the Canberra and Madrid DSN Complexes are well-equipped to participate in international very long baseline interferometry (VLBI) observations. Over the past five years, there has been an effort to refurbish and modernize equipment such as receiving and signal transport systems for radio astronomical observations. We summarize current capabilities, on-going refurbishment activities, and possible future opportunities. Full article
(This article belongs to the Special Issue Recent Advances in Radio Astronomy)
Show Figures

Figure 1

34 pages, 1431 KB  
Article
Horizontal Building Interaction as an Element of Neighborhood Energy-Oriented Refurbishment
by Luisa Bergmann
Buildings 2025, 15(21), 3918; https://doi.org/10.3390/buildings15213918 - 30 Oct 2025
Viewed by 551
Abstract
The building sector has a significant impact on the environment due to its high resource and energy usage. The refurbishment of the building stock is a measure for reducing emissions. In this context, the neighborhood scale is becoming increasingly important as the level [...] Read more.
The building sector has a significant impact on the environment due to its high resource and energy usage. The refurbishment of the building stock is a measure for reducing emissions. In this context, the neighborhood scale is becoming increasingly important as the level at which urban redevelopment takes place. This study contributes a new perspective and data on the scientific debate on the importance of the neighborhood as a level of action in the transformation of the building sector. It combines horizontal building interaction and a practical refurbishment approach, aiming to reduce material use and balance energy demands. Using scenario modeling, the material savings are calculated for the first time by analyzing five refurbishment scenarios of a synthetic neighborhood. The scenario, modeled with horizontal building interaction, is identified as the favorable compromise among all scenarios when considering material demand and energy efficiency. This is achieved through re-thinking energy-oriented refurbishments and optimizing the usage of locally produced renewable energy sources. The results are embedded into the scientific debate, including the works on the balance of embodied and operational energy in the construction sector. Full article
(This article belongs to the Section Building Energy, Physics, Environment, and Systems)
Show Figures

Figure 1

27 pages, 5817 KB  
Article
Design Optimisation of Legacy Francis Turbine Using Inverse Design and CFD: A Case Study of Bérchules Hydropower Plant
by Israel Enema Ohiemi and Aonghus McNabola
Energies 2025, 18(21), 5602; https://doi.org/10.3390/en18215602 - 24 Oct 2025
Viewed by 604
Abstract
The lack of detailed design information in legacy hydropower plants creates challenges for modernising their ageing turbine components. This research advances a digitalisation approach which combines inverse design methodology (IDM) with multi-objective genetic algorithms (MOGA) and computational fluid dynamics (CFD) to digitally reconstruct [...] Read more.
The lack of detailed design information in legacy hydropower plants creates challenges for modernising their ageing turbine components. This research advances a digitalisation approach which combines inverse design methodology (IDM) with multi-objective genetic algorithms (MOGA) and computational fluid dynamics (CFD) to digitally reconstruct and optimise the Bérchules Francis turbine runner and guide vane geometries using limited available legacy data, avoiding invasive techniques. A two-stage optimisation process was conducted. The first stage of runner blade optimisation achieved a 22.7% reduction in profile loss and a 16.8% decrease in secondary flow factor while raising minimum pressure from −877,325.5 Pa to −132,703.4 Pa. Guide vane optimisation during Stage 2 produced additional performance gains through a 9.3% reduction in profile loss and a 20% decrease in secondary flow factor and a minimum pressure increase to +247,452.1 Pa which represented an 183% improvement. The CFD validation results showed that the final turbine efficiency reached 93.7% while producing more power than the plant’s rated 942 kW. The sensitivity analysis revealed that leading edge loading at mid-span and normal chord proved to be the most significant design parameters affecting pressure loss and flow behaviour metrics. The research proves that legacy turbines can be digitally restored through hybrid optimisation and CFD workflows, which enables data-driven refurbishment design without needing complete component replacement. Full article
(This article belongs to the Special Issue Energy Security, Transition, and Sustainable Development)
Show Figures

Figure 1

32 pages, 3278 KB  
Review
Advancing Circular Economy Implementation for High-Speed Train Rolling Stocks by the Integration of Digital Twins and Artificial Intelligence
by Lalitphat Khongsomchit and Sakdirat Kaewunruen
Sensors 2025, 25(20), 6473; https://doi.org/10.3390/s25206473 - 20 Oct 2025
Viewed by 1956
Abstract
This paper presents a state-of-the-art review on the integration of digital twins and artificial intelligence to advance the circular economy and the 10R principles implementation in high-speed train rolling stock. Rolling stock generates substantial waste at the end of its service life, yet [...] Read more.
This paper presents a state-of-the-art review on the integration of digital twins and artificial intelligence to advance the circular economy and the 10R principles implementation in high-speed train rolling stock. Rolling stock generates substantial waste at the end of its service life, yet the application of the circular economy and the 10R principles (Refuse, Rethink, Reduce, Reuse, Repair, Refurbish, Remanufacture, Repurpose, Recycle, and Recover) in this domain remains limited compared with infrastructure. The review analyses 47 studies retrieved from Web of Science and IEEE Xplore, focusing on digital twin applications in railway infrastructure and rolling stock, and machine learning techniques. Findings reveal that most studies concentrate on data management and efficiency improvement, while only a few explicitly address the circular economy and 10R principles. A comparative analysis of high-waste components against current machine learning applications further highlights critical gaps. To address these, an automated workflow is proposed, incorporating digital twins, artificial intelligence, and the 10R principles to support condition monitoring and sustainable resource management. The study provides insights and research directions to enhance sustainability in railway asset management. Full article
Show Figures

Figure 1

Back to TopTop