Sign in to use this feature.

Years

Between: -

Subjects

remove_circle_outline
remove_circle_outline
remove_circle_outline
remove_circle_outline
remove_circle_outline
remove_circle_outline
remove_circle_outline

Journals

Article Types

Countries / Regions

remove_circle_outline
remove_circle_outline
remove_circle_outline
remove_circle_outline

Search Results (238)

Search Parameters:
Keywords = redox active ligands

Order results
Result details
Results per page
Select all
Export citation of selected articles as:
16 pages, 1700 KB  
Article
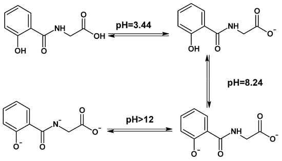
The Effects of Salicyluric Acid, the Main Metabolite of Aspirin, on Lipid Peroxidation Induced by Iron and Copper Ions in a Lipid Membrane Model
by Viktor A. Timoshnikov, Vladimir E. Koshman, Aleksandr A. Deriskiba, Nikolay E. Polyakov and George J. Kontoghiorghes
Int. J. Mol. Sci. 2026, 27(3), 1216; https://doi.org/10.3390/ijms27031216 - 26 Jan 2026
Abstract
Salicyluric acid (SUA), the main metabolite of aspirin and a natural product, is known for its ability to chelate iron and other metal ions. In particular, the chelation and increased excretion of iron by SUA may contribute to the aspirin-induced iron deficiency anemia [...] Read more.
Salicyluric acid (SUA), the main metabolite of aspirin and a natural product, is known for its ability to chelate iron and other metal ions. In particular, the chelation and increased excretion of iron by SUA may contribute to the aspirin-induced iron deficiency anemia observed in long-term aspirin users. The redox activity of iron and copper complexes of drugs and also drug metabolites, such as SUA, is an important parameter of their overall toxicity profile, including the induction of ferroptosis, which has been associated with many diseases. In this context, the effect of SUA on iron- and copper-induced lipid peroxidation and also its localization within a model lipid membrane have been investigated. A combination of physicochemical methods, including Nuclear Magnetic Resonance (1H NMR), molecular dynamics (MD), and Nuclear Overhauser Effect Spectroscopy (1H NOESY), has been used to demonstrate that SUA does not promote the peroxidation of linoleic acid micelles in the presence of Fe(II) or Cu(II) ions. NMR experiments revealed that SUA incorporates into the lipid bilayer, which stabilizes the ligands and inhibits its metal chelation ability in comparison to the control. NOESY experiments and MD simulations further showed that SUA localizes shallowly within the membrane, interacting primarily with the head group and upper acyl chain regions of lipids. These findings provide crucial insights into the membrane redox reactivity and other behavior of SUA, explaining its lack of pro-oxidant activity and also highlighting its complex role in the pharmacological and toxicological effects on iron metabolism in long-term aspirin users. Full article
(This article belongs to the Section Bioactives and Nutraceuticals)
Show Figures

Figure 1

19 pages, 938 KB  
Review
Anticancer Applications of Gold Complexes: Structure–Activity Review
by Petya Marinova, Denica Blazheva and Stoyanka Nikolova
Appl. Sci. 2026, 16(2), 1114; https://doi.org/10.3390/app16021114 - 21 Jan 2026
Viewed by 82
Abstract
Background: Gold (Au) complexes have emerged as promising anticancer candidates due to their distinct coordination chemistry and ability to modulate thiol-dependent and redox-regulated cellular pathways, particularly thioredoxin reductase (TrxR). In recent years, structurally diverse Au(I) and Au(III) complexes have been reported with potent [...] Read more.
Background: Gold (Au) complexes have emerged as promising anticancer candidates due to their distinct coordination chemistry and ability to modulate thiol-dependent and redox-regulated cellular pathways, particularly thioredoxin reductase (TrxR). In recent years, structurally diverse Au(I) and Au(III) complexes have been reported with potent in vitro anticancer activity; however, cross-study comparability and design principles remain unclear. Aim: This systematic review critically evaluates anticancer Au(I/III) complexes reported since 2016, with the specific aim of identifying how oxidation state, coordination geometry, and ligand class influence in vitro potency, selectivity, and translational potential. Methods: A PRISMA-guided literature search was performed in Scopus, Web of Science, PubMed, and ScienceDirect for studies published between January 2016 and March 2025. Two independent reviewers screened titles/abstracts and full texts according to predefined inclusion criteria. Only original studies reporting anticancer activity of structurally characterized Au(I/III) complexes in human cancer models were included. After the removal of duplicates, 1100 records were screened at the title and abstract level. Of these, 240 articles were assessed in full text for eligibility. Ultimately, 128 studies reporting anticancer activity of structurally characterized Au(I/III) complexes met the inclusion criteria and were included in the qualitative synthesis. Biological potency data were harmonized to μM units where applicable, and results were synthesized qualitatively due to heterogeneity in experimental design. Results: A total of 128 studies met the inclusion criteria. Au(I) complexes—particularly phosphine- and N-heterocyclic carbene (NHC)-based compounds—consistently showed sub-micromolar cytotoxicity in TrxR-dependent cancer cell lines, whereas Au(III) complexes displayed greater structural diversity but variable stability and redox behavior. In vivo efficacy was reported for a limited subset of compounds and was frequently constrained by solubility, systemic toxicity, or metabolic instability. Conclusions: The available evidence indicates that anticancer activity of gold complexes is strongly dependent on oxidation state, ligand environment, and redox stability. While Au(I) scaffolds show more reproducible in vitro potency, successful translation to in vivo models remains limited. This review defines structure–activity and structure–liability relationships that can guide the rational design of next-generation gold-based anticancer agents. Full article
Show Figures

Figure 1

27 pages, 1311 KB  
Review
Peptide-Functionalized Iron Oxide Nanoparticles for Cancer Therapy: Targeting Strategies, Mechanisms, and Translational Opportunities
by Andrey N. Kuskov, Lydia-Nefeli Thrapsanioti, Ekaterina Kukovyakina, Anne Yagolovich, Elizaveta Vlaskina, Petros Tzanakakis, Aikaterini Berdiaki and Dragana Nikitovic
Molecules 2026, 31(2), 236; https://doi.org/10.3390/molecules31020236 - 10 Jan 2026
Viewed by 415
Abstract
Therapeutic peptides have emerged as promising tools in oncology due to their high specificity, favorable safety profile, and capacity to target molecular hallmarks of cancer. Their clinical translation, however, remains limited by poor stability, rapid proteolytic degradation, and inefficient biodistribution. Iron oxide nanoparticles [...] Read more.
Therapeutic peptides have emerged as promising tools in oncology due to their high specificity, favorable safety profile, and capacity to target molecular hallmarks of cancer. Their clinical translation, however, remains limited by poor stability, rapid proteolytic degradation, and inefficient biodistribution. Iron oxide nanoparticles (IONPs) offer a compelling solution to these challenges. Owing to their biocompatibility, magnetic properties, and ability to serve as both drug carriers and imaging agents, IONPs have become a versatile platform for precision nanomedicine. The integration of peptides with IONPs has generated a new class of hybrid systems that combine the biological accuracy of peptide ligands with the multifunctionality of magnetic nanomaterials. Peptide functionalization enables selective tumor targeting and deeper tissue penetration, while the IONP core supports controlled delivery, MRI-based tracking, and activation of therapeutic mechanisms such as magnetic hyperthermia. These hybrids also influence the tumor microenvironment (TME), facilitating stromal remodeling and improved drug accessibility. Importantly, the iron-driven redox chemistry inherent to IONPs can trigger regulated cell death pathways, including ferroptosis and autophagy, inhibiting opportunities to overcome resistance in aggressive or refractory tumors. As advances in peptide engineering, nanotechnology, and artificial intelligence accelerate design and optimization, peptide–IONP conjugates are poised for translational progress. Their combined targeting precision, imaging capability, and therapeutic versatility position them as promising candidates for next-generation cancer theranostics. Full article
Show Figures

Graphical abstract

11 pages, 1863 KB  
Article
Design and Structural Characterization of Ferrocenyl Bithiophene Thioketone-Based Iron Complexes
by Ibrahim Basma, Hassan Abul-Futouh, Alessia Cinci, Sara J. Abaalkhail, Abdulmajeed Abdullah Alayyaf, Phil Köhler and Wolfgang Weigand
Inorganics 2026, 14(1), 14; https://doi.org/10.3390/inorganics14010014 - 28 Dec 2025
Viewed by 323
Abstract
The exceptional catalytic efficiency of [FeFe]-hydrogenases has driven intense efforts to reproduce their structure and function in synthetic models. A key structural feature governing the behavior of synthetic H-cluster analogs lies in the identity of the bridging dithiolato ligands that link the iron [...] Read more.
The exceptional catalytic efficiency of [FeFe]-hydrogenases has driven intense efforts to reproduce their structure and function in synthetic models. A key structural feature governing the behavior of synthetic H-cluster analogs lies in the identity of the bridging dithiolato ligands that link the iron centers. These ligands play a pivotal role in tuning the electron density of the metal core, thereby dictating the complex’s redox characteristics and catalytic reactivity. In this context, we herein describe the synthesis and application of ferrocenyl bithiophene-2,2′-yl thioketone (1) as a proligand for assembling biomimetic models of the [FeFe]-hydrogenase active site. The obtained complexes were thoroughly examined using a suite of analytical methods, including NMR and IR spectroscopy, elemental analysis, and a single-crystal X-ray diffraction, affording comprehensive structural and chemical characterization. Furthermore, their electrochemical behavior toward proton reduction and hydrogen evolution was evaluated via cyclic voltammetry, enabling direct comparison with structurally related analogs. Full article
(This article belongs to the Special Issue Iron Complexes as Models of [FeFe] Hydrogenases)
Show Figures

Graphical abstract

20 pages, 3112 KB  
Article
Uranium Isotopic Fractionation and Hydrogeochemical Controls in Groundwater of the Jabal Sayid–Mahd Adhab Region, Western Saudi Arabia
by Hamdy Hamed Abd El-Naby, Yehia Hassan Dawood and Abduallah Abdel Aziz Sabtan
Minerals 2026, 16(1), 25; https://doi.org/10.3390/min16010025 - 24 Dec 2025
Viewed by 614
Abstract
Uranium isotopic composition of shallow groundwater in the Jabal Sayid-Mahd Adhab area of western Saudi Arabia was investigated to evaluate geochemical changes resulting from water-rock interactions. The wide range of uranium concentrations (0.75–29.3 ppb) and 234U/238U activity ratios (1.11–3.11) reflect [...] Read more.
Uranium isotopic composition of shallow groundwater in the Jabal Sayid-Mahd Adhab area of western Saudi Arabia was investigated to evaluate geochemical changes resulting from water-rock interactions. The wide range of uranium concentrations (0.75–29.3 ppb) and 234U/238U activity ratios (1.11–3.11) reflect variable redox and uranium dissolution conditions across the aquifer. Samples with high uranium concentrations but low activity ratios suggest a recent release of uranium from mineral phases, which is further enhanced by the presence of fluoride ions. Fluoride’s strong reactivity aids in uranium dissolution by forming stable uranyl-fluoride complexes under open-system leaching conditions. Conversely, higher isotopic ratios in low-uranium samples suggest longer water-rock interaction and preferential leaching of 234U by alpha-recoil processes. The positive correlation between uranium and salinity parameters further indicates that uranium enrichment is linked to increased ionic strength and the abundance of complex ligands. The relationship between activity ratio 234U/238U (AR) and 1/U in the studied samples indicates that uranium behavior in the shallow aquifer is dominated by open-system leaching, with local binary mixing superimposed in a few sites. The findings emphasize that uranium isotopic composition is a valuable tool for identifying localized groundwater mixing and assessing the hydrogeochemical impacts of nearby mineralized areas on the aquifer system. These results represent an essential baseline for future environmental monitoring and for evaluating potential temporal changes in uranium behavior. Full article
Show Figures

Graphical abstract

16 pages, 2186 KB  
Article
Heterometallic Catecholates of Zirconium and Alkali Metals
by Elizaveta A. Filippova, Taisiya S. Sukhikh, Anna A. Tychinina, Ilia V. Eltsov, Alexander S. Novikov, Dmitriy S. Yambulatov and Pavel A. Petrov
Crystals 2026, 16(1), 12; https://doi.org/10.3390/cryst16010012 - 24 Dec 2025
Viewed by 359
Abstract
Reaction of [Zr(η5-Cp’)2Cl2] (Cp’ = tBuC5H4) and Na2Cat36 (Cat36 = 3,6-di-tert-butylcatecholate) leads to the formation of the complexes [Na2Zr(Cat36)3(THF)2 [...] Read more.
Reaction of [Zr(η5-Cp’)2Cl2] (Cp’ = tBuC5H4) and Na2Cat36 (Cat36 = 3,6-di-tert-butylcatecholate) leads to the formation of the complexes [Na2Zr(Cat36)3(THF)2(C7H8)] (1) and [Zr(η5-Cp’)21-Cp’)2] (2). Complex 1 along with its congeners [K2Zr(Cat36)3(THF)2] (3), [Li(THF)4][LiZr(Cat36)3] (4) and [Li4Zr(Cat36)4(dme)2] (5) were synthesized by the reaction of [ZrCl4(THF)2] and corresponding alkali metal catecholate M2Cat36. The complexes obtained were characterized by means of single-crystal X-ray diffraction and solution NMR spectroscopy (1H, 7Li, 13C). Relatively short Li···H contacts are present in the structures of complexes 4 and 5; nevertheless, DFT calculations have shown no covalent contribution to these interactions. Full article
Show Figures

Graphical abstract

22 pages, 5387 KB  
Article
EFNA5 as an Oocyte-Derived Factor Enhances Developmental Competence by Modulating Oxidative Stress, Inflammation, and Apoptosis During In Vitro Maturation
by Xingyuan Liu, Jian Cui, Yubing Wang, Jia Hao, Yingjie Wu, Yinjuan Wang, Lei An, Jianhui Tian and Guangyin Xi
Antioxidants 2025, 14(12), 1476; https://doi.org/10.3390/antiox14121476 - 9 Dec 2025
Viewed by 486
Abstract
In vitro maturation (IVM) of oocytes remains suboptimal due to oxidative stress and disrupted cumulus–oocyte communication. Oocyte-derived factors (ODFs) are key mediators of this crosstalk and crucial for oocyte competence. Here, we provide systematic evidence that ephrin-A5 (EFNA5) is an oocyte-derived membrane ligand [...] Read more.
In vitro maturation (IVM) of oocytes remains suboptimal due to oxidative stress and disrupted cumulus–oocyte communication. Oocyte-derived factors (ODFs) are key mediators of this crosstalk and crucial for oocyte competence. Here, we provide systematic evidence that ephrin-A5 (EFNA5) is an oocyte-derived membrane ligand capable of regulating oocyte quality during IVM. Cross-species transcriptomic analysis revealed that EFNA5 is stably enriched in mammalian oocytes but markedly reduced in in vitro-matured oocytes compared with in vivo counterparts. Using the ovine IVM model, supplementation with recombinant EFNA5 significantly improved blastocyst formation, increased total cell numbers, and reduced apoptosis. Mechanistically, EFNA5 promoted cumulus–oocyte complex expansion, reduced reactive oxygen species accumulation, activated NRF2-dependent antioxidant signaling, and suppressed NF-κB-driven inflammation. RNA-seq and functional validation further confirmed that EFNA5 enhanced redox homeostasis and decreased DNA damage, collectively improving oocyte developmental potential. These findings establish EFNA5 as a novel and conserved ODF that alleviates oxidative and inflammatory stress to enhance oocyte quality and embryo development, providing mechanistic insight and a potential strategy for improving assisted reproductive technologies. Full article
(This article belongs to the Special Issue Redox Regulation in Animal Reproduction)
Show Figures

Figure 1

19 pages, 2215 KB  
Review
A Theoretical Framework for Ligand-Functionalised Magnetic Lipid Nanoparticles in Glioblastoma Therapy
by Dian Buist, Hiska van der Weide, Steven Bergink and Roland Chiu
Cancers 2025, 17(24), 3905; https://doi.org/10.3390/cancers17243905 - 6 Dec 2025
Viewed by 452
Abstract
Glioblastoma multiforme (GBM) is a highly aggressive primary brain tumour with limited treatment options and a poor prognosis. Therapeutic failure is driven by multiple barriers, including the blood–brain barrier (BBB), the tumour microenvironment (TME), and intratumoural heterogeneity. Conventional delivery systems often fail to [...] Read more.
Glioblastoma multiforme (GBM) is a highly aggressive primary brain tumour with limited treatment options and a poor prognosis. Therapeutic failure is driven by multiple barriers, including the blood–brain barrier (BBB), the tumour microenvironment (TME), and intratumoural heterogeneity. Conventional delivery systems often fail to achieve sufficient drug accumulation or controlled release within the tumour. In this review, we outline a theoretical framework for the design of ligand-functionalised magnetic lipid nanoparticles (MF-R-LNs), a multifunctional nanoplatform that integrates active targeting, stimuli-responsive drug release, and external magnetic-field control. The proposed MF-R-LNs incorporate superparamagnetic iron oxide nanoparticles (SPIONs) for magnetic guidance and hyperthermia; polyethylene glycol (PEG) for extended circulation; and surface ligands such as peptides, antibodies, or aptamers to target GBM-specific receptors including epidermal growth factor receptor (EGFR), Interleukin-13 receptor alpha-2 (IL-13Rα2), and integrins. Triggered release mechanisms such as pH-sensitive lipids, redox cleavable linkers, and enzyme-responsive coatings enable selective drug release within the TME. Magnetic hyperthermia serves as both a therapeutic modality and a remote trigger to enhance release and tumour penetration. This modular design offers a theoretically robust strategy to overcome the key physiological and therapeutic barriers in GBM. We discuss the rationale behind each design feature, explore potential synergies, and highlight translational challenges such as tumour heterogeneity, manufacturing complexity, and safety concerns. Despite encouraging preclinical evidence, clinical translation faces substantial hurdles, notably patient-specific heterogeneity and scalable GMP manufacturing/characterisation of multi-component nanoplatforms. While preclinical validation remains necessary, this framework may inform future efforts to develop spatiotemporally controlled, multifunctional therapeutics for glioblastoma. This manuscript is a conceptual framework review that synthesises current strategies into actionable guidance for designing and reporting MF-R-LNs for GBM. Full article
(This article belongs to the Section Methods and Technologies Development)
Show Figures

Figure 1

27 pages, 3010 KB  
Review
Targeting the Reactive Proteome: Recent Advances in Activity-Based Protein Profiling and Probe Design
by Yuan-Fei Zhou, Ling Zhang, Zhuoyi L. Niu and Zhipeng A. Wang
Biomolecules 2025, 15(12), 1699; https://doi.org/10.3390/biom15121699 - 5 Dec 2025
Viewed by 1685
Abstract
Activity-based protein profiling (ABPP) has emerged as a powerful chemical proteomics approach for profiling active amino acid residues, mapping functional proteins, and guiding covalent drug development in complex biological systems. Recent methodological advances have produced several novel formats, including tandem orthogonal proteolysis-ABPP (TOP-ABPP), [...] Read more.
Activity-based protein profiling (ABPP) has emerged as a powerful chemical proteomics approach for profiling active amino acid residues, mapping functional proteins, and guiding covalent drug development in complex biological systems. Recent methodological advances have produced several novel formats, including tandem orthogonal proteolysis-ABPP (TOP-ABPP), isotopic tandem orthogonal proteolysis-ABPP (IsoTOP-ABPP), and competitive IsoTOP-ABPP, enabling broader target identification and quantitative analysis for varied experimental purposes. In parallel, chemical probe design has evolved to selectively target specific amino acid residues, such as cysteine (Cys), lysine (Lys), and histidine (His), and to incorporate photoaffinity labeling (PAL) functionalities for capturing transient or weak protein-ligand interactions. Additionally, the integration of cleavable linkers with diverse cleavage mechanisms, including acid/base-mediated, redox-mediated, and photo irradiation mechanisms, has enhanced probe versatility and downstream analytical workflows. This review summarizes recent advances in ABPP methodologies and the design of activity-based probes and PAL probes, emphasizing their implications for future work in chemical biology. Full article
Show Figures

Figure 1

28 pages, 2644 KB  
Review
Smart Materials for Carbon Neutrality: Redox-Active MOFs for Atmospheric CO2 Capture by Electrochemical Methods
by Carmen Castro-Castillo, Jonathan Suazo-Hernández, Rodrigo Espinoza-González and Gonzalo Garcia
Catalysts 2025, 15(12), 1134; https://doi.org/10.3390/catal15121134 - 3 Dec 2025
Viewed by 1210
Abstract
The electrochemical capture and transformation of carbon dioxide (CO2) (ECC) has recently emerged as a transformative alternative to conventional sorbent-based processes, enabling fully reversible operation under mild conditions and direct compatibility with renewable energy sources. This review focuses on redox-active metal–organic [...] Read more.
The electrochemical capture and transformation of carbon dioxide (CO2) (ECC) has recently emerged as a transformative alternative to conventional sorbent-based processes, enabling fully reversible operation under mild conditions and direct compatibility with renewable energy sources. This review focuses on redox-active metal–organic frameworks (MOFs) as electrosorbent materials for the electrochemical capture of CO2. Rather than encompassing all electrochemical CO2 capture technologies, we use molecular, polymeric, and COF-based systems as a framework to define what makes a MOF truly “redox-active” for CO2 electrosorption and how its performance can be assessed. This includes capacitive versus faradic electrosorption mechanisms and design strategies based on the redox chemistry associated with metal nodes, π-conjugated ligands, and strongly redox-active units such as tetrathiafulvalene, viologen, and ferrocene. The way in which defects affect hybrid MOF composites was highlighted, and in situ and operando spectroscopic techniques have improved the understanding of the reaction mechanism in carbon dioxide capture and release under controlled potential. Research comparing carbonaceous materials, redox polymers, and hybrid structures has highlighted both the opportunities and limitations of MOFs, particularly in terms of energy efficiency, scalability, structural robustness, and reproducibility. From a broader perspective, redox-active MOFs occupy a unique position at the intersection of coordination chemistry, electrochemistry, and materials engineering for large-scale applications. In this review, we analyze how redox activity in MOFs—at the metal nodes, ligands, and extended structures—can be harnessed to design energy-efficient, cyclic electrochemical CO2 capture systems. Furthermore, we propose cross-cutting metrics and design rules that enable meaningful comparisons between materials and device architecture. Full article
(This article belongs to the Special Issue Feature Review Papers in Electrocatalysis)
Show Figures

Graphical abstract

25 pages, 2776 KB  
Article
Effective Antioxidants as Plausible Ligands in Chromium(III) Supplementation: How Complexation Modulates Catechol-Based Polyphenols
by Hanna Lewandowska, Zhe Chen, Krystian Marszałek, Włodzimierz Lewandowski and Renata Świsłocka
Molecules 2025, 30(22), 4467; https://doi.org/10.3390/molecules30224467 - 19 Nov 2025
Viewed by 622
Abstract
This study examines the impact of metal coordination on the antioxidant and pro-oxidant properties of 3,4-dihydroxybenzoic acid (3,4-DHBA) and caffeic acid (CA). Their Na(I), K(I) salts and Cr(III) complexes were evaluated in vitro using radical scavenging assays (ABTS, DPPH, hydroxyl, and superoxide), ferric- [...] Read more.
This study examines the impact of metal coordination on the antioxidant and pro-oxidant properties of 3,4-dihydroxybenzoic acid (3,4-DHBA) and caffeic acid (CA). Their Na(I), K(I) salts and Cr(III) complexes were evaluated in vitro using radical scavenging assays (ABTS, DPPH, hydroxyl, and superoxide), ferric- and cupric-reducing power, and inhibition of linoleic acid peroxidation. Alkali metal coordination generally decreased radical scavenging activity, though K complexes and Cr–3,4-DHBA improved lipid peroxidation inhibition. Cr(III) chelation produced ligand-dependent effects: it markedly increased the reducing power of CA while reducing that of 3,4-DHBA and uniquely promoted pro-oxidant behavior in CA under superoxide conditions. These outcomes reflect how chromium chelation alters electronic distribution and charge transfer, enhancing reducing power in single-electron transfer assays while enabling redox cycling in radical scavenging systems, underscoring its dual and ligand-dependent biological significance. Full article
Show Figures

Graphical abstract

22 pages, 1175 KB  
Review
Metallogels as Supramolecular Platforms for Biomedical Applications: A Review
by Pasqualina Liana Scognamiglio, Diego Tesauro and Giovanni N. Roviello
Processes 2025, 13(11), 3671; https://doi.org/10.3390/pr13113671 - 13 Nov 2025
Viewed by 872
Abstract
Metallogels, three-dimensional supramolecular networks formed through metal–ligand coordination, have emerged as a new generation of adaptive soft materials with promising biomedical potential. By integrating the structural stability and tuneable functionality of metal centres with the dynamic self-assembly of organic gelators, these systems exhibit [...] Read more.
Metallogels, three-dimensional supramolecular networks formed through metal–ligand coordination, have emerged as a new generation of adaptive soft materials with promising biomedical potential. By integrating the structural stability and tuneable functionality of metal centres with the dynamic self-assembly of organic gelators, these systems exhibit exceptional mechanical strength, responsiveness, and multifunctionality. Recent studies demonstrate their diverse applications in drug delivery, anticancer therapy, antimicrobial and wound healing treatments, biosensing, bioimaging, and tissue engineering. Interestingly, the coordination of metal ions such as Ru(II), Zn(II), Fe(III), and lanthanides enables the creation of self-healing, thixotropic, and stimuli-responsive gels capable of controlled release and therapeutic action. Moreover, the incorporation of luminescent or redox-active metals adds optical and electronic properties suitable for diagnostic and monitoring purposes. This collection summarizes the most recent advances in the field, highlighting how rational molecular design and coordination chemistry contribute to the development of multifunctional, biocompatible, and responsive metallogels that bridge the gap between materials science and medicine. Full article
Show Figures

Figure 1

17 pages, 1889 KB  
Article
Zinc(II) Iodide Complexes with Redox-Active α-Diimine Ligands: Synthesis, Structure, Spectroscopic and Electrochemical Properties
by Dmitriy S. Yambulatov, Natalia V. Gogoleva, Ivan V. Smolyaninov, Vladimir A. Bushuev, Anna A. Tychinina, Alexandra S. Samulionis, Julia K. Voronina, Ivan V. Skabitsky, Sergey S. Shapovalov, Stanislav A. Nikolaevskii and Mikhail A. Kiskin
Crystals 2025, 15(11), 967; https://doi.org/10.3390/cryst15110967 - 10 Nov 2025
Viewed by 590
Abstract
Reactions of anhydrous Zn(II) iodides with redox-active 1,4-diaza-1,3-butadiene (DAD) and its bis(imino)acenaphtene (BIAN) derivatives in absolute acetonitrile yielded a series of new complexes: [(Mes-DAD)ZnI2] (1), [(dpp-DAD)ZnI2] (2), and [(dpp-BIAN)ZnI2] (3). Single [...] Read more.
Reactions of anhydrous Zn(II) iodides with redox-active 1,4-diaza-1,3-butadiene (DAD) and its bis(imino)acenaphtene (BIAN) derivatives in absolute acetonitrile yielded a series of new complexes: [(Mes-DAD)ZnI2] (1), [(dpp-DAD)ZnI2] (2), and [(dpp-BIAN)ZnI2] (3). Single crystals of all compounds were obtained, and their molecular structures were unambiguously determined by X-ray diffraction analysis. Purity of bulk samples in solid state was confirmed by PXRD. Stability of the complexes in solution was investigated by means of UV-Vis and NMR spectroscopy. Cyclic voltammetry revealed two or three quasi-reversible reduction waves in the cathodic region for complexes 13. The ability of 3 to accept up to three electrons highlights the potential of these compounds as electrocatalysts for reductive transformations. Full article
Show Figures

Figure 1

8 pages, 1453 KB  
Short Note
8,8′-Dichloro-2,2,2′,2′-tetraethyl-4,4′-bibenzo[1,3,6,2]dioxazastannocinylidene
by Irina N. Meshcheryakova, Ilya A. Yakushev, Anton V. Cherkasov, Maxim V. Arsenyev, Anastasiya V. Klimashevskaya, Dmitriy S. Kolevatov and Alexandr V. Piskunov
Molbank 2025, 2025(4), M2083; https://doi.org/10.3390/M2083 - 4 Nov 2025
Viewed by 386
Abstract
Upon the reaction of glyoxal-bis(2-hydroxy-5-chlorophenyl)imine LH2 with diethyltin dichloride in the presence of a base (Et3N) in DMSO, the 1D-coordination polymer 1 was obtained, in which formally the L’(SnEt2)2 fragment acts as a monomeric unit. It was [...] Read more.
Upon the reaction of glyoxal-bis(2-hydroxy-5-chlorophenyl)imine LH2 with diethyltin dichloride in the presence of a base (Et3N) in DMSO, the 1D-coordination polymer 1 was obtained, in which formally the L’(SnEt2)2 fragment acts as a monomeric unit. It was found that during the reaction, the initial ligand L undergoes transformation in the tin atom’s coordination sphere. This transformation results in the formation of a new ditopic 1,4-bis((5-chloro-2-oxidophenyl)imino)but-2-ene-2,3-bis(olate) ligand L’. The structure of the resulting complex 1 was examined by single-crystal X-ray diffraction analysis, elemental analysis, IR, and UV spectroscopy. Full article
Show Figures

Figure 1

24 pages, 7830 KB  
Article
Research on the Metallogenic Enrichment Model of Poly-Metallic Black Shales and Their Geological Significance: A Case Study of the Cambrian Niutitang Formation
by Kai Shi, Zhiyong Ni, Ganggang Shao, Wen Zhang and Nuo Cheng
Processes 2025, 13(11), 3537; https://doi.org/10.3390/pr13113537 - 4 Nov 2025
Viewed by 569
Abstract
The Lower Cambrian Niutitang Formation was deposited precisely during the Cambrian Explosion period, a short-lived interval marked by drastic shifts in oceanic chemistry and climate. This stratigraphic sequence preserves a comprehensive record of early-ocean evolution and constitutes a world-class reservoir for rare and [...] Read more.
The Lower Cambrian Niutitang Formation was deposited precisely during the Cambrian Explosion period, a short-lived interval marked by drastic shifts in oceanic chemistry and climate. This stratigraphic sequence preserves a comprehensive record of early-ocean evolution and constitutes a world-class reservoir for rare and precious metals, widely termed the “poly-metallic enrichment layer”. Despite its metallogenic prominence, the genetic model for metal enrichment in the Niutitang Formation remains contentious. In this study, we employed inductively coupled plasma mass spectrometry (ICP-MS), carbon and sulfur analyzer, and X-ray fluorescence spectrometry (XRF) to quantify trace-metal abundances, redox-sensitive element distribution patterns, rare-earth element signatures, and total organic carbon contents. Results reveal that metal enrichment in the Niutitang Formation was governed by temporally distinct mechanisms. Member I records extreme enrichment in As, Ag, V, Re, Ba, Cr, Cs, Ga, Ge, Se and In. This anomaly was driven by the Great Oxidation Event and intensified upwelling that oxidized surface waters, elevated primary productivity and delivered abundant organic matter. Subsequent microbial sulfate reduction generated high H2S concentrations, converting the water column to euxinic conditions. Basin restriction imposed persistent anoxia in bottom waters, establishing a pronounced redox stratification. Concurrent vigorous hydrothermal activity injected large metal fluxes, leading to efficient scavenging of the above metals at the sulfidic–anoxic interface. In Members II and III, basin restriction waned, permitting enhanced water-mass exchange and a concomitant shift from euxinic to anoxic–suboxic conditions. Hydrothermal metal fluxes declined, yet elevated organic-matter fluxes continued to sequester Ag, Mo, Ni, Sb, Re, Th, Ga, and Tl via carboxyl- and thiol-complexation. Thus, “organic ligand shuttling” superseded “sulfide precipitation” as the dominant enrichment mechanism. Collectively, the polymetallic enrichment in the Niutitang Formation reflects a hybrid model controlled by seawater redox gradients, episodic hydrothermal metal supply, and organic-complexation processes. Consequently, metal enrichment in Member I was primarily governed by the interplay between vigorous hydrothermal flux and a persistently sulfidic water column, whereas enrichment in Members II and III was dominated by organic-ligand complexation and fluctuations in the marine redox interface. This study clarifies the stage-dependent metal enrichment model of the Niutitang Formation and provides a theoretical basis for accurate prediction and efficient exploration of polymetallic resources in the region. Full article
(This article belongs to the Section Energy Systems)
Show Figures

Figure 1

Back to TopTop