Zinc(II) Iodide Complexes with Redox-Active α-Diimine Ligands: Synthesis, Structure, Spectroscopic and Electrochemical Properties
Abstract
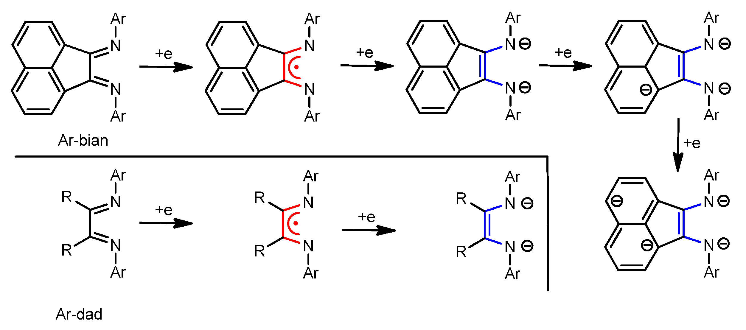
1. Introduction
2. Results and Discussion
2.1. Synthesis and Characterization [(Mes-DAD)ZnI2] (1), [(Dpp-DAD)ZnI2] (2), [(Dpp-BIAN)ZnI2] (3)
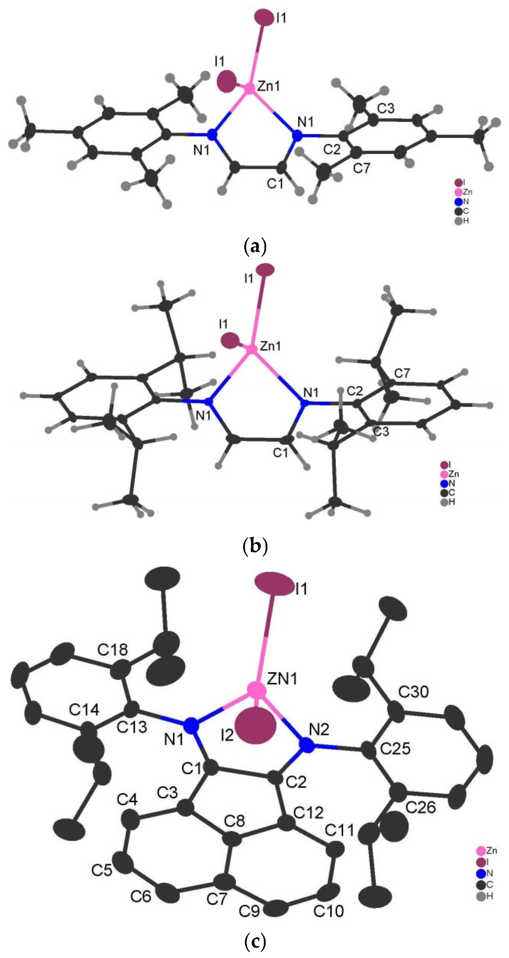
2.2. Crystal Structures of 1–4
2.3. Photophysical Properties of 1–3 in Solution and Solid State
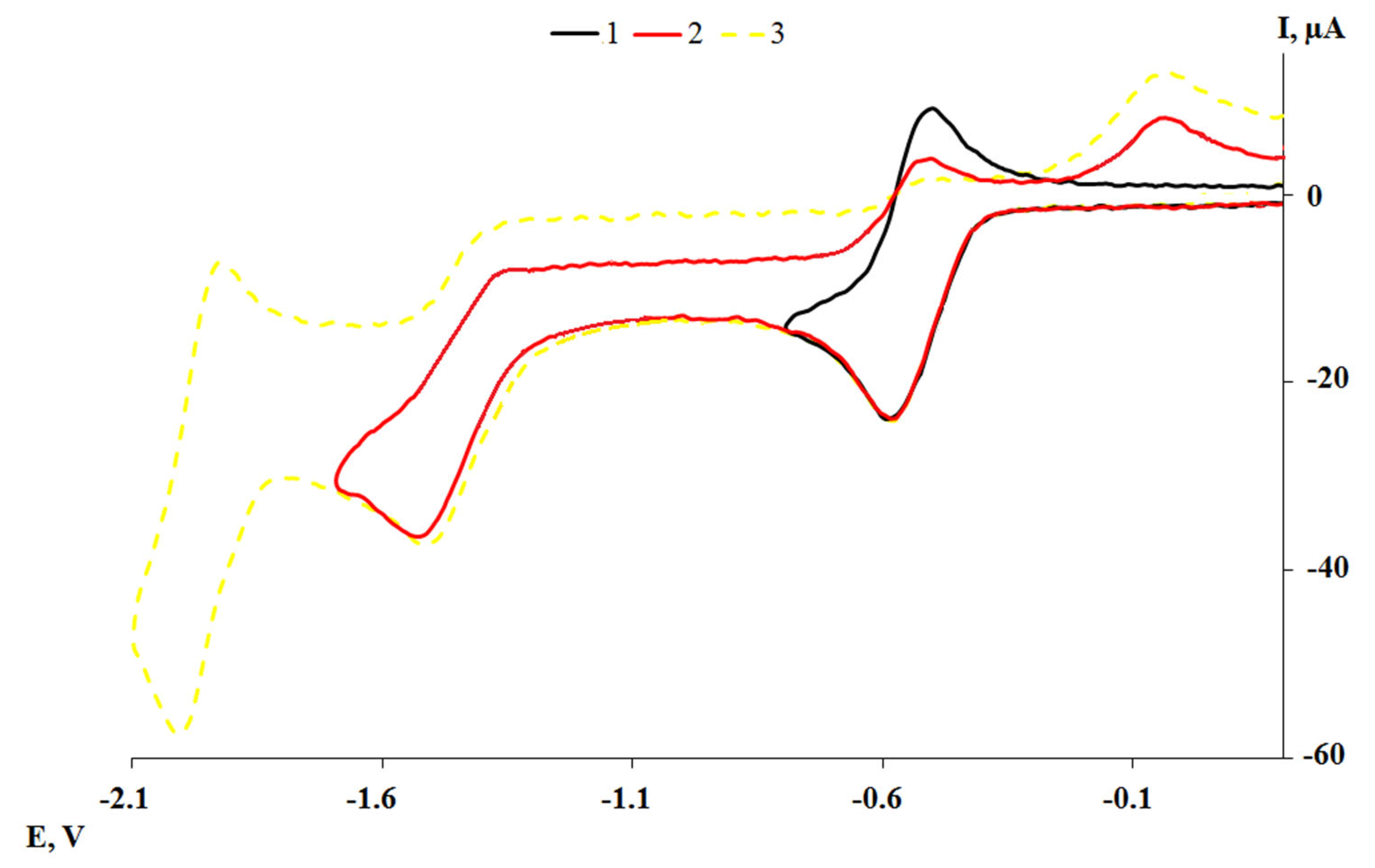
2.4. Cyclic Voltammetry of Obtained Complexes
3. Materials and Methods
3.1. General Remarks
3.2. Synthesis of 1–3
4. Conclusions
Supplementary Materials
Author Contributions
Funding
Data Availability Statement
Acknowledgments
Conflicts of Interest
References
- Koten, G.; Van Vrieze, K. 1,4-Diaza-1,3-Butadiene (α-Diimine) Ligands: Their Coordination Modes and the Reactivity of Their Metal Complexes. In Advances in Organometallic Chemistry; Academic Press: Cambridge, MA, USA, 1982; Volume 21, pp. 151–239. ISSN 0065-3055. [Google Scholar]
- Vrieze, K. Advances in the Chemistry of Heterodiene Metal Complexes. J. Organomet. Chem. 1986, 300, 307–326. [Google Scholar] [CrossRef]
- Mealli, C.; Ienco, A.; Phillips, A.D.; Galindo, A. A Critical Review of Electronic Effects in Enediamido and α-Diimino Complexes of the Group 4 Metals. Eur. J. Inorg. Chem. 2007, 2007, 2556–2568. [Google Scholar] [CrossRef]
- Panda, T.K.; Kaneko, H.; Michel, O.; Pal, K.; Tsurugi, H.; Törnroos, K.W.; Anwander, R.; Mashima, K. Dianion and Monoanion Ligation of 1,4-Diaza-1,3-Butadiene to Barium, Strontium, and Calcium. Organometallics 2012, 31, 3178–3184. [Google Scholar] [CrossRef]
- Fedushkin, I.L.; Skatova, A.A.; Chudakova, V.A.; Fukin, G.K. Four-Step Reduction of Dpp-Bian with Sodium Metal: Crystal Structures of the Sodium Salts of the Mono-, Di-, Tri- and Tetraanions of Dpp-Bian. Angew. Chem. Int. Ed. 2003, 42, 3294–3298. [Google Scholar] [CrossRef] [PubMed]
- Muresan, N.; Weyhermüller, T.; Wieghardt, K. Neutral Bis(1,4-Diaza-1,3-Butadiene)Nickel Complexes and Their Corresponding Monocations: Molecular and Electronic Structures. A Combined Experimental and Density Functional Theoretical Study. Dalton Trans. 2007, 39, 4390–4398. [Google Scholar] [CrossRef]
- Fedushkin, I.L.; Maslova, O.V.; Hummert, M.; Schumann, H. One-and Two-Electron-Transfer Reactions of (Dpp-Bian)Sm(Dme)3. Inorg. Chem. 2010, 49, 2901–2910. [Google Scholar] [CrossRef]
- Pott, T.; Jutzi, P.; Kaim, W.; Schoeller, W.W.; Neumann, B.; Stammler, A.; Stammler, H.G.; Wanner, M. Reactivity of “GaI” toward N-Substituted 1,4-Diazabuta-1,3-Dienes: Synthesis and Characterization of Gallium Heterocycles Containing Paramagnetic Diazabutadiene Monoanions. Organometallics 2002, 21, 3169–3172. [Google Scholar] [CrossRef]
- Trifonov, A.A.; Borovkov, I.A.; Fedorova, E.A.; Fukin, G.K.; Larionova, J.; Druzhkov, N.O.; Cherkasov, V.K. Ytterbocenes as One- and Two-Electron Reductants in Their Reactions with Diazadienes: YbIII Mixed-Ligand Bent-Sandwich Complexes Containing a Dianion of Diazabutadiene. Chem. Eur. J. 2007, 13, 4981–4987. [Google Scholar] [CrossRef]
- Fedushkin, I.L.; Maslova, O.V.; Baranov, E.V.; Shavyrin, A.S. Redox Isomerism in the Lanthanide Complex [(Dpp-Bian)Yb(DME)(μ-Br)]2 (Dpp-Bian) 1,2-Bis[(2,6-Diisopropylphenyl)Imino]Acenaphthene). Inorg. Chem. 2009, 48, 2355–2357. [Google Scholar] [CrossRef]
- Trifonov, A.A. Reactions of Ytterbocenes with Diimines: Steric Manipulation of Reductive Reactivity. Eur. J. Inorg. Chem. 2007, 2007, 3151–3167. [Google Scholar] [CrossRef]
- Nikolaevskaya, E.N.; Druzhkov, N.O.; Syroeshkin, M.A.; Egorov, M.P. Chemistry of Diazadiene Type Ligands with Extra Coordination Groups. Prospects of Reactivity. Coord. Chem. Rev. 2020, 417, 213353. [Google Scholar] [CrossRef]
- Lima, G.; Nunes, E.; Dantas, R.; Simone, C.; Meneghetti, M.; Meneghetti, S. Catalytic Behaviors of CoII and MnII Compounds Bearing α-Diimine Ligands for Oxidative Polymerization or Drying Oils. J. Braz. Chem. Soc. 2018, 29, 412–418. [Google Scholar] [CrossRef]
- Crossetti, G.L.; Dias, M.L.; Queiroz, B.T.; Silva, L.P.; Ziglio, C.M.; Bomfim, J.A.S.; Filgueiras, C.A.L. Ethylene Polymerization with Imine and Phosphine Nickel Complexes Containing Isothiocyanate. Appl. Organomet. Chem. 2004, 18, 331–336. [Google Scholar] [CrossRef]
- Bart, S.C.; Hawrelak, E.J.; Lobkovsky, E.; Chirik, P.J. Low-Valent α-Diimine Iron Complexes for Catalytic Olefin Hydrogenation. Organometallics 2005, 24, 5518–5527. [Google Scholar] [CrossRef]
- Palmer, W.N.; Diao, T.; Pappas, I.; Chirik, P.J. High-Activity Cobalt Catalysts for Alkene Hydroboration with Electronically Responsive Terpyridine and α-Diimine Ligands. ACS Catal. 2015, 5, 622–626. [Google Scholar] [CrossRef]
- Braconi, E.; Götzinger, A.C.; Cramer, N. Enantioselective Iron-Catalyzed Cross-[4+4]-Cycloaddition of 1,3-Dienes Provides Chiral Cyclooctadienes. J. Am. Chem. Soc. 2020, 142, 19819–19824. [Google Scholar] [CrossRef]
- Nishiyama, H.; Ikeda, H.; Saito, T.; Kriegel, B.; Tsurugi, H.; Arnold, J.; Mashima, K. Structural and Electronic Noninnocence of α-Diimine Ligands on Niobium for Reductive C–Cl Bond Activation and Catalytic Radical Addition Reactions. J. Am. Chem. Soc. 2017, 139, 6494–6505. [Google Scholar] [CrossRef] [PubMed]
- Duraisamy, R.; Liebing, P.; Harmgarth, N.; Lorenz, V.; Hilfert, L.; Busse, S.; Engelhardt, F.; Edelmann, F.T. The Manifold Structural Chemistry of Alkali Metal Enediamide Complexes. Eur. J. Inorg. Chem. 2019, 2019, 3343–3351. [Google Scholar] [CrossRef]
- Duraisamy, R.; Liebing, P.; Harmgarth, N.; Lorenz, V.; Hilfert, L.; Feneberg, M.; Goldhahn, R.; Engelhardt, F.; Edelmann, F.T. Rubidium and Cesium Enediamide Complexes Derived from Bulky 1,4-Diazadienes. ACS Omega 2020, 5, 19061–19069. [Google Scholar] [CrossRef]
- Pashanova, K.I.; Lazarev, N.M.; Zolotukhin, A.A.; Kovylina, T.A.; Petrov, B.I.; Piskunov, A.V. Thermal Behavior of the “α-Diimine-NiII-Catecholate” Chromophores. ChemistrySelect 2024, 9, e202304536. [Google Scholar] [CrossRef]
- Klimashevskaya, A.V.; Arsenyeva, K.V.; Maleeva, A.V.; Druzhkov, N.O.; Arsenyev, M.V.; Cherkasov, A.V.; Yakushev, I.A.; Aysin, R.R.; Piskunov, A.V. Donor-Acceptor Tin(IV) Complexes with α-Diimine and Catecholate Ligands. Eur. J. Inorg. Chem. 2023, 26, e202300540. [Google Scholar] [CrossRef]
- Pashanova, K.I.; Ershova, I.V.; Yakushev, I.A.; Meshcheryakova, I.N.; Arsenyev, M.V.; Piskunov, A.V. Intramolecular Charge Transfer in Bulky “Diazabutadiene-M(II)-Catecholate” Chromophores (M = Ni, Co): A Role of a Molecular Geometry. Polyhedron 2023, 243, 116527. [Google Scholar] [CrossRef]
- Wang, P.; Saber, M.R.; VanNatta, P.E.; Yap, G.P.A.; Popescu, C.V.; Scarborough, C.C.; Kieber-Emmons, M.T.; Dunbar, K.R.; Riordan, C.G. Molecular and Electronic Structures and Single-Molecule Magnet Behavior of Tris(Thioether)–Iron Complexes Containing Redox-Active α-Diimine Ligands. Inorg. Chem. 2021, 60, 6480–6491. [Google Scholar] [CrossRef]
- Liu, B.-C.; Ge, N.; Zhai, Y.-Q.; Zhang, T.; Ding, Y.-S.; Zheng, Y.-Z. An Imido Ligand Significantly Enhances the Effective Energy Barrier of Dysprosium(Iii) Single-Molecule Magnets. Chem. Commun. 2019, 55, 9355–9358. [Google Scholar] [CrossRef]
- Long, J.; Shestakov, B.G.; Liu, D.; Chibotaru, L.F.; Guari, Y.; Cherkasov, A.V.; Fukin, G.K.; Trifonov, A.A.; Larionova, J. An Organolanthanide(III) Single-Molecule Magnet with an Axial Crystal-Field: Influence of the Raman Process over the Slow Relaxation. Chem. Commun. 2017, 53, 4706–4709. [Google Scholar] [CrossRef] [PubMed]
- Bubnov, M.P.; Cherkasov, V.K.; Teplova, I.A.; Druzhkov, N.O.; Grishin, I.D.; Baranov, E.V.; Bogomyakov, A.S.; Abakumov, G.A. Novel Dioxolene Nickel Complexes with Sterically Hindered Diazabutadienes. Coupling of Aza-Ligands Coordinated to Nickel. Dalton Trans. 2019, 48, 10516–10525. [Google Scholar] [CrossRef]
- Yambulatov, D.S.; Nikolaevskii, S.A.; Babeshkin, K.A.; Efimov, N.N.; Kiskin, M.A.; Eremenko, I.L. Synthesis, Structure, and Magnetic Properties of the Cobalt(Ii) Iodide Complex with 1,4-Diazabuta-1,3-Diene Ligand. Russ. Chem. Bull. 2021, 70, 2390–2396. [Google Scholar] [CrossRef]
- Petrov, P.A.; Sukhikh, T.S.; Piryazev, D.A.; Virovets, A.V.; Konchenko, S.N. Syntheses and Structures of the Cobalt, Nickel, and Zinc Complexes with 1,4-Diaza-1,3-Butadiene Ligands. Russ. J. Coord. Chem. 2013, 39, 11–22. [Google Scholar] [CrossRef]
- Petrov, P.A.; Konchenko, S.N.; Nadolinny, V.A. A New Approach to the Synthesis of Gallium(III) Complexes with α-Diimine Ligands in the Radical Anion Form. Russ. J. Coord. Chem. 2014, 40, 885–890. [Google Scholar] [CrossRef]
- Richter, B.; Scholz, J.; Sieler, J.; Thiele, K.-H. Dad Compounds of Niobium and Tantalum: Examples of the Structural Flexibility of Dad Ligands. Angew. Chem. Int. Ed. Engl. 1996, 34, 2649–2651. [Google Scholar] [CrossRef]
- Zoet, R.; van Koten, G.; Muller, F.; Vrieze, K.; van Wijnkoop, M.; Goubitz, K.; van Halen, C.J.G.; Stam, C.H. Synthesis of Heterodinuclear FeRu(CO)6(R-DAB(6e))(R-DAB=RN=C(H)C(H)=NR) Part XV. Comparison of the Reactivities of Heterodinuclear FeRu(CO)6(R-DAB(6e)) and Homodinuclear Analogues M2(CO)6(R-DAB(6e)) (M = Fe, Ru). Single-Crystal x-Ray Structures of FeRu(CO)6(i-Pr-DAB(6e)) and FeRu(CO)5(i-Pr-DAB(4e))(C3H4). Inorg. Chim. Acta 1988, 149, 193–208. [Google Scholar] [CrossRef]
- Dieck, H.T.; Klaus, J. Diazadien-Rhodium-Komplexe: III. Konformationsstabilität Durch Rhodium(I) ··· H-C-Wechselwirkungen. Festkörper- Und Lösungsstruktur von [(1,5-Cod)RhCl]2(μ-Dad). J. Organomet. Chem. 1983, 246, 301–308. [Google Scholar] [CrossRef]
- Shen, L.; Zhao, Y.; Luo, Q.; Li, Q.-S.; Liu, B.; Redshaw, C.; Wu, B.; Yang, X.-J. Cyclotrimerization of Alkynes Catalyzed by a Self-Supported Cyclic Tri-Nuclear Nickel(0) Complex with α-Diimine Ligands. Dalton Trans. 2019, 48, 4643–4649. [Google Scholar] [CrossRef]
- Yambulatov, D.S.; Lutsenko, I.A.; Nikolaevskii, S.A.; Petrov, P.A.; Smolyaninov, I.V.; Malyants, I.K.; Shender, V.O.; Kiskin, M.A.; Sidorov, A.A.; Berberova, N.T.; et al. Diimine Cisplatin Derivatives: Synthesis, Structure, Cyclic Voltammetry and Cytotoxicity. Molecules 2022, 27, 8565. [Google Scholar] [CrossRef] [PubMed]
- Trouts, T.D.; Tyson, D.S.; Pohl, R.; Kozlov, D.V.; Waldron, A.G.; Castellano, F.N. Dinuclear Metal-Organic Material for Binary Optical Recording. Adv. Funct. Mater. 2003, 13, 398–402. [Google Scholar] [CrossRef]
- CXRO. X-Ray Properties of the Elements. 1995. Available online: http://www.cxro.lbl.gov (accessed on 27 October 2025).
- Luo, C.; Xu, C.; Lv, L.; Li, H.; Huang, X.; Liu, W. Review of Recent Advances in Inorganic Photoresists. RSC Adv. 2020, 10, 8385–8395. [Google Scholar] [CrossRef]
- Wang, D.; Xu, R.; Zhou, D.; Zhao, J.; Zhang, J.; Chen, P.; Peng, X. Zn-Ti Oxo Cluster Photoresists for EUV Lithography: Cluster Structure and Lithographic Performance. Chem. Eng. J. 2024, 493, 152315. [Google Scholar] [CrossRef]
- Chen, H.; Huang, X.; Zhao, Y.; Zhao, J.; Chen, P.; Peng, X. Balancing Sensitivity and Resolution by Feedback Regulation of Free Radicals from Sn-C Bonds in Tin-Oxygen Clusters EBL Photoresist. Sci. China Mater. 2024, 67, 3142–3150. [Google Scholar] [CrossRef]
- Chen, H.; Peng, Y.; Fu, H.; Han, F.; Shi, G.; Luo, F.; Zhao, J.; Zhou, D.; Chen, P.; Peng, X. Effect of Free Radicals on Irradiation Chemistry of a Double-Coordination Organotin (Sn4) Photoresist by Adjusting Alkyl Ligands. CCS Chem. 2024, 6, 2044–2053. [Google Scholar] [CrossRef]
- Abakumov, G.A.; Cherkasov, V.K.; Piskunov, A.V.; Trofimova, O.Y.; Romanenko, G.V. Activating Complex Formation in the Diazabutadiene-Zinc Halide System. Dokl. Chem. 2010, 434, 237–240. [Google Scholar] [CrossRef]
- Beloglazkina, E.K.; Yudin, I.V.; Majouga, A.G.; Moiseeva, A.A.; Tursina, A.I.; Zyk, N.V. Synthesis and Electrochemical Study of 2-(2-Pyridyl)Benzothiazole Complexes with Transition Metals (CoII, NiII, and CuII). Molecular Structure of Aquabis[2-(2-Pyridyl)Benzothiazole]Copper(II) Diperchlorate. Russ. Chem. Bull. 2006, 55, 1803–1809. [Google Scholar] [CrossRef]
- Kim, J.H.; Mertens, R.T.; Agarwal, A.; Parkin, S.; Berger, G.; Awuah, S.G. Direct Intramolecular Carbon(Sp2)-Nitrogen(Sp2) Reductive Elimination from Gold(Iii). Dalton Trans. 2019, 48, 6273–6282. [Google Scholar] [CrossRef]
- Nolte, C.; Mayer, P.; Straub, B.F. Isolation of a Copper(I) Triazolide: A “Click” Intermediate. Angew. Chem.-Int. Ed. 2007, 46, 2101–2103. [Google Scholar] [CrossRef]
- El-Ayaan, U.; Abdel-Aziz, A.A.-M. Synthesis, Antimicrobial Activity and Molecular Modeling of Cobalt and Nickel Complexes Containing the Bulky Ligand: Bis[N-(2,6-Diisopropylphenyl)Imino] Acenaphthene. Eur. J. Med. Chem. 2005, 40, 1214–1221. [Google Scholar] [CrossRef]
- Yang, L.; Powell, D.R.; Houser, R.P. Structural Variation in Copper(I) Complexes with Pyridylmethylamide Ligands: Structural Analysis with a New Four-Coordinate Geometry Index, Τ4. J. Chem. Soc. Dalton Trans. 2007, 9, 955–964. [Google Scholar] [CrossRef]
- Zhong, Y.; Wu, Y.; Mei, D.; Wen, S.; Doert, T. Synthesis, Crystal Structures and Luminescent Properties of Three Layered Zinc Complexes: Zn(1,10-Phen)MI2 (m = 1, 2) and Zn2(1,10-Phen)2C2O4Br2 (Phen = Phenanthroline). J. Mol. Struct. 2022, 1265, 133489. [Google Scholar] [CrossRef]
- Zhao, X.-S.; Luo, J.-S.; Tian, Y.-P. {9-Hexyl-2-[2-Phenyl-6-(Pyridin-2-Yl) Pyridin-4-Yl]-9H-Carbazole} Diiodidozinc. Struct. Rep. 2013, 69, m553. [Google Scholar] [CrossRef]
- Khalaji, A.D.; Grivani, G.; Akerdi, S.J.; Stoeckli-Evans, H.; Das, D. Synthesis, Spectroscopic and Thermal Studies of Zinc(II) Complexes with the Symmetrical Bidentate Schiff-Base Ligand (2,3-MeO-Ba) 2en: Crystal Structure of Zn((2,3-MeO-Ba) 2en)I2. J. Chem. Crystallogr. 2012, 42, 83–88. [Google Scholar] [CrossRef]
- Seebacher, J.; Ji, M.; Vahrenkamp, H. (Neocuproin)Zinc Thiolates: Attempts at Modeling Cobalamin-Independent Methionine Synthase. Eur. J. Inorg. Chem. 2004, 2004, 409–417. [Google Scholar] [CrossRef]
- Fumoto, T.; Tanaka, R.; Ooyama, Y. Aggregation-Induced Emission of a Bis(Imino)Acenaphthene Zinc Complex with Tetraphenylethene Units. Dalton Trans. 2023, 52, 5047–5055. [Google Scholar] [CrossRef]
- Evans, D.A.; Lee, L.M.; Vargas-Baca, I.; Cowley, A.H. Photophysical Tuning of the Aggregation-Induced Emission of a Series of Para-Substituted Aryl Bis(Imino)Acenaphthene Zinc Complexes. Dalton Trans. 2015, 44, 11984–11996. [Google Scholar] [CrossRef]
- Dong, Y.W.; Fan, R.Q.; Chen, W.; Zhang, H.J.; Song, Y.; Du, X.; Wang, P.; Wei, L.G.; Yang, Y.L. Luminescence Properties of a Zn(II) Supramolecular Framework: Easily Tunable Optical Properties by Variation of the Alkyl Substitution of (E)-N-(Pyridine-2-Ylethylidyne)Arylamine Ligands. RSC Adv. 2016, 6, 110422–110432. [Google Scholar] [CrossRef]
- Evans, D.A.; Lee, L.M.; Vargas-Baca, I.; Cowley, A.H. Aggregation-Induced Emission of Bis(Imino)Acenaphthene Zinc Complexes: Photophysical Tuning via Methylation of the Flanking Aryl Substituents. Organometallics 2015, 34, 2422–2428. [Google Scholar] [CrossRef]
- Poddel’sky, A.I.; Smolyaninov, I.V.; Druzhkov, N.O.; Fukin, G.K. Heterometallic Antimony(V)-Zinc and Antimony(V)-Copper Complexes Comprising Catecholate and Diazadiene as Redox Active Centers. J. Organomet. Chem. 2021, 952, 121994. [Google Scholar] [CrossRef]
- Brooks, A.C.; Basore, K.; Bernhard, S. Photon-Driven Reduction of Zn2+ to Zn Metal. Inorg. Chem. 2013, 52, 5794–5800. [Google Scholar] [CrossRef]
- Ershova, I.V.; Meshcheryakova, I.N.; Trofimova, O.Y.; Pashanova, K.I.; Arsenyeva, K.V.; Khamaletdinova, N.M.; Smolyaninov, I.V.; Arsenyev, M.V.; Cherkasov, A.V.; Piskunov, A.V. Complexes of Metal Halides with Unreduced O-(Imino)Quinones. Inorg. Chem. 2021, 60, 12309–12322. [Google Scholar] [CrossRef] [PubMed]
- Khrizanforova, V.V.; Morozov, V.I.; Khrizanforov, M.N.; Lukoyanov, A.N.; Kataeva, O.N.; Fedushkin, I.L.; Budnikova, Y.H. Iron Complexes of BIANs: Redox Trends and Electrocatalysis of Hydrogen Evolution. Polyhedron 2018, 154, 77–82. [Google Scholar] [CrossRef]
- Yambulatov, D.S.; Nikolaevskii, S.A.; Kiskin, M.A.; Kholin, K.V.; Khrizanforov, M.N.; Budnikova, Y.G.; Babeshkin, K.A.; Efimov, N.N.; Goloveshkin, A.S.; Imshennik, V.K.; et al. Generation of a Hetero Spin Complex from Iron(II) Iodide with Redox Active Acenaphthene-1,2-Diimine. Molecules 2021, 26, 2998. [Google Scholar] [CrossRef]
- Paulovicova, A.; El-Ayaan, U.; Shibayama, K.; Morita, T.; Fukuda, Y. Mixed-Ligand Copper(II) Complexes with the Rigid Bidentate Bis (N-Arylimino) Acenaphthene Ligand: Synthesis, Spectroscopic-, and X-Ray Structural Characterization. Eur. J. Inorg. Chem. 2001, 2001, 2641–2646. [Google Scholar] [CrossRef]
- Bantreil, X.; Nolan, S.P. Synthesis of N-Heterocyclic Carbene Ligands and Derived Ruthenium Olefin Metathesis Catalysts. Nat. Protoc. 2011, 6, 69–77. [Google Scholar] [CrossRef] [PubMed]
- Sheldrick, G.M. SADABS; Bruker AXS Inc.: Madison, WI, USA, 1997. [Google Scholar]
- Sheldrick, G.M. Crystal Structure Refinement with SHELXL. Acta Crystallogr. Sect. C. 2015, 71, 3–8. [Google Scholar] [CrossRef] [PubMed]
- Dolomanov, O.V.; Bourhis, L.J.; Gildea, R.J.; Howard, J.A.K.; Puschmann, H. OLEX2: A Complete Structure Solution, Refinement and Analysis Program. J. Appl. Crystallogr. 2009, 42, 339–341. [Google Scholar] [CrossRef]
- TOPAS Software, version 4.2; Bruker AXS: Karlsruhe, Germany, 2009.











| Ligand Form/Bond | Free Ligand | Monoanionic | Dianionic | |||
|---|---|---|---|---|---|---|
| (Ar-BIAN)0 | (Ar-DAD)0 | (Ar-BIAN)− | (Ar-DAD)− | (Ar-BIAN)2− | (Ar-DAD)2− | |
| C–N, av. | 1.28 | 1.29 | 1.33 | 1.34 | 1.39 | 1.40 |
| C–C | 1.53 | 1.47 | 1.45 | 1.38 | 1.40 | 1.36 |
| Ligand Form/Bond | Free Ligand | Monoanionic | Dianionic | |||
|---|---|---|---|---|---|---|
| (Ar-BIAN)0 | (Ar′-DAD)0 | (Ar-BIAN)− | (Ar′-DAD)− | (Ar-BIAN)2− | (Ar′-DAD)2− | |
| C–N | 1671, 1652, 1642 | 1620 | 1500–1550 | 1500–1550 | 1310 | 1300–1350 |
| Complex/Parameters | 1 | 2 | 3 | 4 |
|---|---|---|---|---|
| Zn–X | 2.5419(4) | 2.5285(9) | 2.4691(8), 2.5213(7) | 2.1977(9) |
| Zn–N | 2.099(2) | 2.094(6) | 2.141(4), 2.154(4) | 2.085(2) |
| N=Cimine | 1.267(4) | 1.270(11) | 1.291(6), 1.291(6) | 1.263(4) |
| N–Car | 1.449(3) | 1.451(9) | 1.463(6), 1.468(6) | 1.449(3) |
| Cimine–Cimine | 1.475(6) | 1.481(17) | 1.532(6) | 1.486(5) |
| Zn–N–Cimine | 111.58(19) | 112.2(5) | 110.7(3), 111.7(3) | 112.57(18) |
| Zn–N–Car | 129.89(18) | 128.7(5) | 130.1(3), 130.7(3) | 128.32(18) |
| N–Zn–N | 79.63(13) | 79.5(3) | 79.81(15) | 79.34(12) |
| N–Zn–X | 112.06(7), 116.16(7) | 113.25(16), 114.71(17) | 111.31(11)–117.41(10) | 113.10(7), 114.59(8) |
| X–Zn–X | 115.79 (2) | 116.20(6) | 112.66(3) | 116.63(5) |
| N–Cimine–Cimine–N | 0 | 0 | 2.0(6) | 0 |
| Cimine–N–CAr–Corto | 86.7(4) | 90.3(9) | 82.4(6), 87.9(6) | 90.0(4) |
| τ4 | 0.905 | 0.916 | 0.889 | 0.913 |
| Interaction (Element of Symmetry) | H⋅⋅⋅Cg, Å | H–Perp, Å | γ, deg | C–X⋅⋅⋅Cg, deg | C⋅⋅⋅Cg, Å |
|---|---|---|---|---|---|
| 1 | |||||
| C9–H9…Cg2(C2–C7) (3/2 − x, −1/2 + y, 1/2 − z) | 2.76 | 2.68 | 14.1 | 142 | 3.585(4) |
| C22–H22…Cg2(C2–C7) (3/2 − x, 1/2 + y, 1/2 − z) | 2.84 | 2.73 | 16.3 | 142 | 3.661(4) |
| 3 | |||||
| C4–H4…Cg5(C13–C18) | 2.87 | 2.68 | 21.3 | 141 | 3.641(6) |
| C11–H11…Cg6(C25–C30) | 2.94 | 2.73 | 22.0 | 139 | 3.697(6) |
| C16–H16…Cg6(C25–C30) (−1/2 − x, y, 1/2 − z) | 2.69 | 2.66 | 9.6 | 154 | 3.552(8) |
| C2S–H2SB…Cg5 (C13–C18) (x, 1/2 − y, 1/2 + z) | 2.80 | 2.75 | 10.7 | 131 | 3.502(14) |
| C4–H4…Cg5(C13–C18) | 2.87 | 2.68 | 21.3 | 141 | 3.641(6) |
| Compound | Ered11/2, V | Ia/Ic | Ered21/2, V | Ia/Ic | Ered31/2, V | Ia/Ic | Eoxp, V |
|---|---|---|---|---|---|---|---|
| 1 | –0.42 | 0.60 | –1.60 | 0.71 | – | – | 0.74 |
| 2 | –0.47 | 0.75 | –1.65 | 0.71 | – | – | 0.73 |
| 3 | –0.53 | 0.78 | –1.45 | 0.70 | −1.95 | 0.90 | 0.74 |
| 4 * | –0.54 | 0.86 | –1.65 | – | – | – | – |
| Parameter | Value | |||
|---|---|---|---|---|
| 1 | 2 | 3 | 4 | |
| Molecular formula | C20H24I2N2Zn | C26H36I2N2Zn | C38H43I2N3Zn | C26H34Cl2N2Zn |
| Mw, g mol−1 | 611.58 | 695.74 | 860.92 | 510.82 |
| T, K | 150(2) | 100(2) | 296(2) | 150(2) |
| Crystal system | Monoclinic | Monoclinic | Orthorhombic | Monoclinic |
| Space group | C2/c | C2/c | Pbca | C2/c |
| a, Å | 22.0117(10) | 20.515(4) | 19.6052(7) | 20.9923(11) |
| b, Å | 7.0135(3) | 7.0920(13) | 19.3380(8) | 6.7220(4) |
| c, Å | 16.2294(8) | 20.165(4) | 19.8200(7) | 19.7409(12) |
| β, deg | 117.8317(16) | 107.500(7) | 90 | 106.909(2) |
| V, Å3 | 2215.65(18) | 2798.1(9) | 7514.3(5) | 2665.2(3) |
| Z | 4 | 4 | 8 | 4 |
| ρcalcd, g cm−3 | 1.833 | 1.652 | 1.522 | 1.273 |
| μ, mm−1 | 3.900 | 3.099 | 2.325 | 1.137 |
| Tmin, Tmax | 0.5943, 0.7467 | 0.2532, 0.3813 | 0.5125, 0.7461 | 0.5823, 0.7460 |
| θ range, deg | 3.19–33.96 | 2.08–26.00 | 2.32–28.28 | 3.28–26.00 |
| F(000) | 1176 | 1368 | 3424 | 1072 |
| Index range | −34 ≤ h ≤ −31 −9 ≤ k ≤ 10 −24 ≤ l ≤ 24 | −25 ≤ h ≤ 25 −8 ≤ k ≤ 8 −24 ≤ l ≤ 24 | −26 ≤ h ≤ 26 −25 ≤ k ≤ 25 −26 ≤ l ≤ 26 | 25 ≤ h ≤ 24 0 ≤ k ≤ 8 0 ≤ l ≤ 24 |
| Number of reflections collected | 12,055 | 7978 | 77,527 | 2697 |
| Number of unique reflections | 3964 | 2723 | 9317 | 2697 |
| Rint | 0.0320 | 0.0386 | 0.0826 | 0.0465 |
| Number of reflections with I > 2σ(I) | 3070 | 2507 | 6631 | 2490 |
| GooF | 1.132 | 1.170 | 1.142 | 1.151 |
| R factor on F2 > 2σ(F2) | 0.0414 | 0.0624 | 0.0771 | 0.0397 |
| R factor (all data) | 0.1112 | 0.1662 | 0.1443 | 0.1224 |
| Δρmax/Δρmin, e/Å3 | 1.307/−1.339 | 2.245/−1.978 | 0.990/−0.740 | 0.633/−0.346 |
Disclaimer/Publisher’s Note: The statements, opinions and data contained in all publications are solely those of the individual author(s) and contributor(s) and not of MDPI and/or the editor(s). MDPI and/or the editor(s) disclaim responsibility for any injury to people or property resulting from any ideas, methods, instructions or products referred to in the content. |
© 2025 by the authors. Licensee MDPI, Basel, Switzerland. This article is an open access article distributed under the terms and conditions of the Creative Commons Attribution (CC BY) license (https://creativecommons.org/licenses/by/4.0/).
Share and Cite
Yambulatov, D.S.; Gogoleva, N.V.; Smolyaninov, I.V.; Bushuev, V.A.; Tychinina, A.A.; Samulionis, A.S.; Voronina, J.K.; Skabitsky, I.V.; Shapovalov, S.S.; Nikolaevskii, S.A.; et al. Zinc(II) Iodide Complexes with Redox-Active α-Diimine Ligands: Synthesis, Structure, Spectroscopic and Electrochemical Properties. Crystals 2025, 15, 967. https://doi.org/10.3390/cryst15110967
Yambulatov DS, Gogoleva NV, Smolyaninov IV, Bushuev VA, Tychinina AA, Samulionis AS, Voronina JK, Skabitsky IV, Shapovalov SS, Nikolaevskii SA, et al. Zinc(II) Iodide Complexes with Redox-Active α-Diimine Ligands: Synthesis, Structure, Spectroscopic and Electrochemical Properties. Crystals. 2025; 15(11):967. https://doi.org/10.3390/cryst15110967
Chicago/Turabian StyleYambulatov, Dmitriy S., Natalia V. Gogoleva, Ivan V. Smolyaninov, Vladimir A. Bushuev, Anna A. Tychinina, Alexandra S. Samulionis, Julia K. Voronina, Ivan V. Skabitsky, Sergey S. Shapovalov, Stanislav A. Nikolaevskii, and et al. 2025. "Zinc(II) Iodide Complexes with Redox-Active α-Diimine Ligands: Synthesis, Structure, Spectroscopic and Electrochemical Properties" Crystals 15, no. 11: 967. https://doi.org/10.3390/cryst15110967
APA StyleYambulatov, D. S., Gogoleva, N. V., Smolyaninov, I. V., Bushuev, V. A., Tychinina, A. A., Samulionis, A. S., Voronina, J. K., Skabitsky, I. V., Shapovalov, S. S., Nikolaevskii, S. A., & Kiskin, M. A. (2025). Zinc(II) Iodide Complexes with Redox-Active α-Diimine Ligands: Synthesis, Structure, Spectroscopic and Electrochemical Properties. Crystals, 15(11), 967. https://doi.org/10.3390/cryst15110967

