Sign in to use this feature.

Years

Between: -

Subjects

remove_circle_outline
remove_circle_outline
remove_circle_outline
remove_circle_outline
remove_circle_outline
remove_circle_outline
remove_circle_outline
remove_circle_outline
remove_circle_outline

Journals

remove_circle_outline
remove_circle_outline
remove_circle_outline
remove_circle_outline
remove_circle_outline
remove_circle_outline
remove_circle_outline
remove_circle_outline
remove_circle_outline
remove_circle_outline
remove_circle_outline
remove_circle_outline
remove_circle_outline
remove_circle_outline
remove_circle_outline
remove_circle_outline

Article Types

Countries / Regions

remove_circle_outline
remove_circle_outline
remove_circle_outline
remove_circle_outline
remove_circle_outline
remove_circle_outline

Search Results (2,105)

Search Parameters:
Keywords = reactor analysis

Order results
Result details
Results per page
Select all
Export citation of selected articles as:
16 pages, 3259 KB  
Article
Effect of Process Parameters on Plasma-Enhanced Solvolysis of CFRPs
by Dimitrios Marinis, Ilektra Tourkantoni, Ergina Farsari, Eleftherios Amanatides and Konstantinos Tserpes
Materials 2025, 18(22), 5081; https://doi.org/10.3390/ma18225081 (registering DOI) - 8 Nov 2025
Abstract
The current study investigates plasma-assisted chemical recycling as an innovative approach to recover valuable carbon fibers from composite waste while minimizing environmental impact. Nitrogen and argon plasma-in-bubbles are employed in a concentrated nitric acid solution, thus enhancing conventional nitric acid solvolysis with plasma [...] Read more.
The current study investigates plasma-assisted chemical recycling as an innovative approach to recover valuable carbon fibers from composite waste while minimizing environmental impact. Nitrogen and argon plasma-in-bubbles are employed in a concentrated nitric acid solution, thus enhancing conventional nitric acid solvolysis with plasma chemistry. A systematic process framework is presented, revealing key operational stages, including composite pretreatment, composite solvolysis, carbon fiber recovery/characterization, NOx recovery, nitric acid circulation, and byproduct management, demonstrating their role in the overall process efficiency and environmental impact. Moreover, the research examined different processing conditions, including plasma power, acid concentration, and reactor design, while comparing open-air systems to systems equipped with single-stage or two-stage wet scrubbers for NOx recovery. Remarkably, recycled fibers from plasma-assisted solvolysis demonstrated preserved or even slightly enhanced mechanical properties compared to those of the virgin fibers. Recycled carbon fibers originating from the operation at 1200 W and 12 M HNO3 demonstrated the best mechanical properties with 3138.92 MPa tensile strength and 307.02 GPa Young’s modulus. However, the parametric analysis revealed that operating the plasma reactor at 1200 W and 14 M, equipped with a two-stage scrubber, achieved optimal environmental performance. Full article
20 pages, 941 KB  
Review
Review of Wood Sawdust Pellet Biofuel: Preliminary SWOT and CAME Analysis
by Artemio García-Flores, Guadalupe Juliana Gutiérrez-Paredes, Emmanuel Alejandro Merchán-Cruz, Alejandro Zacarías, Luis Armando Flores-Herrera and Juan Manuel Sandoval-Pineda
Processes 2025, 13(11), 3607; https://doi.org/10.3390/pr13113607 - 7 Nov 2025
Abstract
This work presents a preliminary “Strengths, Weaknesses, Opportunities, and Threats” (SWOT) analysis followed by a “Correct, Adapt, Maintain, and Explore” (CAME) analysis on wood sawdust biofuel. New designs of sawdust biofuels boilers and reactors require gathering relevant information on the main characteristics of [...] Read more.
This work presents a preliminary “Strengths, Weaknesses, Opportunities, and Threats” (SWOT) analysis followed by a “Correct, Adapt, Maintain, and Explore” (CAME) analysis on wood sawdust biofuel. New designs of sawdust biofuels boilers and reactors require gathering relevant information on the main characteristics of sawdust biofuels. Optimisation algorithms require not only the numerical parameters needed to find optimal solutions but also the consideration of scenarios related to the use of this type of biofuel. This work provides complementary information to create a comprehensive framework for assessing the viability and sustainability of integrating wood sawdust into diverse energy production systems. This includes an examination of the current state of sawdust utilisation, its environmental implications, and the potential of valorising this abundant biomass resource. This review further delves into the technical aspects of converting sawdust into biofuel pellets, examining various technical processes involved in its physical analysis. The intended audience of this review encompasses researchers, mechanical designers, policymakers, and industry strategists and stakeholders interested in sustainable energy solutions and waste management strategies, providing a holistic perspective on the opportunities presented by wood sawdust as a renewable energy source. Full article
(This article belongs to the Section Environmental and Green Processes)
24 pages, 6953 KB  
Article
In Vitro and In Silico Evaluation of the Pyrolysis of Polyethylene and Polypropylene Environmental Waste
by Joaquín Alejandro Hernández Fernández, Katherine Liset Ortiz Paternina, Jose Alfonso Prieto Palomo, Edgar Marquez and Maria Cecilia Ruiz
Polymers 2025, 17(22), 2968; https://doi.org/10.3390/polym17222968 - 7 Nov 2025
Abstract
Plastic pollution, driven by the durability and widespread use of polyolefins such as polypropylene (PP) and high-density polyethylene (HDPE), poses a formidable environmental challenge. To address this issue, we have developed an integrated multiscale framework that combines thermocatalytic experimentation, process-scale simulation, and molecular-level [...] Read more.
Plastic pollution, driven by the durability and widespread use of polyolefins such as polypropylene (PP) and high-density polyethylene (HDPE), poses a formidable environmental challenge. To address this issue, we have developed an integrated multiscale framework that combines thermocatalytic experimentation, process-scale simulation, and molecular-level modeling to optimize the catalytic pyrolysis of PP and HDPE waste. Under the identified optimal conditions (300 °C, 10 wt % HMOR zeolite), liquid-oil yields of 60.8% for PP and 87.3% for HDPE were achieved, accompanied by high energy densities (44.2 MJ/kg, RON 97.5 for PP; 43.7 MJ/kg, RON 115.2 for HDPE). These values significantly surpass those typically reported for uncatalyzed pyrolysis, demonstrating the efficacy of HMOR in directing product selectivity toward valuable liquids. Above 400 °C, the process undergoes a pronounced shift toward gas generation, with gas fractions exceeding 50 wt % by 441 °C, underscoring the critical influence of temperature on product distribution. Gas-phase analysis revealed that PP-derived syngas contains primarily methane (20%) and ethylene (19.5%), whereas HDPE-derived gas features propylene (1.9%) and hydrogen (1.5%), highlighting intrinsic differences in bond-scission pathways governed by polymer architectures. Aspen Plus process simulations, calibrated against experimental data, reliably predict product distributions with deviations below 20%, offering a rapid, cost-effective tool for reactor design and scale-up. Complementary density functional theory (DFT) calculations elucidate the temperature-dependent energetics of C–C bond cleavage and radical formation, revealing that system entropy increases sharply at 500–550 °C, favoring the generation of both liquid and gaseous intermediates. By directly correlating catalyst acidity, molecular reaction mechanisms, and process-scale performance, this study fills a critical gap in plastic-waste valorization research. The resulting predictive platform enables rational design of catalysts and operating conditions for circular economy applications, paving the way for scalable, efficient recovery of fuels and chemicals from mixed polyolefin waste. Full article
(This article belongs to the Special Issue Polymer Composites in Municipal Solid Waste Landfills)
Show Figures

Figure 1

20 pages, 2492 KB  
Article
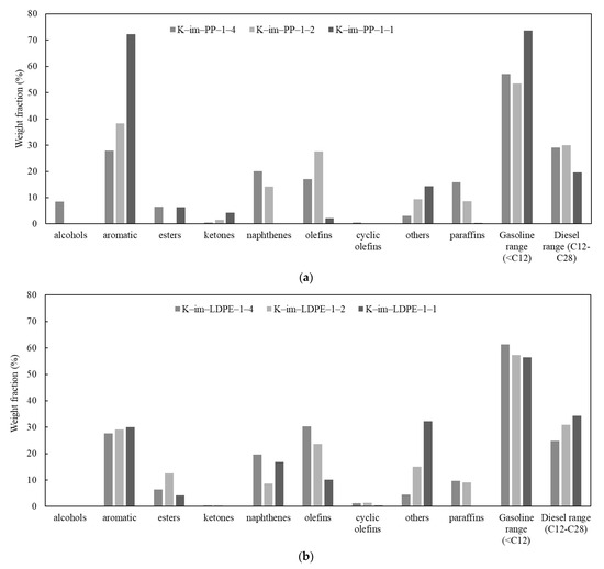
Polyethylene and Polypropylene Pyrolysis Using Fe3+-Modified Kaolin Catalyst for Enhanced Gas and Pyrolysis Oil Production
by Sergey Nechipurenko, Binara Dossumova, Sergey Efremov, Nazar Zabara, Aigerim Kaiaidarova, Olga Ibragimova, Anara Omarova, Fedor Pogorov and Diyar Tokmurzin
Polymers 2025, 17(21), 2963; https://doi.org/10.3390/polym17212963 - 6 Nov 2025
Abstract
Calcined and acid-leached kaolin impregnated with Fe(NO3)3·9H2O (6.6 wt. % Fe2O3) was developed as an inexpensive bifunctional catalyst for the slow fixed-bed pyrolysis of polypropylene (PP) and low-density polyethylene (LDPE). Experiments were run [...] Read more.
Calcined and acid-leached kaolin impregnated with Fe(NO3)3·9H2O (6.6 wt. % Fe2O3) was developed as an inexpensive bifunctional catalyst for the slow fixed-bed pyrolysis of polypropylene (PP) and low-density polyethylene (LDPE). Experiments were run with catalyst-to-plastic mass ratios of 1:4, 1:2, and 1:1 in a quartz tube reactor heated from 25 to 800 °C. For PP, increasing the Fe/kaolin loading progressively raised non-condensable gas from 26 wt. % to 44 wt. % and drove liquid aromatics from 27.9% to 72.3%, while combined paraffins olefins fell to 2.5% and wax exhibited a 46 → 24 → 36 wt. % trend. In contrast, LDPE at a 1:4 ratio already yielded 56 wt. % oil and only 22 wt. % wax; further catalyst addition mainly enhanced CH4/CO-rich pyrolysis gas (PyGas) and char without substantially boosting aromatics. Gas analysis confirmed that Fe2O3 reduction and kaolin de-hydroxylation generated in situ H2O, CO, and H2. Given the catalyst’s low cost, regenerability, and ability to valorize the two most abundant waste polyolefins within the same reactor, the process offers a scalable route to flexible fuel and gas production from mixed plastic streams. Full article
(This article belongs to the Section Circular and Green Sustainable Polymer Science)
Show Figures

Figure 1

22 pages, 1600 KB  
Article
Porous Metal Electrodes in Microbubble Surface Dielectric Barrier Discharge Plasma Reactors for Methylene Blue Removal
by Emil Ninan Skariah and Minkwan Kim
Separations 2025, 12(11), 306; https://doi.org/10.3390/separations12110306 - 5 Nov 2025
Viewed by 67
Abstract
The present study evaluates a surface dielectric barrier discharge (SDBD) plasma system utilizing porous metal electrodes to enhance the performance of non-thermal plasma (NTP)-based water treatment. A custom high-voltage, variable-frequency power driver was developed to operate SDBD reactors featuring novel porous electrode configurations [...] Read more.
The present study evaluates a surface dielectric barrier discharge (SDBD) plasma system utilizing porous metal electrodes to enhance the performance of non-thermal plasma (NTP)-based water treatment. A custom high-voltage, variable-frequency power driver was developed to operate SDBD reactors featuring novel porous electrode configurations aimed at enhancing plasma–liquid interaction. Three types of porous metal electrodes—copper (60 ppi), copper (20 ppi), and nickel (60 ppi)—were investigated as ground electrodes to evaluate their impact on discharge behavior and treatment performance. Electrical characterization via Lissajous plot analysis and optical emission spectroscopy (OES) was used to assess plasma power and reactive species generation. Ozone measurement and hydroxyterephthalic acid (HTA) dosimetry confirmed the formation of O3 and hydroxyl radicals (·OH), while methylene blue (MB) removal experiments quantified pollutant removal percentage and energy yield. Among the tested electrodes, the copper (20 ppi) configuration achieved the highest MB removal percentage of 95.07%, followed by nickel (60 ppi) with 90.53%, and copper (60 ppi) with only 27.55%. Correspondingly, the energy yield (EY) reached 0.349 g/kWh for copper (20 ppi) at 15 min of plasma exposure, 0.19 g/kWh for nickel (60 ppi) at 20 min, and 0.049 g/kWh for copper (60 ppi) at 15 min. These results highlight the potential of porous metal electrodes as effective design choices for optimizing plasma–liquid interaction in SDBD systems. The findings support the development of compact, energy-efficient plasma water purification technologies using air-fed, surface DBD configurations. Full article
(This article belongs to the Special Issue Adsorption/Degradation Methods for Water and Wastewater Treatment)
Show Figures

Figure 1

10 pages, 1742 KB  
Proceeding Paper
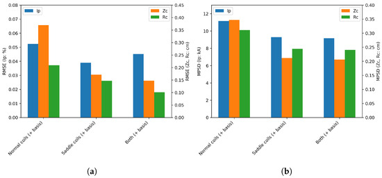
Bayesian Integrated Data Analysis and Experimental Design for External Magnetic Plasma Diagnostics in DEMO
by Jeffrey De Rycke, Alfredo Pironti, Marco Ariola, Antonio Quercia and Geert Verdoolaege
Phys. Sci. Forum 2025, 12(1), 13; https://doi.org/10.3390/psf2025012013 - 4 Nov 2025
Abstract
Magnetic confinement nuclear fusion offers a promising solution to the world’s growing energy demands. The DEMO reactor presented here aims to bridge the gap between laboratory fusion experiments and practical electricity generation, posing unique challenges for magnetic plasma diagnostics due to limited space [...] Read more.
Magnetic confinement nuclear fusion offers a promising solution to the world’s growing energy demands. The DEMO reactor presented here aims to bridge the gap between laboratory fusion experiments and practical electricity generation, posing unique challenges for magnetic plasma diagnostics due to limited space for diagnostic equipment. This study employs Bayesian inference and Gaussian process modeling to integrate data from pick-up coils, flux loops, and saddle coils, enabling a qualitative estimation of the plasma current density distribution relying on only external magnetic measurements. The methodology successfully infers total plasma current, plasma centroid position, and six plasma–wall gap positions, while adhering to DEMO’s stringent accuracy standards. Additionally, the interchangeability between normal pick-up coils and saddle coils was assessed, revealing a clear preference for saddle coils. Initial steps were taken to utilize Bayesian experimental design for optimizing the orientation (normal or tangential) of pick-up coils within DEMO’s design constraints to improve the diagnostic setup’s inference precision. Our approach indicates the feasibility of Bayesian integrated data analysis in achieving precise and accurate probability distributions of plasma parameter crucial for the successful operation of DEMO. Full article
Show Figures

Figure 1

14 pages, 2799 KB  
Article
Application of Dynamic PRA to Nuclear Power Plant Operation Support—Evaluation of Plant Operation Support Using a Simple Plant Model
by Nami Yamamoto, Mami Kagimoto, Yohei Ueno, Takafumi Narukawa and Takashi Takata
J. Nucl. Eng. 2025, 6(4), 46; https://doi.org/10.3390/jne6040046 - 4 Nov 2025
Viewed by 115
Abstract
Following the Great East Japan Earthquake in 2011, there has been an increased focus on risk assessment and the practical application of its findings to safety enhancement. In particular, dynamic probabilistic risk assessment (PRA) used in conjunction with plant dynamics analysis is being [...] Read more.
Following the Great East Japan Earthquake in 2011, there has been an increased focus on risk assessment and the practical application of its findings to safety enhancement. In particular, dynamic probabilistic risk assessment (PRA) used in conjunction with plant dynamics analysis is being considered for accident management (AM) and operational support. Determining countermeasure priorities in AM can be challenging due to the diversity of accident scenarios. In multi-unit operations, the complexity of scenarios increases in cases of simultaneous disasters, which makes establishing response operations priorities more difficult. Dynamic PRA methods can efficiently generate and assess complex scenarios by incorporating changes in plant state. This paper introduces the continuous Markov chain Monte Carlo (CMMC) method, a dynamic PRA approach, as a tool for prioritizing countermeasures to support nuclear power plant operations. The proposed method involves three steps: (1) generating exhaustive scenarios that include events, operator actions, and system responses; (2) classifying scenarios according to countermeasure patterns; and (3) assigning priority based on risk data for each pattern. An evaluation was conducted using a simple plant model to analyze event countermeasure patterns for addressing steam generator tube rupture during single-unit operation. The generated scenario patterns included depressurization by opening a pressurizer relief valve (DP), depressurization via heat removal through the steam generator (DSG), and both operations combined (DP + DSG). The timing of the response operations varied randomly, resulting in multiple scenarios. The assessment, based on reactor pressure vessel water level and the potential for core damage, showed that the time margin to core damage depended on the countermeasure pattern. The findings indicate that the effectiveness of each countermeasure can be evaluated and that it is feasible to identify which countermeasure should be prioritized. Full article
(This article belongs to the Special Issue Probabilistic Safety Assessment and Management of Nuclear Facilities)
Show Figures

Figure 1

28 pages, 1384 KB  
Article
Effect of Solidified Carbon Dioxide Pretreatment on Chlorella vulgaris Biomass Prior to Anaerobic Digestion
by Joanna Kazimierowicz, Marcin Dębowski and Marcin Zieliński
Energies 2025, 18(21), 5774; https://doi.org/10.3390/en18215774 - 1 Nov 2025
Viewed by 223
Abstract
The aim of this study was to evaluate the effect of low-temperature disintegration of Chlorella vulgaris using solidified carbon dioxide (SCO2) on the efficiency of anaerobic digestion of microalgae biomass. The novelty of this study resides in the pioneering application of [...] Read more.
The aim of this study was to evaluate the effect of low-temperature disintegration of Chlorella vulgaris using solidified carbon dioxide (SCO2) on the efficiency of anaerobic digestion of microalgae biomass. The novelty of this study resides in the pioneering application of SCO2 for the pretreatment of C. vulgaris biomass to enhance methane fermentation. This approach integrates mechanical disruption of cell walls with improved solubilization of organic fractions at low temperatures, providing an innovative and energy-efficient strategy to boost biomethanogenesis performance. This study was carried out in four stages, including characterisation of substrate properties, evaluation of organic compound solubilization following SCO2 pretreatment, and fermentation under both batch and continuous conditions. Analysis of dissolved COD and TOC fractions revealed a significant increase in the bioavailability of organic matter as a result of SCO2 application, with the highest degree of solubilization observed at a SCO2/C. vulgaris biomass volume ratio of 1:3. In batch reactors, CH4 yield increased significantly to 369 ± 16 mL CH4/g VS, methane content in biogas reached 65.9 ± 1.0%, and kinetic process parameters were improved. Comparable enhancements were observed in continuous fermentation, with the best scenario yielding 243.4 ± 9.5 mL CH4/g VS. Digestate analysis confirmed more efficient degradation of organic fractions, and the stability of methanogenic consortia was maintained, with only moderate changes in the relative abundance of the main groups (Methanosarcinaceae, Methanosaeta). Energy balance calculations indicated a positive net effect of the process. This study represents a pioneering application of SCO2 pretreatment in the context of microalgal biomass and highlights its high potential for intensifying anaerobic digestion. Full article
Show Figures

Figure 1

13 pages, 1935 KB  
Article
Effects of Hydraulic Retention Time on the Performance and Microbial Communities of a High-Load Partial Nitrification Reactor
by Yuhan Liu, Shuyan He, Hangyi Li, Yue Jin, Chunfang Zhang and Wenjie Zhang
Water 2025, 17(21), 3130; https://doi.org/10.3390/w17213130 - 31 Oct 2025
Viewed by 227
Abstract
A high-load partial nitrification reactor (HLPNR) was operated to treat high-ammonia wastewater by varying the hydraulic retention time (HRT). The associated shifts in the microbial community were analyzed using PCR-DGGE and high-throughput sequencing. The results indicated that the reactor achieved a maximum nitrogen [...] Read more.
A high-load partial nitrification reactor (HLPNR) was operated to treat high-ammonia wastewater by varying the hydraulic retention time (HRT). The associated shifts in the microbial community were analyzed using PCR-DGGE and high-throughput sequencing. The results indicated that the reactor achieved a maximum nitrogen loading rate (NLR) of 10.14 kg·N/(m3·d) at an HRT of 1.5 h, with a nitrite accumulation rate (NAR) of 86%. PCR-DGGE analysis revealed Proteobacteria and Nitrosomonas as the dominant phylum and genus, respectively, whose relative abundances varied significantly with HRT. Specifically, the relative abundance of Nitrosomonas sp. G1 increased from 15% to 40%, indicating that the abundances of Proteobacteria and Nitrosomonas were directly related to the load of the HLPNR. High-throughput sequencing revealed a marked decline in both the diversity and abundance of the HLPNR’s microbial community under conditions of reducing load. The dominant genus changed; however, the stability of the HLPNR was not destroyed. It can be inferred that the stability of the HLPNR primarily depended on the enrichment of key functional bacteria rather than on the overall microbial community composition. Full article
(This article belongs to the Section Wastewater Treatment and Reuse)
Show Figures

Figure 1

21 pages, 2349 KB  
Review
Scaling Up Non-Thermal Plasma Technology for Water and Wastewater Treatment: Opportunities and Challenges
by Benjamin Morenas, Sidra Saqib, Ahmad Mukhtar, Jonathan Stromberg and Sarah Wu
Energies 2025, 18(21), 5692; https://doi.org/10.3390/en18215692 - 29 Oct 2025
Viewed by 383
Abstract
Emerging contaminants such as per- and polyfluoroalkyl substances (PFASs) pose significant challenges for conventional wastewater treatment technologies. Non-thermal plasma (NTP) has gained attention as a promising advanced oxidation process capable of degrading persistent pollutants via hydrated electrons and reactive oxygen/nitrogen species under ambient [...] Read more.
Emerging contaminants such as per- and polyfluoroalkyl substances (PFASs) pose significant challenges for conventional wastewater treatment technologies. Non-thermal plasma (NTP) has gained attention as a promising advanced oxidation process capable of degrading persistent pollutants via hydrated electrons and reactive oxygen/nitrogen species under ambient conditions. This review summarizes recent progress in the application and scale-up of NTP for water treatment, with a focus on reactor configurations, degradation mechanisms, and energy efficiency. Key plasma reactor types—including dielectric barrier discharge, corona discharge, plasma jets, and gliding arc discharge—are evaluated for their suitability in large-scale applications. Pilot-scale studies addressing pharmaceuticals, dyes, and PFASs are reviewed to assess scalability, cost, and operational viability. Although NTP systems consistently achieve >80% contaminant removal, optimizing energy use and maintaining performance across complex water matrices remain critical challenges. Hybrid systems integrating NTP with ozonation, ultrafiltration, or cavitation show potential to improve treatment efficacy and reduce energy demands. Future research priorities include reactor design optimization, contaminant-specific plasma tuning, and technoeconomic analysis to support the translation of NTP technologies from lab-scale innovation to field-scale implementation. Full article
(This article belongs to the Special Issue Advances in Wastewater Treatment, 2nd Edition)
Show Figures

Figure 1

13 pages, 3914 KB  
Article
Systematic Monte Carlo Analysis of Binary Compounds for Neutron Shielding in a Compact Nuclear Fusion Reactor
by Fabio Calzavara, Niccolò Di Eugenio, Federico Ledda, Daniele Torsello, Antonio Trotta, Erik Gallo and Francesco Laviano
Appl. Sci. 2025, 15(21), 11557; https://doi.org/10.3390/app152111557 - 29 Oct 2025
Viewed by 173
Abstract
Compact fusion reactors are receiving increasing interest as a promising route for accelerating the path toward commercial fusion, thanks to their reduced size and cost. However, this compactness introduces new technological challenges, including higher radiation loads on critical functional components, such as the [...] Read more.
Compact fusion reactors are receiving increasing interest as a promising route for accelerating the path toward commercial fusion, thanks to their reduced size and cost. However, this compactness introduces new technological challenges, including higher radiation loads on critical functional components, such as the magnet system. Neutron shielding is therefore of utmost importance to guarantee the expected lifetime of the device, and its selection must account for the harsh environment imposed by the high radiation flux. Shielding materials should be structurally stable, not melt within the operational temperature windows, and be relatively low-cost. For nuclear reactor applications, binary compounds are typically the preferred choice as they often meet these requirements, particularly in terms of availability and cost. In this work, we present a systematic Monte Carlo analysis of more than 700 binary compounds, exposed to the neutron spectrum at the most loaded position of the vacuum vessel in a simplified model of a compact fusion reactor. Shielding performances were evaluated in a toroidal geometry in terms of neutron attenuation, power deposition, and activation, leading to the identification of several promising compositions for effective neutron shielding in future fusion applications. Full article
Show Figures

Figure 1

14 pages, 598 KB  
Article
A Forecasted Analysis of the Nuclear Reactor Market to Meet the Global Low-Carbon Industrial Heat Demands
by Seddon Atkinson and Olivia Boardman
Energies 2025, 18(21), 5651; https://doi.org/10.3390/en18215651 - 28 Oct 2025
Viewed by 240
Abstract
There is a global need to reduce greenhouse gases, and industrial applications are one of the hardest-to-abate sectors. These energy-intensive industries require high-temperature heat which predominantly comes from fossil fuels. The United Kingdom National Nuclear Laboratory has developed a model to forecast the [...] Read more.
There is a global need to reduce greenhouse gases, and industrial applications are one of the hardest-to-abate sectors. These energy-intensive industries require high-temperature heat which predominantly comes from fossil fuels. The United Kingdom National Nuclear Laboratory has developed a model to forecast the demand of both electricity and heat up to the year 2050, therefore providing an estimated demand that nuclear energy could help fulfil. This article uses the model to investigate the market potential for light water reactors and high-temperature gas-cooled reactors to determine the applicable heat markets globally. The analysis shows that the demand will be up to 1257 TWh for light water reactors and up to 2123 TWh for high-temperature gas-cooled reactors by 2050. Full article
(This article belongs to the Section B4: Nuclear Energy)
Show Figures

Figure 1

21 pages, 10880 KB  
Article
Experimental Study on Contact Melting of a Metal Plate by a Crusted Corium Considering Intermetallic Interactions
by Junjie Ma, Yuqing Chen, Wenzhen Chen and Hongguang Xiao
Appl. Sci. 2025, 15(21), 11480; https://doi.org/10.3390/app152111480 - 27 Oct 2025
Viewed by 173
Abstract
Under severe reactor accident conditions, the solidified crust of a relocated corium pool may undergo contact melting of internal metallic structures. This process, significantly influenced by complex intermetallic interactions, deviates markedly from conventional analysis. This study provides the first experimental investigation into the [...] Read more.
Under severe reactor accident conditions, the solidified crust of a relocated corium pool may undergo contact melting of internal metallic structures. This process, significantly influenced by complex intermetallic interactions, deviates markedly from conventional analysis. This study provides the first experimental investigation into the influence of the eutectic reaction on the horizontal contact melting process between a crusted melt and a metal plate. Tin is used as a simulant material to replicate intra-reactor mechanisms via its eutectic reaction with copper. Analysis of temperature response and melting velocity revealed that the eutectic reaction drastically enhances heat transfer efficiency during contact conduction, increasing the temperature change rate by up to a factor of 5.36 and substantially accelerating melting initiation. Furthermore, the three-dimensional heat conduction effect of the heat source caused an initial increase in melting rate, while melt relocation subsequently reduced the contact melting speed. Based on experimental data, this work provides an in-depth analysis of melt migration and relocation during contact melting, offering a valuable experimental basis for developing severe accident models. Full article
(This article belongs to the Section Applied Thermal Engineering)
Show Figures

Figure 1

19 pages, 1890 KB  
Article
Sustainable Biofuel Production from Sludge by Oleaginous Fungi: Effect of Process Variables on Lipid Accumulation
by Habib Ullah, Muzammil Anjum, Bushra Noor, Samia Qadeer, Rab Nawaz, Azeem Khalid, Aansa Rukaya Saleem, Bilal Kabeer, Abubakr M. Idris, Muhammad Tayyab Sohail and Zepeng Rao
Catalysts 2025, 15(11), 1009; https://doi.org/10.3390/catal15111009 - 27 Oct 2025
Viewed by 408
Abstract
The current paper investigated the potential of oleaginous fungus Rhizopus oryzae B97 for lipid accumulation under varying process variables. The fungal strain was isolated from bread mold and analyzed for its potential to grow on sludge with simultaneous production of microbial lipids. The [...] Read more.
The current paper investigated the potential of oleaginous fungus Rhizopus oryzae B97 for lipid accumulation under varying process variables. The fungal strain was isolated from bread mold and analyzed for its potential to grow on sludge with simultaneous production of microbial lipids. The sludge sample was sourced from the wastewater treatment plant located in Sector I-9, Islamabad. The effects of various process variables, such as pH, temperature, carbon and nitrogen sources, and shaking, on lipid accumulation, cell dry weight (CDW), chemical oxygen demand (COD), and volatile solids (VS) removal were investigated. It was found that glucose and yeast promoted the maximum lipid accumulation. At the same time, the fungal biomass reached its maximum value of up to 64% at 30 °C and at pH 4 (CDW: 28 g/L). These process conditions also improved the sludge treatment efficiency, achieving 68% COD and 55% VS removal in 168 h. FTIR analysis of the accumulated lipids indicated strong characteristic peaks of functional groups associated with fatty acids. The GC-MS analysis confirmed the production of essential FAMEs required in biodiesel production from the corresponding fatty acids, such as oleic acid, palmitic acid, stearic acid, and erucic acid. Operation in a continuous-shaking aerobic batch reactor (CSABR) system under optimum conditions further improved the process efficiency. Overall, the results indicated the competent potential of oleaginous fungus Rhizopus oryzae B97 for lipid-based biofuel production through fatty acid transesterification. Full article
(This article belongs to the Special Issue Catalysis Accelerating Energy and Environmental Sustainability)
Show Figures

Figure 1

18 pages, 1840 KB  
Article
Kinetic Insights and Process Selection for Electrochemical Remediation of Industrial Dye Effluents Using Mixed Electrode Systems
by Carmen Barcenas-Grangeno, Martín O. A. Pacheco-Álvarez, Enric Brillas, Miguel A. Sandoval and Juan M. Peralta-Hernández
Processes 2025, 13(11), 3439; https://doi.org/10.3390/pr13113439 - 27 Oct 2025
Viewed by 238
Abstract
The discharge of dye-laden effluents remains an environmental challenge since conventional treatments remove color but not the organic load. This study systematically compared anodic oxidation (AO), electro-Fenton (EF), and photoelectro-Fenton (PEF) processes for three representative industrial dyes, such as Coriasol Red CB, Brown [...] Read more.
The discharge of dye-laden effluents remains an environmental challenge since conventional treatments remove color but not the organic load. This study systematically compared anodic oxidation (AO), electro-Fenton (EF), and photoelectro-Fenton (PEF) processes for three representative industrial dyes, such as Coriasol Red CB, Brown RBH, and Blue VT, and their ternary mixture, using boron-doped diamond (BDD) and Ti/IrO2–SnO2–Sb2O5 (MMO) anodes. Experiments were conducted in a batch reactor with 50 mM Na2SO4 at pH = 3.0 and current densities of 20–60 mA cm−2. Kinetic analysis showed that AO-BDD was most effective at low pollutant loads, EF-BDD became superior at medium loads due to efficient H2O2 electrogeneration, and PEF-MMO dominated at higher loads by fast UVA photolysis of surface Fe(OH)2+ complexes. In a ternary mixture of 120 mg L−1 of dyes, EF-BDD and PEF-MMO achieved >98% decolorization in 22–23 min with pseudo-first-order rate constants of 0.111–0.136 min−1, whereas AO processes remained slower. COD assays revealed partial mineralization of 60–80%, with EF-BDD providing the most consistent reduction and PEF-MMO minimizing treatment time. These findings confirm that decolorization overestimates efficiency, and electrode selection must be tailored to dye structure and effluent composition. Process selection rules allow us to conclude that EF-BDD is the best robust dark option, and PEF-MMO, when UVA is available, offers practical guidelines for cost-effective electrochemical treatment of textile wastewater. Full article
(This article belongs to the Special Issue Modeling and Optimization for Multi-scale Integration)
Show Figures

Figure 1

Back to TopTop