Polyethylene and Polypropylene Pyrolysis Using Fe3+-Modified Kaolin Catalyst for Enhanced Gas and Pyrolysis Oil Production
Abstract
1. Introduction
2. Materials and Methods
2.1. Sample Preparation
2.2. Characterization
2.3. Thermogravimetric Analysis (TGA)
2.4. Fixed-Bed Reactor Setup
2.5. Experimental Procedure
- (1)
- Heating from 25 °C to 300 °C over 28 min (heating rate: 9.8 °C/min);
- (2)
- Isothermal hold at 300 °C for 5 min, during which the gas collection bag was connected to capture the evolving volatile products and was kept open until the end of all four stages of the heating program;
- (3)
- Heating from 300 °C to 800 °C over 50 min (heating rate: 10 °C/min);
- (4)
- Isothermal hold at 800 °C for 15 min.
2.6. Product Collection and Analysis
2.7. GC-MS Analysis of the Isopropanol-Trapped Fraction
3. Results and Discussion
3.1. PE and PP Characterization
3.2. XRF, XRD, and BET Analysis Results
3.3. TGA Analysis Results
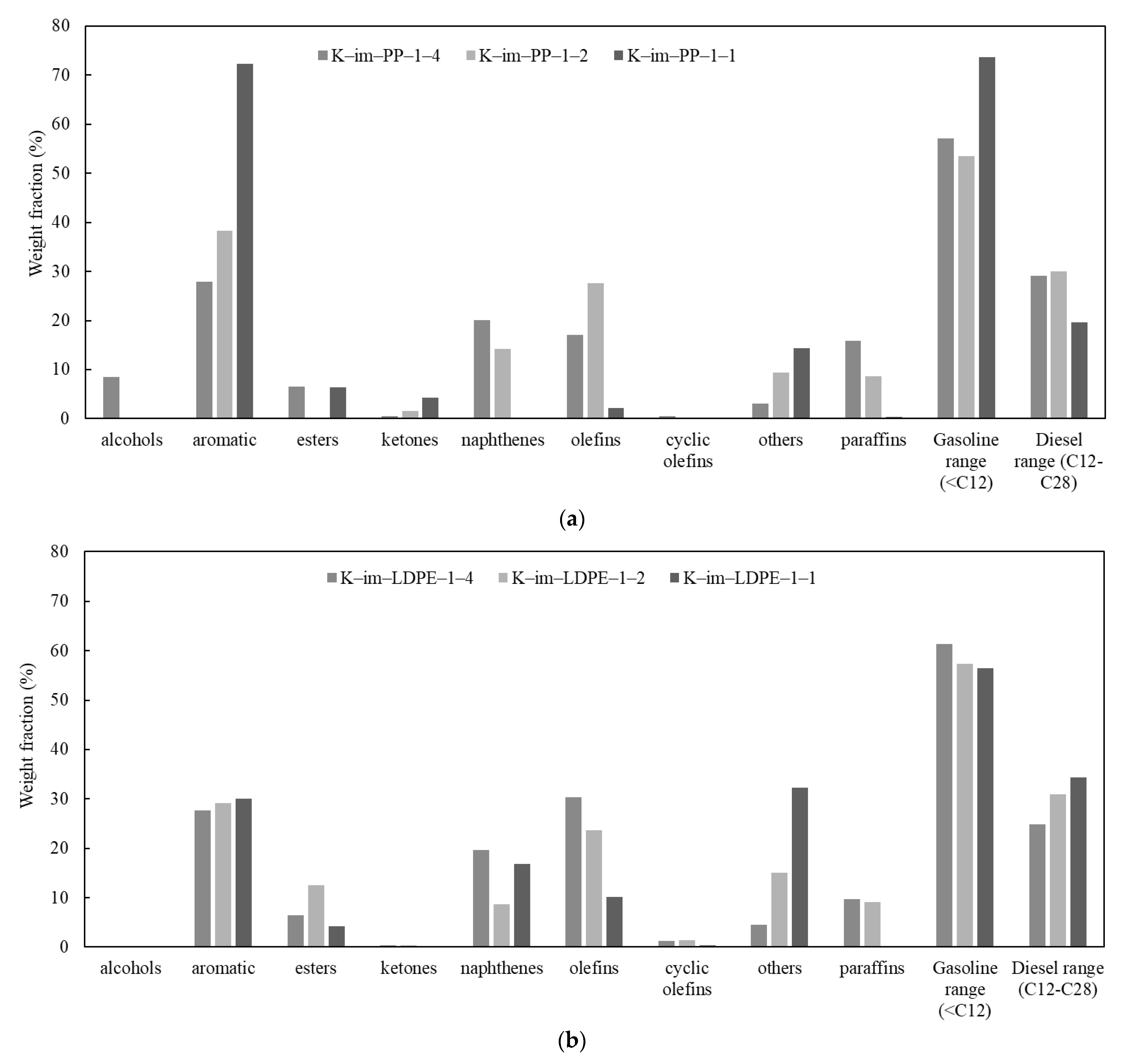
3.4. Product Distribution and Yield
3.5. Pyrolysis Oil Characteristics
4. Conclusions
Supplementary Materials
Author Contributions
Funding
Institutional Review Board Statement
Data Availability Statement
Conflicts of Interest
Abbreviations
| PyGas | Pyrolysis gas |
| PP | Polypropylene |
| PE | Polyethylene |
| LDPE | Low-density polyethylene |
| PS | Polystyrene |
| PET | Polyethylene terephthalate |
| PUR | Polyurethane |
| ZSM-5 | Zeolite Socony Mobil–5 |
| BET | Brunauer–Emmett–Teller |
| XRD | X-ray diffraction |
| XRF | X-ray fluorescence |
| GC-MS | Gas chromatography–mass spectrometry |
| GC-TCD | Gas chromatography thermal conductivity detector |
| DFT | Density functional theory |
| TGA | Thermogravimetric analysis |
| DTG | Differential thermogravimetric analysis |
| K-Im | Kaolin-impregnated |
| PILCs | Pillared clays |
References
- Laghezza, M.; Fiore, S.; Berruti, F. A Review on the Pyrolytic Conversion of Plastic Waste into Fuels and Chemicals. J. Anal. Appl. Pyrolysis 2024, 179, 106479. [Google Scholar] [CrossRef]
- Charitopoulou, M.-A.; Koutroumpi, S.; Achilias, D.S. Thermal Characterization and Recycling of Polymers from Plastic Packaging Waste. Polymers 2025, 17, 1786. [Google Scholar] [CrossRef]
- Dimitrov, N.; Kratofil Krehula, L.; Ptiček Siročić, A.; Hrnjak-Murgić, Z. Analysis of Recycled PET Bottles Products by Pyrolysis-Gas Chromatography. Polym. Degrad. Stab. 2013, 98, 972–979. [Google Scholar] [CrossRef]
- Inayat, A.; Fasolini, A.; Basile, F.; Fridrichova, D.; Lestinsky, P. Chemical Recycling of Waste Polystyrene by Thermo-Catalytic Pyrolysis: A Description for Different Feedstocks, Catalysts and Operation Modes. Polym. Degrad. Stab. 2022, 201, 109981. [Google Scholar] [CrossRef]
- Eschenbacher, A.; Varghese, R.J.; Weng, J.; Van Geem, K.M. Fast Pyrolysis of Polyurethanes and Polyisocyanurate with and without Flame Retardant: Compounds of Interest for Chemical Recycling. J. Anal. Appl. Pyrolysis 2021, 160, 105374. [Google Scholar] [CrossRef]
- Nurlybayeva, A.; Yermekova, A.; Taubayeva, R.; Sarova, N.; Sapiyeva, A.; Mateeva, S.; Matniyazova, G.; Bulekbayeva, K.; Jetpisbayeva, G.; Tamabekova, M. Modern Methods of Obtaining Synthetic Oil from Unconventional Hydrocarbon Raw Materials: Technologies, Catalysts, and Development Prospects. Polymers 2025, 17, 776. [Google Scholar] [CrossRef]
- Seliverstov, E.S.; Furda, L.V.; Lebedeva, O.E. Thermocatalytic Conversion of Plastics into Liquid Fuels over Clays. Polymers 2022, 14, 2115. [Google Scholar] [CrossRef] [PubMed]
- Eldahshory, A.I.; Emara, K.; Abd-Elhady, M.S.; Ismail, M.A. Catalytic Pyrolysis of Waste Polypropylene Using Low-Cost Natural Catalysts. Sci. Rep. 2023, 13, 11766. [Google Scholar] [CrossRef]
- Kumar, R.; Sadhukhan, A.K.; Singh, R.K.; Ruj, B.; Gupta, P. Investigations on the Effect of Kaolin Catalyst on the Yield of Various Products Obtained from Pyrolysis of Low-Density Polyethylene (LDPE) Wastes and Reaction Kinetics. Environ. Sci. Pollut. Res. 2024, 1–10. [Google Scholar] [CrossRef] [PubMed]
- Peng, Y.; Wang, Y.; Ke, L.; Dai, L.; Wu, Q.; Cobb, K.; Zeng, Y.; Zou, R.; Liu, Y.; Ruan, R. A Review on Catalytic Pyrolysis of Plastic Wastes to High-Value Products. Energy Convers. Manag. 2022, 254, 115243. [Google Scholar] [CrossRef]
- Luo, W.; Hu, Q.; Fan, Z.; Wan, J.; He, Q.; Huang, S.; Zhou, N.; Song, M.; Zhang, J.; Zhou, Z. The Effect of Different Particle Sizes and HCl-Modified Kaolin on Catalytic Pyrolysis Characteristics of Reworked Polypropylene Plastics. Energy 2020, 213, 119080. [Google Scholar] [CrossRef]
- Panda, A.K.; Singh, R.K. Experimental Optimization of Process for the Thermo-Catalytic Degradation of Waste Polypropylene to Liquid Fuel. Adv. Energy Eng. 2013, 1, 74–84. [Google Scholar]
- Luo, W.; Fan, Z.; Wan, J.; Hu, Q.; Dong, H.; Zhang, X.; Zhou, Z. Study on the Reusability of Kaolin as Catalysts for Catalytic Pyrolysis of Low-Density Polyethylene. Fuel 2021, 302, 121164. [Google Scholar] [CrossRef]
- Kumar, R.; Sadhukhan, A.K.; Gupta, P.; Singh, R.K.; Ruj, B. Recovery of Enhanced Gasoline-Range Fuel from Catalytic Pyrolysis of Waste Polypropylene: Effect of Heating Rate, Temperature, and Catalyst on Reaction Kinetics, Products Yield, and Compositions. Process Saf. Environ. Prot. 2024, 188, 793–806. [Google Scholar] [CrossRef]
- Rahman, M.; Faruk, M.O.; Islam, M.W.; Akter, M.; Saha, J.K.; Ahmed, N.; Sharmin, A.; Hoque, M.d.A.; Afroze, M.; Khan, M.; et al. Comparison of the Effect of Kaolin and Bentonite Clay (Raw, Acid-Treated, and Metal-Impregnated) on the Pyrolysis of Waste Tire. ACS Omega 2024, 9, 474–485. [Google Scholar] [CrossRef] [PubMed]
- Budsaereechai, S.; Hunt, A.J.; Ngernyen, Y. Catalytic Pyrolysis of Plastic Waste for the Production of Liquid Fuels for Engines. RSC Adv. 2019, 9, 5844–5857. [Google Scholar] [CrossRef]
- Tasleem, S.; Soliman, A.; Alsharaeh, E.H. Recent Developments in Catalytic Materials and Reactors for the Catalytic Pyrolysis of Plastic Waste into Hydrogen: A Critical Review with a Focus on the Circular Economy. RSC Adv. 2025, 15, 20881–20907. [Google Scholar] [CrossRef] [PubMed]
- Lee, W.-T.; Bobbink, F.D.; Van Muyden, A.P.; Lin, K.-H.; Corminboeuf, C.; Zamani, R.R.; Dyson, P.J. Catalytic Hydrocracking of Synthetic Polymers into Grid-Compatible Gas Streams. Cell Rep. Phys. Sci. 2021, 2, 100332. [Google Scholar] [CrossRef]
- Kohli, K.; Chandrasekaran, S.R.; Prajapati, R.; Kunwar, B.; Al-Salem, S.; Moser, B.R.; Sharma, B.K. Pyrolytic Depolymerization Mechanisms for Post-Consumer Plastic Wastes. Energies 2022, 15, 8821. [Google Scholar] [CrossRef]
- Boukhemkhem, A.; Rida, K.; Pizarro, A.H.; Molina, C.B.; Rodriguez, J.J. Iron Catalyst Supported on Modified Kaolin for Catalytic Wet Peroxide Oxidation. Clay Miner. 2019, 54, 67–73. [Google Scholar] [CrossRef]
- Li, K.; Lei, J.; Yuan, G.; Weerachanchai, P.; Wang, J.-Y.; Zhao, J.; Yang, Y. Fe-, Ti-, Zr- and Al-Pillared Clays for Efficient Catalytic Pyrolysis of Mixed Plastics. Chem. Eng. J. 2017, 317, 800–809. [Google Scholar] [CrossRef]
- Akin, O.; Varghese, R.J.; Eschenbacher, A.; Oenema, J.; Abbas-Abadi, M.S.; Stefanidis, G.D.; Van Geem, K.M. Chemical Recycling of Plastic Waste to Monomers: Effect of Catalyst Contact Time, Acidity and Pore Size on Olefin Recovery in Ex-Situ Catalytic Pyrolysis of Polyolefin Waste. J. Anal. Appl. Pyrolysis 2023, 172, 106036. [Google Scholar] [CrossRef]
- Fekhar, B.; Zsinka, V.; Miskolczi, N. Value Added Hydrocarbons Obtained by Pyrolysis of Contaminated Waste Plastics in Horizontal Tubular Reactor: In Situ Upgrading of the Products by Chlorine Capture. J. Clean. Prod. 2019, 241, 118166. [Google Scholar] [CrossRef]
- Singh, R.K.; Ruj, B.; Sadhukhan, A.K.; Gupta, P. Conventional Pyrolysis of Plastic Waste for Product Recovery and Utilization of Pyrolytic Gases for Carbon Nanotubes Production. Environ. Sci. Pollut. Res. 2022, 29, 20007–20016. [Google Scholar] [CrossRef]
- Wu, L.; Ma, H.; Mei, J.; Li, Y.; Xu, Q.; Li, Z. Low Energy Consumption and High Quality Bio-Fuels Production via in-Situ Fast Pyrolysis of Reed Straw by Adding Metallic Particles in an Induction Heating Reactor. Int. J. Hydrogen Energy 2022, 47, 5828–5841. [Google Scholar] [CrossRef]
- Fekhar, B.; Gombor, L.; Miskolczi, N. Pyrolysis of Chlorine Contaminated Municipal Plastic Waste: In-Situ Upgrading of Pyrolysis Oils by Ni/ZSM-5, Ni/SAPO-11, Red Mud and Ca(OH)2 Containing Catalysts. J. Energy Inst. 2019, 92, 1270–1283. [Google Scholar] [CrossRef]
- Ma, Y.; Gao, N.; Quan, C.; Sun, A.; Olazar, M. High-Yield H2 Production from HDPE through Integrated Pyrolysis and Plasma-Catalysis Reforming Process. Chem. Eng. J. 2024, 479, 147877. [Google Scholar] [CrossRef]
- Aminu, I.; Nahil, M.A.; Williams, P.T. Hydrogen Production by Pyrolysis–Nonthermal Plasma/Catalytic Reforming of Waste Plastic over Different Catalyst Support Materials. Energy Fuels 2022, 36, 3788–3801. [Google Scholar] [CrossRef]
- Wang, W.; Ma, Y.; Chen, G.; Quan, C.; Yanik, J.; Gao, N.; Tu, X. Enhanced Hydrogen Production Using a Tandem Biomass Pyrolysis and Plasma Reforming Process. Fuel Process. Technol. 2022, 234, 107333. [Google Scholar] [CrossRef]
- Xu, Z.; Gao, N.; Ma, Y.; Wang, W.; Quan, C.; Tu, X.; Miskolczi, N. Biomass Volatiles Reforming by Integrated Pyrolysis and Plasma-Catalysis System for H2 Production: Understanding Roles of Temperature and Catalyst. Energy Convers. Manag. 2023, 288, 117159. [Google Scholar] [CrossRef]
- Cai, N.; Li, X.; Xia, S.; Sun, L.; Hu, J.; Bartocci, P.; Fantozzi, F.; Williams, P.T.; Yang, H.; Chen, H. Pyrolysis-Catalysis of Different Waste Plastics over Fe/Al2O3 Catalyst: High-Value Hydrogen, Liquid Fuels, Carbon Nanotubes and Possible Reaction Mechanisms. Energy Convers. Manag. 2021, 229, 113794. [Google Scholar] [CrossRef]
- Rouibah, K.; Ferkous, H.; Abdessalam-Hassan, M.; Mossab, B.L.; Boublia, A.; Pierlot, C.; Abdennouri, A.; Avramova, I.; Alam, M.; Benguerba, Y.; et al. Exploring the Efficiency of Algerian Kaolinite Clay in the Adsorption of Cr(III) from Aqueous Solutions: Experimental and Computational Insights. Molecules 2024, 29, 2135. [Google Scholar] [CrossRef]
- Kwon, S.; Hwang, H.; Lee, Y. Effect of Pressure Treatment on the Specific Surface Area in Kaolin Group Minerals. Crystals 2019, 9, 528. [Google Scholar] [CrossRef]
- David, M.K.; Okoro, U.C.; Akpomie, K.G.; Okey, C.; Oluwasola, H.O. Thermal and Hydrothermal Alkaline Modification of Kaolin for the Adsorptive Removal of Lead(II) Ions from Aqueous Solution. SN Appl. Sci. 2020, 2, 1134. [Google Scholar] [CrossRef]
- Meena, P.; Bhoi, R. Thermodynamic and Kinetic Analysis of Waste Plastic Pyrolysis: Synergistic Effects and Sustainability Perspectives. Next Sustain. 2025, 5, 100132. [Google Scholar] [CrossRef]
- Dubdub, I.; Al-Yaari, M. Pyrolysis of Low Density Polyethylene: Kinetic Study Using TGA Data and ANN Prediction. Polymers 2020, 12, 891. [Google Scholar] [CrossRef] [PubMed]
- Weiland, F.; Qureshi, M.S.; Wennebro, J.; Lindfors, C.; Ohra-aho, T.; Shafaghat, H.; Johansson, A.-C. Entrained Flow Gasification of Polypropylene Pyrolysis Oil. Molecules 2021, 26, 7317. [Google Scholar] [CrossRef]
- Brown, J.L.; Brown, R.C.; Cecon, V.S.; Vorst, K.; Smith, R.G.; Daugaard, T.J. Increasing Pyrolysis Oil Yields and Decreasing Energy Consumption via Thermal Oxo-Degradation of Polyolefins. Cell Rep. Phys. Sci. 2024, 5, 101856. [Google Scholar] [CrossRef]
- Jin, L.; Hu, H.; Zhu, S.; Ma, B. An Improved Dealumination Method for Adjusting Acidity of HZSM-5. Catal. Today 2010, 149, 207–211. [Google Scholar] [CrossRef]
- Wang, Z.; Mai, K.; Kumar, N.; Elder, T.; Groom, L.H.; Spivey, J.J. Effect of Steam During Fischer–Tropsch Synthesis Using Biomass-Derived Syngas. Catal. Lett. 2017, 147, 62–70. [Google Scholar] [CrossRef]
- Hu, W.; Sárossy, Z.; Jensen, A.D.; Daugaard, A.E.; Jensen, P.A. Two-Stage Fixed-Bed Low-Density Polyethylene Pyrolysis: Influence of Using Different Catalytic Materials in the Second Stage. Energy Fuels 2023, 37, 19063–19075. [Google Scholar] [CrossRef]
- Williams, P.T.; Williams, E.A. Fluidised Bed Pyrolysis of Low Density Polyethylene to Produce Petrochemical Feedstock. J. Anal. Appl. Pyrolysis 1999, 51, 107–126. [Google Scholar] [CrossRef]
- Lin, Z.; Liu, J.; Li, L.; Cai, H.; Lin, S.; Evrendilek, F.; Chen, S.; Chen, X.; Chen, T.; He, Y. Fe2O3, Al2O3, or Sludge Ash-Catalyzed Pyrolysis of Typical 3D Printing Waste toward Tackling Plastic Pollution. J. Hazard. Mater. 2024, 480, 136055. [Google Scholar] [CrossRef]
- Heveling, J.; Nicolaides, C.P.; Scurrell, M.S. Catalysts and Conditions for the Highly efficient, Selective and Stable Heterogeneous Oligomerisation of Ethylene. Appl. Catal. A Gen. 1998, 173, 1–9. [Google Scholar] [CrossRef]
- Wang, M. Research Progress of Iron-Based Catalysts for Selective Oligomerization of Ethylene. RSC Adv. 2020, 10, 43640–43652. [Google Scholar] [CrossRef] [PubMed]
- Li, Y.; Liu, T.; Deng, S.; Liu, X.; Meng, Q.; Tang, M.; Wu, X.; Zhang, H. Surface Modification of Fe-ZSM-5 Using Mg for a Reduced Catalytic Pyrolysis Temperature of Low-Density Polyethylene to Produce Light Olefin. Catalysts 2024, 14, 78. [Google Scholar] [CrossRef]
- Daligaux, V.; Richard, R.; Manero, M.-H. Deactivation and Regeneration of Zeolite Catalysts Used in Pyrolysis of Plastic Wastes—A Process and Analytical Review. Catalysts 2021, 11, 770. [Google Scholar] [CrossRef]
- López, A.; De Marco, I.; Caballero, B.M.; Adrados, A.; Laresgoiti, M.F. Deactivation and Regeneration of ZSM-5 Zeolite in Catalytic Pyrolysis of Plastic Wastes. Waste Manag. 2011, 31, 1852–1858. [Google Scholar] [CrossRef] [PubMed]






| Name | C | H | N | S | O | Reference |
|---|---|---|---|---|---|---|
| PP | 85.72 ± 0.05 | 14.22 ± 0.07 | 0 | 0.00 | 0.06 ± 0.06 | This study |
| LDPE | 85.65 ± 0.47 | 14.21 ± 0.03 | 0 | 0.00 | 0.14 ± 0.14 | This study |
| As-Received | Calcined | Acid-Leached | Impregnated | |
|---|---|---|---|---|
| Kaolin | 0.68 | 0.69 | 0.70 | 6.60 |
| As-Received | Calcined | Acid-Leached | Impregnated | |||||||||
|---|---|---|---|---|---|---|---|---|---|---|---|---|
| SSA, m2·g−1 | Pore V, cm3·g−1 | Pore S, nm | SSA, m2·g−1 | Pore V, cm3·g−1 | Pore S, nm | SSA, m2·g−1 | Pore V, cm3·g−1 | Pore S, nm | SSA, m2·g−1 | Pore V, cm3·g−1 | Pore S, nm | |
| Kaolin | 11.09 | 0.038 | 1.59 | 57.36 | 0.14 | 2.72 | 11.7 | 0.026 | 0.7 | 10.41 | 0.034 | 0.7 |
| Analyte | K, Fe-Impregnated, wt. % | K, Impregnated, After PP Pyrolysis, wt. % | K, Impregnated, After LDPE Pyrolysis, wt. % | |
|---|---|---|---|---|
| Alumina | ɣ-Al2O3 | 9.6 | 13.5% | 30.3% |
| Quartz | SiO2 | 12.0 | 27.5% | 24.5% |
| Hematite | Fe2O3 | 74.4 | ||
| Iron oxide | Fe2.792O4 | 33.0% | 41.3% | |
| Iron oxide | Fe0.942O | 11.1% | ||
| Anatase | TiO | 4.0 | 4.9% | 3.9% |
Disclaimer/Publisher’s Note: The statements, opinions and data contained in all publications are solely those of the individual author(s) and contributor(s) and not of MDPI and/or the editor(s). MDPI and/or the editor(s) disclaim responsibility for any injury to people or property resulting from any ideas, methods, instructions or products referred to in the content. |
© 2025 by the authors. Licensee MDPI, Basel, Switzerland. This article is an open access article distributed under the terms and conditions of the Creative Commons Attribution (CC BY) license (https://creativecommons.org/licenses/by/4.0/).
Share and Cite
Nechipurenko, S.; Dossumova, B.; Efremov, S.; Zabara, N.; Kaiaidarova, A.; Ibragimova, O.; Omarova, A.; Pogorov, F.; Tokmurzin, D. Polyethylene and Polypropylene Pyrolysis Using Fe3+-Modified Kaolin Catalyst for Enhanced Gas and Pyrolysis Oil Production. Polymers 2025, 17, 2963. https://doi.org/10.3390/polym17212963
Nechipurenko S, Dossumova B, Efremov S, Zabara N, Kaiaidarova A, Ibragimova O, Omarova A, Pogorov F, Tokmurzin D. Polyethylene and Polypropylene Pyrolysis Using Fe3+-Modified Kaolin Catalyst for Enhanced Gas and Pyrolysis Oil Production. Polymers. 2025; 17(21):2963. https://doi.org/10.3390/polym17212963
Chicago/Turabian StyleNechipurenko, Sergey, Binara Dossumova, Sergey Efremov, Nazar Zabara, Aigerim Kaiaidarova, Olga Ibragimova, Anara Omarova, Fedor Pogorov, and Diyar Tokmurzin. 2025. "Polyethylene and Polypropylene Pyrolysis Using Fe3+-Modified Kaolin Catalyst for Enhanced Gas and Pyrolysis Oil Production" Polymers 17, no. 21: 2963. https://doi.org/10.3390/polym17212963
APA StyleNechipurenko, S., Dossumova, B., Efremov, S., Zabara, N., Kaiaidarova, A., Ibragimova, O., Omarova, A., Pogorov, F., & Tokmurzin, D. (2025). Polyethylene and Polypropylene Pyrolysis Using Fe3+-Modified Kaolin Catalyst for Enhanced Gas and Pyrolysis Oil Production. Polymers, 17(21), 2963. https://doi.org/10.3390/polym17212963

