Scaling Up Non-Thermal Plasma Technology for Water and Wastewater Treatment: Opportunities and Challenges
Abstract
1. Introduction
2. Application Examples of NTP for Water/Wastewater Treatment
2.1. DBD
2.2. Jet
2.3. Corona
2.4. Gliding Arc
2.5. Ozonation
3. Scale-Up of NTP for Wastewater Treatment
3.1. Scale-Up Microbial and Pharmaceutical Wastewater Treatment
3.1.1. Plasma Jet + Cavitation
3.1.2. Corona Discharge—Advancements and Comparisons
3.1.3. Corona Reactor Design Advancements
3.1.4. DBD—Advancements and Life-Cycle Analyses (LCAs)
3.2. Scale-Up NTP for Industrial Wastewater Treatment
3.2.1. Corona Discharge Advancements and Comparisons
3.2.2. DBD and DBD-like Discharge—Energy Efficiency and Cost Analysis
3.2.3. Optimization of Reactive Species Generation
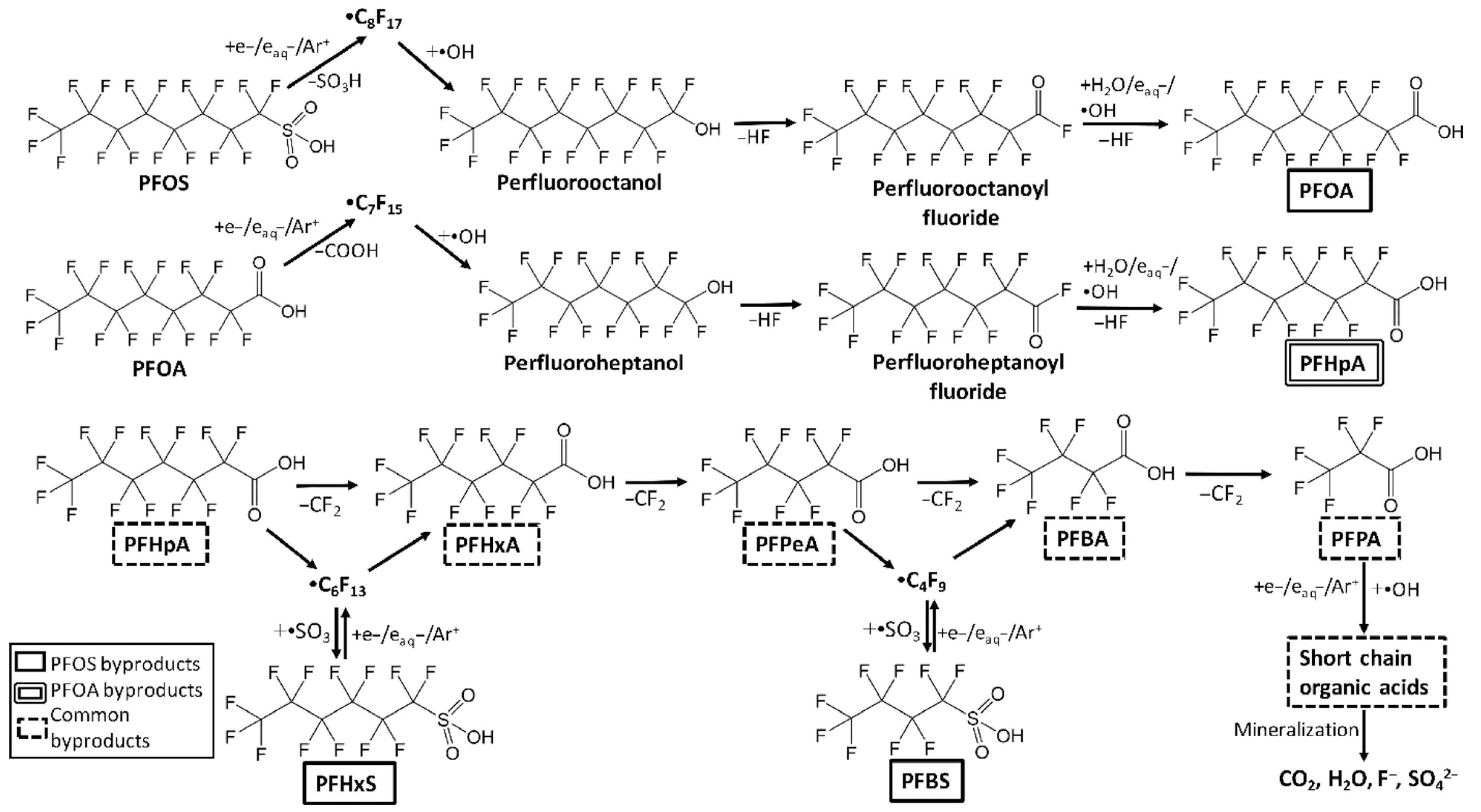
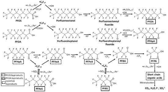
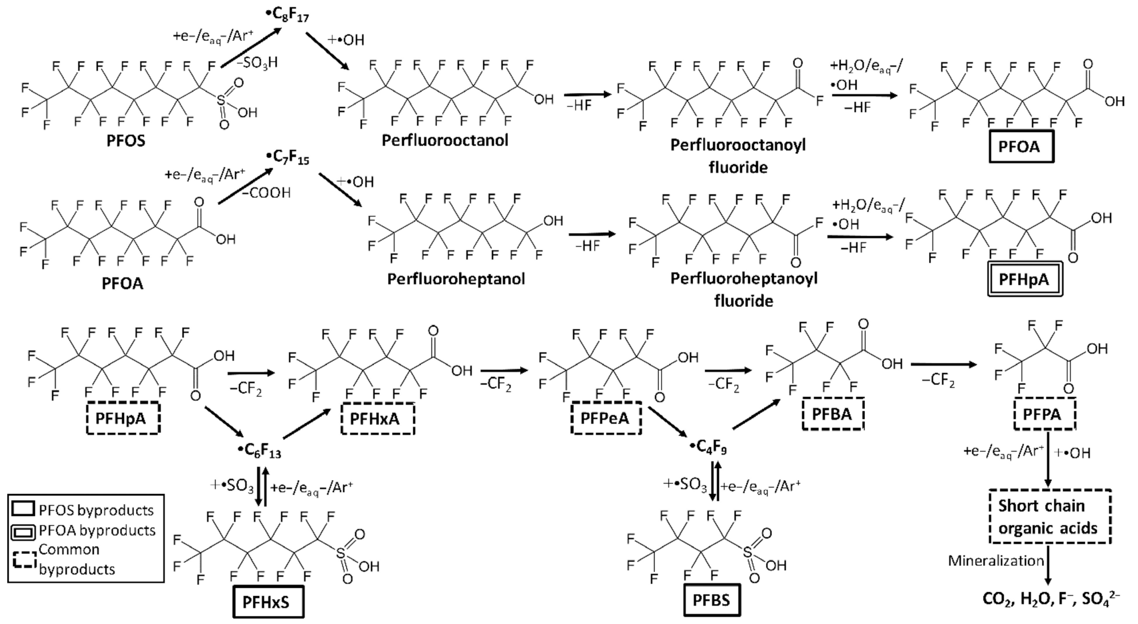
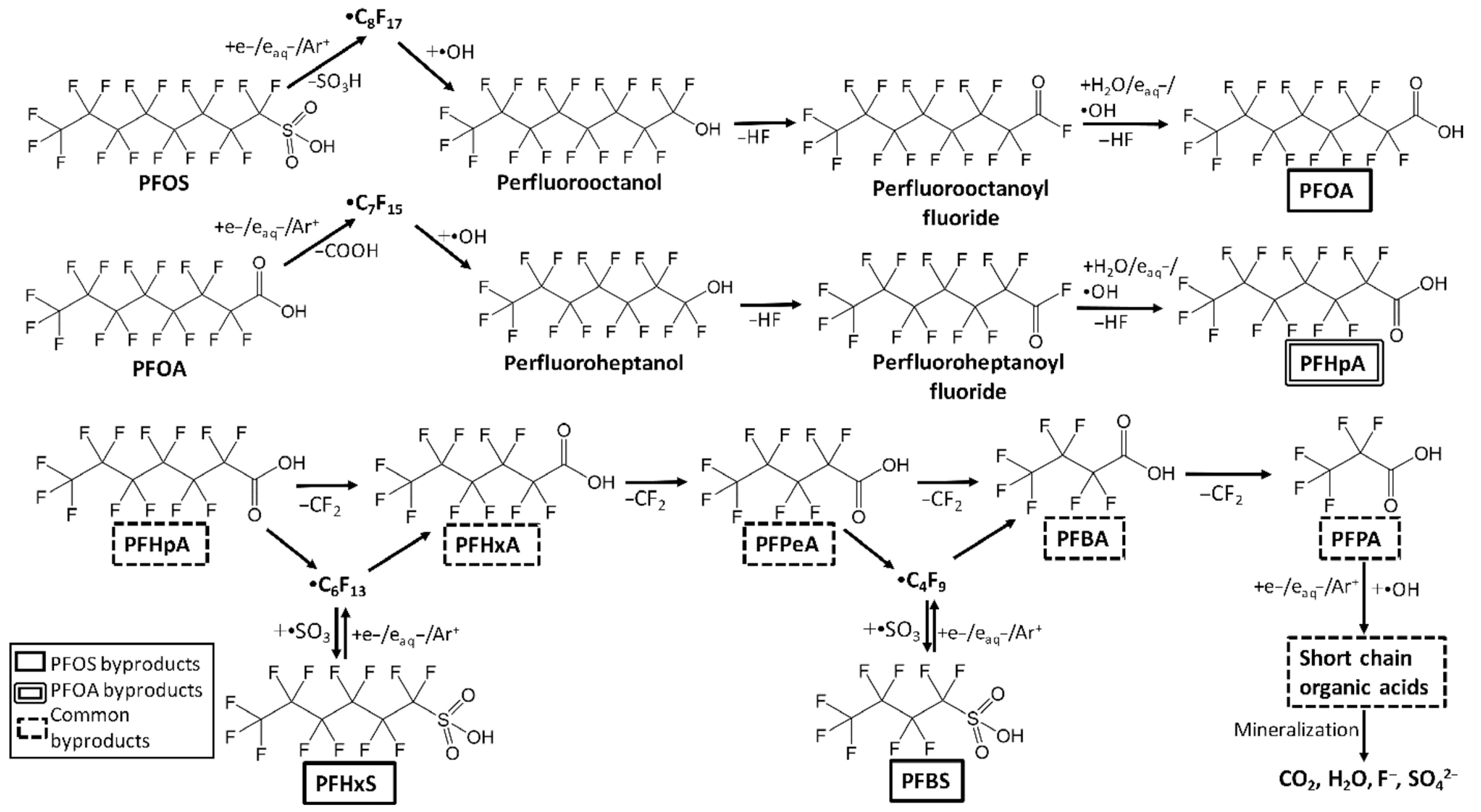
3.3. Scale-Up and Pilot Studies of NTP for PFAS Treatment
4. Perspectives on Scaling Up NTP for Wastewater Treatment
Author Contributions
Funding
Data Availability Statement
Conflicts of Interest
References
- Kyere-Yeboah, K.; Bique, I.K.; Qiao, X.-C. Advances of non-thermal plasma discharge technology in degrading recalcitrant wastewater pollutants. A comprehensive review. Chemosphere 2023, 320, 138061. [Google Scholar] [CrossRef]
- Babu, D.S.; Srivastava, V.; Nidheesh, P.; Kumar, M.S. Detoxification of water and wastewater by advanced oxidation processes. Sci. Total Environ. 2019, 696, 133961. [Google Scholar] [CrossRef]
- Murugesan, P.; Moses, J.; Anandharamakrishnan, C. Water decontamination using non-thermal plasma: Concepts, applications, and prospects. J. Environ. Chem. Eng. 2020, 8, 104377. [Google Scholar] [CrossRef]
- Leeson, A.; Thompson, T.; Stroo, H.F.; Anderson, R.H.; Speicher, J.; Mills, M.A.; Willey, J.; Coyle, C.; Ghosh, R.; Lebrón, C.; et al. Identifying and managing aqueous film-forming foam-derived per-and polyfluoroalkyl substances in the environment. Environ. Toxicol. Chem. 2021, 40, 24–36. [Google Scholar] [CrossRef] [PubMed]
- Wang, Z.; DeWitt, J.C.; Higgins, C.P.; Cousins, I.T. A Never-Ending Story of Per-and Polyfluoroalkyl Substances (PFASs)? ACS Publications: Washington, DC, USA, 2017. [Google Scholar]
- U.S. EPA (Ed.) CompTox Chemicals Dashboard; U.S. EPA: Washington, DC, USA, 2023.
- Wang, Z.; Buser, A.M.; Cousins, I.T.; Demattio, S.; Drost, W.; Johansson, O.; Ohno, K.; Patlewicz, G.; Richard, A.M.; Walker, G.W.; et al. A new OECD definition for per-and polyfluoroalkyl substances. Environ. Sci. Technol. 2021, 55, 15575–15578. [Google Scholar] [CrossRef]
- Prevedouros, K.; Cousins, I.T.; Buck, R.C.; Korzeniowski, S.H. Sources, fate and transport of perfluorocarboxylates. Environ. Sci. Technol. 2006, 40, 32–44. [Google Scholar] [CrossRef]
- Barzen-Hanson, K.A.; Roberts, S.C.; Choyke, S.; Oetjen, K.; McAlees, A.; Riddell, N.; McCrindle, R.; Ferguson, P.L.; Higgins, C.P.; Field, J.A. Discovery of 40 classes of per-and polyfluoroalkyl substances in historical aqueous film-forming foams (AFFFs) and AFFF-impacted groundwater. Environ. Sci. Technol. 2017, 51, 2047–2057. [Google Scholar] [CrossRef]
- Dickman, R.A.; Aga, D.S. A review of recent studies on toxicity, sequestration, and degradation of per-and polyfluoroalkyl substances (PFAS). J. Hazard. Mater. 2022, 436, 129120. [Google Scholar] [CrossRef]
- Houtz, E.F.; Higgins, C.P.; Field, J.A.; Sedlak, D.L. Persistence of perfluoroalkyl acid precursors in AFFF-impacted groundwater and soil. Environ. Sci. Technol. 2013, 47, 8187–8195. [Google Scholar] [CrossRef]
- Backe, W.J.; Day, T.C.; Field, J.A. Zwitterionic, cationic, and anionic fluorinated chemicals in aqueous film forming foam formulations and groundwater from US military bases by nonaqueous large-volume injection HPLC-MS/MS. Environ. Sci. Technol. 2013, 47, 5226–5234. [Google Scholar] [CrossRef]
- Huang, Q.; Luo, L.; Han, X.; Li, F.; Zhang, X.; Tian, M. Low-dose perfluorooctanoic acid stimulates steroid hormone synthesis in Leydig cells: Integrated proteomics and metabolomics evidence. J. Hazard. Mater. 2022, 424, 127656. [Google Scholar] [CrossRef]
- McDonough, C.A.; Choyke, S.; Barton, K.E.; Mass, S.; Starling, A.P.; Adgate, J.L.; Higgins, C.P. Unsaturated PFOS and other PFASs in human serum and drinking water from an AFFF-impacted community. Environ. Sci. Technol. 2021, 55, 8139–8148. [Google Scholar] [CrossRef] [PubMed]
- ECHA. ECHA Publishes PFAS Restriction Proposal; European Chemicals Agency: Helsinki, Finland, 2023. [Google Scholar]
- U.S. EPA. PFAS Strategic Roadmap: EPA’s Commitments to action 2021–2024; Environmental Protection Agency: Washington, DC, USA, 2021; Volume 20460.
- Winchell, L.J.; Ross, J.J.; Wells, M.J.; Fonoll, X.; Norton, W.N., Jr.; Bell, K.Y. Per-and polyfluoroalkyl substances thermal destruction at water resource recovery facilities: A state of the science review. Water Environ. Res. 2021, 93, 826–843. [Google Scholar] [CrossRef] [PubMed]
- Loganathan, B.G.; Sajwan, K.S.; Sinclair, E.; Kumar, K.S.; Kannan, K. Perfluoroalkyl sulfonates and perfluorocarboxylates in two wastewater treatment facilities in Kentucky and Georgia. Water Res. 2007, 41, 4611–4620. [Google Scholar] [CrossRef] [PubMed]
- Rosansky, S.; Al-Dirani, S.M.; Scheitlin, C.G.; Dasu, K.; Dzurnak, M.; Xia, X.; Orth, C.; McCauley, M.; Mullins, L. Field Demonstration of PFAS Destruction in Various Alcohol-Resistant AFFFs Using Supercritical Water Oxidation (SCWO). ACS EST Water 2024, 4, 4486–4496. [Google Scholar] [CrossRef]
- Liu, X.; Huang, X.; Wei, X.; Zhi, Y.; Qian, S.; Li, W.; Yue, D.; Wang, X. Occurrence and removal of per-and polyfluoroalkyl substances (PFAS) in leachates from incineration plants: A full-scale study. Chemosphere 2023, 313, 137456. [Google Scholar] [CrossRef]
- Espana, V.A.A.; Mallavarapu, M.; Naidu, R. Treatment technologies for aqueous perfluorooctanesulfonate (PFOS) and perfluorooctanoate (PFOA): A critical review with an emphasis on field testing. Environ. Technol. Innov. 2015, 4, 168–181. [Google Scholar] [CrossRef]
- Cheng, J.; Vecitis, C.D.; Park, H.; Mader, B.T.; Hoffmann, M.R. Sonochemical degradation of perfluorooctane sulfonate (PFOS) and perfluorooctanoate (PFOA) in landfill groundwater: Environmental matrix effects. Environ. Sci. Technol. 2008, 42, 8057–8063. [Google Scholar] [CrossRef]
- Carter, K.E.; Farrell, J. Oxidative destruction of perfluorooctane sulfonate using boron-doped diamond film electrodes. Environ. Sci. Technol. 2008, 42, 6111–6115. [Google Scholar] [CrossRef]
- Vecitis, C.D.; Park, H.; Cheng, J.; Mader, B.T.; Hoffmann, M.R. Treatment technologies for aqueous perfluorooctanesulfonate (PFOS) and perfluorooctanoate (PFOA). Front. Environ. Sci. Eng. China 2009, 3, 129–151. [Google Scholar] [CrossRef]
- Stratton, G.R.; Dai, F.; Bellona, C.L.; Holsen, T.M.; Dickenson, E.R.; Mededovic Thagard, S. Plasma-based water treatment: Efficient transformation of perfluoroalkyl substances in prepared solutions and contaminated groundwater. Environ. Sci. Technol. 2017, 51, 1643–1648. [Google Scholar] [CrossRef]
- Singh, R.K.; Fernando, S.; Baygi, S.F.; Multari, N.; Thagard, S.M.; Holsen, T.M. Breakdown products from perfluorinated alkyl substances (PFAS) degradation in a plasma-based water treatment process. Environ. Sci. Technol. 2019, 53, 2731–2738. [Google Scholar] [CrossRef]
- Wu, B.; Hao, S.; Choi, Y.; Higgins, C.P.; Deeb, R.; Strathmann, T.J. Rapid destruction and defluorination of perfluorooctanesulfonate by alkaline hydrothermal reaction. Environ. Sci. Technol. Lett. 2019, 6, 630–636. [Google Scholar] [CrossRef]
- Berg, C.; Crone, B.; Gullett, B.; Higuchi, M.; Krause, M.J.; Lemieux, P.M.; Martin, T.; Shields, E.P.; Struble, E.; Thoma, E.; et al. Developing innovative treatment technologies for PFAS-containing wastes. J. Air Waste Manag. Assoc. 2022, 72, 540–555. [Google Scholar] [CrossRef] [PubMed]
- Meegoda, J.N.; de Souza, B.B.; Casarini, M.M.; Kewalramani, J.A. A review of PFAS destruction technologies. Int. J. Environ. Res. Public Health 2022, 19, 16397. [Google Scholar] [CrossRef] [PubMed]
- Tenorio, R.; Liu, J.; Xiao, X.; Maizel, A.C.; Higgins, C.P.; Schaefer, C.E.; Strathmann, T.J. Destruction of per-and polyfluoroalkyl substances (PFASs) in aqueous film-forming foam (AFFF) with UV-sulfite photoreductive treatment. Environ. Sci. Technol. 2020, 54, 6957–6967. [Google Scholar] [CrossRef]
- Cheng, J.; Vecitis, C.D.; Park, H.; Mader, B.T.; Hoffmann, M.R. Sonochemical degradation of perfluorooctane sulfonate (PFOS) and perfluorooctanoate (PFOA) in groundwater: Kinetic effects of matrix inorganics. Environ. Sci. Technol. 2010, 44, 445–450. [Google Scholar] [CrossRef]
- Kalra, S.S.; Cranmer, B.; Dooley, G.; Hanson, A.J.; Maraviov, S.; Mohanty, S.K.; Blotevogel, J.; Mahendra, S. Sonolytic destruction of Per-and polyfluoroalkyl substances in groundwater, aqueous Film-Forming Foams, and investigation derived waste. Chem. Eng. J. 2021, 425, 131778. [Google Scholar] [CrossRef]
- Moriwaki, H.; Takagi, Y.; Tanaka, M.; Tsuruho, K.; Okitsu, K.; Maeda, Y. Sonochemical decomposition of perfluorooctane sulfonate and perfluorooctanoic acid. Environ. Sci. Technol. 2005, 39, 3388–3392. [Google Scholar] [CrossRef]
- Giri, R.; Ozaki, H.; Morigaki, T.; Taniguchi, S.; Takanami, R. UV photolysis of perfluorooctanoic acid (PFOA) in dilute aqueous solution. Water Sci. Technol. 2011, 63, 276–282. [Google Scholar] [CrossRef]
- Giri, R.R.; Ozaki, H.; Okada, T.; Taniguchi, S.; Takanami, R. Factors influencing UV photodecomposition of perfluorooctanoic acid in water. Chem. Eng. J. 2012, 180, 197–203. [Google Scholar] [CrossRef]
- Cao, M.; Wang, B.; Yu, H.; Wang, L.; Yuan, S.; Chen, J. Photochemical decomposition of perfluorooctanoic acid in aqueous periodate with VUV and UV light irradiation. J. Hazard. Mater. 2010, 179, 1143–1146. [Google Scholar] [CrossRef] [PubMed]
- Chen, J.; Zhang, P. Photodegradation of perfluorooctanoic acid in water under irradiation of 254 nm and 185 nm light by use of persulfate. Water Sci. Technol. 2006, 54, 317–325. [Google Scholar] [CrossRef] [PubMed]
- Jing, C.; Zhang, P.-Y.; Jian, L. Photodegradation of perfluorooctanoic acid by 185 nm vacuum ultraviolet light. J. Environ. Sci. 2007, 19, 387–390. [Google Scholar] [CrossRef] [PubMed]
- Yamamoto, T.; Noma, Y.; Sakai, S.-I.; Shibata, Y. Photodegradation of perfluorooctane sulfonate by UV irradiation in water and alkaline 2-propanol. Environ. Sci. Technol. 2007, 41, 5660–5665. [Google Scholar] [CrossRef]
- Jin, L.; Zhang, P. Photochemical decomposition of perfluorooctane sulfonate (PFOS) in an anoxic alkaline solution by 185 nm vacuum ultraviolet. Chem. Eng. J. 2015, 280, 241–247. [Google Scholar] [CrossRef]
- Hori, H.; Yamamoto, A.; Koike, K.; Kutsuna, S.; Osaka, I.; Arakawa, R. Photochemical decomposition of environmentally persistent short-chain perfluorocarboxylic acids in water mediated by iron (II)/(III) redox reactions. Chemosphere 2007, 68, 572–578. [Google Scholar] [CrossRef]
- Hori, H.; Yamamoto, A.; Koike, K.; Kutsuna, S.; Osaka, I.; Arakawa, R. Persulfate-induced photochemical decomposition of a fluorotelomer unsaturated carboxylic acid in water. Water Res. 2007, 41, 2962–2968. [Google Scholar] [CrossRef]
- Song, Z.; Tang, H.; Wang, N.; Zhu, L. Reductive defluorination of perfluorooctanoic acid by hydrated electrons in a sulfite-mediated UV photochemical system. J. Hazard. Mater. 2013, 262, 332–338. [Google Scholar] [CrossRef]
- Qu, Y.; Zhang, C.; Li, F.; Chen, J.; Zhou, Q. Photo-reductive defluorination of perfluorooctanoic acid in water. Water Res. 2010, 44, 2939–2947. [Google Scholar] [CrossRef]
- Park, H.; Vecitis, C.D.; Cheng, J.; Choi, W.; Mader, B.T.; Hoffmann, M.R. Reductive defluorination of aqueous perfluorinated alkyl surfactants: Effects of ionic headgroup and chain length. J. Phys. Chem. A 2009, 113, 690–696. [Google Scholar] [CrossRef]
- Liu, C.; Higgins, C.; Wang, F.; Shih, K. Effect of temperature on oxidative transformation of perfluorooctanoic acid (PFOA) by persulfate activation in water. Sep. Purif. Technol. 2012, 91, 46–51. [Google Scholar] [CrossRef]
- Liu, C.; Shih, K.; Wang, F. Oxidative decomposition of perfluorooctanesulfonate in water by permanganate. Sep. Purif. Technol. 2012, 87, 95–100. [Google Scholar] [CrossRef]
- Hori, H.; Nagaoka, Y.; Murayama, M.; Kutsuna, S. Efficient decomposition of perfluorocarboxylic acids and alternative fluorochemical surfactants in hot water. Environ. Sci. Technol. 2008, 42, 7438–7443. [Google Scholar] [CrossRef] [PubMed]
- Wang, F.; Shih, K. Adsorption of perfluorooctanesulfonate (PFOS) and perfluorooctanoate (PFOA) on alumina: Influence of solution pH and cations. Water Res. 2011, 45, 2925–2930. [Google Scholar] [CrossRef] [PubMed]
- Lee, Y.-C.; Lo, S.-L.; Chiueh, P.-T.; Chang, D.-G. Efficient decomposition of perfluorocarboxylic acids in aqueous solution using microwave-induced persulfate. Water Res. 2009, 43, 2811–2816. [Google Scholar] [CrossRef]
- Lee, Y.-C.; Lo, S.-L.; Chiueh, P.-T.; Liou, Y.-H.; Chen, M.-L. Microwave-hydrothermal decomposition of perfluorooctanoic acid in water by iron-activated persulfate oxidation. Water Res. 2010, 44, 886–892. [Google Scholar] [CrossRef]
- Lee, Y.; Lo, S.; Kuo, J.; Hsieh, C. Decomposition of perfluorooctanoic acid by microwaveactivated persulfate: Effects of temperature, pH, and chloride ions. Front. Environ. Sci. Eng. 2012, 6, 17–25. [Google Scholar] [CrossRef]
- Hori, H.; Nagaoka, Y.; Yamamoto, A.; Sano, T.; Yamashita, N.; Taniyasu, S.; Kutsuna, S.; Osaka, I.; Arakawa, R. Efficient decomposition of environmentally persistent perfluorooctanesulfonate and related fluorochemicals using zerovalent iron in subcritical water. Environ. Sci. Technol. 2006, 40, 1049–1054. [Google Scholar] [CrossRef]
- Hori, H.; Nagaoka, Y.; Sano, T.; Kutsuna, S. Iron-induced decomposition of perfluorohexanesulfonate in sub-and supercritical water. Chemosphere 2008, 70, 800–806. [Google Scholar] [CrossRef]
- Suresh, R.; Rajoo, B.; Chenniappan, M.; Palanichamy, M. Treatment possibilities of electrical discharge non-thermal plasma for industrial wastewater treatment-review. IOP Conf. Ser. Mater. Sci. Eng. 2021, 1055, 012018. [Google Scholar] [CrossRef]
- Yusuf, A.; Amusa, H.K.; Eniola, J.O.; Giwa, A.; Pikuda, O.; Dindi, A.; Bilad, M.R. Hazardous and emerging contaminants removal from water by plasma-based treatment: A review of recent advances. Chem. Eng. J. Adv. 2023, 14, 100443. [Google Scholar] [CrossRef]
- Barjasteh, A.; Dehghani, Z.; Lamichhane, P.; Kaushik, N.; Choi, E.H.; Kaushik, N.K. Recent progress in applications of non-thermal plasma for water purification, bio-sterilization, and decontamination. Appl. Sci. 2021, 11, 3372. [Google Scholar] [CrossRef]
- Shahsavari, N.; Zhang, X. Microbubble-enhanced cold plasma activation for water decontamination: Degradation dynamics and energy yield in relation to pollutant concentration, total volume and flow rate of water. J. Water Process Eng. 2023, 55, 104169. [Google Scholar] [CrossRef]
- Cui, Y.; Cheng, J.; Chen, Q.; Yin, Z. The types of plasma reactors in wastewater treatment. IOP Conf. Ser. Earth Environ. Sci. 2018, 208, 012002. [Google Scholar] [CrossRef]
- Thagard, S.M. Reactor design in plasma-liquid systems for wastewater treatment. Curr. Opin. Green Sustain. Chem. 2025, 53, 101023. [Google Scholar] [CrossRef]
- Chen, C.; Ma, C.; Yang, X.; Gromov, M.; Tian, Y.; Demeestere, K.; Nikiforov, A.; Van Hulle, S.W. Degradation of perfluoroalkyl and polyfluoroalkyl substances (PFAS) in water by use of a nonthermal plasma-ozonation cascade reactor: Role of different processes and reactive species. Chem. Eng. J. 2024, 486, 150218. [Google Scholar] [CrossRef]
- Topolovec, B.; Jovanovic, O.; Puac, N.; Skoro, N.; Lumbaque, E.C.; Petrovic, M. Plasma water treatment for PFAS: Study of degradation of perfluorinated substances and their byproducts by using cold atmospheric pressure plasma jet. J. Environ. Chem. Eng. 2024, 12, 112979. [Google Scholar] [CrossRef]
- Palma, D.; Richard, C.; Minella, M. State of the art and perspectives about non-thermal plasma applications for the removal of PFAS in water. Chem. Eng. J. Adv. 2022, 10, 100253. [Google Scholar] [CrossRef]
- Blotevogel, J.; Thagard, S.M.; Mahendra, S. Scaling up water treatment technologies for PFAS destruction: Current status and potential for fit-for-purpose application. Curr. Opin. Chem. Eng. 2023, 41, 100944. [Google Scholar] [CrossRef]
- Shaw, P.; Kumar, N.; Kwak, H.S.; Park, J.H.; Uhm, H.S.; Bogaerts, A.; Choi, E.H.; Attri, P. Bacterial inactivation by plasma treated water enhanced by reactive nitrogen species. Sci. Rep. 2018, 8, 11268. [Google Scholar] [CrossRef]
- Reddy, P.M.K.; Raju, B.R.; Karuppiah, J.; Reddy, E.L.; Subrahmanyam, C. Degradation and mineralization of methylene blue by dielectric barrier discharge non-thermal plasma reactor. Chem. Eng. J. 2013, 217, 41–47. [Google Scholar] [CrossRef]
- Guesmi, A.; Cherif, M.M.; Baaloudj, O.; Kenfoud, H.; Badawi, A.K.; Elfalleh, W.; Ben Hamadi, N.; Khezami, L.; Assadi, A.A. Disinfection of corona and myriad viruses in water by non-thermal plasma: A review. Environ. Sci. Pollut. Res. 2022, 29, 55321–55335. [Google Scholar] [CrossRef]
- Tichonovas, M.; Krugly, E.; Racys, V.; Hippler, R.; Kauneliene, V.; Stasiulaitiene, I.; Martuzevicius, D. Degradation of various textile dyes as wastewater pollutants under dielectric barrier discharge plasma treatment. Chem. Eng. J. 2013, 229, 9–19. [Google Scholar] [CrossRef]
- Saleem, M.; Biondo, O.; Sretenović, G.; Tomei, G.; Magarotto, M.; Pavarin, D.; Marotta, E.; Paradisi, C. Comparative performance assessment of plasma reactors for the treatment of PFOA; reactor design, kinetics, mineralization and energy yield. Chem. Eng. J. 2020, 382, 123031. [Google Scholar] [CrossRef]
- Chandana, L.; Reddy, P.M.K.; Subrahmanyam, C. Atmospheric pressure non-thermal plasma jet for the degradation of methylene blue in aqueous medium. Chem. Eng. J. 2015, 282, 116–122. [Google Scholar] [CrossRef]
- Song, K.; Wang, H.; Jiao, Z.; Qu, G.; Chen, W.; Wang, G.; Wang, T.; Zhang, Z.; Ling, F. Inactivation efficacy and mechanism of pulsed corona discharge plasma on virus in water. J. Hazard. Mater. 2022, 422, 126906. [Google Scholar] [CrossRef] [PubMed]
- Merouani, D.; Abdelmalek, F.; Taleb, F.; Martel, M.; Semmoud, A.; Addou, A. Plasma treatment by gliding arc discharge of dyes/dye mixtures in the presence of inorganic salts. Arab. J. Chem. 2015, 8, 155–163. [Google Scholar] [CrossRef]
- Qasim, M.; Rafique, M.S.; Naz, R. Water purification by ozone generator employing non-thermal plasma. Mater. Chem. Phys. 2022, 291, 126442. [Google Scholar] [CrossRef]
- Zeghioud, H.; Nguyen-Tri, P.; Khezami, L.; Amrane, A.; Assadi, A.A. Review on discharge Plasma for water treatment: Mechanism, reactor geometries, active species and combined processes. J. Water Process Eng. 2020, 38, 101664. [Google Scholar] [CrossRef]
- Čech, J.; St’ahel, P.; Rahel, J.; Prokes, L.; Rudolf, P.; Marsalkova, E.; Marsalek, B. Mass Production of Plasma Activated Water: Case Studies of Its Biocidal Effect on Algae and Cyanobacteria. Water 2020, 12, 3167. [Google Scholar] [CrossRef]
- Ajo, P.; Preis, S.; Vornamo, T.; Mänttäri, M.; Kallioinen, M.; Louhi-Kultanen, M. Hospital wastewater treatment with pilot-scale pulsed corona discharge for removal of pharmaceutical residues. J. Environ. Chem. Eng. 2018, 6, 1569–1577. [Google Scholar] [CrossRef]
- Preis, S.; Panorel, I.; Kornev, I.; Hatakka, H.; Kallas, J. Pulsed corona discharge: The role of ozone and hydroxyl radical in aqueous pollutants oxidation. Water Sci. Technol. 2013, 68, 1536–1542. [Google Scholar] [CrossRef] [PubMed]
- Back, J.O.; Obholzer, T.; Winkler, K.; Jabornig, S.; Rupprich, M. Combining ultrafiltration and non-thermal plasma for low energy degradation of pharmaceuticals from conventionally treated wastewater. J. Environ. Chem. Eng. 2018, 6, 7377–7385. [Google Scholar] [CrossRef]
- Nippatlapalli, N.; Ramakrishnan, K.; Philip, L. Enhanced degradation of complex organic compounds in wastewater using different novel continuous flow non-Thermal pulsed corona plasma discharge reactors. Environ. Res. 2021, 203, 111807. [Google Scholar] [CrossRef]
- Chen, C.; Ma, C.; Yang, Y.; Yang, X.; Demeestere, K.; Nikiforov, A.; Van Hulle, S. Degradation of micropollutants in secondary wastewater effluent using nonthermal plasma-based AOPs: The roles of free radicals and molecular oxidants. Water Res. 2023, 235, 119881. [Google Scholar] [CrossRef]
- Surra, E.; Paíga, P.; Baptista, I.; Jorge, R.; Marinheiro, L.; Löblich, S.; Delerue-Matos, C. Comparative life cycle assessment of non-thermal plasma for the removal of pharmaceuticals from wastewater. J. Environ. Manag. 2024, 370, 122728. [Google Scholar] [CrossRef]
- ISO 14040:2006; Environmental Management—Life Cycle Assessment—Principles and Framework. ISO: Genewa, Switzerland, 2006.
- ISO 14044:2006; Environmental Management—Life Cycle Assessment—Requirements and Guidelines. ISO: Genewa, Switzerland, 2006.
- Yaseen, D.; Scholz, M. Textile dye wastewater characteristics and constituents of synthetic effluents: A critical review. Int. J. Environ. Sci. Technol. 2019, 16, 1193–1226. [Google Scholar] [CrossRef]
- Dhote, J.; Ingole, S.; Chavhan, A. Review on wastewater treatment technologies. Int. J. Eng. Res. Technol. 2012, 1, 1–10. [Google Scholar]
- Xiao, Y.; Tian, Y.; Zhan, Y.; Zhu, J. Optimization of a Low-Cost Corona Dielectric-Barrier Discharge Plasma Wastewater Treatment System through Central Composite Design/Response Surface Methodology with Mechanistic and Efficiency Analysis. Sustainability 2024, 16, 605. [Google Scholar] [CrossRef]
- Kim, M.W.; Kim, H.K.; Lee, H.; Kim, K.; Hong, Y.C. Decolorization of industrial dye wastewater using an underwater non-thermal plasma system. J. Water Process Eng. 2024, 67, 106149. [Google Scholar] [CrossRef]
- Kooshki, S.; Pareek, P.; Janda, M.; Machala, Z. Selective reactive oxygen and nitrogen species production in plasma-activated water via dielectric barrier discharge reactor: An innovative method for tuning and its impact on dye degradation. J. Water Process Eng. 2024, 63, 105477. [Google Scholar] [CrossRef]
- Nau-Hix, C.; Multari, N.; Singh, R.K.; Richardson, S.; Kulkarni, P.; Anderson, R.H.; Holsen, T.M.; Thagard, S.M. Field demonstration of a pilot-scale plasma reactor for the rapid removal of poly-and perfluoroalkyl substances in groundwater. ACS EST Water 2021, 1, 680–687. [Google Scholar] [CrossRef]
- Singh, R.K.; Multari, N.; Nau-Hix, C.; Anderson, R.H.; Richardson, S.D.; Holsen, T.M.; Thagard, S.M. Rapid removal of poly-and perfluorinated compounds from investigation-derived waste (IDW) in a pilot-scale plasma reactor. Environ. Sci. Technol. 2019, 53, 11375–11382. [Google Scholar] [CrossRef]
- Alam, D.; Lee, S.; Hong, J.; Fletcher, D.F.; Liu, X.; McClure, D.; Cook, D.; Carfort, J.l.N.d.; Krühne, U.; Cullen, P.; et al. Influence of bubble size on perfluorooctanesulfonic acid degradation in a pilot scale non-thermal plasma treatment reactor. Chem. Eng. J. 2024, 489, 151349. [Google Scholar] [CrossRef]
- Tamang, S.G.; Umlauf, G.; Barz, J.; Ghomi, M.R. Degradation of PFOA solutions and PFAS-contaminated groundwater using atmospheric non-thermal plasma treatment. Water Pract. Technol. 2024, 19, 2645–2654. [Google Scholar] [CrossRef]
- Tang, X.; Júnior, A.D.F.; Karu, K.; Campos, L.C.; Kim, M. Atmospheric pressure dielectric barrier discharge plasma for in-situ water treatment using a bubbling reactor. J. Environ. Manag. 2024, 370, 122574. [Google Scholar] [CrossRef]
- Lewis, A.J.; Joyce, T.; Hadaya, M.; Ebrahimi, F.; Dragiev, I.; Giardetti, N.; Yang, J.; Fridman, G.; Rabinovich, A.; Fridman, A.A.; et al. Rapid degradation of PFAS in aqueous solutions by reverse vortex flow gliding arc plasma. Environ. Sci. Water Res. Technol. 2020, 6, 1044–1057. [Google Scholar] [CrossRef]
- Giardina, A.; Lofrano, G.; Libralato, G.; Siciliano, A.; Marotta, E.; Paradisi, C. Air non-thermal plasma, a green approach for the treatment of contaminated water: The case of sulfamethoxazole. Front. Environ. Chem. 2024, 5, 1416702. [Google Scholar] [CrossRef]
- Li, S.; Huang, B.; Gao, Y.; Dong, Y.; Wang, Q.; Zhang, L.; Zhang, C.; Yu, J.; Yang, M. Spatially-confined bubble plasma oxidation induced by microchannel discharge to boost energy efficiency in water treatment. Water Res. 2025, 287, 124452. [Google Scholar] [CrossRef]
- Zoschke, K.; Dietrich, N.; Börnick, H.; Worch, E. UV-based advanced oxidation processes for the treatment of odour compounds: Efficiency and by-product formation. Water Res. 2012, 46, 5365–5373. [Google Scholar] [CrossRef]
- Shahrestani, M.M.; Rahimi, A. Evaluation of electrical energy consumption in UV/H2O2 advanced oxidation process for simultaneous removal of NO and SO2. Environ. Eng. Res. 2019, 24, 389–396. [Google Scholar] [CrossRef]
- Fennell, B.D.; Mezyk, S.P.; McKay, G. Critical review of UV-advanced reduction processes for the treatment of chemical contaminants in water. ACS Environ. Au 2022, 2, 178–205. [Google Scholar] [CrossRef]
- Naicker, K.-I.; Kaweesa, P.; Daramola, M.O.; Iwarere, S.A. Non-thermal plasma review: Assessment and improvement of feasibility as a retrofitted technology in tertiary wastewater purification. Appl. Sci. 2023, 13, 6243. [Google Scholar] [CrossRef]








| Plasma Configuration | Target Pollutant(s) | Volume/Flow | Degradation Efficiency | Energy Efficiency (kWh·m−3) | Scalability | Cost | Key Performance Indicators | Ref. |
|---|---|---|---|---|---|---|---|---|
| Plasma Jet + Cavitation | Sulfathiazole, Norfloxacin, MB | 2–20 L | >80–96% | NA | Scalable (≤20 L) | NA | High removal at multi-L scale; fast kinetics | [58] |
| Hydrodynamic Cavitation Plasma Jet (HCPJ) | Algae, Cyanobacteria | 2 L | >90% | NA | Continuous flow possible | NA | Rapid PAW generation; ORP > 800 mV | [75] |
| Pulsed Corona Discharge + UF | 29 Pharmaceuticals | 50 L | >87–100% | 0.5–1.0 | Pilot (WWTP hospital) | Low (≈1 kWh·m−3) | Complete removal at pilot scale | [76] |
| Glow Discharge | DCF, CBM, SMX (mix) | 410 L | >90% | NA | Large volume demonstrated | NA | Uniform bulk treatment | [78] |
| SFR, TDPR, SDPR (Corona) | DCF, VPL | 1–3 L | >99% | NA | Modular multi-reactor ready | ≈0.25 $/m3 | Fast reaction; low cost | [79] |
| DBD + Ozonation | ATZ, ALA, DIU, PRD, EE2, BPA, OIT | 0.6 L | 84–98% | 2.4–5.3 | Retrofit to WWTP | Medium | High oxidation selectivity | [80] |
| DBD (Semi-pilot) | WWTP Effluent (CBZ, CIT, VFX, DCF, CLAR) | 50 L | >80% | NA | Semi-pilot ready | Low–Medium | Low CO2 footprint; eco-efficient | [81] |
| Corona DBD (cDBD) | Methylene Blue | 10 mL | 98% | 5.79 (E per order) | Lab-scale prototype | Low | Compact and efficient | [86] |
| DBD (Underwater) | Industrial Dye Wastewater | 60 L | 80% | NA | Pilot (60 L) | NA | Rapid COD drop; energy efficient | [87] |
| Fountain DBD (FDBD) | Methylene Blue | ≈2 L/m | >90% | NA | Scalable mobile unit | 30% less cost vs. baseline | Stable long-term run | [88] |
| Trailer-mounted DBD | PFAS (long + short chain) | 8.4 L/m | >90% | ≈15–20 | Field-tested (DoD site) | NA | Continuous PFAS removal | [89] |
| Skid-mounted PCD | Long-chain PFAAs | 4 L | Rapid defluorination | 9.2–31 | Portable field unit | ≈$7.3 per 1000 gal | Effective at multiple DoD sites | [90] |
| Argon-bubbled NTP reactor | PFOS | 25 L | k = 0.16 min−1 (~3× std.) | NA | Model-guided scale-up | NA | High interfacial activity | [91] |
| Falling-film DBD | PFOS, PFOA | 5 L | 63.8%(PFOA); 45%(PFOS) | 0.31–15.31 (mg kWh−1) | Continuous film design | NA | Improved interface contact | [92] |
Disclaimer/Publisher’s Note: The statements, opinions and data contained in all publications are solely those of the individual author(s) and contributor(s) and not of MDPI and/or the editor(s). MDPI and/or the editor(s) disclaim responsibility for any injury to people or property resulting from any ideas, methods, instructions or products referred to in the content. |
© 2025 by the authors. Licensee MDPI, Basel, Switzerland. This article is an open access article distributed under the terms and conditions of the Creative Commons Attribution (CC BY) license (https://creativecommons.org/licenses/by/4.0/).
Share and Cite
Morenas, B.; Saqib, S.; Mukhtar, A.; Stromberg, J.; Wu, S. Scaling Up Non-Thermal Plasma Technology for Water and Wastewater Treatment: Opportunities and Challenges. Energies 2025, 18, 5692. https://doi.org/10.3390/en18215692
Morenas B, Saqib S, Mukhtar A, Stromberg J, Wu S. Scaling Up Non-Thermal Plasma Technology for Water and Wastewater Treatment: Opportunities and Challenges. Energies. 2025; 18(21):5692. https://doi.org/10.3390/en18215692
Chicago/Turabian StyleMorenas, Benjamin, Sidra Saqib, Ahmad Mukhtar, Jonathan Stromberg, and Sarah Wu. 2025. "Scaling Up Non-Thermal Plasma Technology for Water and Wastewater Treatment: Opportunities and Challenges" Energies 18, no. 21: 5692. https://doi.org/10.3390/en18215692
APA StyleMorenas, B., Saqib, S., Mukhtar, A., Stromberg, J., & Wu, S. (2025). Scaling Up Non-Thermal Plasma Technology for Water and Wastewater Treatment: Opportunities and Challenges. Energies, 18(21), 5692. https://doi.org/10.3390/en18215692

