Systematic Monte Carlo Analysis of Binary Compounds for Neutron Shielding in a Compact Nuclear Fusion Reactor
Abstract
1. Introduction
2. Materials and Methods
2.1. Materials Data
2.2. Monte Carlo and Activation Simulations
3. Results
3.1. Full Dataset Results
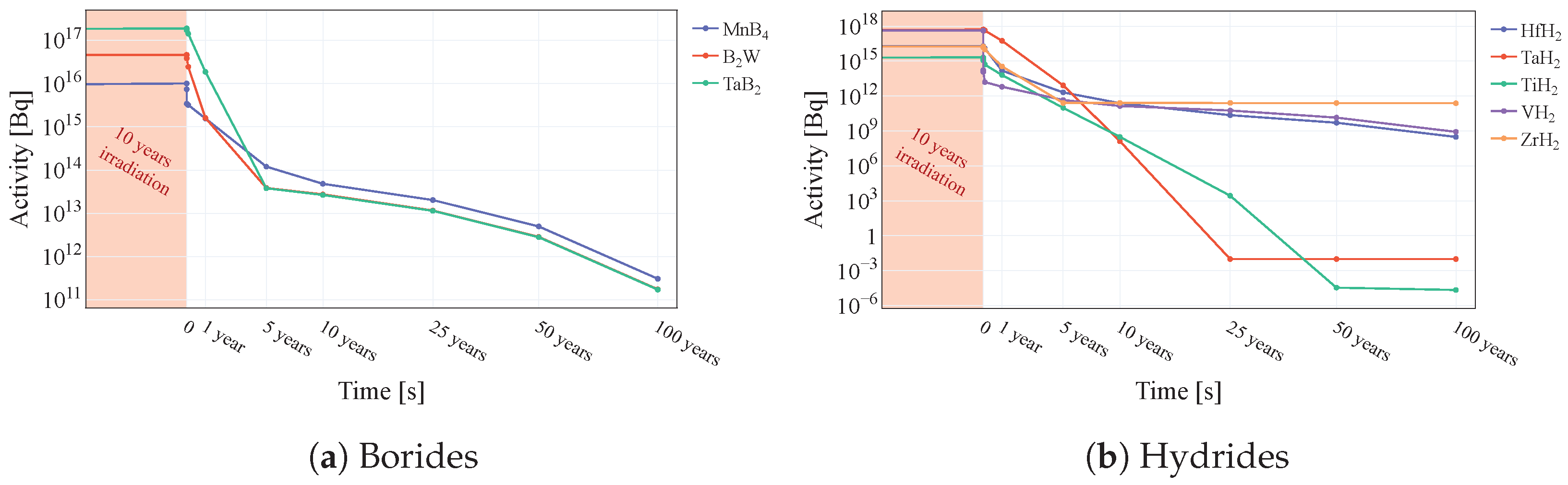
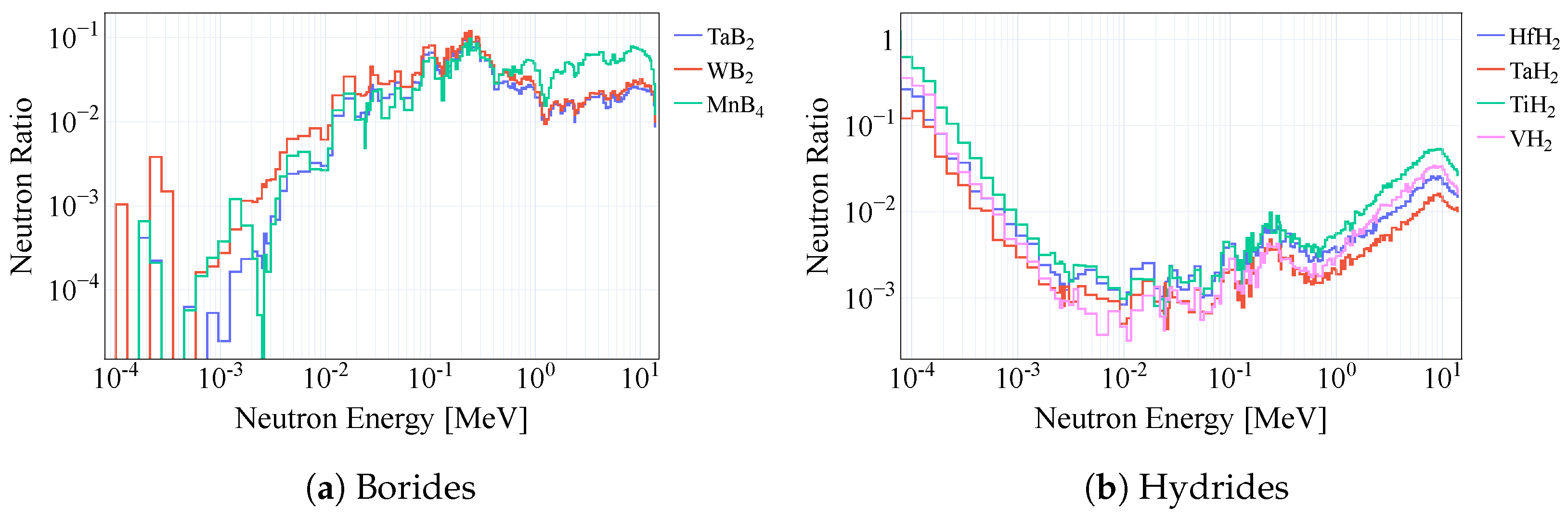
3.2. Borides and Hydrides
4. Discussion
- Despite their poorer shielding performance, borides generally exhibit lower levels of PDD and can be preferable in some neutron control applications, as mentioned before. For these reasons, they are included in the set to offer a wider range of options.
- Elements with very low natural abundance are excluded for economic reasons.
- Materials available only under extreme, laboratory-level conditions are not considered.
5. Conclusions
Author Contributions
Funding
Institutional Review Board Statement
Informed Consent Statement
Data Availability Statement
Acknowledgments
Conflicts of Interest
References
- Sorbom, B.; Ball, J.; Palmer, T.; Mangiarotti, F.; Sierchio, J.; Bonoli, P.; Kasten, C.; Sutherland, D.; Barnard, H.; Haakonsen, C.; et al. ARC: A compact, high-field, fusion nuclear science facility and demonstration power plant with demountable magnets. Fusion Eng. Des. 2015, 100, 378–405. [Google Scholar] [CrossRef]
- Meschini, S.; Laviano, F.; Ledda, F.; Pettinari, D.; Testoni, R.; Torsello, D.; Panella, B. Review of commercial nuclear fusion projects. Front. Energy Res. 2023, 11, 1157394. [Google Scholar] [CrossRef]
- Iliffe, W.; Chislett-McDonald, S.; Harden, F.; Adams, K.; Tufnail, J.; Grovenor, C.; Speller, S.; Reilly, A.; Wimbush, S.C.; Nasr, E. Progress in the STEP Programme Toward Understanding REBCO Coated Conductors in the Fusion Environment. IEEE Trans. Appl. Supercond. 2025, 35, 6602105. [Google Scholar] [CrossRef]
- Torsello, D.; Gambino, D.; Gozzelino, L.; Trotta, A.; Laviano, F. Expected radiation environment and damage for YBCO tapes in compact fusion reactors. Supercond. Sci. Technol. 2022, 36, 014003. [Google Scholar] [CrossRef]
- Zhai, Y.; Larbalestier, D.; Duckworth, R.; Hartwig, Z.; Prestemon, S.; Forest, C. R&D Needs for a U.S. Fusion Magnet Base Program. IEEE Trans. Appl. Supercond. 2024, 34, 4200705. [Google Scholar] [CrossRef]
- Bae, J.W.; Peterson, E.; Shimwell, J. ARC reactor neutronics multi-code validation. Nuclear Fusion 2022, 62, 066016. [Google Scholar] [CrossRef]
- Torsello, D.; Ledda, F.; Sparacio, S.; Eugenio, N.D.; Giacomo, M.D.; Gallo, E.; Hartwig, Z.; Trotta, A.; Laviano, F. Radiation Environment and Damage of HTS Magnets in an ARC-Like Reactor. IEEE Trans. Appl. Supercond. 2025, 35, 4200206. [Google Scholar] [CrossRef]
- Torsello, D.; Celentano, G.; Civale, L.; Corato, V.; Eisterer, M.; Gambino, D.; Murphy, S.; Speller, S.; Laviano, F. Roadmap for the investigation of irradiation effects in HTS for fusion. Supercond. Sci. Technol. 2025, 38, 053501. [Google Scholar] [CrossRef]
- Segantin, S.; Meschini, S.; Testoni, R.; Zucchetti, M. Preliminary investigation of neutron shielding compounds for ARC-class tokamaks. Fusion Eng. Des. 2022, 185, 113335. [Google Scholar] [CrossRef]
- Chen, Y.; Yan, B. The technology of shielding design for nuclear reactor: A review. Prog. Nucl. Energy 2023, 161, 104741. [Google Scholar] [CrossRef]
- Chandrasekhar, K.; Lin-Vines, A.; Wilson, C.; Kamal, G.S.; Rajput, M. Shielding Material Performance in a Preconcept Spherical Tokamak Power Plant. Nucl. Sci. Eng. 2025, 1–13. [Google Scholar] [CrossRef]
- Jain, A.; Ong, S.P.; Hautier, G.; Chen, W.; Richards, W.D.; Dacek, S.; Cholia, S.; Gunter, D.; Skinner, D.; Ceder, G.; et al. Commentary: The Materials Project: A materials genome approach to accelerating materials innovation. APL Mater. 2013, 1, 011002. [Google Scholar] [CrossRef]
- Attia, M.; Abdalateif, A. Monte Carlo Simulation of Neutrons Scattering in the Reactor. Int. J. Adv. Sci. Res. Eng. 2018, 4, 51–57. [Google Scholar] [CrossRef]
- Blaickner, M.; Demirel, B.; Drevenšek-Olenik, I.; Fally, M.; Flauger, P.; Geltenbort, P.; Hasegawa, Y.; Kurinjimala, R.; Ličen, M.; Pruner, C.; et al. Monte-Carlo simulation of neutron transmission through nanocomposite materials for neutron-optics applications. Nucl. Instrum. Methods Phys. Res. Sect. A Accel. Spectrometers Detect. Assoc. Equip. 2019, 916, 154–157. [Google Scholar] [CrossRef]
- Yang, S.; Yao, Y.; Wang, H.; Huang, H. A Comparative Study of Neutron Shielding Performance in Al-Based Composites Reinforced with Various Boron-Containing Particles for Radiotherapy: A Monte Carlo Simulation. Nanomaterials 2024, 14, 1696. [Google Scholar] [CrossRef]
- Ledda, F.; Pettinari, D.; Ferrero, G.; Hartwig, Z.; Laviano, F.; Meschini, S.; Sparacio, S.; Testoni, R.; Torsello, D.; Trotta, A.; et al. 3D neutronic analysis on compact fusion reactors: PHITS-OpenMC cross-comparison. Fusion Eng. Des. 2024, 202, 114323. [Google Scholar] [CrossRef]
- Ong, S.P.; Cholia, S.; Jain, A.; Brafman, M.; Gunter, D.; Ceder, G.; Persson, K.A. The Materials Application Programming Interface (API): A simple, flexible and efficient API for materials data based on REpresentational State Transfer (REST) principles. Comput. Mater. Sci. 2015, 97, 209–215. [Google Scholar] [CrossRef]
- Ong, S.P.; Richards, W.D.; Jain, A.; Hautier, G.; Kocher, M.; Cholia, S.; Gunter, D.; Chevrier, V.L.; Persson, K.A.; Ceder, G. Python Materials Genomics (pymatgen): A robust, open-source python library for materials analysis. Comput. Mater. Sci. 2013, 68, 314–319. [Google Scholar] [CrossRef]
- Sato, T.; Iwamoto, Y.; Hashimoto, S.; Ogawa, T.; Furuta, T.; Abe, S.I.; Kai, T.; Matsuya, Y.; Matsuda, N.; Hirata, Y.; et al. Recent improvements of the particle and heavy ion transport code system – PHITS version 3.33. J. Nucl. Sci. Technol. 2024, 61, 127–135. [Google Scholar] [CrossRef]
- Shibata, K.; Iwamoto, O.; Nakagawa, T.; Iwamoto, N.; Ichihara, A.; Kunieda, S.; Chiba, S.; Furutaka, K.; Otuka, N.; Ohsawa, T.; et al. JENDL-4.0: A New Library for Nuclear Science and Engineering. J. Nucl. Sci. Technol. 2011, 48, 1–30. [Google Scholar] [CrossRef]
- Ledda, F.; Torsello, D.; Pettinari, D.; Sparacio, S.; Hartwig, Z.; Zucchetti, M.; Laviano, F. 3D Neutronic and Secondary Particles Analysis on YBa2Cu3O7−δ Tapes for Compact Fusion Reactors. IEEE Trans. Appl. Supercond. 2024, 34, 4206105. [Google Scholar] [CrossRef]
- Tasaka, K. DCHAIN 2: A Computer Code for Calculation of Transmutation of Nuclides; Technical report; Japan Atomic Energy Research Institute: Tokyo, Japan, 1980. [Google Scholar]
- Wigner, E. On the Consequences of the Symmetry of the Nuclear Hamiltonian on the Spectroscopy of Nuclei. Phys. Rev. 1937, 51, 106–119. [Google Scholar] [CrossRef]
- Haynes, W.M. Abundance of Elements in the Earth’s Crust and in the Sea. In CRC Handbook of Chemistry and Physics, 97th ed.; Chapter Section 14; CRC Press: Boca Raton, FL, USA, 2016; pp. 14–17. [Google Scholar]
- Hong, Q.J.; Ushakov, S.V.; van de Walle, A.; Navrotsky, A. Melting temperature prediction using a graph neural network model: From ancient minerals to new materials. Proc. Natl. Acad. Sci. USA 2022, 119, e2209630119. [Google Scholar] [CrossRef]
- Jin, S.; Yang, W.; Zhang, L.; Sun, Y. Experimental study on gamma heating rate measurement based on differential calorimeter. Ann. Nucl. Energy 2024, 207, 110722. [Google Scholar] [CrossRef]
- Hughes, L.; Kennett, T.; Prestwich, W. A study of the 55Mn(n, γ)56Mn reaction. Nucl. Phys. 1966, 80, 131–144. [Google Scholar] [CrossRef]
- Vansola, V.; Mukherjee, S.; Naik, H.; Suryanarayana, S.V.; Ghosh, R.; Badwar, S.; Lawriniang, B.M.; Sheela, Y.S. Determination of55Mn(n, γ)56Mn reaction cross-section at the neutron energies of 1.12, 2.12, 3.12 and 4.12 MeV. Radiochim. Acta 2016, 104, 749–755. [Google Scholar] [CrossRef]
- Blomqvist, J.; Olofsson, J.; Alvarez, A.M.; Bjerkén, C. Structure and Thermodynamical Properties of Zirconium Hydrides from First-Principle. In Proceedings of the 15th International Conference on Environmental Degradation of Materials in Nuclear Power Systems—Water Reactors; Springer International Publishing: Cham, Switzerland, 2011; pp. 671–681. [Google Scholar] [CrossRef]
- King, D.; Knowles, A.; Bowden, D.; Wenman, M.; Capp, S.; Gorley, M.; Shimwell, J.; Packer, L.; Gilbert, M.; Harte, A. High temperature zirconium alloys for fusion energy. J. Nucl. Mater. 2022, 559, 153431. [Google Scholar] [CrossRef]
- Forty, C.; Karditsas, P. Uses of zirconium alloys in fusion applications. J. Nucl. Mater. 2000, 283–287, 607–610. [Google Scholar] [CrossRef]
- Morandi, A.; Pettinari, D.; Zucchetti, M. Activation analysis of a compact Tokamak using Deuterium–Helium3 fuel. Fusion Eng. Des. 2026, 222, 115491. [Google Scholar] [CrossRef]














| Composition | ρ [g/cm3] | NFR | PDD [W/m3] | FT [K] | HA [ppm] | γF [1/cm2 s] | 
|---|---|---|---|---|---|---|
| ZrH2 | 1910 | 165 | ||||
| TaH2 | 2125 | |||||
| VH2 | 1150 | 120 | ||||
| HfH2 | 2487 | |||||
| TiH2 | 1591 | 5650 | ||||
| TaB2 | 3360 | |||||
| WB2 | 2738 | |||||
| MnB4 | 2401 | 950 | 
| Disclaimer/Publisher’s Note: The statements, opinions and data contained in all publications are solely those of the individual author(s) and contributor(s) and not of MDPI and/or the editor(s). MDPI and/or the editor(s) disclaim responsibility for any injury to people or property resulting from any ideas, methods, instructions or products referred to in the content. | 
© 2025 by the authors. Licensee MDPI, Basel, Switzerland. This article is an open access article distributed under the terms and conditions of the Creative Commons Attribution (CC BY) license (https://creativecommons.org/licenses/by/4.0/).
Share and Cite
Calzavara, F.; Di Eugenio, N.; Ledda, F.; Torsello, D.; Trotta, A.; Gallo, E.; Laviano, F. Systematic Monte Carlo Analysis of Binary Compounds for Neutron Shielding in a Compact Nuclear Fusion Reactor. Appl. Sci. 2025, 15, 11557. https://doi.org/10.3390/app152111557
Calzavara F, Di Eugenio N, Ledda F, Torsello D, Trotta A, Gallo E, Laviano F. Systematic Monte Carlo Analysis of Binary Compounds for Neutron Shielding in a Compact Nuclear Fusion Reactor. Applied Sciences. 2025; 15(21):11557. https://doi.org/10.3390/app152111557
Chicago/Turabian StyleCalzavara, Fabio, Niccolò Di Eugenio, Federico Ledda, Daniele Torsello, Antonio Trotta, Erik Gallo, and Francesco Laviano. 2025. "Systematic Monte Carlo Analysis of Binary Compounds for Neutron Shielding in a Compact Nuclear Fusion Reactor" Applied Sciences 15, no. 21: 11557. https://doi.org/10.3390/app152111557
APA StyleCalzavara, F., Di Eugenio, N., Ledda, F., Torsello, D., Trotta, A., Gallo, E., & Laviano, F. (2025). Systematic Monte Carlo Analysis of Binary Compounds for Neutron Shielding in a Compact Nuclear Fusion Reactor. Applied Sciences, 15(21), 11557. https://doi.org/10.3390/app152111557
 
         
                                                




 
       