Sign in to use this feature.

Years

Between: -

Subjects

remove_circle_outline
remove_circle_outline
remove_circle_outline

Journals

Article Types

Countries / Regions

Search Results (15)

Search Parameters:
Keywords = pyrrolidine nitroxides

Order results
Result details
Results per page
Select all
Export citation of selected articles as:
18 pages, 2503 KB  
Article
Towards Metabolic Organic Radical Contrast Agents (mORCAs) for Magnetic Resonance Imaging
by Shuyang Zhang, Sabina Dhakal, Evan Curtis, Hunter Miller, Joseph T. Paletta, Connor Gee, Suchada Rajca, Forrest Kievit and Andrzej Rajca
Molecules 2025, 30(7), 1581; https://doi.org/10.3390/molecules30071581 - 2 Apr 2025
Viewed by 3886
Abstract
We report two conjugates of gem-diethyl pyrroline nitroxide radicals with D-mannosamine as potential metabolic organic radical contrast agents, mORCAs, circumventing the need for biorthogonal reactions. In-cell EPR spectroscopy, using Jurkat cells and analogous conjugate, based on a pyrrolidine nitroxide radical, shows an [...] Read more.
We report two conjugates of gem-diethyl pyrroline nitroxide radicals with D-mannosamine as potential metabolic organic radical contrast agents, mORCAs, circumventing the need for biorthogonal reactions. In-cell EPR spectroscopy, using Jurkat cells and analogous conjugate, based on a pyrrolidine nitroxide radical, shows an efficient incorporation of highly immobilized nitroxides, with a correlation time of τcor = 20 ns. In vivo MRI experiments in mice show that the paramagnetic nitroxide radical shortens the T1 and T2 relaxation times of protons in water located in the kidney and brain by only up to ~10% after 3 d. Ex vivo EPR spectroscopic analyses indicate that the contrast agents in mouse tissues are primarily localized in the kidney, lung, liver, heart, and blood, which primarily contain immobilized nitroxide radicals with τcor = 4–9 ns. The spin concentrations in tissues remain low (1–3 nmol g⁻1) at 24 h after the third mORCA injection, approximately one to two orders of magnitude lower than those of ORCAFluor and BASP-ORCA (measured at ~24 h post-injection). These low spin concentrations explain the small proton T1 and T2 relaxation changes observed in in vivo MRI. Full article
Show Figures

Graphical abstract

17 pages, 2306 KB  
Article
Modulation of the Human Erythrocyte Antioxidant System by the 5- and 6-Membered Heterocycle-Based Nitroxides
by Krzysztof Gwozdzinski, Stella Bujak-Pietrek, Anna Pieniazek and Lukasz Gwozdzinski
Molecules 2024, 29(12), 2941; https://doi.org/10.3390/molecules29122941 - 20 Jun 2024
Cited by 2 | Viewed by 2023
Abstract
Nitroxides are stable radicals consisting of a nitroxyl group, >N-O, which carries an unpaired electron. This group is responsible for the paramagnetic and antioxidant properties of these compounds. A recent study evaluated the effects of pyrrolidine and pyrroline derivatives of nitroxides [...] Read more.
Nitroxides are stable radicals consisting of a nitroxyl group, >N-O, which carries an unpaired electron. This group is responsible for the paramagnetic and antioxidant properties of these compounds. A recent study evaluated the effects of pyrrolidine and pyrroline derivatives of nitroxides on the antioxidant system of human red blood cells (RBCs). It showed that nitroxides caused an increase in the activity of superoxide dismutase (SOD) and the level of methemoglobin (MetHb) in cells (in pyrroline derivatives) but had no effect on the activity of catalase and lactate dehydrogenase. Nitroxides also reduced the concentration of ascorbic acid (AA) in cells but did not cause any oxidation of proteins or lipids. Interestingly, nitroxides initiated an increase in thiols in the plasma membranes and hemolysate. However, the study also revealed that nitroxides may have pro-oxidant properties. The drop in the AA concentration and the increase in the MetHb level and in SOD activity may indicate the pro-oxidant properties of nitroxides in red blood cells. Full article
(This article belongs to the Section Medicinal Chemistry)
Show Figures

Figure 1

20 pages, 5539 KB  
Article
Hydrophilic Reduction-Resistant Spin Labels of Pyrrolidine and Pyrroline Series from 3,4-Bis-hydroxymethyl-2,2,5,5-tetraethylpyrrolidine-1-oxyl
by Mikhail S. Usatov, Sergey A. Dobrynin, Yuliya F. Polienko, Denis A. Morozov, Yurii I. Glazachev, Sergey V. An’kov, Tatiana G. Tolstikova, Yuri V. Gatilov, Irina Yu. Bagryanskaya, Arthur E. Raizvikh, Elena G. Bagryanskaya and Igor A. Kirilyuk
Int. J. Mol. Sci. 2024, 25(3), 1550; https://doi.org/10.3390/ijms25031550 - 26 Jan 2024
Cited by 3 | Viewed by 2078
Abstract
Highly resistant to reduction nitroxides open new opportunities for structural studies of biological macromolecules in their native environment inside living cells and for functional imaging of pH and thiols, enzymatic activity and redox status in living animals. 3,4-Disubstituted nitroxides of 2,2,5,5-tetraethylpyrrolidine and pyrroline [...] Read more.
Highly resistant to reduction nitroxides open new opportunities for structural studies of biological macromolecules in their native environment inside living cells and for functional imaging of pH and thiols, enzymatic activity and redox status in living animals. 3,4-Disubstituted nitroxides of 2,2,5,5-tetraethylpyrrolidine and pyrroline series with a functional group for binding to biomolecules and a polar moiety for higher solubility in water and for more rigid attachment via additional coordination to polar sites were designed and synthesized. The EPR spectra, lipophilicities, kinetics of the reduction in ascorbate-containing systems and the decay rates in liver homogenates were measured. The EPR spectra of all 3,4-disubstituted pyrrolidine nitroxides showed additional large splitting on methylene hydrogens of the ethyl groups, while the spectra of similar pyrroline nitroxides were represented with a simple triplet with narrow lines and hyperfine structure of the nitrogen manifolds resolved in oxygen-free conditions. Both pyrrolidine and pyrroline nitroxides demonstrated low rates of reduction with ascorbate, pyrrolidines being a bit more stable than similar pyrrolines. The decay of positively charged nitroxides in the rat liver homogenate was faster than that of neutral and negatively charged radicals, with lipophilicity, rate of reduction with ascorbate and the ring type playing minor role. The EPR spectra of N,N-dimethyl-3,4-bis-(aminomethyl)-2,2,5,5-tetraethylpyrrolidine-1-oxyl showed dependence on pH with pKa = 3, ΔaN = 0.055 mT and ΔaH = 0.075 mT. Full article
(This article belongs to the Topic Advances in Chemistry and Chemical Engineering)
Show Figures

Figure 1

19 pages, 2565 KB  
Article
2,5-Di-tert-butyl-2,5-diethylpyrrolidine-1-oxyls: Where Is a Reasonable Limit of Sterical Loading for Higher Resistance to Reduction?
by Irina F. Zhurko, Sergey A. Dobrynin, Yurii I. Glazachev, Yuri V. Gatilov and Igor A. Kirilyuk
Molecules 2024, 29(3), 599; https://doi.org/10.3390/molecules29030599 - 25 Jan 2024
Cited by 2 | Viewed by 2512
Abstract
The pyrrolidine nitroxides with four bulky alkyl substituents adjacent to the N–O∙ group demonstrate very high resistance to reduction with biogenic antioxidants and enzymatic systems. This makes them valuable molecular tools for studying the structure and functions of biomolecules directly in a living [...] Read more.
The pyrrolidine nitroxides with four bulky alkyl substituents adjacent to the N–O∙ group demonstrate very high resistance to reduction with biogenic antioxidants and enzymatic systems. This makes them valuable molecular tools for studying the structure and functions of biomolecules directly in a living cell and for functional EPR and NMR tomography in vivo. The first example of highly strained pyrrolidine nitroxides with both ethyl and tert-butyl groups at each of the α-carbon atoms of the nitroxide moiety with cis-configuration of the tert-butyl groups was prepared using a three-component domino reaction of tert-leucine and 2,2-dimethylpentan-3-one with dimethyl fumarate with subsequent conversion of the resulting strained pyrrolidine into 1-pyrroline-1-oxide and addition of EtLi. The nitroxide has demonstrated unexpectedly fast reduction with ascorbate, the rate constant k2 = (2.0 ± 0.1) × 10−3 M−1s−1. This effect was explained by destabilization of the planar nitroxide moiety due to repulsion with the two neighboring tert-butyl groups cis to each other. Full article
(This article belongs to the Special Issue Recent Advances in Domino Reactions)
Show Figures

Figure 1

24 pages, 6208 KB  
Article
Synthesis and Properties of (1R(S),5R(S),7R(S),8R(S))-1,8-Bis(hydroxymethyl)-6-azadispiro[4.1.4.2]tridecane-6-oxyl: Reduction-Resistant Spin Labels with High Spin Relaxation Times
by Yulia V. Khoroshunova, Denis A. Morozov, Danil A. Kuznetsov, Tatyana V. Rybalova, Yurii I. Glazachev, Elena G. Bagryanskaya and Igor A. Kirilyuk
Int. J. Mol. Sci. 2023, 24(14), 11498; https://doi.org/10.3390/ijms241411498 - 15 Jul 2023
Cited by 3 | Viewed by 2008
Abstract
Site-directed spin labeling followed by investigation using Electron Paramagnetic Resonance spectroscopy is a rapidly expanding powerful biophysical technique to study structure, local dynamics and functions of biomolecules using pulsed EPR techniques and nitroxides are the most widely used spin labels. Modern trends of [...] Read more.
Site-directed spin labeling followed by investigation using Electron Paramagnetic Resonance spectroscopy is a rapidly expanding powerful biophysical technique to study structure, local dynamics and functions of biomolecules using pulsed EPR techniques and nitroxides are the most widely used spin labels. Modern trends of this method include measurements directly inside a living cell, as well as measurements without deep freezing (below 70 K), which provide information that is more consistent with the behavior of the molecules under study in natural conditions. Such studies require nitroxides, which are resistant to the action of biogenic reductants and have high spin relaxation (dephasing) times, Tm. (1R(S),5R(S),7R(S),8R(S))-1,8-bis(hydroxymethyl)-6-azadispiro[4.1.4.2]tridecane-6-oxyl is a unique nitroxide that combines these features. We have developed a convenient method for the synthesis of this radical and studied the ways of its functionalization. Promising spin labels have been obtained, the parameters of their spin relaxation T1 and Tm have been measured, and the kinetics of reduction with ascorbate have been studied. Full article
Show Figures

Figure 1

13 pages, 3936 KB  
Article
An EPR Study on Highly Stable Nitroxyl-Nitroxyl Biradicals for Dynamic Nuclear Polarization Applications at High Magnetic Fields
by Nargiz B. Asanbaeva, Sergey A. Dobrynin, Denis A. Morozov, Nadia Haro-Mares, Torsten Gutmann, Gerd Buntkowsky and Elena G. Bagryanskaya
Molecules 2023, 28(4), 1926; https://doi.org/10.3390/molecules28041926 - 17 Feb 2023
Cited by 6 | Viewed by 2633
Abstract
Nitroxide biradicals are efficient polarizing agents in dynamic nuclear polarization (DNP) solid-state nuclear magnetic resonance. Many recently reported radicals possess substantial DNP efficiency in organic solvents but have poor solubility in water media which is unfavorable for biological applications. In this paper, we [...] Read more.
Nitroxide biradicals are efficient polarizing agents in dynamic nuclear polarization (DNP) solid-state nuclear magnetic resonance. Many recently reported radicals possess substantial DNP efficiency in organic solvents but have poor solubility in water media which is unfavorable for biological applications. In this paper, we report DNP efficiency at a high magnetic field for two water-soluble biradicals resistant to reducing media. Water solubility was achieved by obtaining the radicals in the form of quaternary ammonium salts. Parameters of hyperfine interaction and exchange interaction were quantified by EPR spectroscopy, and their influence on the DNP effect was determined. The resistance of the biradicals to strongly reducing media was characterized. High stability was achieved using tetraethyl substituents and pyrrolidine moieties. Full article
Show Figures

Figure 1

25 pages, 4196 KB  
Article
Structural Features Governing the Metabolic Stability of Tetraethyl-Substituted Nitroxides in Rat Liver Microsomes
by Aleksandra Rančić, Nikola Babić, Maylis Orio and Fabienne Peyrot
Antioxidants 2023, 12(2), 402; https://doi.org/10.3390/antiox12020402 - 7 Feb 2023
Cited by 8 | Viewed by 2707
Abstract
Nitroxides are potent tools for studying biological systems by electron paramagnetic resonance (EPR). Whatever the application, a certain stability is necessary for successful detection. Since conventional tetramethyl-substituted cyclic nitroxides have insufficient in vivo stability, efforts have recently been made to synthesize more stable, [...] Read more.
Nitroxides are potent tools for studying biological systems by electron paramagnetic resonance (EPR). Whatever the application, a certain stability is necessary for successful detection. Since conventional tetramethyl-substituted cyclic nitroxides have insufficient in vivo stability, efforts have recently been made to synthesize more stable, tetraethyl-substituted nitroxides. In our previous study on piperidine nitroxides, the introduction of steric hindrance around the nitroxide moiety successfully increased the resistance to reduction into hydroxylamine. However, it also rendered the carbon backbone susceptible to modifications by xenobiotic metabolism due to increased lipophilicity. Here, we focus on a new series of three nitroxide candidates with tetraethyl substitution, namely with pyrrolidine, pyrroline, and isoindoline cores, to identify which structural features afford increased stability for future probe design and application in in vivo EPR imaging. In the presence of rat liver microsomes, pyrrolidine and pyrroline tetraethyl nitroxides exhibited a higher stability than isoindoline nitroxide, which was studied in detail by HPLC-HRMS. Multiple metabolites suggest that the aerobic transformation of tetraethyl isoindoline nitroxide is initiated by hydrogen abstraction by P450-FeV = O from one of the ethyl groups, followed by rearrangement and further modifications by cytochrome P450, as supported by DFT calculations. Under anaerobic conditions, only reduction by rat liver microsomes was observed with involvement of P450-FeII. Full article
(This article belongs to the Special Issue Oxidative Stress and Chronic Liver Diseases)
Show Figures

Figure 1

18 pages, 7562 KB  
Article
Synthesis of Sterically Shielded Nitroxides Using the Reaction of Nitrones with Alkynylmagnesium Bromides
by Sergey A. Dobrynin, Mark M. Gulman, Denis A. Morozov, Irina F. Zhurko, Andrey I. Taratayko, Yulia S. Sotnikova, Yurii I. Glazachev, Yuri V. Gatilov and Igor A. Kirilyuk
Molecules 2022, 27(21), 7626; https://doi.org/10.3390/molecules27217626 - 7 Nov 2022
Cited by 6 | Viewed by 2917
Abstract
Sterically shielded nitroxides, which demonstrate high resistance to bioreduction, are the spin labels of choice for structural studies inside living cells using pulsed EPR and functional MRI and EPRI in vivo. To prepare new sterically shielded nitroxides, a reaction of cyclic nitrones, including [...] Read more.
Sterically shielded nitroxides, which demonstrate high resistance to bioreduction, are the spin labels of choice for structural studies inside living cells using pulsed EPR and functional MRI and EPRI in vivo. To prepare new sterically shielded nitroxides, a reaction of cyclic nitrones, including various 1-pyrroline-1-oxides, 2,5-dihydroimidazole-3-oxide and 4H-imidazole-3-oxide with alkynylmagnesium bromide wereused. The reaction gave corresponding nitroxides with an alkynyl group adjacent to the N-O moiety. The hydrogenation of resulting 2-ethynyl-substituted nitroxides with subsequent re-oxidation of the N-OH group produced the corresponding sterically shielded tetraalkylnitroxides of pyrrolidine, imidazolidine and 2,5-dihydroimidazole series. EPR studies revealed large additional couplings up to 4 G in the spectra of pyrrolidine and imidazolidine nitroxides with substituents in 3- and/or 4-positions of the ring. Full article
(This article belongs to the Section Organic Chemistry)
Show Figures

Figure 1

13 pages, 2006 KB  
Article
3,4-Unsubstituted 2-tert-Butyl-pyrrolidine-1-oxyls with Hydrophilic Functional Groups in the Side Chains
by Andrey I. Taratayko, Yurii I. Glazachev, Ilia V. Eltsov, Elena I. Chernyak and Igor A. Kirilyuk
Molecules 2022, 27(6), 1922; https://doi.org/10.3390/molecules27061922 - 16 Mar 2022
Cited by 5 | Viewed by 3383
Abstract
Pyrrolidine nitroxides with four bulky alkyl substituents adjacent to N–O group are known for their high resistance to bioreduction. The 3,4-unsubstituted 2-tert-butyl-2-ethylpyrrolidine-1-oxyls were prepared from the corresponding 2-tert-butyl-1-pyrroline-1-oxides via either the addition of ethinylmagnesium bromide with subsequent hydrogenation or [...] Read more.
Pyrrolidine nitroxides with four bulky alkyl substituents adjacent to N–O group are known for their high resistance to bioreduction. The 3,4-unsubstituted 2-tert-butyl-2-ethylpyrrolidine-1-oxyls were prepared from the corresponding 2-tert-butyl-1-pyrroline-1-oxides via either the addition of ethinylmagnesium bromide with subsequent hydrogenation or via treatment with ethyllithium. The new nitroxides showed excellent stability to reduction with ascorbate with no evidence for additional large hyperfine couplings in the EPR spectra. Full article
(This article belongs to the Collection Heterocyclic Compounds)
Show Figures

Graphical abstract

18 pages, 3819 KB  
Article
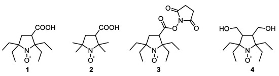
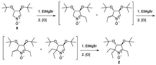
A Simple Method of Synthesis of 3-Carboxy-2,2,5,5-Tetraethylpyrrolidine-1-oxyl and Preparation of Reduction-Resistant Spin Labels and Probes of Pyrrolidine Series
by Sergey A. Dobrynin, Mikhail S. Usatov, Irina F. Zhurko, Denis A. Morozov, Yuliya F. Polienko, Yurii I. Glazachev, Dmitriy A. Parkhomenko, Mikhail A. Tyumentsev, Yuri V. Gatilov, Elena I. Chernyak, Elena G. Bagryanskaya and Igor A. Kirilyuk
Molecules 2021, 26(19), 5761; https://doi.org/10.3390/molecules26195761 - 23 Sep 2021
Cited by 17 | Viewed by 3867
Abstract
Stable free radicals are widely used as molecular probes and labels in various biophysical and biomedical research applications of magnetic resonance spectroscopy and imaging. Among these radicals, sterically shielded nitroxides of pyrrolidine series demonstrate the highest stability in biological systems. Here, we suggest [...] Read more.
Stable free radicals are widely used as molecular probes and labels in various biophysical and biomedical research applications of magnetic resonance spectroscopy and imaging. Among these radicals, sterically shielded nitroxides of pyrrolidine series demonstrate the highest stability in biological systems. Here, we suggest new convenient procedure for preparation of 3-carboxy-2,2,5,5-tetraethylpyrrolidine-1-oxyl, a reduction-resistant analog of widely used carboxy-Proxyl, from cheap commercially available reagents with the yield exceeding the most optimistic literature data. Several new spin labels and probes of 2,2,5,5-tetraethylpyrrolidine-1-oxyl series were prepared and reduction of these radicals in ascorbate solutions, mice blood and tissue homogenates was studied. Full article
(This article belongs to the Section Organic Chemistry)
Show Figures

Figure 1

60 pages, 51448 KB  
Review
Spirocyclic Nitroxides as Versatile Tools in Modern Natural Sciences: From Synthesis to Applications. Part I. Old and New Synthetic Approaches to Spirocyclic Nitroxyl Radicals
by Elena V. Zaytseva and Dmitrii G. Mazhukin
Molecules 2021, 26(3), 677; https://doi.org/10.3390/molecules26030677 - 28 Jan 2021
Cited by 13 | Viewed by 7851
Abstract
Spirocyclic nitroxyl radicals (SNRs) are stable paramagnetics bearing spiro-junction at α-, β-, or γ-carbon atom of the nitroxide fragment, which is part of the heterocyclic system. Despite the fact that the first representatives of SNRs were obtained about 50 years ago, the methodology [...] Read more.
Spirocyclic nitroxyl radicals (SNRs) are stable paramagnetics bearing spiro-junction at α-, β-, or γ-carbon atom of the nitroxide fragment, which is part of the heterocyclic system. Despite the fact that the first representatives of SNRs were obtained about 50 years ago, the methodology of their synthesis and their usage in chemistry and biochemical applications have begun to develop rapidly only in the last two decades. Due to the presence of spiro-function in the SNRs molecules, the latter have increased stability to various reducing agents (including biogenic ones), while the structures of the biradicals (SNBRs) comprises a rigid spiro-fused core that fixes mutual position and orientation of nitroxide moieties that favors their use in dynamic nuclear polarization (DNP) experiments. This first review on SNRs will give a glance at various strategies for the synthesis of spiro-substituted, mono-, and bis-nitroxides on the base of six-membered (piperidine, 1,2,3,4-tetrahydroquinoline, 9,9′(10H,10H′)-spirobiacridine, piperazine, and morpholine) or five-membered (2,5-dihydro-1H-pyrrole, pyrrolidine, 2,5-dihydro-1H-imidazole, 4,5-dihydro-1H-imidazole, imidazolidine, and oxazolidine) heterocyclic cores. Full article
Show Figures

Graphical abstract

17 pages, 2479 KB  
Article
2-Butyl-2-tert-butyl-5,5-diethylpyrrolidine-1-oxyls: Synthesis and Properties
by Irina F. Zhurko, Sergey Dobrynin, Artem A. Gorodetskii, Yuri I. Glazachev, Tatyana V. Rybalova, Elena I. Chernyak, Nargiz Asanbaeva, Elena G. Bagryanskaya and Igor A. Kirilyuk
Molecules 2020, 25(4), 845; https://doi.org/10.3390/molecules25040845 - 14 Feb 2020
Cited by 10 | Viewed by 4737
Abstract
Nitroxides are broadly used as molecular probes and labels in biophysics, structural biology, and biomedical research. Resistance of a nitroxide group bearing an unpaired electron to chemical reduction with low-molecular-weight antioxidants and enzymatic systems is of critical importance for these applications. The redox [...] Read more.
Nitroxides are broadly used as molecular probes and labels in biophysics, structural biology, and biomedical research. Resistance of a nitroxide group bearing an unpaired electron to chemical reduction with low-molecular-weight antioxidants and enzymatic systems is of critical importance for these applications. The redox properties of nitroxides are known to depend on the ring size (for cyclic nitroxides) and electronic and steric effects of the substituents. Here, two highly strained nitroxides, 5-(tert-butyl)-5-butyl-2,2-diethyl-3-hydroxypyrrolidin-1-oxyl (4) and 2-(tert-butyl)-2-butyl-5,5-diethyl-3,4-bis(hydroxymethyl)pyrrolidin-1-oxyl (5), were prepared via a reaction of the corresponding 2-tert-butyl-1-pyrroline 1-oxides with butyllithium. Thermal stability and kinetics of reduction of the new nitroxides by ascorbic acid were studied. Nitroxide 5 showed the highest resistance to reduction. Full article
Show Figures

Graphical abstract

20 pages, 9808 KB  
Article
Reactions of Nitroxides, Part 17. Synthesis, Fungistatic and Bacteriostatic Activity of Novel Five- and Six-Membered Nitroxyl Selenoureas and Selenocarbamates
by Jerzy Zakrzewski, Bogumiła Huras, Anna Kiełczewska, Maria Krawczyk, Jarosław Hupko and Katarzyna Jaszczuk
Molecules 2019, 24(13), 2457; https://doi.org/10.3390/molecules24132457 - 4 Jul 2019
Cited by 6 | Viewed by 3481
Abstract
The reactions of 3-isoselenocyanato-2,2,5,5-tetramethylpyrrolidine-1-oxyl, 3-isoselenocyanatomethyl-2,2,5,5-tetramethyl-3-pyrrolidine-1-oxyl, and 4-isoselenocyanato-2,2,6,6-tetramethylpiperidine-1-oxyl with selected amines and alcohols give the corresponding novel nitroxyl selenoureas and selenocarbamates, all bearing a nitroxyl moiety. Synthesized selenoureas and selenocarbamates show significant activity against pathogenic fungi and bacteria. In contrast to piperidine nitroxides, pyrrolidine, [...] Read more.
The reactions of 3-isoselenocyanato-2,2,5,5-tetramethylpyrrolidine-1-oxyl, 3-isoselenocyanatomethyl-2,2,5,5-tetramethyl-3-pyrrolidine-1-oxyl, and 4-isoselenocyanato-2,2,6,6-tetramethylpiperidine-1-oxyl with selected amines and alcohols give the corresponding novel nitroxyl selenoureas and selenocarbamates, all bearing a nitroxyl moiety. Synthesized selenoureas and selenocarbamates show significant activity against pathogenic fungi and bacteria. In contrast to piperidine nitroxides, pyrrolidine, five-membered nitroxyl selenoureas and selenocarbamates show excellent antifungal and antibacterial activity against pathogenic fungi and bacteria, respectively. Full article
Show Figures

Graphical abstract

9 pages, 6136 KB  
Article
Magnetic Mixed Micelles Composed of a Non-Ionic Surfactant and Nitroxide Radicals Containing a d-Glucosamine Unit: Preparation, Stability, and Biomedical Application
by Kota Nagura, Yusa Takemoto, Fumi Yoshino, Alexey Bogdanov, Natalia Chumakova, Andrey Kh. Vorobiev, Hirohiko Imai, Tetsuya Matsuda, Satoshi Shimono, Tatsuhisa Kato, Naoki Komatsu and Rui Tamura
Pharmaceutics 2019, 11(1), 42; https://doi.org/10.3390/pharmaceutics11010042 - 19 Jan 2019
Cited by 9 | Viewed by 4543
Abstract
Metal-free magnetic mixed micelles (mean diameter: < 20 nm) were prepared by mixing the biocompatible non-ionic surfactant Tween 80 and the non-toxic, hydrophobic pyrrolidine-N-oxyl radicals bearing a d-glucosamine unit in pH 7.4 phosphate-buffered saline (PBS). The time-course stability and in [...] Read more.
Metal-free magnetic mixed micelles (mean diameter: < 20 nm) were prepared by mixing the biocompatible non-ionic surfactant Tween 80 and the non-toxic, hydrophobic pyrrolidine-N-oxyl radicals bearing a d-glucosamine unit in pH 7.4 phosphate-buffered saline (PBS). The time-course stability and in vitro magnetic resonance imaging (MRI) contrast ability of the mixed micelles was found to depend on the length of the alkyl chain in the nitroxide radicals. It was also confirmed that the mixed micelles exhibited no toxicity in vivo and in vitro and high stability in the presence of a large excess of ascorbic acid. The in vivo MRI experiment revealed that one of these mixed micelles showed much higher contrast enhancement in the proton longitudinal relaxation time (T1) weighted images than other magnetic mixed micelles that we have reported previously. Thus, the magnetic mixed micelles presented here are expected to serve as a promising contrast agent for theranostic nanomedicines, such as MRI-visible targeted drug delivery carriers. Full article
(This article belongs to the Special Issue Nanotheranostics and Cancer: Where Are We Now?)
Show Figures

Figure 1

26 pages, 2184 KB  
Review
Nitroxides as Antioxidants and Anticancer Drugs
by Marcin Lewandowski and Krzysztof Gwozdzinski
Int. J. Mol. Sci. 2017, 18(11), 2490; https://doi.org/10.3390/ijms18112490 - 22 Nov 2017
Cited by 115 | Viewed by 11388
Abstract
Nitroxides are stable free radicals that contain a nitroxyl group with an unpaired electron. In this paper, we present the properties and application of nitroxides as antioxidants and anticancer drugs. The mostly used nitroxides in biology and medicine are a group of heterocyclic [...] Read more.
Nitroxides are stable free radicals that contain a nitroxyl group with an unpaired electron. In this paper, we present the properties and application of nitroxides as antioxidants and anticancer drugs. The mostly used nitroxides in biology and medicine are a group of heterocyclic nitroxide derivatives of piperidine, pyrroline and pyrrolidine. The antioxidant action of nitroxides is associated with their redox cycle. Nitroxides, unlike other antioxidants, are characterized by a catalytic mechanism of action associated with a single electron oxidation and reduction reaction. In biological conditions, they mimic superoxide dismutase (SOD), modulate hemoprotein’s catalase-like activity, scavenge reactive free radicals, inhibit the Fenton and Haber-Weiss reactions and suppress the oxidation of biological materials (peptides, proteins, lipids, etc.). The use of nitroxides as antioxidants against oxidative stress induced by anticancer drugs has also been investigated. The application of nitroxides and their derivatives as anticancer drugs is discussed in the contexts of breast, hepatic, lung, ovarian, lymphatic and thyroid cancers under in vivo and in vitro experiments. In this article, we focus on new natural spin-labelled derivatives such as camptothecin, rotenone, combretastatin, podophyllotoxin and others. The applications of nitroxides in the aging process, cardiovascular disease and pathological conditions were also discussed. Full article
(This article belongs to the Special Issue Inflammaging and Oxidative Stress in Aging and Age-Related Disorders)
Show Figures

Graphical abstract

Back to TopTop