Abstract
Metal-free magnetic mixed micelles (mean diameter: < 20 nm) were prepared by mixing the biocompatible non-ionic surfactant Tween 80 and the non-toxic, hydrophobic pyrrolidine-N-oxyl radicals bearing a d-glucosamine unit in pH 7.4 phosphate-buffered saline (PBS). The time-course stability and in vitro magnetic resonance imaging (MRI) contrast ability of the mixed micelles was found to depend on the length of the alkyl chain in the nitroxide radicals. It was also confirmed that the mixed micelles exhibited no toxicity in vivo and in vitro and high stability in the presence of a large excess of ascorbic acid. The in vivo MRI experiment revealed that one of these mixed micelles showed much higher contrast enhancement in the proton longitudinal relaxation time (T1) weighted images than other magnetic mixed micelles that we have reported previously. Thus, the magnetic mixed micelles presented here are expected to serve as a promising contrast agent for theranostic nanomedicines, such as MRI-visible targeted drug delivery carriers.
1. Introduction
Non-invasive imaging of living tissue is of great importance in the medical field. The magnetic resonance imaging (MRI) method is one of the most frequently used and important imaging techniques in clinical medicine. In fact, the use of MRI contrast agents plays a crucial role in accurately evaluating physiological and pathological changes. The majority of MRI contrast agents approved by the US Food and Drug Administration (FDA) are gadolinium-based contrast agents (GBCAs) such as Magnevist (a GdIII complex agent) [1,2,3]. Although they are used on a daily basis, this modality still faces many challenges [4,5,6,7,8]. For example, people with moderate to advanced kidney failure are in danger of developing nephrogenic systemic fibrosis through the use of GBCAs. Thus, it is urgently required to exploit novel agents that exhibit adequate contrast enhancement with a very low risk.
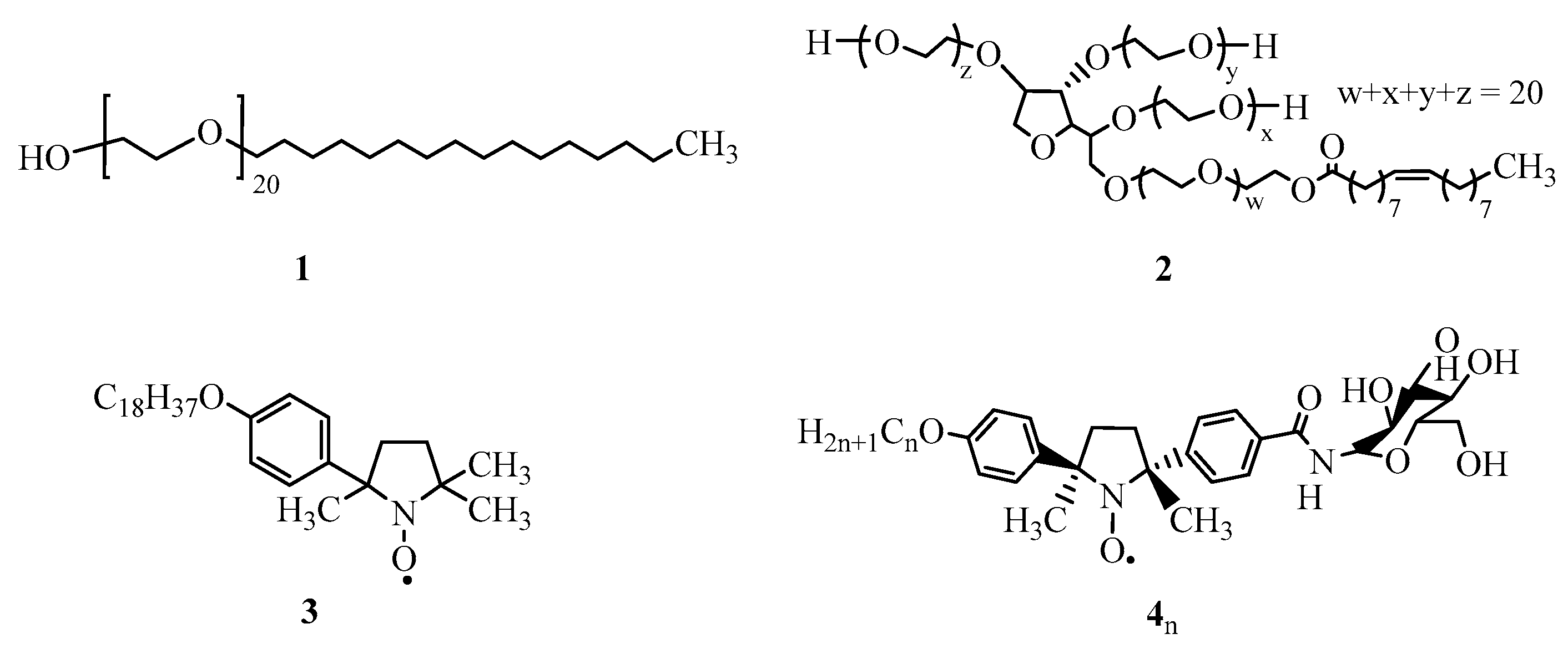
Metal-free magnetic nanoparticles containing nitroxide radicals as a spin source have attracted great interest since the 1980s [9] because of their lack of toxicity, despite the imaging ability being less compared to GdIII complex agents [10] and their having less reduction resistance to antioxidants such as ascorbic acid and glutathione [11]. However, the reduction resistance should potentially improve through the molecular design and/or the micelle construction of nitroxide radicals [12,13,14,15,16,17]. In this context, we have recently prepared metal-free magnetic mixed micelles comprised of a surfactant, Brij 58 (1) or Tweens 80 (2), and pyrrolidine-N-oxyl radical 3, namely 1/3 or 2/3 (Figure 1), according to a simple experimental procedure [18,19]. These micelles showed high colloidal stability, reduction resistance to ascorbic acid, and contrast enhancement in the T1-weighted MRI in phosphate-buffered saline (PBS) in vitro and in vivo. The mixed micelle 2/3 was found to be much less toxic than 1/3. Furthermore, additional hydrophobic fluorophores or drugs were stably encapsulated inside the mixed micelles. Although passive targeting can be expected due to the micelle size (10–20 nm), the micelles that we prepared did not possess any active targeting site for tumor.
Figure 1.
Molecular structures of non-ionic surfactants Brij 58 (1) and Tween 80 (2), and nitroxide radicals 3 and 4n (n = 14, 16, and 18). Compounds 4n are a ca. 1:1 mixture of d–(R,R) and d–(S,S) diastereomers, see the Supporting Information for the synthesis and characterization.
Herein, we report on the novel metal-free mixed micelles including nitroxide radicals 4n conjugated with a d-glucosamine unit as a tumor targeting site, because d-glucosamine derivatives are well-known to accumulate in tumor cells [20,21,22,23]. The obtained magnetic mixed micelles showed little toxicity, excellent in vitro MRI contrast ability, and high stability in the presence of an excess amount of ascorbic acid. When applied to in vivo imaging for healthy mice, bright MRI contrast enhancement was observed in the liver.
2. Results and Discussion
2.1. Preparation, Stability and In Vitro MRI Contrast Ability of 2/4n
The nitroxide radicals 4n (n = 14, 16, and 18 in Figure 1, Figures S1 and S2) were synthesized by condensation of the racemic benzoic acid derivatives of the nitroxide radicals (a 1:1 mixture of (R,R) and (S,S) enantiomers) [24,25] and d-tetraacetylglucosamine [26,27,28], followed by deacetylation (Schemes S1 and S2 in the Supplementary Information).
The mixed micelles 2/4n (Figure 1) were prepared at a concentration of 10 mM for each component in the PBS according to the procedure described in the Supplementary Information. The stability of the micelles was found to depend on the length of the alkyl chain (n = 14, 16, and 18) in the radicals 4n (Table 1 and Figure 2). The 2/416 and 2/418 were formed as a clear dispersion immediately after preparation and their mean diameter gradually increased up to 92 and 45 nm after one week, respectively (Table 1). The micelle 2/414 collapsed within one day to give white precipitates of 414 after 24 h. From these results, summarized in Table 1, the relative stability of the micelles 2/4n in PBS was in the following order: 2/418 > 2/416 > 2/414. The similar dependence of the micellar stability on the alkyl chain length in the nitroxide radicals 4n was also observed in the cases of the mixed micelles 1/3 and 2/3 [18,19]. The mean diameters of the resulting magnetic mixed micelles 2/4n in PBS were determined to be 13 to 16 nm by DLS analysis (Table 1 and Figure 2). Their mean diameters fell in a range of 10–100 nm, which is required for the most prolonged blood circulation time.
Table 1.
Mean diameters and colloidal stability of the mixed micelles 2/4n (n = 14, 16, and 18) in phosphate-buffered saline (PBS) at 30 °C.
Figure 2.
Mean diameters of mixed micelles 2/4n (n = 14, 16, and 18) determined by DLS at 25 °C in PBS (black solid line: 2/414 just after preparation, red solid line: 2/416 just after preparation, blue solid line: 2/418 just after preparation, red dashed line: 2/416 after 6 days, blue dashed line: 2/418 after 6 days). See the Supplementary Information for experimental details.
Importantly, the once-precipitated sample of 2/414 was revived to the original clear dispersion with the same diameter (16 nm) by just heating it with full reproducibility (Table 1). The micelle 2/414 turned out to be easily available as a clear dispersion even after the long-term preservation of the precipitated sample.
The dependence of the alkyl chain length in 4n on the longitudinal relaxivity (r1) of 2/4n was determined from the relaxation time (T1) as a function of the concentration at 25 °C by using an MRI machine at 7.0 T. Sufficiently bright T1-weighted MR phantom images were obtained at a concentration of 10 mM of the magnetic mixed micelles 2/414, 2/416, and 2/418 as compared with that of the control PBS (panel A, E, and I in Figure 3a). This result implies that 2/4n may show a distinct MRI contrast enhancement in vivo in this concentration or higher. The linear regression analysis yielded r1 = 0.14, 0.13, and 0.11 mM−1s−1 for 2/414, 2/416 and 2/418, respectively (Figure 3b). That is, the MRI contrast ability of the micelle 2/4n in PBS was in the following order: 2/414 > 2/416 > 2/418. The mixed micelle 2/414 was used for further experiments for the following two reasons: (1) 2/414 exhibited superior in vitro MRI-enhanced ability to those of 2/416 and 2/418, and (2) the clear dispersion was fully revived in a reproducible manner by simply heating the precipitated sample. Although the stability of the 2/414 was less than that of 2/416 and 2/418 as mentioned above (Table 1), we gave priority to the MRI-enhanced ability over the stability.
Figure 3.
(a) (A–D) T1-weighted MRI phantom images of 2/414 (414: 1.2 to 10 mM), (E–H) 2/416 (416: 1.2 to 10 mM) and (I–L) 2/418 (418: 1.2 to 10 mM) in PBS, and control PBS at 7.0 T and 25 °C. (b) Plots of T1−1 vs concentrations of 2/414 (solid line), 2/416 (dashed line) and 2/418 (dashed and dotted line) at 1.2, 2.5, 5.0, 10 mM for each component. The r1 was determined from the slope of each line. See the Supplementary Information for experimental details.
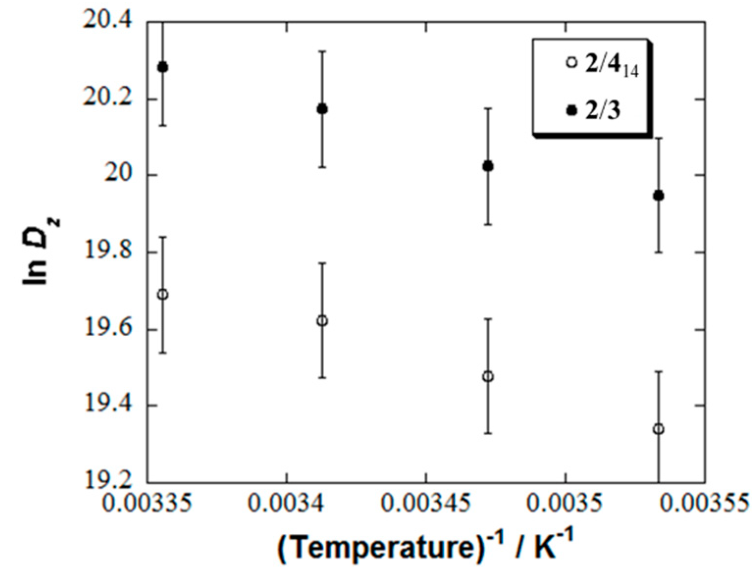
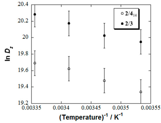
These r1 values were much larger than those of micelles 2/3 and 1/3 (r1 = 0.07, and 0.09 mM−1s−1, respectively, at 7.0 T), which we reported previously, although they were much lower than those of GdIII complex agents [6]. These experimental results could be interpreted in terms of the slower rotation diffusion of 414 than that of 3 inside the mixed micelles [29,30,31]. In order to compare the rotation diffusion mobility between radicals 414 and 3 inside the micelles, the electron paramagnetic resonance (EPR) spectra of radical 414 or 3 in the micelles consisting of a 1:0.01 molar ratio of surfactant 2 and 414 or 3 were measured in the temperature range 263–298 K and then were numerically simulated as described in the Supplementary Information (Figure 4 and Figure S3, and Table S1). The temperature dependence of the rotation diffusion mobility was successfully described by Arrhenius law with the values of activation energy (Eaz) shown in Table 2, indicating that 414 showed slower rotational diffusion inside the micelle to produce a highly enhanced MRI compared to 3. The better r1 of 2/414 than 2/416 and 2/418 mentioned above might be interpreted by the slower rotation diffusion mobility of 414 than 416 and 418.
Figure 4.
Temperature dependence of rotation diffusion coefficient Dz of 414 in 2/414 and 3 in 2/3. The data of 2/3 was cited from reference 19. See the Supplementary Information for experimental details of 2/414.
Table 2.
The effective activation energy of the rotation diffusion of 414 in 2/414 and 3 in 2/3.
2.2. Reduction Resistivity of 2/414 in the Presence of Ascorbic Acid
The concentration of ascorbic acid in the healthy adult serum was reported to be kept in the range of 14.9–52.8 μM by a daily intake of ascorbic acid (60 mg) [32]. When nitroxide radicals were applied to the in vivo MRI measurement, radical reduction occurred and resulted in a significant decrease in the MRI contrast [33,34,35]. For example, 2,2,6,6-tetramethylpiperidine-N-oxyl (TEMPO) derivatives, such as 4-oxo-2,2,6,6-tetramethylpiperidine-N-oxyl (TEMPONE) and 4-hydroxy-2,2,6,6-tetramethylpiperidine-N-oxyl (TEMPOL), were reduced rapidly (half-life (τ1/2) < 2 min) to the corresponding hydroxylamines in the presence of ascorbic acid [36]. In our molecular design, we expected that the interplay between four long hydrophilic tails in 2 and four neighboring substituents in 414 should enhance the reduction resistance to ascorbic acid sterically. The decay of 414 in 2/414 in response to a large excess of ascorbic acid (20 equiv based on 414) in PBS was monitored by EPR spectroscopy (Figure 5). As expected, the τ1/2 of 2/414 (30 min) was almost comparable to that of 2/3 (33 min) and much longer than that of 1/3 (7 min) [19].
Figure 5.
(a) Time-course of EPR spectra and (b) the reduction resistance of 414 in 2/414 to a large excess of ascorbic acid (20 equiv based on 414) in PBS at 25 °C. The normalized signal intensity decay was evaluated by a double-integration method. See the Supplementary Information for experimental details.
2.3. Biomedical Application of 2/414
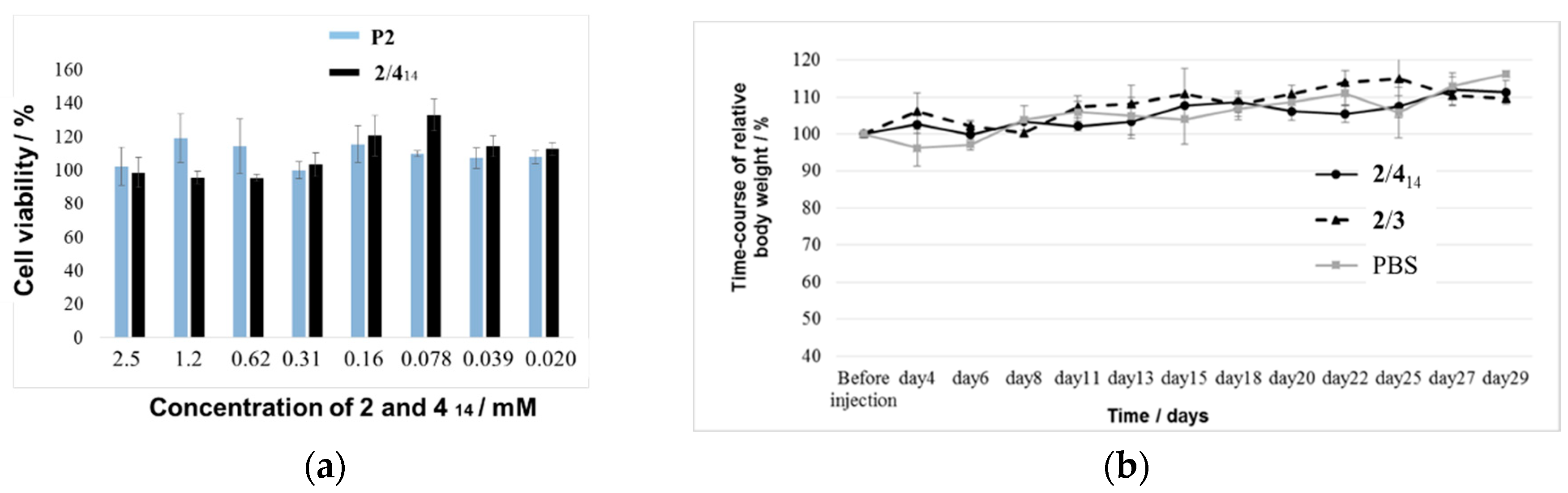
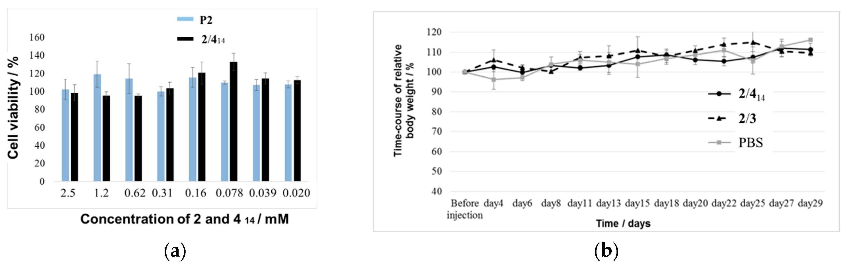
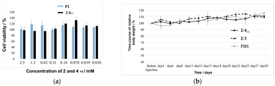
Since biocompatibility is a prerequisite of using the magnetic mixed micelles as an MRI contrast agent, the cancer cell viability of 2/414 was assessed by the CCK-8 assay at the initial concentration of 2.5 mM for 2 and 414 and compared with those of pure micelle of 2, designated as P2, (Figure 6a). Both P2 and 2/414 exhibited little cytotoxicity to HeLa cells at concentrations up to 2.5 mM, demonstrating that 2/414 is an appropriate candidate for in vivo experiment. In addition, the body weights gradually increased in the healthy Institute of Cancer Research (ICR) mice over one month after injection of 2/414, 2/3 and PBS (Figure 6b). It was concluded that mixed micelles 2/414 can serve as a bio-compatible MRI contrast agent similar to 2/3.
Figure 6.
(a) In vitro cell viability of 2/414 and P2 by using the CCK-8 kit after incubation for 24 h at 37 °C under 5% CO2 and (b) in vivo toxicity of 2/414 for healthy ICR mice weight (three mice for each of 2/414, 2/3 and control PBS) as a function of time after injection of 200 μL of mixed micelles (40 mM for each component) in PBS or PBS. See the Supplementary Information for experimental details.
Finally, the in vivo MRI experiment using 2/414 was performed for healthy ICR mice. Bright MRI contrast enhancement was observed in the liver in both coronal and sagittal planes over 1 h with high reproducibility (Figure 7). This result reveals that the magnetic mixed micelle 2/414 is effective as an in vivo T1-weighted MRI contrast agent. The prolonged MRI enhancement observed for 2/414 is attributed to the high resistance to reducing agents as described above.
Figure 7.
Time-course of coronal (panels A–D) and sagittal (panels E–H) T1-weighted MR images of an ICR mouse before and after injection of 200 μL of 2/414 (40 mM) in PBS. Distinct contrast enhancement was observed in the liver of the mouse (indicated by white arrows). See the Supplementary Information for experimental details.
3. Conclusions
We prepared highly robust and biocompatible metal-free magnetic mixed micelles which are composed of non-ionic surfactant 2 and hydrophobic nitroxide radical 4n in PBS. The time-course stability and in vitro MRI contrast ability of the mixed micelles was found to depend on the length (n) of the alkyl chain in the nitroxide radicals. In addition, the mixed micelle 2/414 showed a considerable reduction resistance to a large excess of ascorbic acid, little toxicity, and sufficient contrast enhancement in the T1-weighted MRI in vivo. Such highly biocompatible magnetic mixed micelles composed of nitroxide radicals bearing a d-glucosamine unit are expected to be utilized as a low-molecular-weight cancer targeted MRI contrast agent in line with the theranostic applications of micelles, which have recently been attracting increasing interest [37,38,39].
Supplementary Materials
The following are available online at http://www.mdpi.com/1999-4923/11/1/42/s1, Scheme S1: Synthesis of 7n (n = 14, 16, and 18); Scheme S2: Synthesis of 4n (n = 14, 16, and 18); Figure S1: FT-IR spectra (KBr) of (a) 414 (b) 416 and (c) 418; Figure S2: HPLC charts of (a) 414, (b) 416, and (c) 418; Figure S3: Representative EPR spectra of 2/414 (a molar ratio of 1:0.01) and the results of their computer simulation at high temperatures; Table S1: Rotation diffusion coefficients and the angles determining the position of the main rotation axis in g-tensor frame for radical 414 in 2/414 (a molar ratio of 1:0.01).
Author Contributions
Conceptualization, K.N. and Y.T.; Methodology, K.N., Y.T., F.Y., A.B., N.C., A.K.V., H.I. and T.M.; Software, A.B., N.C., A.K.V. and T.K.; Validation, K.N.; Investigation, K.N. and Y.T.; Resources, N.K. and R.T.; Data Curation, K.N., Y.T., F.Y., H.I. and S.S.; Writing—Original Draft Preparation, K.N.; Writing—Review and Editing, N.K. and R.T.; Supervision, N.K. and R.T.; Project Administration, N.K. and R.T.; Funding Acquisition, A.K.V., N.K. and R.T.
Funding
The present work was supported by JSPS KAKENHI (Grant numbers 26248024 and 26286003), the Japan–Russia bilateral collaboration program and the Russian Foundation for Basic Research (RFBR) (Grant number 16-33-60139 mol_a_dk).
Acknowledgments
Tween 80 was kindly supplied by DKS Co. Ltd. The MRI experiments of this work were performed in the Division for Small Animal MR, Medical Research Support Center, Graduate School of Medicine, Kyoto University, Japan.
Conflicts of Interest
The authors declare no conflict of interest.
References
- Molecular Imaging and Contrast Agent Database (MICAD) Internet, Bethesda (MD), National Center for Biotechnology Information (US), 2004–2013. Available online: http://www.ncbi.nlm.nih.gov/books/NBK5330/ (accessed on 1 March 2018).
- Malayeri, A.A.; Brooks, K.; Bryant, L.H.; Evers, R.; Kumar, P.; Reich, D.S.; Bluemke, D.A. NIH perspective on reports of gadolinium deposition in the brain. J. Am. Coll. Radiol. 2016, 13, 237–241. [Google Scholar] [CrossRef] [PubMed]
- Gale, E.M.; Caravan, P.; Rao, A.G.; McDonald, R.J.; Winfeld, M.; Fleck, R.J.; Gee, M.S. Gadolinium-based contrast agents in pediatric magnetic resonance imaging. Pediatr. Radiol. 2017, 47, 507–521. [Google Scholar] [CrossRef] [PubMed]
- Radbruch, A.; Weberling, L.D.; Kieslich, P.J.; Eidel, O.; Burth, S.; Kickingereder, P.; Heiland, S.; Wick, W.; Schlemmer, H.P.; Bendszus, M. Gadolinium retention in the dentate nucleus and globus pallidus is dependent on the class of contrast agent. Radiology 2015, 275, 783–791. [Google Scholar] [CrossRef] [PubMed]
- Kanda, T.; Fukusato, T.; Matsuda, M.; Toyoda, K.; Oba, H.; Kotoku, J.; Haruyama, T.; Kitajima, K.; Furui, S. Gadolinium-based contrast agent accumulates in the brain even in subjects without severe renal dysfunction: Evaluation of autopsy brain specimens with inductively coupled plasma mass spectroscopy. Radiology 2015, 276, 228–232. [Google Scholar] [CrossRef] [PubMed]
- Gulani, V.; Calamante, F.; Shellock, F.G.; Kanal, E.; Reeder, S.B. Gadolinium deposition in the brain: Summary of evidence and recommendations. Lancet Neurol. 2017, 16, 564–570. [Google Scholar] [CrossRef]
- Thomsen, H.S.; Morcos, S.K.; Almen, T.; Bellin, M.F.; Bertolotto, M.; Bongartz, G.; Clement, O.; Leander, P.; Heinz-Peer, G.; Reimer, P.; et al. Nephrogenic systemic fibrosis and gadolinium-based contrastmedia: Updated ESUR contrast medium safety committee guidelines. Eur. Radiol. 2013, 23, 307–318. [Google Scholar] [CrossRef] [PubMed]
- Fraum, T.J.; Ludwig, D.R.; Bashir, M.R.; Fowler, K.J. Gadolinium-based contrast agents: A comprehensive risk assessment. J. Magn. Reson. Imaging 2017, 46, 338–353. [Google Scholar] [CrossRef] [PubMed]
- Afzal, V.; Brasch, R.C.; Nitecki, D.E.; Wolff, S. Nitroxyl spin label contrast enhancers for magnetic resonance imaging studies of acute toxicity and mutagenesis. Investig. Radiol. 1984, 19, 549–552. [Google Scholar] [CrossRef]
- Keana, J.F.W.; Pou, S.; Rosen, G.M. Nitroxides as potential contrast enhancing agents for MRI application: Influence of structure on the rate of reduction by rat hepatocytes, whole liver homogenate, subcellular fractions, and ascorbate. Magn. Reson. Med. 1987, 3, 83–88. [Google Scholar] [CrossRef]
- Saphier, O.; Silberstein, T.; Shames, A.I.; Likhtenshtein, G.I.; Maimon, E.; Mankuta, D.; Mazor, M.; Katz, M.; Meyerstein, D.; Meyerstein, N. The reduction of a nitroxide spin label as a probe of human blood antioxidant properties. Free Radic. Res. 2003, 37, 301–308. [Google Scholar] [CrossRef]
- Zhuang, X.; Xiao, C.; Oyaizu, K.; Chikushi, N.; Chen, X.; Nishide, H. Synthesis of amphiphilic block copolymers bearing stable nitroxyl radicals. J. Polym. Sci. Part A Polym. Chem. 2010, 48, 5404–5414. [Google Scholar] [CrossRef]
- Dobrynin, S.A.; Glazachev, Y.I.; Gatilov, Y.V.; Chernyak, E.I.; Salnikov, G.E.; Kirilyuk, I.A. Synthesis of 3,4-bis(hydroxymethyl)-2,2,5,5-tetraethylpyrrolidin-1-oxyl via 1,3-dipolar cycloaddition of azomethine ylide to activated alkene. J. Org. Chem. 2018, 83, 5392–5397. [Google Scholar] [CrossRef] [PubMed]
- Yoshitomi, T.; Mikyamoto, D.; Nagasaki, Y. Design of core-shell-type nanoparticles carrying stable radicals in the core. Biomacromolecules 2009, 10, 596–601. [Google Scholar] [CrossRef] [PubMed]
- Marx, L.; Chiarelli, R.; Guiberteau, T.; Rassat, A. A comparative study of the reduction by ascorbate of 1,1,3,3-tetraethylisoindolin-2-yloxyl and of 1,1,3,3-tetramethylisoindolin-2-yloxyl. J. Chem. Soc. Perkin Trans. 1 2000, 1181–1182. [Google Scholar] [CrossRef]
- Paletta, J.T.; Pink, M.; Foley, B.; Rajca, S.; Rajca, A. Synthesis and reduction kinetics of sterically shielded pyrrolidine nitroxides. Org. Lett. 2012, 14, 5322–5325. [Google Scholar] [CrossRef] [PubMed]
- Kirilyuk, I.A.; Bobko, A.A.; Semenov, S.V.; Komarov, D.A.; Irtegova, I.G.; Grigor’ev, I.A.; Bagryanskaya, E. Effect of sterical shielding on the redox properties of imidazoline and imidazolidine nitroxides. J. Org. Chem. 2015, 80, 9118–9125. [Google Scholar] [CrossRef]
- Nagura, K.; Takemoto, Y.; Moronaga, S.; Uchida, Y.; Shimono, S.; Shiino, A.; Tanigaki, K.; Amano, T.; Yoshino, F.; Noda, Y.; et al. Preparation of robust metal-free magnetic nanoemulsions encapsulating low-molecular-weight nitroxide radicals and hydrophobic drugs directed toward MRI-visible targeted delivery. Chem. Eur. J. 2017, 23, 15713–15720. [Google Scholar] [CrossRef]
- Nagura, K.; Bogdanov, A.; Chumakova, N.; Vorobiev, A.K.; Moronaga, S.; Imai, H.; Matsuda, T.; Noda, Y.; Maeda, T.; Koizumi, S.; et al. Size-tunable MRI-visible nitroxide-based magnetic mixed micelles: Preparation, stability and theranostic application. Submitted for publication.
- Jiang, X.; Xin, H.; Ren, Q.; Gu, J.; Zhu, L.; Du, F.; Feng, C.; Xie, Y.; Sha, X.; Fang, X. Nanoparticles of 2-deoxy-d-glucose functionalized poly(ethyleneglycol)-co-poly(trimethylene carbonate) for dual-targeted drug delivery in glioma treatment. Biomaterials 2014, 35, 518–529. [Google Scholar] [CrossRef]
- Xiong, F.; Xiong, C.; Hua, X.; Shan, X.; Zhang, Y.; Gu, N. Preparation, characterization of 2-deoxy-d-glucose functionalized dimercaptosuccinic acid-coated maghemite nanoparticles for targeting tumor cells. Pham. Res. 2012, 29, 1087–1097. [Google Scholar] [CrossRef]
- Ranjbar-Navazi, Z.; Eskandani, M.; Johari-Ahar, M.; Nemati, A.; Akbari, H.; Davaran, S.; Omidi, Y. Doxorubicin-conjugated d-glucosamine- and folate- bi-functionalised InP/ZnS quantum dots for cancer cells imaging and therapy. J. Drug Target. 2018, 3, 267–277. [Google Scholar] [CrossRef]
- Korotcov, A.V.; Ye, Y.; Chen, Y.; Zhang, F.; Huang, S.; Lin, S.; Sridhar, R.; Achilefu, S.; Wang, P.C. Glucosamine-linked near-infrared fluorescent probes for imaging of solid tumor xenografts. Mol. Imaging Biol. 2012, 14, 443–451. [Google Scholar] [CrossRef] [PubMed]
- Uchida, Y.; Uematsu, T.; Nakayama, Y.; Takahashi, H.; Tsue, H.; Tanaka, K.; Tamura, R. Partial resolution of racemic trans-4-[5-(4-alkoxyphenyl)-2,5-dimethylpyrrolidine-1-oxyl-2-yl]benzoic acids by the diastereomer method with (R)- or (S)-1-phenylethylamine. Chirality 2008, 20, 282–287. [Google Scholar] [CrossRef] [PubMed]
- Uchida, Y.; Tamura, R.; Ikuma, N.; Shimono, S.; Yamauchi, J.; Aoki, Y.; Nohira, H. Synthesis and characterization of novel all-organic liquid crystalline radicals. Mol. Cryst. Liq. Cryst. 2007, 479, 1251–1259. [Google Scholar] [CrossRef]
- Zhang, Q.; Lebl, T.; Kulczynska, A.; Botting, N.P. The synthesis of novel hexa-13C-labelled glucosinolates from [13C6]-d-glucose. Tetrahedron 2009, 65, 4781–4876. [Google Scholar] [CrossRef]
- Soli, E.D.; Manoso, A.S.; Patterson, M.C.; DeShong, P. Azide and cyanide displacements via hypervalent silicate intermediates. J. Org. Chem. 1999, 64, 3171–3177. [Google Scholar] [CrossRef] [PubMed]
- Muhizi, T.; Grelier, S.; Coma, V. Synthesis and antibacterial activity of aminodeoxyglucose derivatives against Listeria innocua and Salmonella typhimurium. J. Agric. Food Chem. 2009, 57, 8770–8775. [Google Scholar] [CrossRef] [PubMed]
- Livramento, J.B.; Tóth, E.; Sour, A.; Borel, A.; Merbach, A.E.; Ruloff, R. High Relaxivity confined to a small molecular space: A metallostar-based, potential MRI contrast agent. Angew. Chem. Int. Ed. 2005, 44, 1480–1484. [Google Scholar] [CrossRef]
- Caravan, P.; Farrar, C.T.; Frullano, L.; Uppal, R. Influence of molecular parameters and increasing magnetic field strength on relaxivity of gadolinium- and manganese-based T1 contrast agents. Contrast Media Mol. Imaging 2009, 4, 89–100. [Google Scholar] [CrossRef]
- De Sousa, P.L.; Livramento, J.B.; Helm, L.; Merbach, A.E.; Meme, W.; Doan, B.T.; Beloeil, J.C.; Prata, M.I.; Santos, A.C.; Geraldes, C.F.; et al. In vivo MRI assessment of a novel GdIII-based contrast agent designed for high magnetic field applications. Contrast Media Mol. Imaging 2008, 3, 78–85. [Google Scholar] [CrossRef]
- European Food Safety Authority (EFSA). Opinion of the scientific panel on dietetic products, nutrition and allergies on a request from the commission related to the tolerable upper intake level of vitamin C (L-Ascorbic acid, its calcium, potassium and sodium salts and L-Ascorbyl-6-palmitate). EFSA J. 2004, 59, 1–21. [Google Scholar]
- Hyodo, F.; Matsumoto, K.; Matsumoto, A.; Mitchell, J.B.; Krishna, M.C. Probing the intracellular redox status of tumors with magnetic resonance imaging and redox-sensitive contrast agents. Cancer Res. 2006, 66, 9921–9928. [Google Scholar] [CrossRef] [PubMed]
- Hyodo, F.; Chuang, K.H.; Goloshevsky, A.G.; Sulima, A.; Griffiths, G.L.; Mitchell, J.B.; Koretsky, A.P.; Krishna, M.C. Brain redox imaging using blood–brain barrier permeable nitroxide MRI contrast agent. J. Cereb. Blood Flow Metab. 2008, 28, 1165–1174. [Google Scholar] [CrossRef]
- Emoto, M.C.; Yamada, K.; Yamato, M.; Fujii, H.G. Novel ascorbic acid-resistive nitroxide in a lipid emulsion: An efficient brain imaging contrast agent for MRI of small rodents. Neurosci. Lett. 2013, 546, 11–15. [Google Scholar] [CrossRef] [PubMed]
- Yamasaki, T.; Mito, F.; Matsuoka, Y.; Yamato, M.; Yamada, K. Nitroxides—Theory, Experiment and Applications; Kokorin, A.I., Ed.; INTECH: Rijeka, Croatia, 2012; Chapter 8. [Google Scholar]
- Ma, Y.; Huang, J.; Song, S.; Chen, H.; Zhang, Z. Cancer-targeted nanotheranostics: Recent advances and perspectives. Small 2016, 12, 4936–4954. [Google Scholar] [CrossRef] [PubMed]
- Sumer, B.; Gao, J. Theranostic nanomedicine for cancer. Nanomedicine 2008, 3, 137–140. [Google Scholar] [CrossRef] [PubMed]
- Movassaghian, S.; Merkel, O.M.; Torchilin, V.P. Applications of polymer micelles for imaging and drug delivery. Wiley Interdiscip. Rev. Nanomed. Nanobiotechnol. 2015, 7, 691–707. [Google Scholar] [CrossRef] [PubMed]
© 2019 by the authors. Licensee MDPI, Basel, Switzerland. This article is an open access article distributed under the terms and conditions of the Creative Commons Attribution (CC BY) license (http://creativecommons.org/licenses/by/4.0/).













