Reactions of Nitroxides, Part 17. Synthesis, Fungistatic and Bacteriostatic Activity of Novel Five- and Six-Membered Nitroxyl Selenoureas and Selenocarbamates
Abstract
1. Introduction
2. Results and Discussion
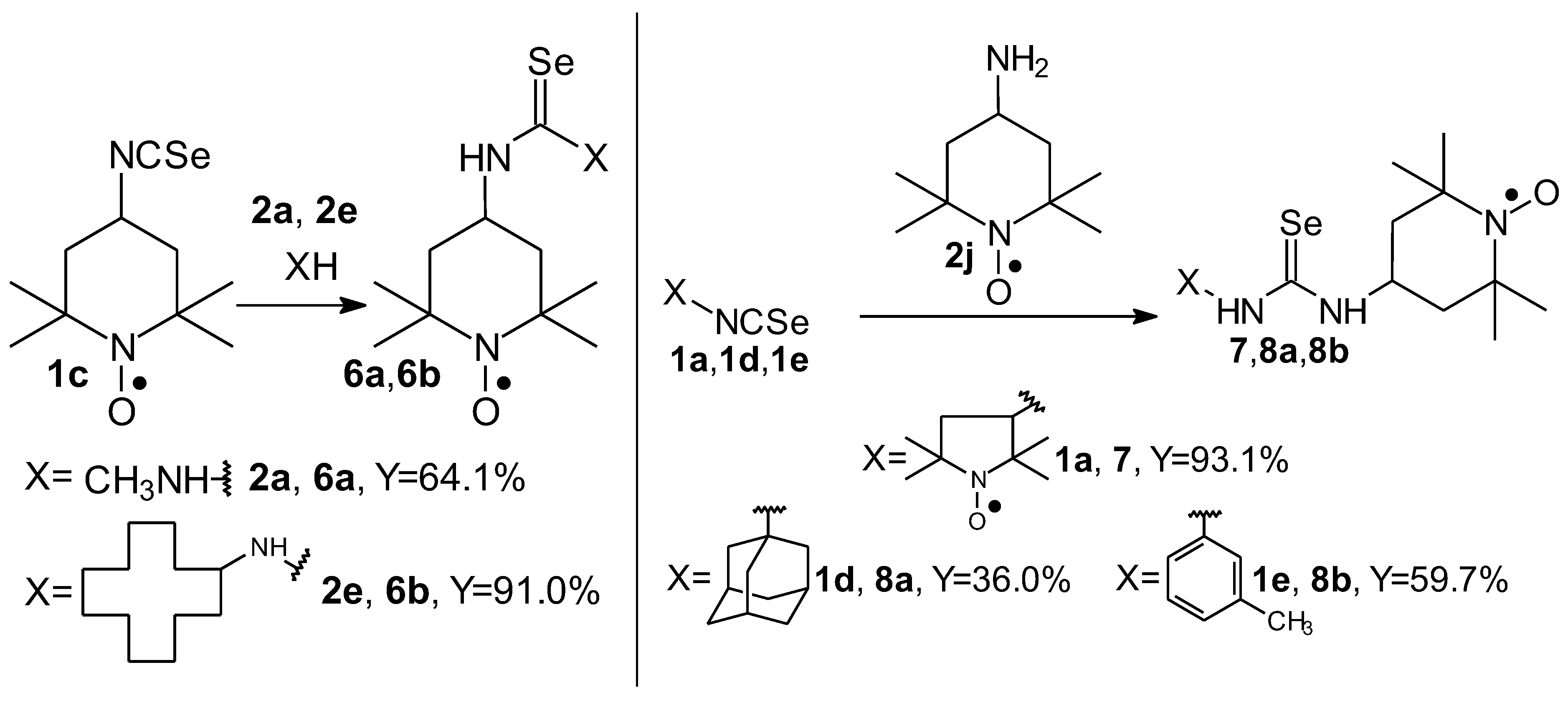
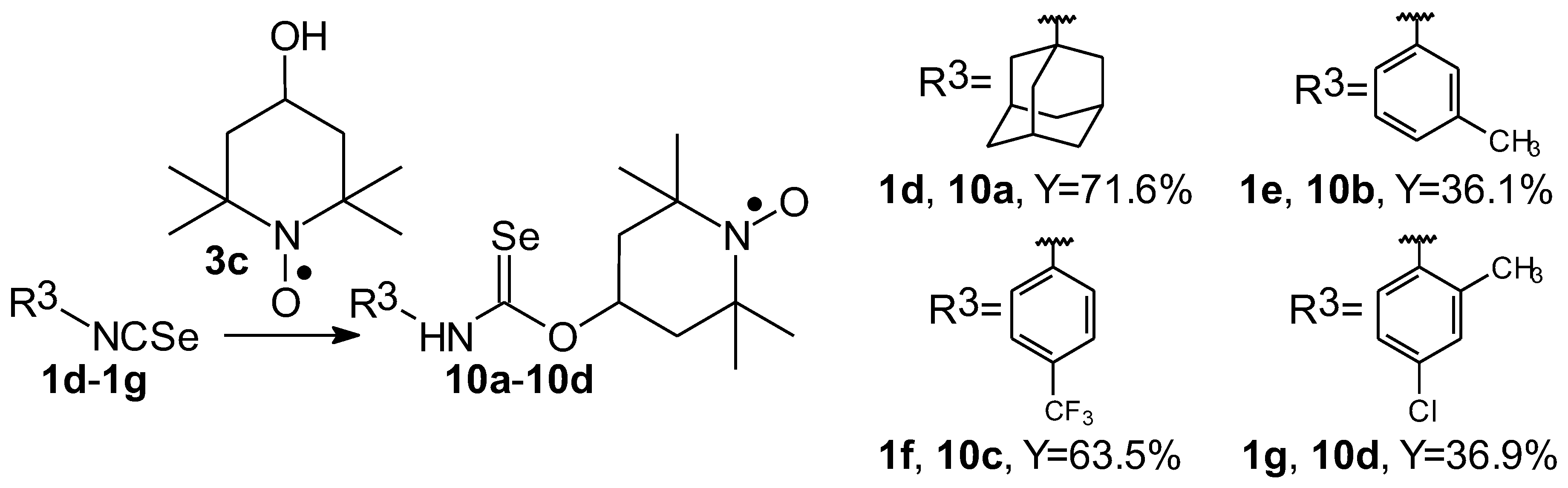
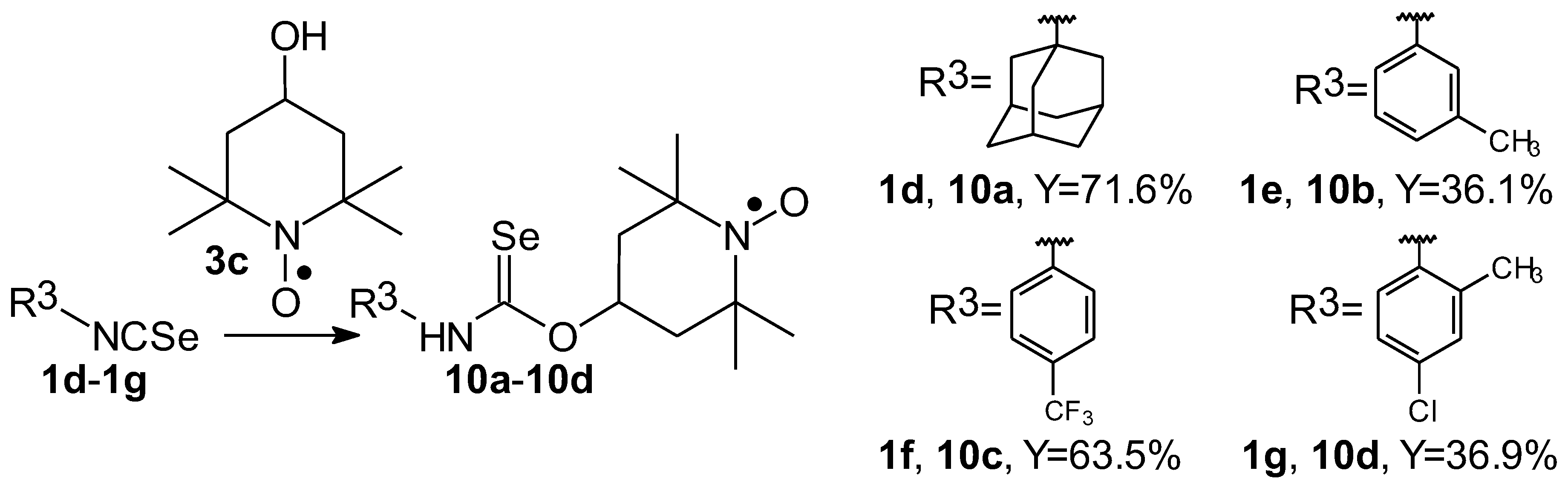
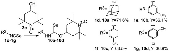
2.1. Synthesis of Selenoureas 4–8 and Selenocarbamates 9, 10
2.2. Fungistatic and Bacteriostatic Activity of Selenoureas 4–8 and Selenocarbamates 9,10
3. Materials and Methods
3.1. General
3.2. 1,3-Substituted Nitroxyl Selenoureas 4a, 4b, 5a, 5b, 6a; Reaction of the Nitroxyl Isoselenocyanates 1a–1c with Volatile Amines 2a, 2b; a General Procedure
3.3. 1,3-Substituted Nitroxyl Selenoureas 4c–4h, 5c–5h, 6b, 7, 8a, 8b; Reaction of the Nitroxyl Isoselenocyanates 1a–1c with Liquid and Solid Amines (2c–2j); a General Procedure
C10H20N3OSe, M = 278, 0.32 g, Yield: 86.5%, yellow glass, m.p. 141–144 °C (dec.), TLC: Rf = 0.14 benzene:methanol 9:1; purity (HPLC, method b): 98.2%; MS (EI, 70 eV, m/z, int [%]): 279 (13), 278 (20, M), 276 (12), 262 (10), 260 (43), 258 (22), 248 (25), 246 (24), 244 (11), 233 (10), 205 (50), 203 (29), 192 (25), 190 (14), 177 (22), 175 (11), 167 (12), 165 (35), 163 (20), 139 (13), 138 (10), 137 (10), 136 (12), 126 (30), 125 (21), 124 (38), 123 (15), 122 (28), 120 (14), 111 (92), 110 (74), 100 (27), 98 (54), 95 (59), 84 (100), 70 (33), 69 (29), 67 (21), 57 (66), 56 (59), 55 (28), 53 (12), 42 (30), 41 (39); MS (ESI, m/z, int [%]): 301 (100, M + 23), 299 (20); HR MS (ESI, m/z) for C10H20N3OSeNa: calcd: 301.0669, found: 301.0656; IR (ν, cm−1, KBr): 3420, 3280, 2971, 1564.
C11H22N3Ose, M = 292, Yield: 85.1%, yellow crystalline powder, m.p. 178–180 °C (dec.), TLC: Rf = 0.11 benzene:methanol 9:1; purity (HPLC, method b): 94.6%; MS (EI, 70 eV, m/z, int [%]): 292 (14, M), 290 (8), 262 (15), 260 (14), 247 (10), 245 (7), 221 (11), 219 (53), 217 (32), 206 (22.6), 205 (9), 204 (11), 203 (8), 193 (22), 191 (37), 189 (14), 179 (37), 177 (21), 153 (11), 138 (21), 136 (88), 134 (43), 126 (28), 125 (30), 124 (37), 111 (12), 110 (31), 100 (53), 98 (40), 95 (34), 82 (19), 71 (100), 69 (30), 67 (23), 56 (34), 55 (39), 44 (54), 42 (45), 41 (45); HR MS (EI, 70 eV, m/z) for C11H22N3OSe: calcd: 292.09281, found: 292.09388; IR (ν, cm−1, KBr): 3440, 3344, 2973, 1557, 1341.
C14H26N3OSe, M = 332, 0.399 g, Yield: 92.8%, yellow crystalline powder, m.p. 154–156 °C (dec.), TLC: Rf = 0.25 benzene:methanol 9:1; purity (HPLC, method a): 98.8%; MS (EI, 70 eV, m/z, int [%]): 333 (6), 332 (9, M), 330 (5), 302 (11), 300 (19), 287 (10), 285 (6), 259 (76), 257 (39), 246 (18), 233 (33), 231 (32), 219 (19), 176 (95), 174 (47), 165 (55), 164 (31), 136 (12), 126 (14), 124 (32), 111 (58), 110 (30), 100 (27), 98 (47), 95 (21), 84 (100), 69 (61), 67 (19), 56 (41), 55 (40), 41 (63); MS (ESI, m/z, int [%]): 355 (100, M + Na), 353 (10); HR MS (ESI, m/z) for C14H26N3OSeNa: calcd: 355.1139, found: 355.1154; IR (ν, cm−1, KBr): 3359, 2960, 2938, 1550, 1331, 1239, 1132.
C13H24N3O2Se, M = 334, 0.348 g, Yield: 80.2%, yellow solid, m.p. 135–139 °C (dec.), TLC: Rf = 0.16 benzene:methanol 9:1; purity (HPLC, method b): 97.2%; MS (EI, 70 eV, m/z, int [%]): 335 (9), 334 (12, M), 332 (7), 304 (18), 302 (19), 289 (10), 261 (80), 259 (40), 248 (24), 235 (20), 233 (28), 231 (13), 221 (36), 219 (21), 178 (100), 176 (52), 167 (63), 134 (32), 132 (16), 126 (18), 124 (45), 113 (52), 111 (16), 100 (54), 98 (49), 95 (37), 86 (58), 69 (52), 56 (54), 55 (43), 42 (34), 41 (53), MS (ESI, m/z, int [%]): 357 (100, M + Na), 355 (20); HR MS (ESI, m/z) for C13H24N3O2SeNa: calcd: 357.0931, found: 357.0928; IR (ν, cm−1, KBr): 3358, 2973, 1543, 1339, 1231, 1220, 1121, 1025, 878.
C21H40N3OSe, M = 430, 0.376 g, Yield: 87.2%, beige crystalline powder, m.p. 142–150 °C (dec.), TLC: Rf = 0.16 benzene:methanol 9:1; purity (HPLC, method c): 99.4%; MS (EI, 70 eV, m/z, int [%]): 431 (42), 430 (19, M), 429 (22), 414 (18), 412 (29), 410 (14), 398 (11), 357 (70), 355 (37), 344 (21), 318 (14), 317 (12), 315 (12), 291 (14), 289 (11). 277 (10), 275 (14), 263 (19), 182 (36), 168 (22), 151 (16), 149 (12), 126 (52), 124 (38), 112 (12), 111 (38), 110 (39), 99 (62), 98 (89), 84 (100), 69 (50), 67 (25), 56 (56), 55 (64), 43 (29), 41 (46); MS (ESI, m/z, int [%]): 453 (100, M + 23), 451 (20); HR MS (ESI, m/z) for C21H40N3OSeNa: calcd: 453.2234, found: 453.2254; IR (ν, cm−1, KBr): 3434, 2932, 1552, 1469, 1364.
C19H32N3OSe, M = 398, 0.260 g, Yield: 72.8%, pale beige crystalline powder m.p. 140–145 °C, TLC: Rf = 0.21 benzene:methanol 9:1; purity (HPLC, method a): 99.5%; MS (EI, 70 eV, m/z, int [%]): 399 (3, M + 1), 398 (1, M), 397 (1), 396 (1), 135 (100), 110 (6), 107 (10), 99 (37), 98 (11), 94 (12), 93 (17), 84 (20), 79 (18), 71 (8), 67 (11), 56 (14), 55 (8), 41 (16); MS (ESI, m/z, int [%]): 421 (100, M + 23), 419 (20); HR MS (ESI, m/z) for C19H32N3OSeNa: calcd: 421.1608, found: 421.1592; IR (ν, cm−1, KBr): 3439, 2910, 1544.
C15H22N3OSe, M = 340, 0.149 g, Yield: 29.2%, beige crystalline powder, m.p. 135–136 °C, TLC: Rf = 0.15 benzene:methanol 9:1; purity (HPLC, method a): 94.1%; MS (EI, 70 eV, m/z, int [%]): 341 (16), 340 (12, M), 339 (8), 338 (9), 322 (8), 310 (8), 308 (9), 295 (8), 267 (42), 265 (23), 254 (17), 244 (13), 243 (20), 239 (14), 229 (15), 228 (28), 227 (18), 201 (11), 199 (16), 188 (16), 187 (19), 186 (14), 185 (25), 184 (15), 173 (42), 171 (24), 159 (21), 158 (16), 157 (12), 156 (10), 145 (15), 144 (21), 126 (36), 124 (28), 119 (60), 118 (29), 111 (22), 110 (54), 108 (11), 104 (31), 99 (90), 98 (55), 96 (14), 95 (32), 94 (18), 93 (37), 92 (18), 91 (12), 84 (100), 82 (12), 81 (11), 78 (19), 77 (67), 71 (24), 70 (32), 69 (37), 68 (10), 67 (22), 65 (20), 58 (27), 57 (18), 56 (77), 55 (33), 53 (14), 51 (19), 43 (17), 42 (34), 41 (54); MS (ESI, m/z, int [%]): 363 (100, M + Na), 361 (15), 301 (20), 271 (5); HR MS (ESI, m/z) for C15H22N3OSeNa: calcd: 363.0826, found: 363.0831; IR (ν, cm−1, KBr): 3273, 2982, 1547, 1240, 692.
C17H32N4O2Se, M = 404, 0.343 g, Yield: 85.8%, m.p. 68–73 °C, TLC: Rf = 0.21 benzene:methanol 9:1, yellow, glassy solid; purity (HPLC, method a): 97.8%; MS (EI, 70 eV, m/z, int [%]): 406 (6), 405 (4), 404 (15, M), 402 (8), 386 (19), 374 (10), 372 (9), 340 (4), 322 (9), 250 (12), 245 (14), 177 (10), 142 (24), 126 (70), 124 (35), 111 (40), 110 (58), 98 (100), 95 (30), 84 (84), 70 (24), 69 (42), 67 (20), 58 (36), 56 (93), 55 (37), 43 (24), 42 (19), 41 (38); MS (ESI, m/z, int [%]): 427 (100, M + Na), 425 (10); HR MS (ESI, m/z) for C17H32N4O2SeNa: calcd: 427.1588, found: 427.1591; IR (ν, cm−1, KBr): 3437, 2973, 1547, 1462, 1365.
C11H22N3OSe, M = 292, 0.31 g, Yield: 76.0%, yellow crystalline powder, m.p. 117–122 °C (dec.), TLC: Rf = 0.5 benzene:acetone 1:1; purity (HPLC, method b): 97.3%; MS (EI, 70 eV, m/z, int [%]): 293 (16), 292 (31, M), 290 (16), 262 (13), 260 (11), 219 (13), 217 (7), 210 (7), 206 (9), 196 (13), 195 (10), 180 (95), 163 (19), 151 (28), 140 (51), 124 (70), 122 (18), 112 (16), 111 (13), 110 (20), 109 (25), 98 (27), 84 (12), 83 (17), 82 (20), 81 (17), 78 (55), 69 (100), 58 (27), 57 (34), 56 (22), 55 (32), 42 (32), 41 (51); MS (ESI, m/z, int [%]): 315 (100, M + Na), 313 (10); HR MS (ESI, m/z) for C11H22N3OSeNa: calcd: 315.0826, found: 315.0832; IR (ν, cm−1, KBr) 3434, 2971, 2930, 1567, 1460, 1364, 681.
C12H24N3OSe, M = 306, 0.3 g, Yield: 78.9%, yellow crystalline powder, m.p. 162–170 °C, TLC: Rf = 0.31 benzene:acetone 1:1; purity (HPLC, method b): 99.1%; MS (EI, 70 eV, m/z, int [%]): 306 (84, M), 304 (41), 276 (44), 274 (37), 272 (16), 233 (75), 231 (39), 220 (26), 195 (16), 177 (82), 175 (41), 153 (19), 152 (15), 140 (24), 138 (27), 136 (100), 134 (48), 124 (24), 121 (14), 109 (26), 98 (17), 85 (15), 81 (14), 71 (85), 69 (38), 56 (19), 55 (25), 44 (29), 42 (24), 41 (50); MS (ESI, m/z, int [%]): 329 (100, M + Na), 327 (20); HR MS (ESI, m/z) for C12H24N3OSeNa: calcd: 329.0982, found: 329.0976; IR (ν, cm−1, KBr): 3440, 3293, 2969, 2929, 1552, 1459, 1373.
C15H28N3OSe, M = 346, 0.319 g, Yield: 89.6%, yellow crystalline powder, m.p. 165–171 °C, TLC: Rf = 0.17 benzene:methanol 9:1; purity (HPLC, method a): 97.7%; MS (EI, 70 eV, m/z, int [%]): 346 (76, M), 344 (39), 316 (31), 314 (31), 312 (14), 273 (100), 271 (52), 260 (23), 259 (20), 235 (21), 217 (91), 215 (46), 193 (14), 176 (71), 174 (35), 166 (8), 152 (8), 140 (15), 124 (15), 111 (76), 84 (63), 69 (71), 56 (28), 55 (38), 41 (67); MS (ESI, m/z, int [%]): 369 (100, M + Na), 367 (15); HR MS (ESI, m/z) for C15H28N3OSeNa: calcd: 369.1295, found: 369.1290; IR (ν, cm−1, KBr): 3352, 2926, 1553, 1332.
C14H26N3O2Se, M = 348, 0.315 g, Yield: 88.0%, m.p. 140–146 °C, TLC: Rf = 0.38 benzene:acetone 1:1, yellow solid; purity (HPLC, method b): 99.4%; MS (EI, 70 eV, m/z, int [%]): 348 (88, M), 346 (46), 318 (44), 316 (40), 314 (18), 275 (100), 273 (51), 262 (37), 261 (38), 260 (19), 259 (24), 237 (21), 219 (97), 217 (50), 167 (9), 152 (11), 140 (22), 134 (25), 124 (28), 113 (66), 109 (32), 98 (18), 86 (38), 83 (17), 81 (21), 69 (96), 67 (22), 57 (23), 56 (36), 55 (36), 41 (70); MS (ESI, m/z, int [%]): 371 (100, M + Na), 369 (25), 193 (20); HR MS (ESI, m/z) for C14H26N3O2SeNa: calcd: 371.1088, found: 371.1097; IR (ν, cm−1, KBr): 3364, 2970, 1547, 1462, 1420, 1363, 1334, 1273, 1250, 1212, 1119, 1022.
C22H42N3OSe, M = 444, 0.276 g, Yield: 82.9%, m.p. 145–150 °C, TLC: Rf = 0.16 benzene:methanol 9:1; yellow solid; purity (HPLC, method c): 97.6%; MS (EI, 70 eV, m/z, int [%]): 445 (20), 444 (21, M), 443 (10), 442 (12), 429 (3), 414 (7), 412 (9), 371 (34), 369 (18), 362 (18), 358 (19), 347 (15), 332 (100), 315 (23), 313 (12), 304 (7), 291 (14), 289 (9), 276 (14), 264 (7), 250 (5), 247 (5), 234 (4), 221 (9), 197 (11), 182 (61), 166 (12), 151 (8), 140 (49), 138 (16), 124 (34), 111 (23), 110 (19), 97 (25), 83 (33), 81 (23), 69 (51), 67 (22), 55 (61), 43 (24), 41 (51); MS (ESI, m/z, int [%]): 467 (100, M + Na), 465 (20); HR MS (ESI, m/z) for C22H42N3OSeNa: calcd: 467.2391, found: 467.2386; IR (ν, cm−1, KBr): 3308, 2931, 1550.
C20H34N3OSe, M = 412, 0.335 g, Yield: 58.1%, m.p. 78–82 °C, TLC: Rf = 0.26 benzene:methanol 9:1, yellow crystals; purity (HPLC, method a): 98.4%; MS (EI, 70 eV, m/z, int [%]): 413 (2), 412 (2, M), 330 (4), 300 (23), 135 (100), 124 (8), 94 (7), 93 (12), 79 (12), 55 (7), 41 (8); MS (ESI, m/z, int [%]): 435 (100, M + Na), 433 (10); HR MS (ESI, m/z) for C20H34N3OSeNa: calcd: 435.1765, found: 435.1767; IR (ν, cm−1, KBr): 3430, 2907, 1543, 683.
C16H24N3OSe, M = 354, 0.170 g, Yield: 46.7%, beige crystalline powder, m.p. 130–135 °C, TLC: Rf = 0.25 benzene:methanol 9:1; purity (HPLC, method a): 95.9%; MS (EI, 70 eV, m/z, int [%]): 355 (34), 354 (55, M), 352 (25), 339 (10), 337 (7), 324 (25), 322 (22), 320 (11), 281 (40), 279 (23), 272 (20), 268 (25), 260 (46), 258 (40), 257 (66), 243 (44), 242 (75), 226 (51), 225 (53), 223 (24), 213 (16), 204 (33), 203 (37), 201 (21), 199 (17), 184 (24), 183 (22), 174 (16), 173 (15), 167 (13), 157 (21), 140 (75), 133 (27), 131 (98), 124 (100), 119 (93), 118 (48), 110 (20), 109 (24), 99 (19), 98 (25), 93 (99), 81 (25), 77 (83), 69 (59), 67 (24), 65 (25), 58 (26), 56 (23), 55 (39), 51 (23), 41 (76); MS (ESI, m/z, int [%]): 377 (100, M + Na), 375 (30), 193 (20), 133 (10); HR MS (ESI, m/z) for C16H24N3OSeNa: calcd 377.0982, found: 377.0970; IR (ν, cm−1, KBr): 3161, 2967, 1552.
C19H36N4O2Se, M = 432, 0.249 g, Yield: 75.5%, m.p. 50–58 °C, TLC: Rf = 0.38 benzene:acetone 1:1, yellow glass; MS (EI, 70 eV, m/z, int [%]): 433 (4), 432 (4, M), 403 (3), 368 (5), 354 (11), 352 (15), 351 (10), 338 (26), 336 (31), 323 (10), 321 (14), 320 (12), 305 (24), 262 (32), 252 (13), 249 (15), 248 (13), 222 (14), 220 (13), 210 (12), 199 (23), 198 (25), 194 (29), 183 (46), 182 (54), 166 (21), 140 (69), 138 (40), 124 (100), 111 (20), 110 (24), 99 (22), 98 (22), 96 (20), 95 (16), 84 (22), 81 (20), 69 (30), 67 (19), 58 (26), 55 (31), 41 (38); MS (ESI, m/z, int [%]): 455 (100, M+Na), 453 (20); HR MS (ESI, m/z) for C19H36N4O2SeNa: calcd 455.1901, found: 455.1914; IR (ν, cm−1, KBr): 3432, 2971, 1557, 1462, 1364.
C11H22N3OSe, M = 292, 0.28 g, Yield: 64.1%, beige crystalline powder, m.p. 140 °C (dec.), TLC: Rf = 0.14 benzene:methanol 9:1; purity (HPLC, method b): 95.7%; MS (EI, 70 eV, m/z, int [%]): 294 (21), 293 (33), 292 (100, M), 290 (52), 289 (21), 288 (18), 260 (12), 258 (7), 219 (52), 217 (27), 180 (41), 163 (32), 140 (56), 139 (40), 124 (87), 109 (62), 98 (38), 97 (18), 96 (17), 84 (22), 83 (20), 82 (20), 81 (15), 69 (47), 67 (17), 58 (22), 57 (41), 56 (19), 55 (29), 42 (26), 41 (35); MS (ESI, m/z, int [%]): 315 (100, M + Na), 313 (25), 242 (60); HR MS (ESI, m/z) for C11H22N3OSeNa: calcd: 315.0826, found: 315.0823; IR (ν, cm−1, KBr): 3380, 3319, 1561.
C22H42N3OSe, M = 444, 0.6 g, Yield: 91.0%, beige crystalline powder, m.p. 143–146 °C (dec.), TLC: Rf = 0.19 benzene:methanol 9:1; purity (HPLC, method c): 98.9%; MS (EI, 70 eV, m/z, int [%]): 447 (16), 446 (25), 445 (78, M+1), 444 (45, M), 443 (41), 442 (33), 441 (20), 429 (7), 415 (7), 412 (8), 371 (88), 369 (47), 332 (42), 315 (22), 313 (13), 291 (31), 289 (19), 182 (43), 157 (24), 155 (30), 140 (100), 124 (54), 109 (16), 98 (36), 83 (25), 74 (19), 69 (37), 55 (50), 43 (19), 41 (33); MS (ESI, m/z, int [%]): 467 (100, M + 23), 465 (20); HR MS (ESI, m/z) for C22H42N3OSeNa: calcd: 467.2391, found: 467.2383; IR (ν, cm−1, KBr): 3434, 3320, 2932, 1542.
C18H34N4O2Se M = 417, 0.27 g; Yield: 93.1%, oil, TLC: Rf = 0.52 benzene:acetone 1:1, red oil; slow decomposition with evolving of selenium; purity (HPLC, method a): 99.8%; MS (EI, 70 eV, m/z, int [%]): 420 (13), 419 (16), 418 (43, M), 416 (22), 388 (4), 387 (6), 386 (7), 336 (24), 322 (11), 306 (17), 266 (11), 264 (20), 263 (11), 259 (16), 247 (16), 233 (13), 208 (22), 162 (12), 160 (32), 158 (27), 157 (11), 156 (19), 155 (16), 154 (20), 140 (89), 126 (49), 124 (100), 111 (43), 110 (46), 109 (50), 108 (19), 99 (44), 98 (91), 84 (86), 74 (47), 73 (28), 71 (22), 70 (46), 69 (68), 68 (17), 67 (29), 58 (58), 56 (99), 55 (67), 43 (73), 42 (34), 41 (67); MS (ESI, m/z, int [%]): 441(100, M + 23), 439 (10); HR MS (ESI, m/z) for C18H34N4O2SeNa: calcd: 441.1745, found: 441.1759; IR (ν, cm−1, film): 3316, 2973, 1545, 1461, 1364, 1330, 1242, 1180, 682.
C20H34N3Ose, M = 412, 0.436 g, Yield: 36.0%, orange crystalline powder, m.p. 151–156 °C, TLC: Rf = 0.37 benzene:methanol 9:1; purity (HPLC, method a): 99.6%; MS (EI, 70 eV, m/z, int [%]): 318 (9), 300 (20), 177 (5), 160 (6), 151 (6), 140 (12), 135 (41), 124 (100), 98 (17), 94 (22), 79 (10), 67 (7), 58 (9), 57 (7), 56 (4), 42 (12), 41 (13); MS (ESI, m/z, int [%]): 435 (100, M + Na); HR MS (ESI): for C20H34N3OSeNa: calcd: 435.1765, found: 435.1746; IR (ν, cm−1, KBr): 3433, 2913, 1539.
C17H26N3Ose, M = 368, 1.0334 g, Yield: 59.7%, brown crystalline powder, m.p. 140 °C, TLC: Rf = 0.20 benzene:methanol 9:1, purity (HPLC, method a): 95.6%; MS (EI, 70 eV, m/z, int [%]): 369 (0.5), 368 (0.5, M), 353 (1), 351 (0.5), 304 (1), 289 (3), 287 (3), 274 (15), 271 (16), 270 (8), 256 (37), 215 (10), 214 (12), 200 (19), 183 (7), 173 (5), 172 (5), 162 (12), 161 (8), 140 (18), 138 (6), 124 (100), 107 (18), 98 (33), 91 (18), 78 (98), 58 (23); MS (ESI, m/z, int [%]): 759 (5, 2*M + Na), 757 (5), 449 (7), 447 (7), 391 (85, M + Na), 389 (43), 370 (30), 369 (30, M + H), 368 (28), 367 (22), 366 (15), 365 (8), 354 (100), 352 (55), 327 (42), 290 (44); HR MS (ESI, m/z): for M + Na C17H26N3OSeNa, calcd.: 391.11333, found: 391.11179; IR (ν, cm−1, KBr): 3285, 3160, 2981, 1549.3.4. Nitroxyl Selenocarbamates 9a–9d; Reaction of the Nitroxyl Isoselenocyanates 1a, 1b with either Sodium Methoxide or Sodium Ethoxide; a General Procedure
C10H19N2O2Se, M = 279, 0.37 g, Yield: 94.9%, yellow crystalline powder, m.p. 133–136 °C, TLC: Rf = 0.33 benzene:methanol 9:1; purity (HPLC, method b): 99.6%; MS (EI, 70 eV, m/z, int [%]): 280 (28), 279 (60, M), 277 (35), 249 (21), 247 (29), 245 (15), 234 (7), 222 (12), 220 (7), 206 (95), 204 (40), 203 (16), 202 (18), 193 (35), 191 (19), 178 (38), 176 (22), 168 (17), 166 (100), 164 (51), 163 (18), 162 (19), 149 (40), 147 (21), 136 (15), 126 (32), 125 (20), 124 (16), 123 (30), 112 (43), 111 (17), 110 (66), 100 (87), 98 (35), 95 (33), 82 (10), 81 (10), 69 (29), 67 (25), 58 (58), 56 (56), 55 (24), 42 (25), 41 (33); HR MS (EI, 70 eV, m/z) for C10H19N2O2Se: calcd: 279.06117, found: 279.06205; IR (ν, cm−1, KBr): 3420, 3235, 2973, 1537, 1458, 1386, 1208, 1138, 997.
C11H21N2O2Se, M = 293, 0.365 g, Yield: 83.0%, yellow crystalline powder, m.p. 120–125 °C, TLC: Rf = 0.38 benzene:methanol 9:1; purity (HPLC, method b): 99.4%; MS (EI, 70 eV, m/z, int [%]): 293 (13, M), 291 (7), 263 (7), 261 (9), 236 (5), 234 (7), 220 (22), 218 (11), 207 (13), 205 (7), 192 (22), 190 (11), 182 (11), 180 (47), 178 (35), 176 (16), 154 (10), 152 (23), 150 (17), 149 (19), 126 (32), 125 (16), 124 (18), 110 (64), 100 (50), 98 (68), 95 (47), 84 (41), 70 (32), 69 (31), 67 (23), 58 (42), 57 (22), 56 (100), 55 (35), 43 (22), 42 (18), 41 (39); MS (ESI, m/z, int [%]): 316 (100, M + Na), 314 (15); HR MS (ESI, m/z) for C11H21N2O2SeNa: calcd: 316.0666, found: 316.0656; IR (ν, cm−1, KBr): 3420, 3225, 1541, 1463, 1379, 1208, 1020.
C11H21N2O2Se, M = 293, 0.246 g, Yield: 84.0%, beige crystalline powder, m.p. 140–145 °C, TLC: Rf = 0.31 benzene:methanol 9:1; purity (HPLC, method b): 99.2%; MS (EI, 70 eV, m/z, int [%]): 295 (18), 294 (15), 293 (96, M), 291 (48), 290 (17), 289 (18), 263 (73), 261 (59), 259 (25), 220 (49), 218 (24), 207 (32), 205 (16), 182 (35), 164 (55), 162 (27), 152 (44), 150 (25), 149 (25), 140 (44), 139 (49), 126 (29), 124 (39), 123 (49), 113 (28), 109 (69), 95 (19), 81 (38), 74 (18), 69 (100), 67 (33), 58 (26), 56 (28), 55 (42), 53 (21), 44 (62), 41 (96); MS (ESI, m/z, int [%]): 316 (100, M + Na), 314 (25), 304 (35), 227 (20); HR MS (ESI, m/z) for C11H21N2O2SeNa: calcd: 316.0666, found: 316.0672; IR (ν, cm−1, KBr): 3200, 2972, 1552, 1205, 973, 566.
C12H23N2O2Se, M = 307, 0.225 g, Yield: 79.8%, beige crystalline powder, m.p. 120–130 °C, TLC: Rf = 0.31 benzene:methanol 9:1; purity (HPLC, method b): 99.5%; MS (EI, 70 eV, m/z, int [%]): 309 (19), 308 (17), 307 (100, M), 305 (52), 304 (19), 303 (20), 277 (65), 275 (49), 261 (5), 247 (10), 234 (42), 232 (20), 221 (32), 219 (16), 206 (12), 196 (28), 192 (26), 190 (13), 183 (22), 178 (51), 176 (25), 166 (20), 164 (13), 154 (30), 149 (21), 140 (35), 139 (33), 138 (47), 127 (22), 126 (30), 124 (40), 123 (22), 109 (64), 98 (13), 96 (11), 95 (15), 84 (23), 83 (17), 82 (21), 81 (36), 74 (19), 69 (94), 67 (30), 58 (36), 56 (32), 55 (47), 53 (19), 41 (92); MS (ESI, m/z, int [%]): 330 (100, M + Na), 328 (25); HR MS (ESI, m/z) for C12H23N2O2SeNa: calcd 330.0822, found: 330.0808; IR (ν, cm−1, KBr): 3200, 2971, 1556, 1414, 1201, 1019.3.5. Nitroxyl Selenocarbamates 10a–10d; Reaction of the Isoselenocyanates 1d–1g with 4-hydroxy-2,2,6,6-tetramethyl-piperidine-1-oxyl (3c); a General Procedure
C20H33N2O2Se, M = 413, 1.18 g, Yield: 71.6%, orange crystalline powder, m.p. 198–203 °C, TLC: Rf = 0.51 benzene:ethyl acetate 4:1; purity (HPLC, method c): 99.3%; MS (EI, 70 eV, m/z, int [%]): 413 (5, M), 411 (3), 260 (8), 258 (4), 177 (16), 154 (53), 140 (15), 135 (100), 124 (98), 120 (40), 109 (45), 94 (37), 93 (17), 83 (8), 82 (10), 81 (16), 79 (19), 77 (10), 74 (18), 71 (6), 69 (14), 67 (20), 55 (28), 41 (33); HR MS (EI, 70 eV, m/z) for C20H33N2O2Se: calcd: 413.17072, found: 413.17190; IR (ν, cm−1, KBr): 3434, 3200, 2913, 1534, 1198, 1156.
C17H25N2O2Se, M = 369, 0.4606 g, Yield: 36.1%, m.p. 48–51 °C, TLC: Rf = 0.45 benzene:ethyl acetate 9:1 Rf = 0.65 benzene:methanol 9:1, red glass; MS (EI, 70 eV, m/z, int [%]): 370 (4), 369 (6, M), 368 (2), 367 (3), 366 (2), 248 (1), 243 (2), 216 (3), 215 (2), 214 (3), 197 (19), 195 (9), 194 (4), 156 (18), 155 (29), 154 (75), 140 (39), 133 (22), 134 (25), 124 (100), 109 (83), 107 (20), 106 (18), 100 (13), 98 (11), 91 (27), 74 (20), 55 (25), 41 (24). HR MS (EI, 70 eV, m/z): for C17H25N2O2Se, calcd.: 369.10812, found: 369.10737, IR (ν, cm−1, film): 1634, 1531, 1364, 1179, 1140.
C17H22F3N2O2Se, M = 423, 0.670 g, Yield: 63.5%, beige crystalline powder, m.p. 119–123 °C (dec.), TLC: Rf = 0.59 hexane:ethyl acetate 9:1; purity (HPLC, method a): 99.6%; MS (EI, 70 eV, m/z, int [%]): 424 (5), 423 (4, M), 422 (3), 421 (3), 251 (12), 249 (6), 188 (12), 187 (20), 156 (37), 155 (65), 154 (42), 145 (27), 140 (45), 124 (71), 109 (54), 100 (48), 98 (22), 83 (32), 82 (20), 81 (23), 74 (100), 70 (6), 68 (10), 56 (42), 55 (75), 41 (59); HR MS (EI, 70 eV, m/z): for C17H22N2O2F3Se, calcd.: 423.07986, found: 423.08047; IR (ν, cm−1, KBr): 3436, 1618, 1525, 1324, 1166, 1120, 1068, 840.
C17H24ClN2O2Se, M = 403, 0.595 g, Yield: 36.9%, yellow crystalline powder, m.p. 115–122 °C, TLC: Rf = 0.49 benzene:ethyl acetate 4:1; MS (EI, 70 eV, m/z, int [%]): 406 (5), 405 (7), 404 (10), 403 (16, M), 402 (6), 401 (9), 250 (5), 248 (3), 233 (13), 231 (24), 229 (10), 196 (4), 169 (14), 168 (14), 167 (47), 155 (43), 154 (60), 141 (35), 140 (44), 132 (22), 124 (100), 116 (17), 109 (75), 106 (18), 100 (21), 98 (27), 89 (18), 83 (18), 82 (3), 81 (20), 78 (26), 77 (25), 74 (46), 71 (25), 69 (34), 67 (37), 57 (50), 56 (52), 55 (59), 53 (10), 52 (12), 51 (16), 50 (13), 43 (43), 42 (33), 41 (92), 39 (35); MS (ESI, m/z, int [%]): 827 (10), 428 (20), 426 (100, M + 23), 424 (30); HR MS (ESI, 70 eV, m/z) for C17H24ClN2O2NaSe: calcd: 426.0589, found: 426.0574; IR (ν, cm−1, KBr): 3434, 1634, 1510, 1363, 1200, 1149.3.6. Antifungal Activity Assays
3.7. Antibacterial Activity Assays
4. Conclusions
Supplementary Materials
Author Contributions
Funding
Acknowledgments
Conflicts of Interest
References
- Zakrzewski, J.; Huras, B.; Kiełczewska, A.; Krawczyk, M. Reactions of nitroxides 16. First nitroxides containing tellurium atom. RSC Adv. 2016, 6, 98829–98834. [Google Scholar] [CrossRef]
- Lenardão, E.J.; Santi, C.; Sancineto, L. New Frontiers in Organoselenium Compounds; Springer: Cham, Switzerland, 2018. [Google Scholar]
- Banerjee, B.; Koketsu, M. Recent developments in the synthesis of biologically relevant selenium-containing scaffolds (Review). Coord. Chem. Rev. 2017, 339, 104–127. [Google Scholar] [CrossRef]
- Hassan, W.; Oliveira, C.S.; Noreen, H.; Kamdem, J.P.; Nogueira, C.W.; Rocha, J.B.T. Organoselenium compounds as potential neuroprotective therapeutic agents. Curr. Org. Chem. 2016, 20, 218–231. [Google Scholar] [CrossRef]
- Puntel, R.L.; Ávila, D.S.; Roos, D.H.; Pinton, S. Mitochondrial effects of organoselenium and organotellurium compounds. Curr. Org. Chem. 2016, 20, 198–210. [Google Scholar] [CrossRef]
- Santi, C.; Tidei, C.; Scalera, C.; Piroddi, M.; Galli, F. Selenium containing compounds from poison to drug candidates: A review on the GPx-like activity. Curr. Chem. Biol. 2013, 7, 25–36. [Google Scholar] [CrossRef]
- Moroder, L. Isosteric replacement of sulfur with other chalcogens in peptides and protein. J. Peptide Sci. 2005, 11, 187–214. [Google Scholar] [CrossRef] [PubMed]
- Nogueira, C.W.; Zeni, G.; Rocha, J.B.T. Organoselenium and Organotellurium Compounds: Toxicology and Pharmacology. Chem. Rev. 2004, 104, 6255–6285. [Google Scholar] [CrossRef]
- Mugesh, G.; du Mont, W.-W.; Sies, H. Chemistry of Biologically Important Synthetic Organoselenium Compounds. Chem. Rev. 2001, 101, 2125–2179. [Google Scholar] [CrossRef] [PubMed]
- Miao, Q.; Xu, J.; Lin, A.; Wu, X.; Wu, L.; Xie, W. Recent advances for the synthesis of selenium-containing small molecules as potent antitumor agents. Curr. Med. Chem. 2018, 25, 2009–2033. [Google Scholar] [CrossRef] [PubMed]
- Hussain, R.A.; Badshah, A.; Shah, A. Synthesis and biological applications of selenoureas. Appl. Organomet. Chem. 2014, 28, 61–73. [Google Scholar] [CrossRef]
- Takahashi, H.; Nishina, A.; Fukumoto, R.-H.; Kimura, H.; Koketsu, M.; Ishihara, H. Selenoureas and thioureas are effective superoxide radical scavengers in vitro. Life Sci. 2005, 76, 2185–2192. [Google Scholar] [CrossRef] [PubMed]
- Zakrzewski, J.; Huras, B.; Hupko, J. Nowe pochodne selenoorganiczne i ich zastosowanie. Polish Patent 226530, 23 December 2013. [Google Scholar]
- Sivapriya, K.; Suguna, P.; Banerjee, A.; Saravanan, V.; Rao, D.N.; Chandrasekaran, S. Facile one-pot synthesis of thio and selenourea derivatives: A new class of potent urease inhibitors. Bioorg. Med. Chem. Lett. 2007, 17, 6387–6391. [Google Scholar] [CrossRef] [PubMed]
- Jayaram, P.N.; Roy, G.; Mugesh, G. Effect of thione–thiol tautomerism on the inhibition of lactoperoxidase by anti-thyroid drugs and their analogues. J. Chem. Sci. 2008, 120, 143–154. [Google Scholar] [CrossRef]
- Ha, S.K.; Koketsu, M.; Lee, K.; Choi, S.Y.; Park, J.-H.; Ishihara, H.; Kim, S.Y. Inhibition of Tyrosinase Activity by N,N-Unsubstituted Selenourea Derivatives. Biol. Pharm. Bull. 2005, 28, 838–840. [Google Scholar] [CrossRef] [PubMed]
- Hussain, R.A.; Badshah, A.; Pezzuto, J.M.; Ahmed, N.; Kondratyuk, T.P.; Eun-Jung Park, E.-J. Ferrocene incorporated selenoureas as anticancer agents. J. Photochem. Photobiol. B: Biol. 2015, 148, 197–208. [Google Scholar] [CrossRef] [PubMed]
- Hussain, R.A.; Badshah, A.; Tahir, M.N.; Hassan, T.-U.; Bano, A. Synthesis, Chemical Characterization, DNA Binding, Antioxidant, Antibacterial, and Antifungal Activities of Ferrocence Incorporated Selenoureas. J. Biochem. Mol. Toxicol. 2014, 28, 60–68. [Google Scholar] [CrossRef] [PubMed]
- Hussain, R.A.; Badshah, A.; Sohail, M.; Lal, B.; Altaf, A.A. Synthesis, chemical characterization, DNA interaction and antioxidant studies of ortho, meta and para fluoro substituted ferrocene incorporated selenoureas. Inorg. Chim. Acta 2013, 402, 133–139. [Google Scholar] [CrossRef]
- Hussain, R.A.; Badshah, A.; Tahir, M.N.; Lal, B.; Khan, I.A. Synthesis, Chemical Characterisation, and DNA Binding; Studies of Ferrocene-Incorporated Selenoureas. Aust. J. Chem. 2013, 66, 626–634. [Google Scholar] [CrossRef]
- Neganova, M.E.; Proshin, A.N.; Redkozubova, O.M.; Serkov, I.V.; Serkova, T.P.; Dubova, L.G.; Shevtsova, E.F. N,N’-Substituted Selenoureas as Polyfunctional Antioxidants. Bull. Exp. Biol. Med. Pharmacol. Tox. 2016, 160, 340–342. [Google Scholar] [CrossRef] [PubMed]
- Merino-Montiel, P.; Maza, S.; Martos, S.; López, O.; Maya, I.; Fernández-Bolaños, J.G. Synthesis and antioxidant activity of O-alkyl selenocarbamates, selenoureas and selenohydantoins. Eur. J. Pharm. Sci. 2013, 48, 582–592. [Google Scholar] [CrossRef] [PubMed]
- Tsukagoshi, H.; Koketsu, M.; Kato, M.; Kurabayashi, M.; Nishina, A.; Kimura, H. Superoxide radical-scavenging effects from polymorphonuclear leukocytes and toxicity in human cell lines of newly synthesized organic selenium compounds. FEBS J. 2007, 274, 6046–6054. [Google Scholar] [CrossRef] [PubMed]
- Zakrzewski, J.; Huras, B.; Krawczyk, M.; Hupko, J.; Wantusiak, B.; Zdunek, B.; Michalczyk, A.; Cieniecka-Rosłonkiewicz, A.; Świech, K.; Morytz, B.; et al. Nowe Pochodne Selenoorganiczne Oraz ich Zastosowanie. Polish Patent 226529, 23 December 2013. [Google Scholar]
- Zakrzewski, J.; Krawczyk, M. Synthesis and Pesticidal Properties of Thio and Seleno Analogs of Some Common Urea Herbicides. Phosphorus Sulfur Silicon Relat. Elem. 2009, 184, 1880–1903. [Google Scholar] [CrossRef]
- Zakrzewski, J.; Krawczyk, M. Reactions of Nitroxides, Part 7: Synthesis of Novel Nitroxide Selenoureas. Heteroat. Chem. 2008, 19, 549–556. [Google Scholar] [CrossRef]
- Casula, A.; Begines, P.; Bettoschi, A.; Fernandez-Bolańos, J.G.; Isaia, F.; Lippolis, V.; López, Ó.; Picci, G.; Scorciapino, M.A.; Caltagironea, C. Selenoureas for anion binding as molecular logic gates. Chem. Commun. 2017, 53, 11869–11872. [Google Scholar] [CrossRef] [PubMed]
- Pfeiffer, W.-D.; Ahlers, K.-D.; Falodun, A.; Villinger, A.; Langer, P. Synthesis and Spectroscopic Characterization of Arylated Selenoureas. Phosphorus Sulfur Silicon Relat. Elem. 2014, 189, 324–332. [Google Scholar] [CrossRef]
- Koketsu, M. Thioamides, Thioureas, and Related Selenium and Tellurium Compounds. In Handbook of Chalcogen Chemistry: New Perspectives in Sulfur, Selenium and Tellurium Volume 1, 2nd ed.; Devillanova, F., Du Mont, W.-W., Eds.; RSC Publishing: Stratford-upon-Avon, UK, 2013; Chapter 2.2; pp. 94–117. [Google Scholar]
- Chennakrishnareddy, G.; Nagendra, G.; Hemantha, H.P.; Sureshbabu, V.V.; Das, U.; Guru Row, T.N. Isoselenocyanates derived from Boc/Z-amino acids: Synthesis, isolation, characterization, and application to the efficient synthesis of unsymmetrical selenoureas and selenoureidopeptidomimetics. Tetrahedron 2010, 66, 6718–6724. [Google Scholar] [CrossRef]
- Hemantha, H.P.; Sureshbabu, V.V. Isoselenocyanates derived from amino acid esters: An expedient synthesis and application to the assembly of selenoureidopeptidomimetics, unsymmetrical Selenoureas and selenohydantoins. J. Pept. Sci. 2010, 16, 644–651. [Google Scholar] [CrossRef]
- Ninomiya, M.; Garud, D.R.; Koketsu, M. Selenium-Containing Heterocycles Using Selenoamides, Selenoureas, Selenazadienes, and Isoselenocyanates. Heterocycles 2010, 81, 2027–2055. [Google Scholar]
- Lopez, O.; Maza, S.; Ulgar, V.; Maya, I.; Fernandez-Bolanos, J.G. Synthesis of sugar-derived isoselenocyanates, selenoureas, and selenazoles. Tetrahedron 2009, 65, 2556–2566. [Google Scholar] [CrossRef]
- Garud, D.R.; Koketsu, M.; Ishihara, H. Isoselenocyanates: A Powerful Tool for the Synthesis of Selenium-Containing Heterocycles. Molecules 2007, 12, 504–535. [Google Scholar] [CrossRef] [PubMed]
- Koketsu, M.; Ishihara, H. Thiourea and Selenourea and Their Applications. Curr. Org. Synth. 2006, 439–455. [Google Scholar] [CrossRef]
- Koketsu, M.; Ishihara, H. Thioamides, Thioureas and Related Selenium and Tellurium Compounds. In Handbook of Chalcogen Chemistry: New Perspectives in Sulfur, Selenium and Tellurium; Devillanova, F., Ed.; RSC: Stratford-upon-Avon, UK, 2007; Chapter 2.4; pp. 145–194. [Google Scholar]
- Braverman, S.; Cherkinsky, M.; Birsa, M.L. Science of Synthesis; Knight, J.G., Ed.; Geog Thieme Verlag: Stuttgart, Germany, 2005; Volume 18, pp. 65–320. [Google Scholar]
- Fernandez-Bolanos, J.G.; Lopez, O.; Ulgar, V.; Maya, I.; Fuentes, J. Synthesis of O-unprotected glycosyl selenoureas. A new access to bicyclic sugar isoureas. Tetrahedron Lett. 2004, 45, 4081–4084. [Google Scholar] [CrossRef]
- Atanassov, P.K.; Zhou, Y.; Linden, A.; Heimgartner, H. Synthesis of Bis(2,4-diarylimidazol-5-yl) Diselenides from N-Benzylbenzimidoyl Isoselenocyanates. Helv. Chim. Acta 2002, 8, 1102–1117. [Google Scholar] [CrossRef]
- Blum, T.; Ermert, J.; Coenen, H.H. No-carrier-added (n.c.a.) synthesis of asymmetric [73,75Se]selenoethers with isonitriles. Appl. Radiat. Isot. 2002, 57, 51–56. [Google Scholar] [CrossRef]
- Jensen, K.A.; Nielsen, P.H. Infrared spectra of Thioamides and Selenoamides. Acta Chem. Scand. 1966, 20, 597–629. [Google Scholar] [CrossRef]
- Collard-Charon, C.; Renson, M. Etude infra-rouge des substances possedant une liaison C=Se adajacente a un ou plusieurs atomes d’azote. I. Selenourees. Bull. Soc. Chim. Belg. 1963, 72, 149–165. [Google Scholar]
- Collard-Charon, C.; Huls, R.; Renson, M. Synthese des Selenosemicarbazides Substituees, II. Synthese des des Selenosemicarbazides Substituees en. Bull. Soc. Chim. Belg. 1962, 71, 541–553. [Google Scholar] [CrossRef]
- Collard-Charon, C.; Renson, M. Synthese des Selenosemicarbazides Substituees, I. Synthese des Estaers Isoselenocyaniques. Bull. Soc. Chim. Belg. 1962, 71, 531–540. [Google Scholar] [CrossRef]
- Koketsu, M.; Suzuki, N.; Ishihara, H. Preparation of Isoselenocyanate and Synthesis of Carbodiimide by Oxidation of Selenourea. J. Org. Chem. 1999, 64, 6473–6475. [Google Scholar] [CrossRef]
- Cohen, V.I. A Convenient Synthesis of Mono, N,N′-Di, and Trisubstituted Selenoureas from Methyl Carbamimidothioates (S-Methylpsedothioureas). Synthesis 1980, 1, 60–63. [Google Scholar] [CrossRef]
- Klayman, D.L.; Shine, R.J. A New Synthesis of Selenoureas and Selenothiocarbamic Esters from Thioureas. J. Org. Chem. 1969, 34, 3549–3551. [Google Scholar] [CrossRef] [PubMed]
- Klayman, D.L.; Chase, C.; Shine, R.J. Secret. Army; Method of Synthesizing Selenoureas from Thioureas. US Patent 3,597,444, 3 August 1971. [Google Scholar]
- Basavaprabhu, K.M.S.; Prabhu, G.; Panduranga, V.; Sureshbabu, V.V. A facile one-pot synthesis of selenoureidopeptides employing LiAlHSeH through staudinger aza-wittig-type reaction. Synthesis (Germany) 2015, 47, 801–806. [Google Scholar]
- Koketsu, M.; Ishihara, H. (Gifu University), Selenating Reagent. U.S. Patent 7,033,564, 1 April 2004. [Google Scholar]
- Koketsu, M.; Takakura, N.; Ishihara, H. Efficient Synthesis of Selenoureas from the Corresponding Carbodiimides. Synth. Commun. 2002, 32, 3075–3079. [Google Scholar] [CrossRef]
- Koketsu, M.; Fukuta, Y.; Ishihara, H. Reaction of N,N-Dimethylselenocarbamoyl Chloride with Nucleophiles. Preparation of Diselenocarbamates, Selenothiocarbamates, and Selenoureas. J. Org. Chem. 2002, 67, 1008–1011. [Google Scholar] [CrossRef]
- Ishihara, H.; Koketsu, M.; Fukuta, Y.; Nada, F. Reaction of Lithium Aluminum Hydride with Elemental Selenium: Its Application as a Selenating Reagent into Organic Molecules. J. Am. Chem. Soc. 2001, 123, 8408–8409. [Google Scholar] [CrossRef]
- Maeda, H.; Takashima, M.; Sakata, K.; Watanabe, T.; Honda, M.; Segi, M. One-pot synthesis of selenoureas and selenocarbamates via selenation of isocyanates with bis(dimethylaluminum) selenide. Tetrahedron Lett. 2011, 52, 415–417. [Google Scholar] [CrossRef]
- Campos, M.P.; Hendricks, M.P.; Beecher, A.N.; Walravens, W.; Swain, R.A.; Cleveland, G.T.; Hens, Z.; Sfeir, M.Y.; Owen, J.S. A Library of Selenourea Precursors to PbSe Nanocrystals with Size Distributions near the Homogeneous Limit. J. Am. Chem. Soc. 2017, 139, 2296–2305. [Google Scholar] [CrossRef]
- Zhou, Y.; Denk, M.K. Synthesis and reactivity of subvalent compounds. Part 13: Reaction of triethyl orthoformate with amines and selenium—A convenient one-step three-component synthesis for selenoureas. Tetrahedron Lett. 2003, 44, 1295–1299. [Google Scholar] [CrossRef]
- Shimada, K.; Yamaguchi, M.; Sasaki, T.; Ohnishi, K.; Takikawa, Y. A Willgerodt-Kindler Type Selenation of Dihalomethane Derivatives, Chloroform, and Sodium Trichloroacetate by Trating with a Base, Elemental Selenium, and an Amine. Bull. Chem. Soc. Jpn. 1996, 69, 2235–2242. [Google Scholar] [CrossRef]
- Takikawa, Y.; Yamaguchi, M.; Sasaki, T.; Ohnishi, K.; Shimada, K. Convenient Synthesis of N,N,N’,N’-Tetraalkylselenoureas by Treating Terminal gem-Dihaloalkanes, Chloroform, or Sodium Trichloroacetate with a Base, Elemental Selenium, and Amines. Chem. Lett. 1994, 23, 2105–2108. [Google Scholar] [CrossRef]
- Hua, G.; Cordes, D.B.; Du, J.; Slawin, A.M.Z.; Derek Woollins, J. Diverse derivatives of selenoureas: A synthetic and single crystal structural study. Molecules 2018, 23, 2143–2157. [Google Scholar] [CrossRef] [PubMed]
- Romano, B.; Font, M.; Encío, I.; Palop, J.A.; Sanmartín, C. Synthesis and antiproliferative activity of novel methylselenocarbamates. Eur. J. Med. Chem. 2014, 83, 674–684. [Google Scholar] [CrossRef] [PubMed]
- Romano, B.; Plano, D.; Encío, I.; Palop, J.A.; Sanmartín, C. In vitro radical scavenging and cytotoxic activities of novel hybrid selenocarbamates. Bioorg. Med. Chem. 2015, 23, 1716–1727. [Google Scholar] [CrossRef] [PubMed]
- Takahashi, H.; Nishina, A.; Fukumoto, R.-H.; Kimura, H.; Koketsu, M.; Ishihara, H. Selenocarbamates are effective superoxide anion scavengers in vitro. Eur. J. Pharm. Sci. 2005, 24, 291–295. [Google Scholar] [CrossRef] [PubMed]
- Barton, D.H.R.; Parekh, S.I.; Tajbakhsh, M.; Theodorakis, E.A.; Tse, C.L. A Convenient and High Yielding Procedure for the Preparation of Isoselenocyanates. Synthesis and Reactivity of O-Alkylselenocarbamates. Tetrahedron 1994, 50, 639–654. [Google Scholar] [CrossRef]
- Beigrezaei, S.; Nasri, H. Tempol as an antioxidant; an updated review on current knowledge. Ann. Res. Antioxid. 2017, 2, e01. [Google Scholar]
- Prescott, C.; Bottle, S.E. Biological Relevance of Free Radicals and Nitroxides. Cell Biochem. Biophys. 2017, 75, 227–240. [Google Scholar] [CrossRef]
- Lewandowski, M.; Gwozdzinski, K. Nitroxides as antioxidants and anticancer drugs. Int. J. Mol. Sci. 2017, 18, 2490–2515. [Google Scholar] [CrossRef]
- Hideg, K.; Kálai, T.; Sár, C.P. Recent results in chemistry and biology of nitroxides. J. Heterocycl. Chem. 2005, 42, 437–450. [Google Scholar] [CrossRef]
- Liu, Y.; Zhu, M.; Xu, J.; Zhang, H.; Tian, M. Using a TEMPO-based fluorescent probe for monitoring oxidative stress in living cells. Analyst 2011, 136, 4316–4320. [Google Scholar] [CrossRef] [PubMed]
- Krishna, M.C.; DeGraff, W.; Hankovszky, O.H.; Sar, C.P.; Kalai, T.; Jeko, J.; Russo, A.; Mitchell, J.B.; Hideg, K. Studies of Structure-Activity Relationship of Nitroxide Free Radicals and Their Precursors as Modifiers Against Oxidative Damage. J. Med. Chem. 1998, 41, 3477–3492. [Google Scholar] [CrossRef] [PubMed]
- Krishna, M.C.; Russo, A.; Mitchell, J.B.; Goldstein, S.; Dafni, H.; Samuni, A. Do Nitroxide Antioxidants Act as Scavengers of O2. or as SOD Mimics? J. Biol. Chem. 1996, 271, 26026–26031. [Google Scholar] [CrossRef] [PubMed]
- Zakharova, O.D.; Frolova, T.S.; Yushkova, Y.V.; Chernyak, E.I.; Pokrovsky, A.G.; Pokrovsky, M.A.; Morozov, S.V.; Sinitsina, O.I.; Grigoriev, I.A.; Nevinsky, G.A. Antioxidant and antitumor activity of trolox, trolox succinate, and α-tocopheryl succinate conjugates with nitroxides. Eur. J. Med. Chem. 2016, 122, 127–137. [Google Scholar] [CrossRef] [PubMed]
- Goldstein, S.; Samuni, A.; Hideg, K.; Merenyi, G. Structure-Activity Relationship of Cyclic Nitroxides as SOD Mimics and Scavengers of Nitrogen Dioxide and Carbonate Radicals. J. Phys. Chem. A 2006, 110, 3679–3685. [Google Scholar] [CrossRef] [PubMed]
- Metodiewa, D.; Skolimowski, J.; Karolczak, S. Tempace and troxyl-novel synthesized 2,2,6,6-tetramethylpiperidine derivatives as antioxidants and radioprotectors. Biochem. Mol. Biol. Int. 1996, 40, 1211–1219. [Google Scholar] [CrossRef] [PubMed]
- Hahn, S.M.; Tochner, Z.; Krishna, C.M.; Glass, J.; Wilson, L.; Samuni, A.; Sprague, M.; Venzon, D.; Glatstein, E.; Mitchell, J.B.; et al. Tempol, a stable free radical, is a novel murine radiation protector. Cancer Res. 1992, 52, 1750–1753. [Google Scholar] [PubMed]
- Kálai, T.; Mugesh, G.; Roy, G.; Sies, H.; Berente, Z.; Hideg, K. Combining benzo[d]isoselenazol-3-ones with sterically hindered, alicyclic amines and nitroxides: Enhanced activity as glutathione, peroxidase mimics. Org. Biomol. Chem. 2005, 3, 3564–3569. [Google Scholar] [CrossRef] [PubMed]
- Wilcox, C.S.; Pearlman, A. Chemistry and Antihypertensive Effects of Tempol and Other Nitroxides. Pharmacol. Rev. 2008, 60, 418–469. [Google Scholar] [CrossRef] [PubMed]
- Poprac, P.; Poliak, P.; Kavala, M.; Barbieriková, Z.; Zalibera, M.; Fronc, M.; Švorc, Ľ.; Vihonská, Z.; Olejníková, P.; Lušpai, K.; et al. Polyradical PROXYL/TEMPO-Derived Amides: Synthesis, Physicochemical Studies, DFT Calculations, and Antimicrobial Activity. ChemPlusChem 2017, 82, 1326–1340. [Google Scholar] [CrossRef]
- Emanuel, N.M.; Konovalova, N.P. Nitroxyl Radicals for Cancer Chemotherapy. In Bioactive Spin Labels; Zhdanov, R.I., Ed.; Springer: Berlin, Germany, 1992; pp. 439–460. [Google Scholar]
- Skolimowski, J.; Kochman, A.; Gębicka, L.; Metodiewa, D. Synthesis and Antioxidant Activity Evaluation of Novel Antiparkinsonian Agents, Aminoadamantane Derivatives of Nitroxyl Free Radical. Bioorg. Med. Chem. 2003, 11, 3529–3539. [Google Scholar] [CrossRef]
- Einhorn, J.; Einhorn, C.; Ratajczak, F.; Durif, A.; Averbuch, M.-T.; Pierre, J.-L. Synthesis and resolution of a chiral analogue of 2,2,6,6-tetramethylpiperidine and of its corresponding nitroxide. Tetrahedron Lett. 1998, 39, 2565–2568. [Google Scholar] [CrossRef]
- Barrett, A.G.M.; Hanson, G.R.; White, A.J.P.; Williams, D.J.; Micallef, A.S. Synthesis of nitroxide-functionalized phthalocyanines. Tetrahedron 2007, 63, 5244–5250. [Google Scholar] [CrossRef]
- Gubskaya, V.P.; Berezhnaya, L.Sh.; Gubaidullin, A.T.; Faingold, I.I.; Kotelnikova, R.A.; Konovalova, N.P.; Morozov, V.I.; Litvinov, I.A.; Nuretdinov, I.A. Synthesis, structure and biological activity of nitroxide malonate methanofullerenes. Org. Biomol. Chem. 2007, 5, 976–981. [Google Scholar] [CrossRef]
- Yi, S.; Mileo, E.; Kaifer, A.E. EPR and NMR investigation on the interactions of nitroxide probes with resorcin [4]arene molecular capsules. Org. Lett. 2009, 11, 5690–5693. [Google Scholar] [CrossRef]
- Fairfull-Smith, K.E.; Debele, E.A.; Allen, J.P.; Pfrunder, M.C.; McMurtrie, J.C. Direct iodination of isoindolines and isoindoline nitroxides as precursors to functionalized nitroxides. Eur. J. Org. Chem. 2013, 22, 4829–4835. [Google Scholar] [CrossRef]
- Zakrzewski, J.; Huras, B.; Kiełczewska, A. Synthesis of isoselenocyanates. Synthesis 2016, 48, 85–96. [Google Scholar] [CrossRef]
- Zakrzewski, J.; Jezierska, J.; Hupko, J. 4-Isocyano-2,2,6,6-tetramethylpiperidin-1-oxyl: A Valuable Precursor for the Synthesis of New Nitroxides. Org. Lett. 2004, 6, 695–697. [Google Scholar] [CrossRef]
- Zakrzewski, J.; Krawczyk, M. Reactions of Nitroxides. Part X: Antifungal activity of selected sulfur and selenium derivatives of 2,2,6,6-tetramethylpiperidine. Bioorg. Med. Chem. Lett. 2011, 21, 21–514. [Google Scholar] [CrossRef]
- Huras, B.; Zakrzewski, J.; Krawczyk, M. Reactions of Nitroxides, Part XI: O-Aryl Phenylselenophosphonates Bearing a Nitroxyl Moiety. Heteroat. Chem. 2011, 22, 137–147. [Google Scholar] [CrossRef]




| Cmpd | B. cinerea | F. culmorum | P. cactorum | R. solani | B. graminis | A. alternata | F. oxysporum | P. infestans | A. apis |
|---|---|---|---|---|---|---|---|---|---|
| In Vitro | In Vitro | In Vitro | In Vitro | In Vivo | In Vitro | In Vitro | In Vitro | In Vitro | |
| 200 mg/L/20 mg/L | 200 mg/L/20 mg/L | 200 mg/L/20 mg/L | 200 mg/L/20 mg/L | 1000 mg/L | 200 mg/L/20 mg/L | 200 mg/L/20 mg/L | 200 mg/L/20 mg/L | 200 mg/L/20 mg/L | |
| 4a | 100/68 | 100/28 | 78/50 | 100/40 | 24.6 | −/26 | −/76 | −/22 | −/68 |
| 4b | 100/73 | 100/19 | 100/42 | 100/66 | 24.6 | −/30 | −/71 | −/20 | −/− |
| 4c | 100/100 | 54/21 | 100/100 | 100/44 | 26.7 | −/33 | −/69 | −/26 | −/72 |
| 4d | 100/74 | 100/21 | 100/100 | 100/36 | 25 | −/23 | −/69 | −/20 | −/48 |
| 4e | 65/− | 24/− | 67/− | 26/− | 46.5 | −/− | −/− | −/− | −/− |
| 4f | 31/3 | 49/0 | 100/19 | 100/0 | 1.6 | −/2 | −/14 | −/14 | −/0 |
| 4g | 91/0 | 18/6 | 100/65 | 100/0 | 11.4 | −/9 | −/43 | −/20 | −/36 |
| 4h | 100/74 | 72/19 | 100/100 | 100/50 | 22 | −/30 | −/80 | −/28 | −/46 |
| 5a | 100/64 | 3/24 | 100/100 | 100/16 | 31.8 | −/21 | −/66 | −/20 | −/48 |
| 5b | 100/82 | 100/51 | 100/100 | 100/60 | 26.7 | −/37 | −/85 | −/42 | −/72 |
| 5c | 100/77 | 100/56 | 100/100 | 100/50 | 4.8 | −/42 | −/85 | −/46 | −/60 |
| 5d | 100/79 | 100/38 | 100/100 | 100/72 | 4 | −/35 | −/82 | −/46 | −/66 |
| 5e | 81/− | 56/− | 100/− | 62/− | 12/− | −/− | −/− | −/− | −/− |
| 5f | 49/− | 54/− | 61/− | 100/− | 3/− | −/− | −/− | −/− | −/− |
| 5g | 100/49 | 51/24 | 100/100 | 100/0 | 8.9 | −/23 | −/52 | −/20 | −/− |
| 5h | 100/77 | 100/33 | 100/100 | 100/28 | 4 | −/30 | −/61 | −/20 | −/72 |
| 6a | 100/49 | 100/19 | 48.1/42 | 100/0 | 18.4 | −/19 | −/56 | −/32 | −/32 |
| 6b | 100/60 | 100/21 | 100/62 | 100/0 | 2.7 | −/26 | −/37 | −/30 | −/10 |
| 7 | 100/74 | 100/33 | 100/100 | 100/26 | 6.5 | −/23 | −/70 | −/30 | −/− |
| 8a | 62/− | 34/− | 39/− | 46/− | 0 | −/− | −/− | −/− | −/− |
| 8b | 100/− | 25/− | 100/− | 68/− | 0 | −/− | −/− | −/− | −/− |
| C b | 100/74 | 34/19 | 88/69 | 83/76 | − | 56/42 | 62/49 | 67/50 | 100/100 |
| T b | 100/100 | 100/100 | 58/11 | 100/78 | − | 100/78 | 77/42 | 100/100 | 100/83 |
| Th b | − | − | − | − | − | − | − | − | 100/100 |
| A b | − | − | − | − | 100 | − | − | − | − |
| Cmpd | B. cinerea | F. culmorum | P. cactorum | R. solani | B. graminis | A. alterneta | F. oxysporum | P. infestans | A. apis |
|---|---|---|---|---|---|---|---|---|---|
| In Vitro | In Vitro | In Vitro | In Vitro | In Vivo | In Vitro | In Vitro | In Vitro | In Vitro | |
| 200 mg/L/20 mg/L | 200 mg/L/20 mg/L | 200 mg/L/20 mg/L | 200 mg/L/20 mg/L | 1000 mg/L | 200 mg/L/20 mg/L | 200 mg/L/20 mg/L | 200 mg/L/20 mg/L | 200 mg/L/20 mg/L | |
| 9a | 100/62 | 100/10 | 93/27 | 100/0 | 27.1 | −/56 | −/55 | −/28 | −/50 |
| 9b | 100/77 | 100/24 | 91/57 | 100/60 | 18.9 | −/30 | −/69 | −/30 | −/56 |
| 9c | 100/79 | 100/38 | 100/62 | 100/54 | 3.4 | −/30 | −/70 | −/36 | −/60 |
| 9d | 100/81 | 100/33 | 100/62 | 100/60 | 42.6 | −/42 | −/69 | −/34 | −/− |
| 10a | 20/− | 3/− | 0/− | 42/− | 3.1 | −/− | −/− | −/− | −/− |
| 10b | 49/− | 0/− | 43/− | 0/− | 0 | −/− | −/− | −/− | −/− |
| 10c | 17/− | 0/− | 0/− | 0/− | 0 | −/− | −/− | −/− | −/− |
| 10d | 0/− | 11/− | 0/− | 0/− | 8.2 | −/− | −/− | −/− | −/− |
| C b | 100/74 | 34/19 | 88/69 | 83/76 | − | 56/42 | 62/49 | 67/50 | 100/100 |
| T b | 100/100 | 100/100 | 58/11 | 100/78 | − | 100/78 | 77/42 | 100/100 | 100/83 |
| Th b | − | − | − | − | − | − | − | − | 100/100 |
| A b | − | − | − | − | 100 | − | − | − | − |
| Cmpd | E. carotovora | P. phaseolicola | P. lachrymans | P. syringae |
|---|---|---|---|---|
| mg/L | mg/L | mg/L | mg/L | |
| 4a | >100 | >100 | <100 | <100 |
| 4b | >100 | >100 | >100 | >100 |
| 4c | <100 | <100 | <100 | <100 |
| 4d | <100 | >100 | >100 | <100 |
| 4e | >100 | >100 | >100 | >100 |
| 4f | >100 | >100 | >100 | <100 |
| 4g | <100 | >100 | >100 | <100 |
| 4h | >100 | >100 | >100 | >100 |
| 5a | − | − | − | − |
| 5b | <100 | <100 | <100 | <100 |
| 5c | <100 | <100 | <100 | <100 |
| 5d | >100 | >100 | >100 | >100 |
| 5e | − | − | − | − |
| 5f | >100 | >100 | <100 | <100 |
| 5g | <100 | >100 | <100 | <100 |
| 5h | <100 | <100 | <100 | <100 |
| 6a | <100 | <100 | <100 | <100 |
| 6b | <100 | <100 | <100 | <100 |
| 7 | − | − | − | − |
| 8a | <100 | >100 | >100 | >100 |
| 8b | >100 | >100 | >100 | >100 |
| CGA a | 1 | − | 1 | 1 |
| Cmpd | E. carotovora | P. phaseolicola | P. lachrymans | P. syringae |
|---|---|---|---|---|
| mg/L | mg/L | mg/L | mg/L | |
| 9a | >100 | >100 | >100 | >100 |
| 9b | <100 | <100 | >100 | <100 |
| 9c | >100 | >100 | >100 | >100 |
| 9d | − | − | − | − |
| 10a | >100 | >100 | >100 | >100 |
| 10b | >100 | >100 | >100 | >100 |
| 10c | >100 | >100 | >100 | >100 |
| 10d | >100 | >100 | <100 | <100 |
| CGA a | 1 | − | 1 | 1 |
© 2019 by the authors. Licensee MDPI, Basel, Switzerland. This article is an open access article distributed under the terms and conditions of the Creative Commons Attribution (CC BY) license (http://creativecommons.org/licenses/by/4.0/).
Share and Cite
Zakrzewski, J.; Huras, B.; Kiełczewska, A.; Krawczyk, M.; Hupko, J.; Jaszczuk, K. Reactions of Nitroxides, Part 17. Synthesis, Fungistatic and Bacteriostatic Activity of Novel Five- and Six-Membered Nitroxyl Selenoureas and Selenocarbamates. Molecules 2019, 24, 2457. https://doi.org/10.3390/molecules24132457
Zakrzewski J, Huras B, Kiełczewska A, Krawczyk M, Hupko J, Jaszczuk K. Reactions of Nitroxides, Part 17. Synthesis, Fungistatic and Bacteriostatic Activity of Novel Five- and Six-Membered Nitroxyl Selenoureas and Selenocarbamates. Molecules. 2019; 24(13):2457. https://doi.org/10.3390/molecules24132457
Chicago/Turabian StyleZakrzewski, Jerzy, Bogumiła Huras, Anna Kiełczewska, Maria Krawczyk, Jarosław Hupko, and Katarzyna Jaszczuk. 2019. "Reactions of Nitroxides, Part 17. Synthesis, Fungistatic and Bacteriostatic Activity of Novel Five- and Six-Membered Nitroxyl Selenoureas and Selenocarbamates" Molecules 24, no. 13: 2457. https://doi.org/10.3390/molecules24132457
APA StyleZakrzewski, J., Huras, B., Kiełczewska, A., Krawczyk, M., Hupko, J., & Jaszczuk, K. (2019). Reactions of Nitroxides, Part 17. Synthesis, Fungistatic and Bacteriostatic Activity of Novel Five- and Six-Membered Nitroxyl Selenoureas and Selenocarbamates. Molecules, 24(13), 2457. https://doi.org/10.3390/molecules24132457

