Sign in to use this feature.

Years

Between: -

Subjects

remove_circle_outline
remove_circle_outline
remove_circle_outline
remove_circle_outline
remove_circle_outline
remove_circle_outline
remove_circle_outline

Journals

Article Types

Countries / Regions

Search Results (167)

Search Parameters:
Keywords = powder bed surface quality

Order results
Result details
Results per page
Select all
Export citation of selected articles as:
19 pages, 4138 KB  
Article
Machinability Analysis of LPBF-AlSi10Mg: A Study on SL-MQL Efficiency and ML Prediction Models
by Zhenhua Dou, Kai Guo, Jie Sun and Xiaoming Huang
Processes 2025, 13(11), 3687; https://doi.org/10.3390/pr13113687 - 14 Nov 2025
Abstract
Because of their exceptional strength, corrosion resistance, and low weight, materials such as titanium, aluminum, and others are becoming increasingly popular. The application scope of additive manufacturing (AM) in the aerospace sector continues to expand. Because of its high performance and low coefficient [...] Read more.
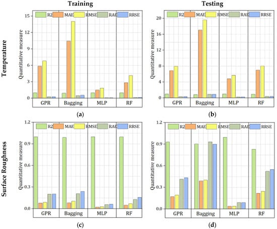
Because of their exceptional strength, corrosion resistance, and low weight, materials such as titanium, aluminum, and others are becoming increasingly popular. The application scope of additive manufacturing (AM) in the aerospace sector continues to expand. Because of its high performance and low coefficient of thermal expansion, AlSi10Mg processed by laser-based powder bed fusion (LPBF) is becoming increasingly popular in lightweight aerospace component design. Nonetheless, the AM technique has a number of benefits; poor surface quality is the only drawback, necessitating post-processing. This study aims to focus on the machinability of AlSi10Mg under three distinct environmental conditions (dry, minimum quantity lubrication (MQL), and SL-MQL). The experimental investigations were centered on chip morphology, flank wear (Vb), surface roughness (Ra), and cutting temperature (Tc). SL-MQL reduced the roughness by 53–57% over dry machining and 23–29% over MQL condition, and in a similar way lessened the flank wear by 36–40% over dry machining and 12–15% over MQL condition. In addition, to check the predictive accuracy and optimize machining parameters, four machine learning models were used: Gaussian Process Regression (GPR), Bagging, Multilayer Perceptron (MLP), and Random Forest (RF). In both the training and testing stages, MLP consistently demonstrated superior performance across all parameters in comparison to other algorithms, achieving high levels of accuracy and low error rates. Full article
Show Figures

Figure 1

20 pages, 6442 KB  
Review
Enhancing the Performance of Metal Additive Manufacturing Parts: A Review of Post-Treatment Processes for Extrusion and Sinter-Based Technology
by Alessandro Pellegrini, Maria Grazia Guerra, Roberto Spina and Fulvio Lavecchia
J. Manuf. Mater. Process. 2025, 9(11), 357; https://doi.org/10.3390/jmmp9110357 - 31 Oct 2025
Viewed by 492
Abstract
Material Extrusion for Metals (MEX/M) has emerged as a cost-effective and versatile Additive Manufacturing technology (AM) for producing complex metal components. Despite its potential, parts realized via MEX/M suffer from significant limitations, primarily poor surface quality due to the intrinsic layer-wise effect from [...] Read more.
Material Extrusion for Metals (MEX/M) has emerged as a cost-effective and versatile Additive Manufacturing technology (AM) for producing complex metal components. Despite its potential, parts realized via MEX/M suffer from significant limitations, primarily poor surface quality due to the intrinsic layer-wise effect from the printing deposition and selected printing conditions. Furthermore, the multi-step nature of the MEX/M process, particularly the sintering stage, can exacerbate roughness along with the printing orientation, thereby affecting part performance and limiting potential applications. In addition to surface defects, MEX parts are characterized by a high content of porosity when compared to other metal AM technologies like Powder Bed Fusion laser-based (PBF-LB) and Directed Energy Deposition laser-based (DED-LB). These defects, both on the surface and within the parts, can compromise the mechanical properties and overall quality of the final parts. In this context, the scientific community has increasingly recognized post-treatment processes as essential for simultaneously improving surface quality and enhancing bulk material properties. This review according to the PRISMA 2020 guidelines provides a comprehensive analysis of the most critical post-treatment processes applied to MEX/M parts. By critically reviewing the state of the art, this paper discusses how these treatments can effectively mitigate outer and inner defects, reduce porosity, and significantly improve mechanical performance, ultimately enabling the broader industrial adoption of MEX/M technology. Full article
Show Figures

Figure 1

8 pages, 3439 KB  
Proceeding Paper
Determination of Optimal Process Parameters for L-PBF Produced 1.2709 Alloy
by Balázs Lőrincz, András Lajos Nagy, Imre Fekete and István Hatos
Eng. Proc. 2025, 113(1), 17; https://doi.org/10.3390/engproc2025113017 - 29 Oct 2025
Viewed by 198
Abstract
For L-PBF (Laser Powder Bed Fusion) metal additive manufacturing (AM) the choice of available materials is still limited. 1.2709 maraging steel powders are widely used for injection molds and high-quality engineering parts. The quality of the parts produced by L-PBF are significantly affected [...] Read more.
For L-PBF (Laser Powder Bed Fusion) metal additive manufacturing (AM) the choice of available materials is still limited. 1.2709 maraging steel powders are widely used for injection molds and high-quality engineering parts. The quality of the parts produced by L-PBF are significantly affected by the process parameters. The aim of this research was to find optimal process parameters for producing 1.2709 tool steel at a layer thickness of 20 µm and to reveal the possible parameter settings yielding comparable build quality as the “EOS surface” parameter set at a layer thickness of 20 µm. Findings showed that too low or too high input energies produce improper parts. A large range of parameters produce good quality parts, of which the optimum parameters can be chosen. Full article
(This article belongs to the Proceedings of The Sustainable Mobility and Transportation Symposium 2025)
Show Figures

Figure 1

17 pages, 1803 KB  
Article
Improving Vertical Dimensional Accuracy in PBF-LB/M Through Artefact-Based Evaluation and Correction
by Stefan Brenner and Vesna Nedeljkovic-Groha
Appl. Sci. 2025, 15(17), 9756; https://doi.org/10.3390/app15179756 - 5 Sep 2025
Viewed by 999
Abstract
Achieving high dimensional accuracy in the build direction remains a critical challenge in laser-based powder bed fusion of metals (PBF-LB/M), particularly for taller components. This study investigates the application of the standardized Z-artefact defined in ISO/ASTM 52902:2023 to evaluate and correct vertical dimensional [...] Read more.
Achieving high dimensional accuracy in the build direction remains a critical challenge in laser-based powder bed fusion of metals (PBF-LB/M), particularly for taller components. This study investigates the application of the standardized Z-artefact defined in ISO/ASTM 52902:2023 to evaluate and correct vertical dimensional deviations in AlSi10Mg parts. Benchmark artefacts were produced without Z-scaling and measured using a structured light 3D scanner. A linear trend of increasing undersizing with build height was observed across two build jobs, indicating a systematic Z-error. Based on the reproducible average deviation, a shrinkage compensation factor of 1.0017 was derived and applied in a third build job using the same processing parameters. This correction reduced the root mean square error (RMSE) from over 100 µm to below 25 µm and improved the achievable ISO tolerance grades from IT 9–11 to IT 5–9. The approach proved effective without requiring changes to process parameters. However, local surface features such as elevated edges and roughness remained dominant sources of deviation and are not captured in step height-based evaluations. Overall, this study demonstrates a practical, standard-compliant method to improve vertical dimensional accuracy in PBF-LB/M, with potential applicability to industrial quality assurance and future extension to more complex geometries. Full article
(This article belongs to the Section Additive Manufacturing Technologies)
Show Figures

Figure 1

15 pages, 13719 KB  
Article
Spot Melting Strategy for Contour Melting in Electron Beam Powder Bed Fusion
by Tobias Kupfer, Lukas Spano, Sebastian Pohl, Carolin Körner and Matthias Markl
J. Manuf. Mater. Process. 2025, 9(9), 303; https://doi.org/10.3390/jmmp9090303 - 4 Sep 2025
Cited by 1 | Viewed by 870
Abstract
Spot melting is an emerging alternative to traditional line melting in electron beam powder bed fusion, dividing a layer into thousands of individual spots. This method allows for an almost infinite number of spot arrangements and spot melting sequences to tailor material and [...] Read more.
Spot melting is an emerging alternative to traditional line melting in electron beam powder bed fusion, dividing a layer into thousands of individual spots. This method allows for an almost infinite number of spot arrangements and spot melting sequences to tailor material and part properties. To enhance the productivity of spot melting, the number of spots can be reduced by increasing the beam diameter. However, this results in rough surfaces due to the staircase effect. The classical approach to counteract these effects is to melt a contour that surrounds the infill area. Creating effective contours is challenging because the melted area ought to cover the artifacts from the staircase effect and avoid porosity in the transition area between the infill and contour, all while minimizing additional energy and melt time. In this work, we propose an algorithm for generating a spot melting sequence for contour lines surrounding the infill area. Additionally, we compare three different approaches for combining the spot melting of infill and contour areas, each utilizing a combination of large infill spots and small contour spots. The quality of the contours is evaluated based on optical inspection as well as the porosity between infill and contour using electron optical images, balanced against the additional energy input. The most suitable approach is used to build a complex brake caliper. Full article
(This article belongs to the Special Issue Advances in Powder Bed Fusion Technologies)
Show Figures

Graphical abstract

19 pages, 4531 KB  
Article
Surface Engineering of EB-PBF Ti6Al4V via Anodization: Multifunctional Improvements Through TiO2 Nanotube Arrays
by Alireza Moradi, Sanae Tajalli, Amir Behjat, Abdollah Saboori and Luca Iuliano
Coatings 2025, 15(9), 993; https://doi.org/10.3390/coatings15090993 - 27 Aug 2025
Viewed by 798
Abstract
This study investigates the anodization behavior and surface modification of Ti6Al4V (Ti64) alloy components fabricated via electron beam powder bed fusion (EB-PBF), aiming to enhance their performance in biomedical applications. Ti64 samples were manufactured using optimized EB-PBF parameters to produce a uniform microstructure [...] Read more.
This study investigates the anodization behavior and surface modification of Ti6Al4V (Ti64) alloy components fabricated via electron beam powder bed fusion (EB-PBF), aiming to enhance their performance in biomedical applications. Ti64 samples were manufactured using optimized EB-PBF parameters to produce a uniform microstructure and surface quality. Electrochemical anodization at 40 V and 60 V for 2 h generated self-organized TiO2 nanotube layers, followed by a heat treatment at 550 °C to improve crystallinity while preserving the nanotube morphology. Characterization using scanning electron microscopy (SEM) and atomic force microscopy (AFM) revealed that a lower voltage produced uniform, compact nanotubes with moderate roughness and higher hardness, whereas a higher voltage generated thicker, less ordered nanotubes with larger diameters, increased roughness, and slightly reduced mechanical performance. X-ray diffraction (XRD) confirmed the presence of anatase TiO2 phases, and energy-dispersive spectroscopy (EDS) analysis revealed a homogeneous distribution of Ti and O. Mechanical testing via nanoindentation and nanoscratch techniques demonstrated superior hardness and adhesion in nanotubes formed at lower voltage due to their compact structure. Electrochemical measurements indicated significantly enhanced corrosion resistance in anodized samples, attributed to the dense and chemically stable TiO2 layer that acts as a barrier to aggressive ions and reduces active corrosion sites. In vitro bioactivity analysis further confirmed improved apatite formation on anodized surfaces. These results demonstrate the synergistic potential of EB-PBF and controlled anodization for modifying the surface properties of Ti64 implants, leading to improved mechanical behavior, corrosion resistance, and biological performance suitable for biomedical applications. Full article
Show Figures

Figure 1

22 pages, 15066 KB  
Article
Influence of Shot Peening on Selected Properties of the Surface and Subsurface Regions of Additively Manufactured 316L and AlSi10Mg
by Ali Al-Zuhairi, Patrick Lehner, Bastian Blinn, Marek Smaga, Jonas Flatter, Tilmann Beck and Roman Teutsch
Metals 2025, 15(8), 856; https://doi.org/10.3390/met15080856 - 30 Jul 2025
Cited by 1 | Viewed by 674
Abstract
Due to the high potential of shot peening to improve the surface quality of additively manufactured components, in this work, the influence on surface morphology and, thus, the surface topography and selected properties of the surface and subsurface regions of additively manufactured parts [...] Read more.
Due to the high potential of shot peening to improve the surface quality of additively manufactured components, in this work, the influence on surface morphology and, thus, the surface topography and selected properties of the surface and subsurface regions of additively manufactured parts is analysed. For this, cubic specimens made of stainless steel 316L and AlSi10Mg were manufactured via powder bed fusion laser beam metal (PBF-LB/M), and subsequently, their “as-built” surfaces were shot peened. Shot peening was conducted with stainless steel or ceramic beads using pressures of 3 and 5 bar. The resulting morphologies were analysed regarding topography, microstructure and mechanical properties (hardness and cyclic deformation behaviour) in the subsurface region and the residual stresses. The results demonstrate a strong plastic deformation due to shot peening, resulting in a decreased surface roughness as well as an increased hardness and compressive residual stresses near the surface. These effects were generally more pronounced after using higher peening pressure and/or ceramic beads. Note that two sets of PBF-LB/M parameters were used to produce the AlSi10Mg specimens. The investigation of these specimens reveals an interrelation between the parameters used in shot peening and PBF-LB/M on the resulting surface morphology. Full article
Show Figures

Graphical abstract

20 pages, 8312 KB  
Article
Experimental Investigation of Magnetic Abrasive Finishing for Post-Processing Additive Manufactured Inconel 939 Parts
by Michał Marczak, Dorota A. Moszczyńska and Aleksander P. Wawrzyszcz
Appl. Sci. 2025, 15(15), 8233; https://doi.org/10.3390/app15158233 - 24 Jul 2025
Viewed by 769
Abstract
This study explores the efficacy of magnetic abrasive finishing (MAF) with planetary kinematics for post-processing Inconel 939 components fabricated by laser powder bed fusion (LPBF). Given the critical limitations in surface quality of LPBF-produced parts—especially in hard-to-machine superalloys like Inconel 939—there is a [...] Read more.
This study explores the efficacy of magnetic abrasive finishing (MAF) with planetary kinematics for post-processing Inconel 939 components fabricated by laser powder bed fusion (LPBF). Given the critical limitations in surface quality of LPBF-produced parts—especially in hard-to-machine superalloys like Inconel 939—there is a pressing need for advanced, adaptable finishing techniques that can operate effectively on complex geometries. This research focuses on optimizing the process parameters—eccentricity, rotational speed, and machining time—to enhance surface integrity following preliminary vibratory machining. Custom-designed samples underwent sequential machining, including heat treatment and 4 h vibratory machining, before MAF was applied under controlled conditions using ferromagnetic Fe-Si abrasives. Surface roughness measurements demonstrated a significant reduction, achieving Ra values from 1.21 µm to below 0.8 µm in optimal conditions, representing more than a fivefold improvement compared to the as-printed state (5.6 µm). Scanning Electron Microscopy (SEM) revealed progressive surface refinement, with MAF effectively removing adhered particles left by prior processing. Statistical analysis confirmed the dominant influence of eccentricity on the surface profile parameters, particularly Rz. The findings validate the viability of MAF as a precise, controllable, and complementary finishing method for LPBF-manufactured Inconel 939 components, especially for geometrically complex or hard-to-reach surfaces. Full article
(This article belongs to the Special Issue The Applications of Laser-Based Manufacturing for Material Science)
Show Figures

Figure 1

22 pages, 11295 KB  
Article
Process-Driven Structural and Property Evolution in Laser Powder Bed Fusion of a Newly Developed AISI 316L Stainless Steel
by Amir Behjat, Morteza Shamanian, Fazlollah Sadeghi, Mohammad Hossein Mosallanejad and Abdollah Saboori
Materials 2025, 18(14), 3343; https://doi.org/10.3390/ma18143343 - 16 Jul 2025
Cited by 1 | Viewed by 838
Abstract
The lack of new materials with desired processability and functional characteristics remains a challenge for metal additive manufacturing (AM). Therefore, in this work, a new promising AISI 316L-based alloy with better performance compared to the commercially available one is developed via the laser [...] Read more.
The lack of new materials with desired processability and functional characteristics remains a challenge for metal additive manufacturing (AM). Therefore, in this work, a new promising AISI 316L-based alloy with better performance compared to the commercially available one is developed via the laser powder bed fusion (L-PBF) process. Moreover, establishing process–structure–properties linkages is a critical point that should be evaluated carefully before adding newly developed alloys into the AM market. Hence, the current study investigates the influences of various process parameters on the as-built quality and microstructure of the newly developed alloy. The results revealed that increasing laser energy density led to reduced porosity and surface roughness, likely due to enhanced melting and solidification. Microstructural analysis revealed a uniform distribution of copper within the austenite phase without forming any agglomeration or secondary phases. Electron backscatter diffraction analysis indicated a strong texture along the build direction with a gradual increase in Goss texture at higher energy densities. Grain boundary regions exhibited higher local misorientation and dislocation density. These findings suggest that changing the process parameters of the L-PBF process is a promising method for developing tailored microstructures and chemical compositions of commercially available AISI 316L stainless steel. Full article
Show Figures

Figure 1

14 pages, 6398 KB  
Article
Corrosion Behavior of Additively Manufactured GRX-810 Alloy in 3.5 wt.% NaCl
by Peter Omoniyi, Samuel Alfred, Kenneth Looby, Olu Bamiduro, Mehdi Amiri and Gbadebo Owolabi
Materials 2025, 18(14), 3252; https://doi.org/10.3390/ma18143252 - 10 Jul 2025
Viewed by 766
Abstract
This study examines the corrosion characteristics of GRX-810, a NiCoCr-based high entropy alloy, in a simulated marine environment represented by 3.5 wt.% NaCl solution. The research employs electrochemical and surface analysis techniques to evaluate the corrosion performance and protective mechanisms of this alloy. [...] Read more.
This study examines the corrosion characteristics of GRX-810, a NiCoCr-based high entropy alloy, in a simulated marine environment represented by 3.5 wt.% NaCl solution. The research employs electrochemical and surface analysis techniques to evaluate the corrosion performance and protective mechanisms of this alloy. Electrochemical characterization was performed using potentiodynamic polarization to determine critical corrosion parameters, including corrosion potential and current density, along with electrochemical impedance spectroscopy to assess the stability and protective qualities of the oxide film. Surface analytical techniques provided detailed microstructural and compositional insights, with scanning electron microscopy revealing the morphology of corrosion products, energy-dispersive X-ray spectroscopy identifying elemental distribution in the passive layer, and X-ray diffraction confirming the chemical composition and crystalline structure of surface oxide. The results demonstrated distinct corrosion resistance behavior between the different processing conditions of the alloy. The laser powder bed fused (LPBF) specimens in the as-built condition exhibited superior corrosion resistance compared to their hot isostatically pressed (HIPed) counterparts, as evidenced by higher corrosion potentials and lower current densities. Microscopic examination revealed the formation of a dense, continuous layer of corrosion products on the alloy surface, indicating effective barrier protection against chloride ion penetration. A compositional analysis of all samples identified oxide film enriched with chromium, nickel, cobalt, aluminum, titanium, and silicon. XRD characterization confirmed the presence of chromium oxide (Cr2O3) as the primary protective phase, with additional oxides contributing to the stability of the film. This oxide mixture demonstrated the alloy’s ability to maintain passivity and effective repassivation following film breakdown. Full article
(This article belongs to the Special Issue Study on Electrochemical Behavior and Corrosion of Materials)
Show Figures

Figure 1

17 pages, 5457 KB  
Article
Multiphysics Modeling of Heat Transfer and Melt Pool Thermo-Fluid Dynamics in Laser-Based Powder Bed Fusion of Metals
by Tingzhong Zhang, Xijian Lin, Yanwen Qin, Dehua Zhu, Jing Wang, Chengguang Zhang and Yuchao Bai
Materials 2025, 18(13), 3183; https://doi.org/10.3390/ma18133183 - 5 Jul 2025
Viewed by 896
Abstract
Laser-based powder bed fusion of metals (PBF-LB/M) is one of the most promising additive manufacturing technologies to fabricate complex-structured metal parts. However, its corresponding applications have been limited by technical bottlenecks and increasingly strict industrial requirements. Process optimization, a scientific issue, urgently needs [...] Read more.
Laser-based powder bed fusion of metals (PBF-LB/M) is one of the most promising additive manufacturing technologies to fabricate complex-structured metal parts. However, its corresponding applications have been limited by technical bottlenecks and increasingly strict industrial requirements. Process optimization, a scientific issue, urgently needs to be solved. In this paper, a three-phase transient model based on the level-set method is established to examine the heat transfer and melt pool behavior in PBF-LB/M. Surface tension, the Marangoni effect, and recoil pressure are implemented in the model, and evaporation-induced mass and thermal loss are fully considered in the computing element. The results show that the surface roughness and density of metal parts induced by heat transfer and melt pool behavior are closely related to process parameters such as laser power, layer thickness, scanning speed, etc. When the volumetric energy density is low, the insufficient fusion of metal particles leads to pore defects. When the line energy density is high, the melt track is smooth with low porosity, resulting in the high density of the products. Additionally, the partial melting of powder particles at the beginning and end of the melting track usually contributes to pore formation. These findings provide valuable insights for improving the quality and reliability of metal additive manufacturing. Full article
(This article belongs to the Special Issue Latest Developments in Advanced Machining Technologies for Materials)
Show Figures

Figure 1

14 pages, 1706 KB  
Communication
Enhancing Fatigue Life of Metal Parts Produced by High-Speed Laser Powder Bed Fusion Through In Situ Surface Quality Improvement
by Daniel Ordnung, Mirko Sinico, Thibault Mertens, Han Haitjema and Brecht Van Hooreweder
J. Manuf. Mater. Process. 2025, 9(7), 207; https://doi.org/10.3390/jmmp9070207 - 20 Jun 2025
Viewed by 964
Abstract
The poor surface quality of the metal parts produced by laser powder bed fusion limits their application in load-bearing components, as it promotes crack initiation under cyclic loadings. Consequently, improving part quality relies on time-consuming surface finishing. This work explores a dual-laser powder [...] Read more.
The poor surface quality of the metal parts produced by laser powder bed fusion limits their application in load-bearing components, as it promotes crack initiation under cyclic loadings. Consequently, improving part quality relies on time-consuming surface finishing. This work explores a dual-laser powder bed fusion strategy to simultaneously improve the productivity, surface quality, and fatigue life of parts with inclined up-facing surfaces made from a novel tool steel. This is achieved by combining building using a high layer thickness of 120 μm with in situ quality enhancement through powder removal and laser remelting. A bending fatigue campaign was conducted to assess the performance of such treated samples produced with different layer thicknesses (60 μm, hull-bulk 60/120 μm, 120 μm) compared to as-built and machined reference samples. Remelting consistently enhanced the fatigue life compared to the as-built reference samples by up to a factor of 36. The improvement was attributed to the reduced surface roughness, the reduced critical stress concentration factors, and the gradually changing surface features with increased lateral dimensions. This led to a beneficial load distribution and fewer potential crack initiation points. Finally, the remelting samples produced with a layer thickness of 120 μm enhanced the fatigue life by a factor of four and reduced the production time by 30% compared to the standard approach using a layer thickness of 60 μm. Full article
(This article belongs to the Special Issue Progress and Perspectives in Metal Laser Additive Manufacturing)
Show Figures

Graphical abstract

19 pages, 8327 KB  
Article
Investigation of Ti65 Powder Spreading Behavior in Multi-Layer Laser Powder Bed Fusion
by Zhe Liu, Ju Wang, Ge Yu, Xiaodan Li, Meng Li, Xizhong An, Jiaqiang Ni, Haiyang Zhao and Qianya Ma
Appl. Sci. 2025, 15(11), 6220; https://doi.org/10.3390/app15116220 - 31 May 2025
Viewed by 800
Abstract
Powder bed fusion using a laser beam (PBF-LB) offers a suitable alternative to manufacturing Ti65 with intricate geometries and internal structures in hypersonic aerospace applications. However, issues such as undesirable surface roughness, defect formation, and microstructural inhomogeneity remain critical barriers to its wide [...] Read more.
Powder bed fusion using a laser beam (PBF-LB) offers a suitable alternative to manufacturing Ti65 with intricate geometries and internal structures in hypersonic aerospace applications. However, issues such as undesirable surface roughness, defect formation, and microstructural inhomogeneity remain critical barriers to its wide application. In this study, a coupled discrete element method–computational fluid dynamics (DEM-CFD) model was utilized to investigate the spreading behavior of Ti65 powder in a multi-layer PBF-LB process. The macro- and microscopic characteristics of the powder beds were systematically analyzed across different layers and regions under various spreading velocities. The results show that the packing density and uniformity of the powder beds in multi-layer PBF-LB of Ti65 powder improves as the number of solidified layers increases. Poor bed quality is observed in the first two layers due to a strong boundary effect, while a stable and denser powder bed emerges from the fourth layer. The presence of a previously solidified region strongly influences its neighboring unsolidified areas, enhancing density in the upstream region and causing looser packing downstream. Additionally, due to the existence of a solidified region, the height of the powder bed progressively decreases along the spreading direction. Full article
(This article belongs to the Special Issue Advanced Granular Processing Technologies and Applications)
Show Figures

Figure 1

8 pages, 5211 KB  
Proceeding Paper
Influence of LPBF Process Parameters on the Surface Quality of Stainless Steel on the Adhesion Properties with Thermoplastics
by Florian Lehmann, Juliane Troschitz and Maik Gude
Eng. Proc. 2025, 90(1), 113; https://doi.org/10.3390/engproc2025090113 - 6 May 2025
Viewed by 440
Abstract
Spinodoid metamaterials are artificial, architected materials that offer unique properties superior to the corresponding bulk material. This type of structure enables tailored properties to create new opportunities for applications in, e.g., the mobility, health, and energy sectors. Spinodoid metal structures only can be [...] Read more.
Spinodoid metamaterials are artificial, architected materials that offer unique properties superior to the corresponding bulk material. This type of structure enables tailored properties to create new opportunities for applications in, e.g., the mobility, health, and energy sectors. Spinodoid metal structures only can be manufactured by advanced additive manufacturing technologies such as the laser powder bed fusion (LPBF) process. For various application scenarios of metamaterials, it may be necessary to bond or coat them with thermoplastics. The surface quality of the additively manufactured structure is particularly relevant for the adhesion of the metallic to the thermoplastic structure, as the mechanical adhesion, for example, depends on the roughness and surface properties. Therefore, this paper focuses on the investigation of the surface properties of additively manufactured stainless steel components with dependence on the parameters of the LPBF process with regard to subsequent adhesion with thermoplastics. Full article
Show Figures

Figure 1

17 pages, 11140 KB  
Article
Removing Alpha Case from Laser Powder Bed Fusion Components by Cavitation Abrasive Surface Finishing
by Rohin Petram, Conall Wisdom, Alex Montelione, Cole Nouwens, Dan Sanders, Mamidala Ramulu and Dwayne Arola
Materials 2025, 18(9), 1977; https://doi.org/10.3390/ma18091977 - 26 Apr 2025
Viewed by 814
Abstract
Laser powder bed fusion (L-PBF) has become a highly viable method for manufacturing metal structural components for a variety of industries. Despite many attractive qualities, the rough surfaces of L-PBF components often necessitates post-processing treatments to improve the surface finish. Furthermore, heat treatments [...] Read more.
Laser powder bed fusion (L-PBF) has become a highly viable method for manufacturing metal structural components for a variety of industries. Despite many attractive qualities, the rough surfaces of L-PBF components often necessitates post-processing treatments to improve the surface finish. Furthermore, heat treatments are generally necessary to control the microstructure and properties of L-PBF components, which can impart a detrimental surface oxide layer that requires removal. In this investigation, cavitation abrasive surface finishing (CASF) was adopted for the surface treatment of Ti6Al4V components produced by L-PBF and removal of the surface oxide layer. The surface texture, residual stress, and material removal were evaluated over a range of treatment conditions and as a function of the target surface orientation. Results showed that CASF reduced the average surface roughness from the as-built condition (Ra ≈ 15 µm) to below 5 µm as well as imparted a surface compressive residual stress of up to 600 MPa. The CASF treatment removed the alpha case from direct line-of-sight surfaces under a range of treatment intensity. However, deep valleys and surfaces at large oblique angles of incidence (≥60°) proved challenging to treat uniformly. Overall, results suggest that CASF could serve as a potent alternative to chemical treatments for post-processing of L-PBF components of titanium and other metals. Further investigation is recommended for improving the process effectiveness and to characterize the fatigue performance of the treated metal. Full article
(This article belongs to the Special Issue Development and Applications of Laser-Based Additive Manufacturing)
Show Figures

Figure 1

Back to TopTop