Sign in to use this feature.

Years

Between: -

Subjects

remove_circle_outline
remove_circle_outline
remove_circle_outline
remove_circle_outline
remove_circle_outline
remove_circle_outline
remove_circle_outline
remove_circle_outline
remove_circle_outline

Journals

Article Types

Countries / Regions

Search Results (28)

Search Parameters:
Keywords = portable vector network analyzer

Order results
Result details
Results per page
Select all
Export citation of selected articles as:
41 pages, 9730 KB  
Review
In-Vehicle Gas Sensing and Monitoring Using Electronic Noses Based on Metal Oxide Semiconductor MEMS Sensor Arrays: A Critical Review
by Xu Lin, Ruiqin Tan, Wenfeng Shen, Dawu Lv and Weijie Song
Chemosensors 2026, 14(1), 16; https://doi.org/10.3390/chemosensors14010016 - 4 Jan 2026
Viewed by 2086
Abstract
Volatile organic compounds (VOCs) released from automotive interior materials and exchanged with external air seriously compromise cabin air quality and pose health risks to occupants. Electronic noses (E-noses) based on metal oxide semiconductor (MOS) micro-electro-mechanical system (MEMS) sensor arrays provide an efficient, real-time [...] Read more.
Volatile organic compounds (VOCs) released from automotive interior materials and exchanged with external air seriously compromise cabin air quality and pose health risks to occupants. Electronic noses (E-noses) based on metal oxide semiconductor (MOS) micro-electro-mechanical system (MEMS) sensor arrays provide an efficient, real-time solution for in-vehicle gas monitoring. This review examines the use of SnO2-, ZnO-, and TiO2-based MEMS sensor arrays for this purpose. The sensing mechanisms, performance characteristics, and current limitations of these core materials are critically analyzed. Key MEMS fabrication techniques, including magnetron sputtering, chemical vapor deposition, and atomic layer deposition, are presented. Commonly employed pattern recognition algorithms—principal component analysis (PCA), support vector machines (SVM), and artificial neural networks (ANN)—are evaluated in terms of principle and effectiveness. Recent advances in low-power, portable E-nose systems for detecting formaldehyde, benzene, toluene, and other target analytes inside vehicles are highlighted. Future directions, including circuit–algorithm co-optimization, enhanced portability, and neuromorphic computing integration, are discussed. MOS MEMS E-noses effectively overcome the drawbacks of conventional analytical methods and are poised for widespread adoption in automotive air-quality management. Full article
(This article belongs to the Special Issue Detection of Volatile Organic Compounds in Complex Mixtures)
Show Figures

Graphical abstract

30 pages, 10173 KB  
Article
Sensitivity Evaluation of a Dual-Finger Metamaterial Biosensor for Non-Invasive Glycemia Tracking on Multiple Substrates
by Esraa Mansour, Mohamed I. Ahmed, Ahmed Allam, Ramesh K. Pokharel and Adel B. Abdel-Rahman
Sensors 2025, 25(22), 7034; https://doi.org/10.3390/s25227034 - 18 Nov 2025
Cited by 1 | Viewed by 1023
Abstract
Accurate, non-invasive glucose monitoring remains a major challenge in biomedical sensing. We present a high-sensitivity planar microwave biosensor that progresses from a 2-cell hexagonal array to an 8-cell hexagonal array, and finally to a 16-cell double-honeycomb (DHC-CSRR) architecture to enhance field confinement and [...] Read more.
Accurate, non-invasive glucose monitoring remains a major challenge in biomedical sensing. We present a high-sensitivity planar microwave biosensor that progresses from a 2-cell hexagonal array to an 8-cell hexagonal array, and finally to a 16-cell double-honeycomb (DHC-CSRR) architecture to enhance field confinement and resonance strength. Full-wave simulations using Debye-modeled glucose phantoms demonstrate that the optimized 16-cell array on a Rogers RO3210 substrate substantially increases the electric field intensity and transmission response |S21| sensitivity compared with FR-4 and previous multi-CSRR designs. In vitro measurements using pharmacy-grade glucose solutions (5–25%) and saline mixtures with added glucose, delivered through an acrylic channel aligned to the sensing region, confirm the simulated trends. In vivo, vector network analyzer (VNA) tests were conducted on four human subjects (60–150 mg/dL), comparing single- and dual-finger placements. The FR-4 substrate (εr = 4.4) provided higher frequency sensitivity (2.005 MHz/(mg/dL)), whereas the Rogers RO3210 substrate (εr = 10.2) achieved greater amplitude sensitivity (9.35 × 10−2 dB/(mg/dL)); dual-finger contact outperformed single-finger placement for both substrates. Repeated intra-day VNA measurements yielded narrow 95% confidence intervals on |S21|, with an overall uncertainty of approximately ±0.5 dB across the tested glucose levels. Motivated by the larger |S21| response on Rogers, we adopted amplitude resolution as the primary metric and built a compact prototype using the AD8302-EVALZ with a custom 3D-printed enclosure to enhance measurement precision. In a cohort of 31 participants, capillary blood glucose was obtained using a commercial glucometer, after which two fingers were placed on the sensing region; quadratic voltage-to-glucose calibration yielded R2 = 0.980, root–mean–square error (RMSE) = 2.316 mg/dL, overall accuracy = 97.833%, and local sensitivity = 1.099 mg/dL per mV, with anthropometric variables (weight, height, age) showing no meaningful correlation. Clarke Error Grid Analysis placed 100% of paired measurements in Zone A, indicating clinically acceptable agreement with the reference meter. Benchmarking against commercial continuous glucose monitoring systems highlights substrate selection as a dominant lever for amplitude sensitivity and positions the proposed fully non-invasive, consumable-free architecture as a promising route toward portable RF-based glucose monitors, while underscoring the need for larger cohorts, implementation on flexible biocompatible substrates, and future regulatory pathways. Full article
(This article belongs to the Section Biomedical Sensors)
Show Figures

Figure 1

16 pages, 5357 KB  
Article
Capacitively Coupled CSRR and H-Slot UHF RFID Antenna for Wireless Glucose Concentration Monitoring
by Tauseef Hussain, Jamal Abounasr, Ignacio Gil and Raúl Fernández-García
Sensors 2025, 25(18), 5651; https://doi.org/10.3390/s25185651 - 10 Sep 2025
Viewed by 991
Abstract
This paper presents a fully passive and wireless glucose concentration sensor that integrates a capacitively coupled complementary split-ring resonator (CSRR) with an H-slot UHF RFID antenna. The CSRR serves as the primary sensing element, where changes in glucose concentration alter the effective permittivity [...] Read more.
This paper presents a fully passive and wireless glucose concentration sensor that integrates a capacitively coupled complementary split-ring resonator (CSRR) with an H-slot UHF RFID antenna. The CSRR serves as the primary sensing element, where changes in glucose concentration alter the effective permittivity of the surrounding solution, thereby modifying the resonator capacitance and shifting its resonance behavior. Through near-field capacitive coupling, these dielectric variations affect the antenna input impedance and backscatter response, enabling wireless sensing by modulating the maximum read range. The proposed sensor operates within the 902–928 MHz UHF RFID band and is interrogated using commercial RFID readers, eliminating the need for specialized laboratory equipment such as vector network analyzers. Full-wave electromagnetic simulations and experimental measurements validate the sensor performance, demonstrating a variation in the read range from 6.23 m to 4.67 m as glucose concentration increases from 50 to 200 mg/dL. Moreover, the sensor exhibits excellent linearity, with a high coefficient of determination (R2=0.986) based on the curve-fitted data. These results underscore the feasibility of the proposed sensor as a low-cost and fully portable platform for concentration monitoring, with potential applications in liquid characterization and chemical sensing. Full article
Show Figures

Graphical abstract

24 pages, 10817 KB  
Article
Pavement Friction Prediction Based Upon Multi-View Fractal and the XGBoost Framework
by Yi Peng, Jialiang Kai, Xinyi Yu, Zhengqi Zhang, Qiang Joshua Li, Guangwei Yang and Lingyun Kong
Lubricants 2025, 13(9), 391; https://doi.org/10.3390/lubricants13090391 - 2 Sep 2025
Cited by 2 | Viewed by 1272
Abstract
The anti-slip performance of road surfaces directly affects traffic safety, yet existing evaluation methods based on texture features often suffer from limited interpretability and low accuracy. To overcome these limitations, a portable 3D laser surface analyzer was used to acquire road texture data, [...] Read more.
The anti-slip performance of road surfaces directly affects traffic safety, yet existing evaluation methods based on texture features often suffer from limited interpretability and low accuracy. To overcome these limitations, a portable 3D laser surface analyzer was used to acquire road texture data, while a dynamic friction coefficient tester provided friction measurements. A multi-view fractal dimension index was developed to comprehensively describe the complexity of texture across spatial, cross-sectional, and depth dimensions. Combined with road surface temperature, this index was integrated into an XGBoost-based prediction model to evaluate friction at driving speeds of 10 km/h and 70 km/h. Comparative analysis with linear regression, decision tree, support vector machine, random forest, and backpropagation (BP) neural network models confirmed the superior predictive performance of the proposed approach. The model achieved backpropagation (R2) values of 0.80 and 0.82, with root mean square errors (RMSEs) of 0.05 and 0.04, respectively. Feature importance analysis indicated that fractal characteristics from multiple texture perspectives, together with temperature, significantly influence anti-slip performance. The results demonstrate the feasibility of using non-contact texture-based methods to replace traditional contact-based friction testing. Compared with traditional statistical indices and alternative machine learning algorithms, the proposed model achieved improvements in R2 (up to 0.82) and reduced RMSE (as low as 0.04). This study provides a robust indicator system and predictive model to advance road surface safety assessment technologies. Full article
(This article belongs to the Special Issue Tire/Road Interface and Road Surface Textures)
Show Figures

Figure 1

14 pages, 1691 KB  
Article
Non-Destructive Permittivity and Moisture Analysis in Wooden Heritage Conservation Using Split Ring Resonators and Coaxial Probe
by Erika Pittella, Giuseppe Cannazza, Andrea Cataldo, Marta Cavagnaro, Livio D’Alvia, Antonio Masciullo, Raissa Schiavoni and Emanuele Piuzzi
Sensors 2025, 25(16), 4947; https://doi.org/10.3390/s25164947 - 10 Aug 2025
Cited by 1 | Viewed by 1069
Abstract
This study presents a wireless, non-invasive sensing system for monitoring the dielectric permittivity of materials, with a particular focus on applications in cultural heritage conservation. The system integrates a passive split-ring resonator tag, electromagnetically coupled to a compact antipodal Vivaldi antenna, operating in [...] Read more.
This study presents a wireless, non-invasive sensing system for monitoring the dielectric permittivity of materials, with a particular focus on applications in cultural heritage conservation. The system integrates a passive split-ring resonator tag, electromagnetically coupled to a compact antipodal Vivaldi antenna, operating in the reactive near-field region. Both numerical simulations and experimental measurements demonstrate that shifts in the antenna’s reflection coefficient resonance frequency correlate with variations in the dielectric permittivity of the material under test. A calibration curve was established using reference materials—including low-density polyvinylchloride, polytetrafluoroethylene, polymethyl methacrylate, and polycarbonate—and validated through precise permittivity measurements. The system was subsequently applied to wood samples (fir, poplar, beech, and oak) at different humidity levels, revealing a sigmoidal relationship between moisture content and permittivity. The behavior was also confirmed using a portable and low-cost setup, consisting of a point-like coaxial sensor that could be easily moved and positioned as needed, enabling localized measurements on specific areas of interest of the sample, together with a miniaturized Vector Network Analyzer. These results underscore the potential of this portable, contactless, and scalable sensing platform for real-world monitoring of cultural heritage materials, enabling minimally invasive assessment of their structural and historical integrity. Moreover, by enabling the estimation of moisture content through dielectric permittivity, the system provides an effective method for early detection of water-induced deterioration in wood-based heritage items. This capability is particularly valuable for preventive conservation, as excessive moisture—often indicated by permittivity values above critical thresholds—can trigger biological or structural degradation. Full article
(This article belongs to the Section Physical Sensors)
Show Figures

Figure 1

21 pages, 34246 KB  
Article
A Multi-Epiphysiological Indicator Dog Emotion Classification System Integrating Skin and Muscle Potential Signals
by Wenqi Jia, Yanzhi Hu, Zimeng Wang, Kai Song and Boyan Huang
Animals 2025, 15(13), 1984; https://doi.org/10.3390/ani15131984 - 5 Jul 2025
Viewed by 1299
Abstract
This study introduces an innovative dog emotion classification system that integrates four non-invasive physiological indicators—skin potential (SP), muscle potential (MP), respiration frequency (RF), and voice pattern (VP)—with the extreme gradient boosting (XGBoost) algorithm. A four-breed dataset was meticulously constructed by recording and labeling [...] Read more.
This study introduces an innovative dog emotion classification system that integrates four non-invasive physiological indicators—skin potential (SP), muscle potential (MP), respiration frequency (RF), and voice pattern (VP)—with the extreme gradient boosting (XGBoost) algorithm. A four-breed dataset was meticulously constructed by recording and labeling physiological signals from dogs exposed to four fundamental emotional states: happiness, sadness, fear, and anger. Comprehensive feature extraction (time-domain, frequency-domain, nonlinearity) was conducted for each signal modality, and inter-emotional variance was analyzed to establish discriminative patterns. Four machine learning algorithms—Neural Networks (NN), Support Vector Machines (SVM), Gradient Boosting Decision Trees (GBDT), and XGBoost—were trained and evaluated, with XGBoost achieving the highest classification accuracy of 90.54%. Notably, this is the first study to integrate a fusion of two complementary electrophysiological indicators—skin and muscle potentials—into a multi-modal dataset for canine emotion recognition. Further interpretability analysis using Shapley Additive exPlanations (SHAP) revealed skin potential and voice pattern features as the most contributive to model performance. The proposed system demonstrates high accuracy, efficiency, and portability, laying a robust groundwork for future advancements in cross-species affective computing and intelligent animal welfare technologies. Full article
(This article belongs to the Special Issue Animal–Computer Interaction: New Horizons in Animal Welfare)
Show Figures

Figure 1

27 pages, 3152 KB  
Article
Validation of a Low-Cost Open-Ended Coaxial Probe Setup for Broadband Permittivity Measurements up to 6 GHz
by Julia Arias-Rodríguez, Raúl Moreno-Merín, Andrea Martínez-Lozano, Germán Torregrosa-Penalva and Ernesto Ávila-Navarro
Sensors 2025, 25(13), 3935; https://doi.org/10.3390/s25133935 - 24 Jun 2025
Cited by 3 | Viewed by 2285
Abstract
This work presents the validation of a low-cost measurement system based on an open-ended coaxial SMA (SubMiniature version A) probe for the characterization of complex permittivity in the microwave frequency range. The system combines a custom-fabricated probe, a vector network analyzer, and a [...] Read more.
This work presents the validation of a low-cost measurement system based on an open-ended coaxial SMA (SubMiniature version A) probe for the characterization of complex permittivity in the microwave frequency range. The system combines a custom-fabricated probe, a vector network analyzer, and a dedicated software application that implements three analytical models: capacitive, radiation, and virtual transmission line models. A comprehensive experimental campaign was carried out involving pure polar liquids, saline solutions, and biological tissues, with the measurements compared against those obtained using a high-precision commercial probe. The results confirm that the proposed system is capable of delivering accurate and reproducible permittivity values up to at least 6 GHz. Among the implemented models, the radiation model demonstrated the best overall performance, particularly in biological samples. Additionally, reproducibility tests with three independently assembled SMA probes showed normalized deviations below 3%, confirming the robustness of the design. These results demonstrate that the proposed system constitutes a viable alternative for cost-sensitive applications requiring portable or scalable microwave dielectric characterization. Full article
(This article belongs to the Special Issue Advanced Microwave Sensors and Their Applications in Measurement)
Show Figures

Figure 1

24 pages, 1562 KB  
Article
A Novel Framework for Enhancing Decision-Making in Autonomous Cyber Defense Through Graph Embedding
by Zhen Wang, Yongjie Wang, Xinli Xiong, Qiankun Ren and Jun Huang
Entropy 2025, 27(6), 622; https://doi.org/10.3390/e27060622 - 11 Jun 2025
Cited by 4 | Viewed by 1722
Abstract
Faced with challenges posed by sophisticated cyber attacks and dynamic characteristics of cyberspace, the autonomous cyber defense (ACD) technology has shown its effectiveness. However, traditional decision-making methods for ACD are unable to effectively characterize the network topology and internode dependencies, which makes it [...] Read more.
Faced with challenges posed by sophisticated cyber attacks and dynamic characteristics of cyberspace, the autonomous cyber defense (ACD) technology has shown its effectiveness. However, traditional decision-making methods for ACD are unable to effectively characterize the network topology and internode dependencies, which makes it difficult for defenders to identify key nodes and critical attack paths. Therefore, this paper proposes an enhanced decision-making method combining graph embedding with reinforcement learning algorithms. By constructing a game model for cyber confrontations, this paper models important elements of the network topology for decision-making, which guide the defender to dynamically optimize its strategy based on topology awareness. We improve the reinforcement learning with the Node2vec algorithm to characterize information for the defender from the network. And, node attributes and network structural features are embedded into low-dimensional vectors instead of using traditional one-hot encoding, which can address the perceptual bottleneck in high-dimensional sparse environments. Meanwhile, the algorithm training environment Cyberwheel is extended by adding new fine-grained defense mechanisms to enhance the utility and portability of ACD. In experiments, our decision-making method based on graph embedding is compared and analyzed with traditional perception methods. The results show and verify the superior performance of our approach in the strategy selection of defensive decision-making. Also, diverse parameters of the graph representation model Node2vec are analyzed and compared to find the impact on the enhancement of the embedding effectiveness for the decision-making of ACD. Full article
(This article belongs to the Section Information Theory, Probability and Statistics)
Show Figures

Figure 1

17 pages, 3905 KB  
Article
A Portable UV-LED/RGB Sensor for Real-Time Bacteriological Water Quality Monitoring Using ML-Based MPN Estimation
by Andrés Saavedra-Ruiz and Pedro J. Resto-Irizarry
Biosensors 2025, 15(5), 284; https://doi.org/10.3390/bios15050284 - 30 Apr 2025
Cited by 2 | Viewed by 1885
Abstract
Bacteriological water quality monitoring is of utmost importance for safeguarding public health against waterborne diseases. Traditional methods such as membrane filtration (MF), multiple tube fermentation (MTF), and enzyme-based assays are effective in detecting fecal contamination indicators, but their time-consuming nature and reliance on [...] Read more.
Bacteriological water quality monitoring is of utmost importance for safeguarding public health against waterborne diseases. Traditional methods such as membrane filtration (MF), multiple tube fermentation (MTF), and enzyme-based assays are effective in detecting fecal contamination indicators, but their time-consuming nature and reliance on specialized equipment and personnel pose significant limitations. This paper introduces a novel, portable, and cost-effective UV-LED/RGB water quality sensor that overcomes these challenges. The system is composed of a multi-well self-loading microfluidic device for sample-preparation-free analysis, RGB sensors for data acquisition, UV-LEDs for excitation, and a portable incubation system. Commercially available defined substrate technology, most probable number (MPN) analysis, and machine learning (ML) are combined for the real-time monitoring of bacteria colony-forming units (CFU) in a water sample. Fluorescence signals from individual wells are captured by the RGB sensors and analyzed using Multilayer Perceptron Neural Network (MLPNN) and Support Vector Machine (SVM) algorithms, which can quickly determine if individual wells will be positive or negative by the end of a 24 h period. The novel combination of ML and MPN analysis was shown to predict in 30 min the bacterial concentration of a water sample with a minimum prediction accuracy of 84%. Full article
Show Figures

Figure 1

19 pages, 3054 KB  
Article
Artificial-Intelligence Bio-Inspired Peptide for Salivary Detection of SARS-CoV-2 in Electrochemical Biosensor Integrated with Machine Learning Algorithms
by Marcelo Augusto Garcia-Junior, Bruno Silva Andrade, Ana Paula Lima, Iara Pereira Soares, Ana Flávia Oliveira Notário, Sttephany Silva Bernardino, Marco Fidel Guevara-Vega, Ghabriel Honório-Silva, Rodrigo Alejandro Abarza Munoz, Ana Carolina Gomes Jardim, Mário Machado Martins, Luiz Ricardo Goulart, Thulio Marquez Cunha, Murillo Guimarães Carneiro and Robinson Sabino-Silva
Biosensors 2025, 15(2), 75; https://doi.org/10.3390/bios15020075 - 28 Jan 2025
Cited by 17 | Viewed by 3902
Abstract
Developing affordable, rapid, and accurate biosensors is essential for SARS-CoV-2 surveillance and early detection. We created a bio-inspired peptide, using the SAGAPEP AI platform, for COVID-19 salivary diagnostics via a portable electrochemical device coupled to Machine Learning algorithms. SAGAPEP enabled molecular docking simulations [...] Read more.
Developing affordable, rapid, and accurate biosensors is essential for SARS-CoV-2 surveillance and early detection. We created a bio-inspired peptide, using the SAGAPEP AI platform, for COVID-19 salivary diagnostics via a portable electrochemical device coupled to Machine Learning algorithms. SAGAPEP enabled molecular docking simulations against the SARS-CoV-2 Spike protein’s RBD, leading to the synthesis of Bio-Inspired Artificial Intelligence Peptide 1 (BIAI1). Molecular docking was used to confirm interactions between BIAI1 and SARS-CoV-2, and BIAI1 was functionalized on rhodamine-modified electrodes. Cyclic voltammetry (CV) using a [Fe(CN)6]3−/4 solution detected virus levels in saliva samples with and without SARS-CoV-2. Support vector machine (SVM)-based machine learning analyzed electrochemical data, enhancing sensitivity and specificity. Molecular docking revealed stable hydrogen bonds and electrostatic interactions with RBD, showing an average affinity of −250 kcal/mol. Our biosensor achieved 100% sensitivity, 80% specificity, and 90% accuracy for 1.8 × 10⁴ focus-forming units in infected saliva. Validation with COVID-19-positive and -negative samples using a neural network showed 90% sensitivity, specificity, and accuracy. This BIAI1-based electrochemical biosensor, integrated with machine learning, demonstrates a promising non-invasive, portable solution for COVID-19 screening and detection in saliva. Full article
Show Figures

Figure 1

18 pages, 4168 KB  
Article
Design and Evaluation of Wheat Moisture Content Detection Device Based on a Stripline
by Chao Song, Xinpei Zhang, Fangyan Ma, Yuanyuan Yin, Hang Yin, Shuhao Wang and Liqing Zhao
Agriculture 2024, 14(3), 471; https://doi.org/10.3390/agriculture14030471 - 15 Mar 2024
Cited by 4 | Viewed by 2632
Abstract
The detection of the moisture content of wheat is an important index used to measure the quality and preservation of wheat. In order to rapidly and non-destructively detect the moisture content of wheat, in this study, we designed a stripline detection device that [...] Read more.
The detection of the moisture content of wheat is an important index used to measure the quality and preservation of wheat. In order to rapidly and non-destructively detect the moisture content of wheat, in this study, we designed a stripline detection device that measures 151 frequency points in the 50–200 MHz frequency range with a vector network analyzer. Random forest (RF), extreme learning machine (ELM), and BP neural network prediction models were established, using the frequency, temperature, volume density and dielectric constant as input and the water content as output. It was shown that, in the frequency range 50–200 MHz, the permittivity of wheat decreases as the frequency increases, and that this is negatively correlated. The dielectric constant of wheat increases as the moisture content, temperature, and bulk density increase, and these are positively correlated. The random forest (RF) prediction model, which uses the frequency, temperature, effective dielectric constant εeff. and volume density as inputs and the wheat moisture content as the output, demonstrates the best performance. The determination coefficient (R2) = 0.99977, the mean absolute error (MAE) = 0.044368, the mean square error (MAE) = 0.0053011, and the root mean square error (RMSE) = 0.072809. This study provides a new device and method for the detection of the moisture content of wheat. The device is small and is not easily disturbed by the external environment. It can be measured in a variety of conditions and is important for the development of low-cost, high-precision, and portable devices for the detection of the moisture content of wheat. Full article
(This article belongs to the Section Agricultural Technology)
Show Figures

Figure 1

16 pages, 3571 KB  
Article
Detection and Analysis of Chili Pepper Root Rot by Hyperspectral Imaging Technology
by Yuanyuan Shao, Shengheng Ji, Guantao Xuan, Yanyun Ren, Wenjie Feng, Huijie Jia, Qiuyun Wang and Shuguo He
Agronomy 2024, 14(1), 226; https://doi.org/10.3390/agronomy14010226 - 21 Jan 2024
Cited by 14 | Viewed by 4125
Abstract
The objective is to develop a portable device capable of promptly identifying root rot in the field. This study employs hyperspectral imaging technology to detect root rot by analyzing spectral variations in chili pepper leaves during times of health, incubation, and disease under [...] Read more.
The objective is to develop a portable device capable of promptly identifying root rot in the field. This study employs hyperspectral imaging technology to detect root rot by analyzing spectral variations in chili pepper leaves during times of health, incubation, and disease under the stress of root rot. Two types of chili pepper seeds (Manshanhong and Shanjiao No. 4) were cultured until they had grown two to three pairs of true leaves. Subsequently, robust young plants were infected with Fusarium root rot fungi by the root-irrigation technique. The effective wavelength for discriminating between distinct stages was determined using the successive projections algorithm (SPA) after capturing hyperspectral images. The optimal index related to root rot between each normalized difference spectral index (NDSI) was obtained using the Pearson correlation coefficient. The early detection of root rot illness can be modeled using spectral information at effective wavelengths and in NDSI, together with the application of partial least squares discriminant analysis (PLS-DA), least squares support vector machine (LSSVM), and back-propagation (BP) neural network technology. The SPA-BP model demonstrates outstanding predictive capabilities compared with other models, with a classification accuracy of 92.3% for the prediction set. However, employing SPA to acquire an excessive number of efficient wave-lengths is not advantageous for immediate detection in practical field scenarios. In contrast, the NDSI (R445, R433)-BP model uses only two wavelengths of spectral information, but the prediction accuracy can reach 89.7%, which is more suitable for rapid detection of root rot. This thesis can provide theoretical support for the early detection of chili root rot and technical support for the design of a portable root rot detector. Full article
Show Figures

Figure 1

22 pages, 2847 KB  
Article
Rapid Determination of Wine Grape Maturity Level from pH, Titratable Acidity, and Sugar Content Using Non-Destructive In Situ Infrared Spectroscopy and Multi-Head Attention Convolutional Neural Networks
by Eleni Kalopesa, Theodoros Gkrimpizis, Nikiforos Samarinas, Nikolaos L. Tsakiridis and George C. Zalidis
Sensors 2023, 23(23), 9536; https://doi.org/10.3390/s23239536 - 30 Nov 2023
Cited by 17 | Viewed by 5463
Abstract
In the pursuit of enhancing the wine production process through the utilization of new technologies in viticulture, this study presents a novel approach for the rapid assessment of wine grape maturity levels using non-destructive, in situ infrared spectroscopy and artificial intelligence techniques. Building [...] Read more.
In the pursuit of enhancing the wine production process through the utilization of new technologies in viticulture, this study presents a novel approach for the rapid assessment of wine grape maturity levels using non-destructive, in situ infrared spectroscopy and artificial intelligence techniques. Building upon our previous work focused on estimating sugar content (Brix) from the visible and near-infrared (VNIR) and short-wave infrared (SWIR) regions, this research expands its scope to encompass pH and titratable acidity, critical parameters determining the grape maturity degree, and in turn, wine quality, offering a more representative estimation pathway. Data were collected from four grape varieties—Chardonnay, Malagouzia, Sauvignon Blanc, and Syrah—during the 2023 harvest and pre-harvest phenological stages in the vineyards of Ktima Gerovassiliou, northern Greece. A comprehensive spectral library was developed, covering the VNIR–SWIR spectrum (350–2500 nm), with measurements performed in situ. Ground truth data for pH, titratable acidity, and sugar content were obtained using conventional laboratory methods: total soluble solids (TSS) (Brix) by refractometry, titratable acidity by titration (expressed as mg tartaric acid per liter of must) and pH by a pH meter, analyzed at different maturation stages in the must samples. The maturity indicators were predicted from the point hyperspectral data by employing machine learning algorithms, including Partial Least Squares regression (PLS), Random Forest regression (RF), Support Vector Regression (SVR), and Convolutional Neural Networks (CNN), in conjunction with various pre-processing techniques. Multi-output models were also considered to simultaneously predict all three indicators to exploit their intercorrelations. A novel multi-input–multi-output CNN model was also proposed, incorporating a multi-head attention mechanism and enabling the identification of the spectral regions it focuses on, and thus having a higher interpretability degree. Our results indicate high accuracy in the estimation of sugar content, pH, and titratable acidity, with the best models yielding mean R2 values of 0.84, 0.76, and 0.79, respectively, across all properties. The multi-output models did not improve the prediction results compared to the best single-output models, and the proposed CNN model was on par with the next best model. The interpretability analysis highlighted that the CNN model focused on spectral regions associated with the presence of sugars (i.e., glucose and fructose) and of the carboxylic acid group. This study underscores the potential of portable spectrometry for real-time, non-destructive assessments of wine grape maturity, thereby providing valuable tools for informed decision making in the wine production industry. By integrating pH and titratable acidity into the analysis, our approach offers a holistic view of grape quality, facilitating more comprehensive and efficient viticultural practices. Full article
(This article belongs to the Special Issue Feature Papers in Smart Agriculture 2024)
Show Figures

Figure 1

13 pages, 1578 KB  
Article
Nondestructive Detection of Pesticide Residue (Chlorpyrifos) on Bok Choi (Brassica rapa subsp. Chinensis) Using a Portable NIR Spectrometer Coupled with a Machine Learning Approach
by Ravipat Lapcharoensuk, Chawisa Fhaykamta, Watcharaporn Anurak, Wasita Chadwut and Agustami Sitorus
Foods 2023, 12(5), 955; https://doi.org/10.3390/foods12050955 - 23 Feb 2023
Cited by 42 | Viewed by 4727
Abstract
The contamination of agricultural products, such as vegetables, by pesticide residues has received considerable attention worldwide. Pesticide residue on vegetables constitutes a potential risk to human health. In this study, we combined near infrared (NIR) spectroscopy with machine learning algorithms, including partial least-squares [...] Read more.
The contamination of agricultural products, such as vegetables, by pesticide residues has received considerable attention worldwide. Pesticide residue on vegetables constitutes a potential risk to human health. In this study, we combined near infrared (NIR) spectroscopy with machine learning algorithms, including partial least-squares discrimination analysis (PLS-DA), support vector machine (SVM), artificial neural network (ANN), and principal component artificial neural network (PC-ANN), to identify pesticide residue (chlorpyrifos) on bok choi. The experimental set comprised 120 bok choi samples obtained from two small greenhouses that were cultivated separately. We performed pesticide and pesticide-free treatments with 60 samples in each group. The vegetables for pesticide treatment were fortified with 2 mL/L of chlorpyrifos 40% EC residue. We connected a commercial portable NIR spectrometer with a wavelength range of 908–1676 nm to a small single-board computer. We analyzed the pesticide residue on bok choi using UV spectrophotometry. The most accurate model correctly classified 100% of the samples used in the calibration set in terms of the content of chlorpyrifos residue on samples using SVM and PC-ANN with raw data spectra. Thus, we tested the model using an unknown dataset of 40 samples to verify the robustness of the model, which produced a satisfactory F1-score (100%). We concluded that the proposed portable NIR spectrometer coupled with machine learning approaches (PLS-DA, SVM, and PC-ANN) is appropriate for the detection of chlorpyrifos residue on bok choi. Full article
(This article belongs to the Section Food Analytical Methods)
Show Figures

Graphical abstract

16 pages, 1227 KB  
Article
Machine Learning and Wearable Sensors for the Early Detection of Balance Disorders in Parkinson’s Disease
by Francesco Castelli Gattinara Di Zubiena, Greta Menna, Ilaria Mileti, Alessandro Zampogna, Francesco Asci, Marco Paoloni, Antonio Suppa, Zaccaria Del Prete and Eduardo Palermo
Sensors 2022, 22(24), 9903; https://doi.org/10.3390/s22249903 - 16 Dec 2022
Cited by 30 | Viewed by 5142
Abstract
Dynamic posturography combined with wearable sensors has high sensitivity in recognizing subclinical balance abnormalities in patients with Parkinson’s disease (PD). However, this approach is burdened by a high analytical load for motion analysis, potentially limiting a routine application in clinical practice. In this [...] Read more.
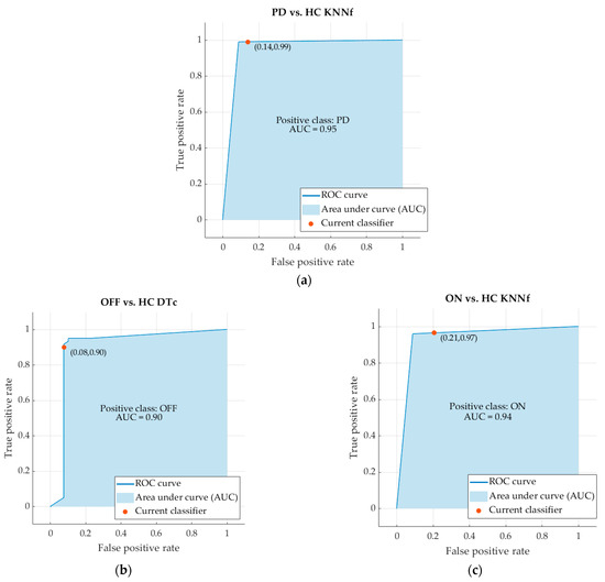
Dynamic posturography combined with wearable sensors has high sensitivity in recognizing subclinical balance abnormalities in patients with Parkinson’s disease (PD). However, this approach is burdened by a high analytical load for motion analysis, potentially limiting a routine application in clinical practice. In this study, we used machine learning to distinguish PD patients from controls, as well as patients under and not under dopaminergic therapy (i.e., ON and OFF states), based on kinematic measures recorded during dynamic posturography through portable sensors. We compared 52 different classifiers derived from Decision Tree, K-Nearest Neighbor, Support Vector Machine and Artificial Neural Network with different kernel functions to automatically analyze reactive postural responses to yaw perturbations recorded through IMUs in 20 PD patients and 15 healthy subjects. To identify the most efficient machine learning algorithm, we applied three threshold-based selection criteria (i.e., accuracy, recall and precision) and one evaluation criterion (i.e., goodness index). Twenty-one out of 52 classifiers passed the three selection criteria based on a threshold of 80%. Among these, only nine classifiers were considered “optimum” in distinguishing PD patients from healthy subjects according to a goodness index ≤ 0.25. The Fine K-Nearest Neighbor was the best-performing algorithm in the automatic classification of PD patients and healthy subjects, irrespective of therapeutic condition. By contrast, none of the classifiers passed the three threshold-based selection criteria in the comparison of patients in ON and OFF states. Overall, machine learning is a suitable solution for the early identification of balance disorders in PD through the automatic analysis of kinematic data from dynamic posturography. Full article
(This article belongs to the Section Wearables)
Show Figures

Figure 1

Back to TopTop