Sign in to use this feature.

Years

Between: -

Subjects

remove_circle_outline
remove_circle_outline
remove_circle_outline
remove_circle_outline
remove_circle_outline
remove_circle_outline
remove_circle_outline
remove_circle_outline
remove_circle_outline

Journals

Article Types

Countries / Regions

remove_circle_outline
remove_circle_outline
remove_circle_outline
remove_circle_outline

Search Results (260)

Search Parameters:
Keywords = physiological equivalent temperature

Order results
Result details
Results per page
Select all
Export citation of selected articles as:
30 pages, 21164 KB  
Article
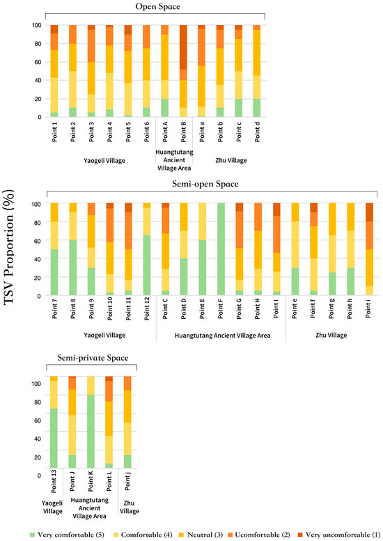
Thermal Comfort Assessment and Climate-Adaptive Design Strategies for Public Spaces in Traditional Villages of Wuxi
by Xianghan Yuan, Xiaobin Li and Rong Zhu
Buildings 2026, 16(7), 1303; https://doi.org/10.3390/buildings16071303 - 25 Mar 2026
Viewed by 111
Abstract
Traditional villages in the Jiangnan region have experienced significant spatial transformation under rural revitalization, yet thermal environment regulation in public spaces remains insufficiently addressed. This study examines how spatial morphology influences microclimate and outdoor thermal comfort during summer and proposes evidence-based climate-responsive strategies. [...] Read more.
Traditional villages in the Jiangnan region have experienced significant spatial transformation under rural revitalization, yet thermal environment regulation in public spaces remains insufficiently addressed. This study examines how spatial morphology influences microclimate and outdoor thermal comfort during summer and proposes evidence-based climate-responsive strategies. Three representative provincial-level traditional villages in Wuxi—Yaogeli Village, Zhu Village, and Huangtutang Ancient Village Area—were selected as case studies. Public spaces were classified into open, semi-open, and semi-private types according to spatial openness. Field microclimate measurements and thermal comfort surveys were conducted, and Physiological Equivalent Temperature (PET) was calculated to evaluate thermal conditions. Results show that rural public spaces generally experience significant summer heat stress, with PET exceeding the neutral range during most daytime periods. Spatial openness is significantly positively correlated with PET, identifying solar radiation as the dominant thermal driver. Water bodies provide cooling benefits within limited spatial ranges, constrained by configuration and ventilation conditions. Ecological and composite surfaces reduce heat accumulation compared to single materials. These findings indicate that thermal comfort in rural public spaces is a multi-factor and interaction-driven process, providing empirical support for climate-adaptive rural renewal. Full article
Show Figures

Figure 1

23 pages, 5651 KB  
Article
Sustainable Urban Renewal: Non-Linear Coupling Mechanism Between Green View Index and Thermal Comfort in High-Density Streets of Shenyang, China
by Lei Fan, Yixuan Sha, Zixian Li and Yan Zhou
Sustainability 2026, 18(7), 3187; https://doi.org/10.3390/su18073187 - 24 Mar 2026
Viewed by 76
Abstract
As urbanization intensifies, improving street thermal comfort has become a critical issue in urban renewal. While existing studies generally assume that increasing the Green View Index (GVI) linearly improves pedestrian thermal comfort, this study identifies a significant “Decoupling Effect” in high-density commercial areas [...] Read more.
As urbanization intensifies, improving street thermal comfort has become a critical issue in urban renewal. While existing studies generally assume that increasing the Green View Index (GVI) linearly improves pedestrian thermal comfort, this study identifies a significant “Decoupling Effect” in high-density commercial areas through field measurements and numerical simulations of three typical street types (commercial–service, ecological–recreational, and historical–cultural) in Shenyang. Integrating DeepLab V3 semantic segmentation with ENVI-met version 5.1.1 microclimate simulation, the results demonstrate a robust monotonic negative correlation between GVI and Physiological Equivalent Temperature (PET) in ecological streets (Spearman’s ρ = −0.692, p < 0.001), confirming the consistent cooling benefit of greenery in nature-dominated environments. However, a distinct “Threshold Effect” was identified in commercial streets using Piecewise Linear Regression (PLR). A critical breakpoint was detected at GVI = 22.08%. Below this threshold, visual greenery effectively contributes to cooling (slope = −0.454); yet, once GVI exceeds 22.08%, the cooling efficacy diminishes significantly (slope = −0.109), marking the onset of a “decoupling” phase. Specifically, despite Wenhua Road achieving a GVI of ~24.5% with a complex “three-board, four-belt” structure, its PET peak reaches 46.15 °C, approximately 5.5 °C higher than ecological streets. Mechanism analysis reveals that under peak thermal stress (Traffic Heat ≈ 75 W/m2), the high-intensity anthropogenic heat and hardscape radiation exceed the evaporative cooling threshold of vegetation. This study reveals the non-linear relationship between visual greenery and the physical thermal environment, suggesting that simply pursuing visual green quantity is ineffective in commercial canyon renewal; instead, a threshold-based synergistic optimization of canopy shading and pavement thermal performance is required. These findings provide a quantitative basis for sustainable street landscape planning and urban climate adaptation strategies in high-density cities. Full article
Show Figures

Figure 1

27 pages, 12809 KB  
Article
Comparative Modeling of Greening Design Scenarios for Sustainable and Climate-Responsive Urban Regeneration: Microclimate and Thermal Comfort Effects in an Italian Case Study
by Zixin Zhao, Alberto Barbaresi, Laura Caggiu, Patrizia Tassinari and Daniele Torreggiani
Sustainability 2026, 18(6), 3117; https://doi.org/10.3390/su18063117 - 22 Mar 2026
Viewed by 216
Abstract
Urban overheating poses major challenges in Mediterranean cities, affecting public health and well-being. This study comparatively evaluates how alternative greening configurations influence urban microclimate and outdoor thermal comfort in a brownfield regeneration site in Imola, Italy, using ENVI-met simulations under a representative extreme [...] Read more.
Urban overheating poses major challenges in Mediterranean cities, affecting public health and well-being. This study comparatively evaluates how alternative greening configurations influence urban microclimate and outdoor thermal comfort in a brownfield regeneration site in Imola, Italy, using ENVI-met simulations under a representative extreme summer condition. Eight scenarios with varying vegetation density, structure, and spatial arrangement were modelled on the hottest day of the year, and the Physiological Equivalent Temperature (PET) was evaluated at representative times. Results show that greening reduces heat stress, though its effectiveness varies over time and across configurations. No meaningful cooling occurred at 5:00 a.m., confirming that vegetation has a limited impact during nocturnal radiative processes. At 9:00 a.m., the medium-density scenario (S2b) achieved the greatest PET reduction (~2 °C), suggesting favorable evapotranspiration conditions under moderate radiation. At 4:00 p.m., the distributed high-density scenario (S3.2b) provided the strongest mitigation (~1.8–2 °C). Distributed layouts outperformed clustered ones, highlighting the non-linear nature of vegetation cooling. Zonal analysis showed the largest cooling in public green areas, followed by parking, building, and path zones, demonstrating the influence of surface type and shading geometry. Greening also produced modest improvements in surrounding neighborhoods (up to 0.8 °C in the morning), although impacts remained localized. Overall, results highlight how vegetation quantity, structure, and spatial distribution influence cooling performance under critical summer conditions, supporting climate-responsive urban regeneration design. These findings contribute to sustainable urban planning by supporting nature-based strategies for climate adaptation and improved environmental quality in regenerating urban districts. Future work should consider seasonal vegetation dynamics and multi-objective design optimization. Full article
Show Figures

Figure 1

29 pages, 5033 KB  
Article
Optimizing Microclimate for the Elderly: Synergistic Effects of Landscape Elements in China’s Hot-Summer and Cold-Winter Zone
by Qin Hu and Qingqing Guan
Buildings 2026, 16(6), 1223; https://doi.org/10.3390/buildings16061223 - 19 Mar 2026
Viewed by 186
Abstract
This study addresses the critical challenge of optimizing outdoor thermal comfort for the aging population in old residential communities within China’s Hot-Summer and Cold-Winter (HSCW) climate zones. Against the backdrop of urban regeneration and rapid demographic aging, it investigates how key landscape elements—Square [...] Read more.
This study addresses the critical challenge of optimizing outdoor thermal comfort for the aging population in old residential communities within China’s Hot-Summer and Cold-Winter (HSCW) climate zones. Against the backdrop of urban regeneration and rapid demographic aging, it investigates how key landscape elements—Square Reflectance, Greening Type, and Pergola Condition—influence the microclimate of community public spaces. The research employed an integrated methodology centered on numerical simulation. Using the ENVI-met 5.9.0 software and an L9(34) orthogonal experimental design, it simulated the microclimatic effects of nine combined scenarios on typical summer and winter days for a case study in Nanjing. The comprehensive thermal comfort index, Physiological Equivalent Temperature (PET), was used as the primary evaluation indicator to assess the thermal comfort performance for elderly occupants, with the assistance of air temperature, wind speed, and relative humidity, and the results were analyzed via range analysis and ANOVA. The key findings indicate that: (1) Greening Type and Pergola Condition are the dominant factors affecting microclimate and annual thermal comfort across seasons, while Square Reflectance has a comparatively minor influence. (2) The combination of deciduous trees with lawn achieves the optimal cross-seasonal PET gain. It provides effective shading and cooling in summer while allowing beneficial solar penetration for warming in winter, substantially outperforming evergreen-dominated configurations. (3) The presence of a pergola consistently enhances comfort by providing essential shade in summer and acting as a windbreak in winter. The combination dominated by deciduous trees + lawn and pergola yields an overall PET gain 1.097 °C higher than that of evergreen trees + shrub without pergola. This study provides evidence-based, elderly specific landscape design strategies to inform the thermal environment optimization of public spaces in old residential areas undergoing renewal. Full article
(This article belongs to the Special Issue Built Environment and Thermal Comfort)
Show Figures

Figure 1

24 pages, 3788 KB  
Article
Species- and Coverage-Sensitive Framework for Courtyard Vegetation in University Buildings: Linking Outdoor Thermal Comfort and Cooling Energy Demand in Hot–Arid Climates
by Mohamed Hssan Hassan Abdelhafez, Mohammad Abdullah Alshenaifi, Emad Noaime, Mohammed Mashary Alnaim, Ghazy Albaqawy, Mohammed Abuhussain and Ayman Ragab
Buildings 2026, 16(6), 1138; https://doi.org/10.3390/buildings16061138 - 13 Mar 2026
Viewed by 280
Abstract
Urban vegetation is widely promoted as a nature-based solution for mitigating outdoor thermal stress in hot-arid cities, but aggregated or static indicators obscure species-specific behavior, diurnal variability, and the linkage between outdoor comfort and building energy demand in courtyard environments. This study addresses [...] Read more.
Urban vegetation is widely promoted as a nature-based solution for mitigating outdoor thermal stress in hot-arid cities, but aggregated or static indicators obscure species-specific behavior, diurnal variability, and the linkage between outdoor comfort and building energy demand in courtyard environments. This study addresses these constraints by integrating outdoor thermal comfort mitigation and cooling energy performance using a reference-based, species-sensitive analytical methodology. The Vegetation Cooling Efficiency Index (VCEI) quantifies vegetation-induced reductions in Physiologically Equivalent Temperature (PET) relative to a non-vegetated reference scenario and is normalized by vegetation coverage. The PET–Energy Sensitivity Index (PESI) characterizes building cooling energy demand’s responsiveness to outdoor thermal comfort. A hybrid approach integrating calibrated field measurements, hourly microclimatic simulations, and dynamic building energy modeling is applied to a university courtyard in Aswan City, Egypt, reflecting extreme hot-arid conditions. The canopy features of Cassia leptophylla (CL), Cassia nodosa (CN), and Ficus nitida (FN) are assessed across varied vegetation coverage ratios. The results show that vegetation covering alone cannot predict thermal mitigation outcomes. PET reduction is influenced by species-specific canopy structure, with peak-hour reductions surpassing 40 °C in dense-canopy species and significantly lower ΔPET values across vegetation coverage levels. The nonlinear relationship between outdoor thermal mitigation and indoor cooling energy demand underscores the necessity for a comprehensive comfort-energy assessment. The proposed indices allow for comprehensive, reference-based vegetation strategy comparison and transferable performance measurements for climate-responsive courtyard and campus design in hot-arid environments. Full article
Show Figures

Figure 1

17 pages, 4035 KB  
Article
Cooling Strategies for the Effective Mitigation of Summer Thermal Stress in City Laneways
by Priyadarsini Rajagopalan, Jean Jonathan Duverge, Andrew Carre and Mary Myla Andamon
Buildings 2026, 16(5), 1079; https://doi.org/10.3390/buildings16051079 - 9 Mar 2026
Viewed by 228
Abstract
This study explored a range of cooling interventions suitable for city laneways where space for greening opportunities is constrained. Five individual cooling interventions namely, PVC shading, cool pavement, small canopy trees, green wall and water mist, as well as multiple combinations of these [...] Read more.
This study explored a range of cooling interventions suitable for city laneways where space for greening opportunities is constrained. Five individual cooling interventions namely, PVC shading, cool pavement, small canopy trees, green wall and water mist, as well as multiple combinations of these individual cooling interventions were tested in a narrow laneway in the temperate setting of Melbourne, Australia. The impact of various cooling interventions was assessed by evaluating microclimatic parameters—air temperature (Ta), relative humidity (RH), mean radiant temperature (TMRT)—alongside two thermal comfort indices, Physiological Equivalent Temperature (PET) and Universal Thermal Climate Index (UTCI). When each intervention was analysed individually, water mist was the best performing with Ta, PET and UTCI reduction. This was followed by PVC shading, small canopy trees and green walls. Cool pavement had the lowest Ta reduction and minimal thermal comfort impact. While green provided marginal reductions in thermal comfort indices, the effects were insufficient for standalone cooling. They were most effective when integrated with other cooling interventions. For example, when green walls were combined with water mist, a Ta reduction of 1.49 K and a TMRT reduction 2.57 K were obtained. The water mist system as an individual cooling intervention or as part of a combined intervention had an impact on Ta with a reduction of maximum 1.3 K and 1.76 K, respectively. The water mist had a UTCI reduction of 1.25 K, and the water mist combined with green wall had a PET reduction of 1.84 K. The novel contribution of this study to climate-sensitive urban design is the suite of practical, site-specific interventions for extreme summer conditions. These findings provide a framework for planners and designers to evaluate and implement optimal cooling strategies tailored to the unique microclimate demands of narrow urban laneways. Full article
Show Figures

Figure 1

20 pages, 5329 KB  
Article
A Comparative Study of Outdoor Thermal Comfort in Centralized Traditional Organic and Modern Standardized Rural Settlements
by Yiming Du, Anxiao Zhang, Qi Zhen, Shen Wei, Ling Zhu and Yixin Tian
Buildings 2026, 16(5), 1066; https://doi.org/10.3390/buildings16051066 - 7 Mar 2026
Viewed by 276
Abstract
Global warming has significantly intensified the risks of summer heatwaves, making outdoor thermal comfort during extreme heat periods a critical research focus. Under centralized rural village reconstruction policies, traditional settlements are being replaced by regularized modern communities characterized by new materials and standardized [...] Read more.
Global warming has significantly intensified the risks of summer heatwaves, making outdoor thermal comfort during extreme heat periods a critical research focus. Under centralized rural village reconstruction policies, traditional settlements are being replaced by regularized modern communities characterized by new materials and standardized layouts. However, the impact of these morphological transitions on the micro-scale thermal environment remains under-researched, with a notable lack of comparative perspectives between traditional organic and modern standardized typologies. This study identifies six representative zones based on spatial configuration. By integrating UAV photogrammetry (Pix4Dmapper v4.5), AutoCAD 2019, and QGIS (v3.22), morphological characteristics were quantified, followed by microclimate simulations using ENVI-met v5.9. The results reveal that while peak daytime Physiological Equivalent Temperature (PET) in the standardized zones (49.2–51.8 °C) is slightly lower than in traditional zones (53.5–55.2 °C), a phenomenon of thermal homogenization emerges in the former. Specifically, values in standardized zones are highly concentrated around the median (53.5 °C), contributing to a significant upward trend in the minimum PET values, with nearly all sampling points exceeding 47.0 °C. Quantitative analysis identifies green coverage and perviousness as primary cooling drivers, while spatial openness and imperviousness promote thermal homogenization. In contrast, traditional zones retain critical cool refuges due to their spatial heterogeneity. This research provides an empirical foundation and quantitative reference for understanding the thermal performance differences across different rural spatial typologies. The findings offer insights for planners to optimize street layouts and shading strategies, ultimately mitigating heat stress and fostering climate-resilient modern countryside development. Full article
(This article belongs to the Special Issue Energy Efficiency and Thermal Comfort in Green Buildings)
Show Figures

Figure 1

46 pages, 990 KB  
Review
Machine Learning for Outdoor Thermal Comfort Assessment and Optimization: Methods, Applications and Perspectives
by Giouli Mihalakakou, John A. Paravantis, Alexandros Romeos, Sonia Malefaki, Paraskevas N. Georgiou and Athanasios Giannadakis
Sustainability 2026, 18(5), 2600; https://doi.org/10.3390/su18052600 - 6 Mar 2026
Viewed by 292
Abstract
Urban environments face increasing thermal stress from climate change and the Urban Heat Island effect, with significant implications for livability, public health, and energy sustainability. Outdoor thermal comfort is defined as the state in which conditions are perceived as acceptable, depends on interactions [...] Read more.
Urban environments face increasing thermal stress from climate change and the Urban Heat Island effect, with significant implications for livability, public health, and energy sustainability. Outdoor thermal comfort is defined as the state in which conditions are perceived as acceptable, depends on interactions among meteorological, morphological, physiological, and behavioral factors. This review synthesizes the application of machine learning (ML) to outdoor thermal comfort assessment into a practice-oriented taxonomy. Research spans diverse climates and urban forms, using inputs across environmental and human domains. Supervised learning dominates. Regression approaches (linear regression, support vector regression, random forest, gradient boosting) and classification algorithms (decision trees, support vector machines, K-nearest neighbors, Naïve Bayes, random forest classifiers) are widely used to predict thermal indices such as the Physiological Equivalent Temperature and Universal Thermal Climate Index, or to classify subjective responses including thermal sensation, comfort, and acceptability. Unsupervised learning (clustering, principal component analysis) supports identification of microclimatic zones and perceptual clusters, while deep learning (multilayer perceptrons, convolutional and recurrent neural networks, generative adversarial networks) achieves superior accuracy for complex, high-dimensional, and spatiotemporal data. Algorithms such as random forests, support vector machines, and gradient boosting consistently show strong performance for both indices and subjective responses when integrating multi-domain inputs. Semi-supervised and reinforcement learning remain underexplored but offer promise for leveraging large-scale sensor data and enabling adaptive, real-time comfort management. The review concludes with a roadmap emphasizing explainable artificial intelligence, scalable surrogate modeling, and integration with simulation-based optimization and parametric design tools. Full article
Show Figures

Figure 1

23 pages, 16576 KB  
Article
A Framework for Designing Green Infrastructure to Maximize Co-Benefits in High-Density Industrial Districts
by Yue Xing, Yu Wen, Zixiang Xu, Pan Zhang, Sijie Zhu and Haishun Xu
Sustainability 2026, 18(4), 2142; https://doi.org/10.3390/su18042142 - 22 Feb 2026
Viewed by 327
Abstract
Green infrastructure (GI) provides essential ecosystem services for urban sustainability in the face of urbanization and climate change, including stormwater management, heat mitigation, and reduction in carbon dioxide (CO2) concentration levels. Existing studies often focus on single-dimensional ecological effects, lacking a [...] Read more.
Green infrastructure (GI) provides essential ecosystem services for urban sustainability in the face of urbanization and climate change, including stormwater management, heat mitigation, and reduction in carbon dioxide (CO2) concentration levels. Existing studies often focus on single-dimensional ecological effects, lacking a systematic investigation of their synergies and trade-offs. This study developed a coupled framework integrating scenario design, model simulation, and multi-indicator evaluation. Fifty-six scenarios, varying by GI combinations, weather conditions, and total annual runoff control rate (RCR), were applied to a high-density industrial district in Nanjing. The results showed that: (1) GI combinations enhanced comprehensive benefits, with the combination including bioretention (BR), permeable pavement (PP), and green roof (GR) performing most effectively. This was followed by the combination of BR and PP, then by BR and GR, while the use of BR alone provided the lowest effectiveness. (2) PP was a key synergistic component, improving heat mitigation and reducing CO2 concentration levels through the beneficial effects of rainfall events. (3) Exceeding the optimal RCR threshold for some GI combinations diminished tree space and three-dimensional green volume, shifting synergies into trade-offs. (4) Three-dimensional green volume was positively correlated with reductions in Physiological Equivalent Temperature (PET) and CO2 concentration, confirming its core role. (5) Rainfall boosted carbon sinks, while a significant cooling enhancement required PP. This study elucidates the water–heat–carbon synergy in small-scale GI, supporting multi-objective optimization in high-density urban renewal. Full article
Show Figures

Figure 1

19 pages, 5322 KB  
Article
Cooling-Fog Impacts on Microclimate and Thermal Comfort in Gwajeong Park, Busan
by Joowon Choi, Jaemoon Kim, Jaekyoung Kim, Taeyoon Kim and Soonchul Kwon
Buildings 2026, 16(3), 503; https://doi.org/10.3390/buildings16030503 - 26 Jan 2026
Viewed by 327
Abstract
Rapid urbanization and climate change have increased urban air temperatures and intensified the urban heat island effect through the expansion of impervious surfaces, loss of green areas, and high-density development. This study quantitatively evaluates the heat-mitigation performance and outdoor-thermal-comfort benefits of a high-pressure [...] Read more.
Rapid urbanization and climate change have increased urban air temperatures and intensified the urban heat island effect through the expansion of impervious surfaces, loss of green areas, and high-density development. This study quantitatively evaluates the heat-mitigation performance and outdoor-thermal-comfort benefits of a high-pressure micro-mist cooling-fog system installed in the Oncheoncheon area of Busan, South Korea. Five environmental sensors were deployed in Gwajeong Park to monitor the near-pedestrian air temperature and relative humidity, and thermal comfort was assessed using the Universal Thermal Climate Index and the Physiological Equivalent Temperature derived from meteorological variables. Both indices indicated improved thermal comfort during fog operation relative to the control condition. The relationship between air temperature and perceived thermal conditions was strong, while the mean radiant temperature exhibited substantial dispersion even under similar air temperatures. Higher global horizontal irradiance (GHI: incoming solar radiation on a horizontal surface) was associated with elevated mean radiant temperature, highlighting the importance of radiative load in pedestrian thermal stress. Overall, the findings provide field-based evidence that high-pressure micro-misting can improve outdoor thermal comfort and function as practical cooling infrastructure for heat-stress mitigation and urban climate resilience. Full article
Show Figures

Figure 1

16 pages, 2031 KB  
Article
Semitransparent Perovskite-Emulating Photovoltaic Covers for Lettuce Production
by Miriam Distefano, Giovanni Avola, Alessandra Alberti, Salvatore Valastro, Gaetano Calogero, Giovanni Mannino and Ezio Riggi
Agriculture 2026, 16(2), 282; https://doi.org/10.3390/agriculture16020282 - 22 Jan 2026
Viewed by 316
Abstract
Semitransparent perovskite photovoltaic (sPV) covers offer an attractive route for agrivoltaics, but their spectrally selective transmittance must be validated on plants cultivated under panel or in simulated conditions. Here, an AVA–MAPI perovskite module transmission profile was replicated using a programmable multi-channel LED platform [...] Read more.
Semitransparent perovskite photovoltaic (sPV) covers offer an attractive route for agrivoltaics, but their spectrally selective transmittance must be validated on plants cultivated under panel or in simulated conditions. Here, an AVA–MAPI perovskite module transmission profile was replicated using a programmable multi-channel LED platform and compared with a Reference McCree-adapted LED spectrum at identical photon flux density. Two lettuce cultivars (Lactuca sativa L.; ‘Canasta’ and ‘Trocadero’) were grown hydroponically in a light-sealed phytotron for 30 days (300 μmol m−2 s−1; 16/8 h photoperiod) under uniform temperature and humidity. Leaf gas exchange was quantified by fitting photosynthetic light-response curves, and plant performance was concurrently evaluated through growth metrics, biomass partitioning, and pigment-related traits (chlorophyll a/b, total carotenoids). The perovskite-emulated spectrum measurably reshaped net CO2 assimilation across the PAR domain—yielding higher AN at selected irradiances in post hoc contrasts—yet these physiological shifts did not translate into differences in leaf area, shoot or root biomass, or pigment concentrations—demonstrating spectral plasticity and agricultural compatibility of field-characterized perovskite transmission spectra. Overall, perovskite-emulated light sustained agronomically equivalent lettuce performance under moderate irradiance, supporting the feasibility of semitransparent perovskite PV covers, while underscoring the need for validation under natural sunlight. Full article
(This article belongs to the Section Agricultural Systems and Management)
Show Figures

Figure 1

33 pages, 8336 KB  
Article
Urban Form and Thermal Comfort: A Comparative Study of Scattered and Grid Settlement in Cold Climate
by Sevgi Yilmaz, Yaşar Menteş, Adeb Qaid, Elmira Jamei and Sena Nur Angin
Land 2026, 15(1), 34; https://doi.org/10.3390/land15010034 - 23 Dec 2025
Cited by 1 | Viewed by 742
Abstract
This study investigates the influence of scattered (irregular) and grid (regular) settlement layouts on local climate and thermal comfort versus rural open areas. Research in Erzurum, Türkiye, utilized 2022 year-round on-site measurements, satellite imagery, and statistical analysis of climatic parameters and the Physiologically [...] Read more.
This study investigates the influence of scattered (irregular) and grid (regular) settlement layouts on local climate and thermal comfort versus rural open areas. Research in Erzurum, Türkiye, utilized 2022 year-round on-site measurements, satellite imagery, and statistical analysis of climatic parameters and the Physiologically Equivalent Temperature (PET) thermal comfort index. Findings reveal distinct climatic responses: scattered urban forms consistently created cooler conditions year-round, exhibiting a winter cold island effect (−1.8 °C in December) and lower summer air temperatures (−3.4 °C in July). According to land surface temperature (LST) results, the grid urban form (−12.1 °C) is 0.9 °C colder than the scattered urban form (−11.2 °C) in winter. The scattered urban form (27.9 °C) is 1.5 °C warmer than the grid urban form (26.4 °C) in summer. The grid urban form exhibits a wind velocity range from 0.2 m/s to 1.2 m/s, and the scattered urban form’s wind velocity ranges from 0.0 m/s to 0.5 m/s. On the other hand, PET analysis indicated scattered forms offered more favorable thermal comfort. Average PET for scattered forms was 16.6 °C in summer and −3.3 °C in winter, compared to grid forms’ 15.1 °C and −4.7 °C, respectively. Wind velocity was a primary determinant, with lower speeds reducing heat loss and improving comfort in cold regions. This highlights urban planning’s critical role in optimizing thermal comfort across climates. Full article
(This article belongs to the Section Land Planning and Landscape Architecture)
Show Figures

Figure 1

14 pages, 510 KB  
Article
The Impact of Precisely Controlled Pre-Freeze Cooling Rates on Post-Thaw Stallion Sperm
by Aviv Bitton, Amos Frishling, Dorit Kalo, Zvi Roth and Amir Arav
Animals 2026, 16(1), 21; https://doi.org/10.3390/ani16010021 - 21 Dec 2025
Viewed by 608
Abstract
Cryopreservation is a key tool in assisted reproduction, but it often compromises post-thaw sperm quality due to cryodamage. Optimizing the initial cooling phase, specifically from room temperature to 5 °C, is a critical determinant of successful outcomes. This study aimed to evaluate the [...] Read more.
Cryopreservation is a key tool in assisted reproduction, but it often compromises post-thaw sperm quality due to cryodamage. Optimizing the initial cooling phase, specifically from room temperature to 5 °C, is a critical determinant of successful outcomes. This study aimed to evaluate the impact of different pre-freeze cooling rates on stallion sperm quality using a novel, precision cooling device. Semen samples from five healthy stallions were divided into three groups and cooled at distinct rates: Slow (0.3 °C/min), Moderate (1 °C/min), and Fast (approximately 30 °C/min). Sperm motility parameters were assessed using a Computer-Assisted Sperm Analyzer (CASA) before freezing and after thawing. Additionally, sperm integrity and physiological parameters, including viability, acrosomal integrity, Reactive Oxygen Species (ROS) expression, and mitochondrial membrane potential, were assessed by flow cytometry post-thaw. The analysis of post-thaw kinematics revealed a significant interaction between the cooling rate and processing stage (post-cooling vs. post-thaw). The Fast-cooling protocol resulted in higher post-thaw total motility (51.8%) compared to the Slow protocol (45.01%). Crucially, no significant differences were detected among cooling rates for the critical parameter of progressive motility or curvilinear velocity (VCL). Circle motility had higher values in the Fast-cooling group compared to the Slow group. Cell viability demonstrated a tendency (p = 0.08), where the Slow cooling group exhibited higher mean values (65.59%) compared to the Fast group (61.67%). Comprehensive flow cytometry assessments of other cellular integrity markers, including acrosomal integrity, mitochondrial function (MMP), and ROS expression, were statistically equivalent across all cooling rates (p > 0.05). The results confirm that this fast pre-freeze cooling rate, integrated within the highly controlled environment of Directional Freezing technology, successfully preserved essential sperm function and structure. Critically, the demonstrated functional equivalence in progressive motility validates the Fast protocol as an efficacious strategy to increase the efficiency and adaptability of equine semen cryopreservation protocols for commercial utilization. Full article
(This article belongs to the Section Equids)
Show Figures

Figure 1

18 pages, 3688 KB  
Article
Assessing Artificial Shading and Evaporative Cooling for Enhanced Outdoor Thermal Comfort at the American University of Beirut
by Zahraa Diab, Hadi Kachmar and Nesreen Ghaddar
Sustainability 2025, 17(24), 11365; https://doi.org/10.3390/su172411365 - 18 Dec 2025
Viewed by 678
Abstract
Urban environments, particularly university campuses, are increasingly exposed to thermal discomfort due to the Urban Heat Island (UHI) effect and intense solar radiation. This study evaluates the effectiveness of passive and hybrid cooling strategies, specifically sun-sail shading and mist cooling, in enhancing outdoor [...] Read more.
Urban environments, particularly university campuses, are increasingly exposed to thermal discomfort due to the Urban Heat Island (UHI) effect and intense solar radiation. This study evaluates the effectiveness of passive and hybrid cooling strategies, specifically sun-sail shading and mist cooling, in enhancing outdoor thermal comfort (OTC) in a university courtyard. The Van Dyck courtyard at the American University of Beirut, located on the East Mediterranean coast, was selected due to its heavy use between 10 am and 2 pm during summer, when ambient temperatures ranged between 32 and 36 °C and relative humidity between 21 and 33%. Thermal variations across four seating areas were analyzed using ENVI-met, a high-resolution microscale model validated against on-site data, achieving Mean Absolute Percentage Errors of 4% for air temperature and 5.2% for relative humidity. Under baseline conditions, Physiological Equivalent Temperature (PET) exceeded 58 °C, indicating severe thermal stress. Several mitigation strategies were evaluated, including three shading configurations, two mist-cooling setups, and a combined system. Results showed that double-layer shading reduced PET by 17.1 °C, mist cooling by 1.2 °C, and the combined system by 20.7 °C. Shading minimized radiant heat gain, while mist cooling enhanced evaporative cooling, jointly bringing thermal sensations closer to slightly warm–comfortable conditions. These cooling interventions also have sustainability value by reducing dependence on mechanically cooled indoor spaces and lowering campus air-conditioning demand. As passive or low-energy measures, shading and mist cooling support climate-adaptive outdoor design in heat-stressed Mediterranean environments. Full article
Show Figures

Graphical abstract

20 pages, 23575 KB  
Article
Microwave Imaging for Parkinson’s Disease Detection: A Phantom-Based Feasibility Study Using Temperature-Controlled Dielectric Variations
by Leonardo Cardinali, David O. Rodriguez-Duarte, Jorge A. Tobón Vasquez, Francesca Vipiana and Luis Jofre-Roca
Sensors 2025, 25(24), 7562; https://doi.org/10.3390/s25247562 - 12 Dec 2025
Viewed by 781
Abstract
Parkinson’s disease (PD) is characterized by pathological changes in the substantia nigra, which in its early stages may manifest as structural and functional asymmetries between the two hemispheres. Microwave imaging has recently emerged as a promising non-invasive tool to detect subtle dielectric variations. [...] Read more.
Parkinson’s disease (PD) is characterized by pathological changes in the substantia nigra, which in its early stages may manifest as structural and functional asymmetries between the two hemispheres. Microwave imaging has recently emerged as a promising non-invasive tool to detect subtle dielectric variations. In the context of Parkinson’s disease, such contrasts are expected to arise from the underlying physiological alterations in brain tissue, although their magnitude has not yet been fully characterized. In this work, we investigate the feasibility of differential microwave imaging, where detection is based on permittivity contrasts, through a controlled phantom study. A simple two-dimensional head phantom was constructed using a 3D-printed cylindrical container filled with water, incorporating a Teflon tube to represent the substantia nigra. The tube was filled with hot water, whose gradual cooling emulated small dielectric changes. Since the dielectric properties of water vary linearly with temperature over 0.5–3 GHz, we first validated this dependence through both numerical analysis and experimental measurements. Four antennas were then employed in a differential imaging configuration, with image reconstruction performed via the multi-frequency bi-focusing algorithm. The results show that the system can successfully detect a dielectric contrast corresponding to a temperature variation as small as 0.4 °C, equivalent to approximately 0.17% in relative permittivity. While the exact dielectric changes associated with PD remain to be determined, these results demonstrate that the proposed approach is sensitive to very small contrasts, supporting the potential of differential microwave imaging as a candidate tool for future investigations into Parkinson’s disease detection. Full article
Show Figures

Figure 1

Back to TopTop